Next Article in Journal
Unraveling the Effects of Co-Crystallization on the UV/Vis Absorption Spectra of an N-Salicylideneaniline Derivative. A Computational RI-CC2 Investigation
Previous Article in Journal
SARs for the Antiparasitic Plant Metabolite Pulchrol. Part 2: B- and C-Ring Substituents
Previous Article in Special Issue
A Structure-Activity Relationship Comparison of Imidazodiazepines Binding at Kappa, Mu, and Delta Opioid Receptors and the GABAA Receptor
 
 
Font Type:
Arial Georgia Verdana
Font Size:
Aa Aa Aa
Line Spacing:
Column Width:
Background:
Article

Two New Indole Alkaloids from Toad Venom of Bufo bufo gargarizans

1
Faculty of Traditional Chinese Medicine, Shenyang Pharmaceutical University, Benxi 117004, China
2
Faculty of Pharmaceutical Engineering, Shenyang Pharmaceutical University, Benxi 117004, China
3
Faculty of Life Sciences and Biological Pharmacy, Shenyang Pharmaceutical University, Shenyang 110016, China
*
Authors to whom correspondence should be addressed.
These authors contributed equally to this work.
Molecules 2020, 25(19), 4511; https://doi.org/10.3390/molecules25194511
Submission received: 31 August 2020 / Revised: 25 September 2020 / Accepted: 29 September 2020 / Published: 1 October 2020
(This article belongs to the Special Issue Nitrogen Heterocycles in Medicinal Chemistry)

Abstract

Two new indole alkaloids, Bufotenidine B (2) and Bufocarboline A (6), along with seven known indole alkaloids (1, 3–5, and 7–9) and three organic acids (10–12), were isolated from the water extract of toad venom. The structures of the new alkaloids were elucidated by extensive spectroscopic methods. The absolute configurations of 4, 6, and 8 were determined for the first time by electronic circular dichroism (ECD) calculations. The cytotoxic activity of all compounds was tested against human malignant melanoma cells A375 by the MTT method, and no antitumor activity was observed.

1. Introduction

Toad venom (ChanSu in Chinese) is secreted by the skin or parotid glands of giant toads, such as Bufo bufo gargarizans Cantor or B. melanostrictus Schneider [1], and it is used by toads as chemical weapons against predators. It has been used as traditional Chinese medicine to treat tumors, carbuncles, scrofula, and heart failure [2]. Toad venom has been reported to contain various chemical constituents, including sterols, bufadienolides, indole alkaloids, and organic acids. Among them, bufadienolides are a type of liposoluble components, which are a class of polyhydroxy steroids with an α-pyrone ring at the C17 position and are considered to be its primary bioactive constituents with remarkable anti-tumor effect [3,4]. A water-soluble preparation of toad venom, ChanSu injection, which contains only trace amounts of bufadienolides, is used as an effective antitumor agent in clinics [5]. This suggests that there might be other components besides bufadienolides that exert cytotoxic activity in the water extract of toad venom. The alkaloids isolated from toad venom are all almost derivatives of serotonin with high hydrophilicity, in which bufoserotonin C exhibited cytotoxic effects against human lung adenocarcinoma epithelial cells A549 [6]. Further search for water-soluble antitumor components will be an important work for toad venom research
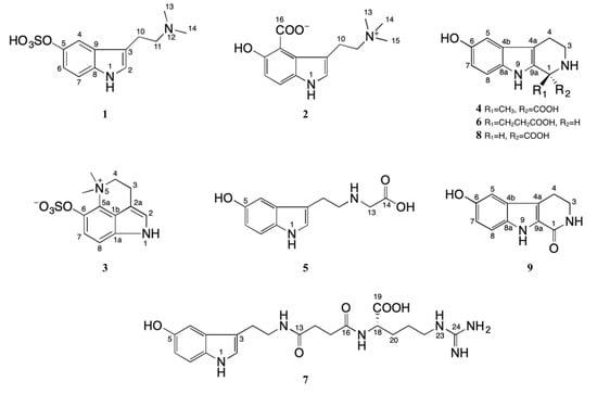
In this study, two new indole alkaloids (2 and 6) along with seven known indole alkaloids (1, 3–5, and 7–9) and three organic acids (10–12), were isolated from the water extract of toad venom (Figure 1). The absolute configuration of three tetrahydro-β-carbolines was determined for the first time by electronic circular dichroism (ECD) calculations, and the cytotoxicity of these compounds against human malignant melanoma cells A375 was assayed.

2. Results and Discussion

Compound 2 was afforded as a yellow powder. The molecular formula C14H18N2O3 was established by HR-ESI-MS spectrometry at m/z 263.1389[M+H]+ (C14H19N2O3, calculated 263.1390), 285.1208 [M+Na]+ (C14H18N2NaO3, calculated 285.1209) and 547.2526 [2M+Na]+ (C28H36N4NaO6, calculated 547.2527). The IR spectrum showed absorptions of NH group (3430 cm−1), carbonyl groups (1631 cm−1), and aromatic ring (1458, 1117, 1038 cm−1). The UV spectrum showed maximal absorption wavelength at 204, 232.5 and 312.4 nm. The 1H-NMR [DMSO-d6: D2O (1:4), 600 MHz] spectrum showed three aromatic proton signals at δH7.31 (d, J = 8.7 Hz, 1H, H-7), 7.15(s, 1H, H-2), and 6.63 (d, J = 8.1 Hz, 1H, H-6), combining with eight carbon signals at δC 154.8 (C-5), 133.7 (C-8), 128.9 (C-2), 125.4 (C-9), 118.1 (C-7), 113.6 (C-6), 112.9 (C-4), and 110.7(C-3) in 13C-NMR [DMSO-d6:D2O (1:4), 150 MHz] spectrum, which indicated there was an indole moiety in 2. The DEPT (135°) displayed three aromatic methine carbon signals at δC 128.9 (C-2), 118.1 (C-7), and 113.6 (C-6), and HSQC showed they correlated with 7.15 (s, 1H, H-2), 7.31 (d, J = 8.7 Hz, 1H, H-7), and 6.63 (d, J = 8.1 Hz, 1H, H-6), respectively. Combining with the HMBC correlations between 7.31 (d, J = 8.7 Hz, 1H, H-7) and 125.4 (C-9) and 154.8 (C-5); between 7.15(s, 1H, H-2) and 133.7 (C-8), 125.4 (C-9) and 110.7(C-3); and between 6.63 (d, J = 8.1 Hz, 1H, H-6) and 118.1 (C-7) and 112.9 (C-4), confirmed there was a 3, 4, 5- trisubstituted indole moiety in 2. The DEPT (135°) spectrum disclosed the presence of a pair of coupled methylene groups at δC 23.6 (C-10) and 69.2 (C-11), which correlated with 3.32 (m, 2H, H-10), 3.23 (m, 2H, H-11) in its HSQC spectrum. Combining with the HMBC correlations between 3.32 (m, 2H, H-10) and 69.2 (C-11), and between 3.23 (m, 2H, H-11) and 23.6 (C-10) indicated the two methylene groups were directly connected. In addition, the HMBC correlations between 7.15 (s, 1H, H-2) and 23.6 (C-10); between 3.32 (m, 2H, H-10) and 125.4 (C-9), 110.7(C-3), and 128.9 (C-2); and between 3.23 (m, 2H, H-11) and 110.7 (C-3) disclosed a pair of coupled methylene groups was attached to the 3, 4, 5- trisubstituted indole moiety at C-3, thus forming a 5-hydroxytryptamine moiety. The HSQC spectrum showed 2.98 (s, 16H, N-CH3) correlated with 54.6 (C-13, 14, and 15). Meanwhile, the DEPT (135°) displayed 54.6 (C-13, 14, and 15) was a positive peak, and the peak height about three times higher than that of other carbon signals, suggesting that there were three identical methyl groups in 2. Finally, three identical methyl groups were connected to the 5-hydroxytryptamine moiety at N-2 by the HMBC correlations between 3.23 (m, 2H, H-11) and 54.6 (C-13, 14, 15), and between 2.98 (s, 16H, N-CH3) and 69.2 (C-11) (Figure 2).
According to the aforementioned information, a structural fragment of C13H18N2O which missed a [COO] fragment compared to the molecular formula C14H18N2O3 of 2 was formed. The 13C-NMR spectrum showed the presence of a carbonyl group at δC 176.9, suggesting the [COO-] fragment was attached to C-4 to form an inner salt. The suggestion was further demonstrated by its UV spectrum, which showed that the maximum absorption wavelength of the indole ring shifted from 275 nm to 312 nm. This indicated that the C-4 substituent could prolong the conjugated system. Based on the above analysis, 2 was unambiguously assigned as 5-hydroxy-3-(2-(trimethylammonio) ethyl) -1H-indole-4-carboxylate, and named bufotenidine B, which is a new compound confirmed by Scifinder investigation.
Compound 5 was obtained as a brown powder. The molecular formula was established as C12H14N2O3 by high-resolution electrospray ionization mass spectroscopy, which gave ions at m/z 467.19261 [2M-H] (C24H27N4O6, calculated 467.19361). The IR bands of 5 were shown at 3424, 1631 and 1457 cm−1 for N-H, C=O and aromatic ring, respectively. The UV spectrum showed maximal absorptions of an indole chromophore (222 and 276 nm). In the 1H-NMR [DMSO-d6:D2O (10:3), 600 MHz, δH] spectrum of 5, signals at 7.15 (d, J = 8.6 Hz, 1H, H-7), 7.08 (s, 1H, H-2), 6.84 (d, J = 2.1 Hz, 1H, H-4), and 6.60 (dd, J = 8.6, 2.2 Hz,1H,H-6) indicated a typical 3,5-disubstituted indole moiety. Combined with two methylene signals at 3.07 (t, J = 7.2 Hz, 2H, H-11) and 2.91 (t, J = 7.2 Hz, 2H, H-10), it was suggested that 5 is a derivative of serotonin. The 13C-NMR [DMSO-d6:D2O (10:3), 150 MHz, δC] spectrum showed twelve carbon signals. Ten of them at 124.6 (C-2), 109.3 (C-3), 103.0 (C-4), 150.8 (C-5), 112.5 (C-6), 113.0 (C-7), 131.7 (C-8), 128.3 (C-9), 22.6 (C-10), and 47.8 (C-11) were assigned to serotonin skeleton by comparing with the NMR data of serotonin [7]. The 1H-NMR showed one methylene signal at δH 3.30 (s, 2H, H-13) which corresponded to 50.1 (C-13) in HSQC spectrum. Combining with the HMBC correlations between 3.30 (s, 2H, H-13) and 169.1 (C-14), disclosed the presence of one carboxymethyl group, which was attached to the serotonin skeleton at N-2 due to the HMBC correlations between 3.07 (t, J = 7.2Hz, 2H, H-11) and 50.1 (C-13), and between 3.30 (s, 2H, H-13) and 47.8 (C-11) (Figure 2). Therefore, 5 was clearly assigned to 2-(5-hydroxy-1H-indol-3-yl)ethyl)glycine, named N-carboxymethyl serotonin. It was a new natural product.
Compound 6 was obtained as a pale white powder. The molecular formula was determined as C14H16N2O3 on the basis of the presence of a quasi-molecular ion at m/z 261.1232 [M+H]+ (C14H17N2O3, calculated 261.1234), 259.1078 [M-H] (C14H15N2O3, calculated 259.1088) in its HR-ESI-MS spectrum. Characteristic IR absorption bands indicated the existence of aromatic secondary amine (3404 cm−1), carbonyl (1631 cm−1) and aromatic ring (1457 cm−1) groups. The UV spectrum exhibited maximal absorptions of an indole chromophore (221 and 275 nm). The 13C-NMR (DMSO-d6, 150 MHz) showed fourteen carbon signals for one carbonyl group at δC 175.3 (C-12), five sp3 carbons at δC 51.9 (C-1), 39.2 (C-3), 20.4 (C-4), 28.2 (C-10), 33.9 (C-11), and eight sp2 carbons at δC 134.1 (C-9a), 106.4 (C-4a), 127.3 (C-4b), 102.2 (C-5), 150.6 (C-6), 111.2 (C-7), 111.5 (C-8), and 130.5(C-8a). The 1H-NMR (DMSO-d6, 600 MHz) spectrum indicated the presence of one NH group as a singlet [δH10.54 (1H, s, H-9)], and three aromatic protons [7.07 (d, J = 8.6 Hz, 1H, H-8), 6.69 (d, J = 2.0 Hz, 1H, H-5), 6.55 (dd, J = 8.5, 2.2Hz, 1H, H-7)], disclosed a 2,3,5-trisubstituted indole moiety, which was supported by the HMBC correlations between 10.54 (1H, s, H-9) and 134.1 (C-9a), 130.5(C-8a), 127.3 (C-4b), and 106.4 (C-4a); between 6.69 (d, J = 2.0 Hz, 1H, H-5) and 106.4 (C-4a), 150.5(C-6), 111.2 (C-7), and 130.5(C-8a); between 6.55 (dd, J = 8.5, 2.2Hz, 1H, H-7) and 130.5(C-8a), 150.5(C-6), and 102.2 (C-5); and between 7.07 (d, J = 8.6 Hz, 1H, H-8) and 102.2 (C-5), 127.3 (C-4b), and 150.6 (C-6). 1H-NMR spectrum indicated two methylene signals at δH 2.67–2.54 (m, 2H, H-4), 3.20–2.96 (m, 2H, H-3), which, respectively, correlated with 20.4 (C-4), 39.2(C-3) in HSQC spectrum. Combining the HMBC correlations between 2.67–2.54 (m, 2H, H-4) and 39.2 (C-3), 134,1 (C-9a), and 106.4 (C-4a) and between 3.20–2.96 (m, 2H, H-3) and 20.4 (C-4) and 106.4 (C-4a), it disclosed a pair of coupled methylene groups was attached to the 2, 3, 5-trisubstituted indole moiety at C-3, thus forming a 5-hydroxytryptamine moiety. 1H-NMR spectrum indicated two methylene signals at δH 2.40–2.21 (m, 2H, H-11), 1.90–2.10 (m, 2H, H-10), which respectively correlated with 33.9 (C-11) and 28.2 (C-10) in HSQC spectrum. The HMBC gave correlations between 2.40–2.21 (m, 2H, H-11) and 28.2 (C-10) and 175.3 (C-12) and between 1.90–2.10 (m, 2H, H-10) and 33.9 (C-11) and 175.3 (C-12), which disclosed the presence of a carboxyethyl group. 1H-NMR spectrum showed a methine signal at δH 4.19 (d, J = 8.0Hz, 1H, H-1), which correspond to 51.9 (C-1) in HSQC spectrum. In addition, the HMBC spectrum showed two methylene groups 2.40–2.21 (m, 2H, H-11) and 1.90–2.10 (m, 2H, H-10) were both associated with 51.9 (C-1), indicating that the carboxyethyl is connect to C-1 (51.9). Further, the HMBC spectrum showed correlations between 4.19 (d, J = 8.0Hz, 1H, H-1), 1.90-2.10 (m, 2H, H-10) and 134.1 (C-9a), showing that 51.9 (C-1) is linked to 134.1 (C-9a) to form a tricyclic structure of β-carboline (Figure 2). According to the aforementioned information, the plane structure of 6 was unambiguously assigned as 6-hydroxy-1-(2′-carboxyethyl)-1,2,3,4-tetrahydro-β-carboline, which is a new compound named bufocarboline A.
Compounds 4 and 8 were isolated for the first time from toad venom, and the plane structures of them were confirmed respectively as 6-hydroxy-l-methyltetrahydro-β-carboline-1-carboxylic acid [8] and 6-Hydroxy-2,3,4,9-tetrahydro-1H-β-carboline-1-carboxylic acid [8] by the comparison with extensive spectroscopic data. The chemical synthesis and biological activities of them have been reported in the literature [9,10,11], but the absolute configurations have not been determined. Compounds 4, 6, and 8 are all derivatives of tetrahydro-β-carboline with one chiral carbon at C-1. The absolute configurations of 4, 6, and 8 were determined by comparison with their experimental CD spectra and calculated electronic circular dichroism (ECD) spectra, which were calculated by a quantum chemical method. Compound 4 has two possible enantiomers (1S)-4 (4a) and (1R)-4 (4b), and the calculated ECD curve of 4a was similar to the experimental CD spectrum, both showing Cotton effects at 205–220 (negative) and 220–240 nm (positive) (Figure 3). Therefore, the absolute configuration 4 was assigned as 1S. The structure of 6 was similar to 4 except for the loss of methyl at C-1 instead of carboxyethyl. The calculated ECD spectrum of enantiomer (1S)-6 (6a) was in good agreement with the experimental spectrum, both showing negative Cotton effect at 210–230 and 260–300 nm and positive Cotton effect 230–260 nm (Figure 4). Therefore, the absolute configuration of 6 was assigned as 1S. Compound 8 was a demethylated derivative of 4. Considering the biosynthesis of 4 and 8 in B. bufo gargarizans, it could be concluded that the stereoconfiguration of carboxyl group at C-1 of 8 should be the same as that of 4. The comparison of the CD and ECD spectra of enantiomers (1R)-8 (8a) and (1S)-8 (8b) showed that the calculated ECD spectra of 8b was matched better with that of CD than 8a (Figure 5). Furthermore, the calculated specific rotation value of 8a was 103.7, and the calculated specific rotation value of 8b was corresponded to −103.7, which yielded a good match with the measured value [ α ] D 20 −115.2 (c, 0.033, H2O) of 8. Consequently, the absolute configuration of 8 was assigned as 1S. The absolute configurations of 4, 6, and 8 were all identified as 1S, indicating they have similar biosynthesis pathways.
Compound 1 was obtained as a yellow powder. The 1H-NMR [DMSO-d6, 600 MHz, δH] spectrum indicated the presence of one NH group as a singlet at 10.83 (s, 1H, H-1), and four aromatic protons at 7.36 (d, J = 2.1 Hz, 1H, H-2), 7.22 (d, J = 8.7 Hz, 1H, H-7), 7.20 (d, J = 2.2 Hz, 1H, H-4), and 6.97 (dd, J = 8.7 Hz, 2.2 Hz,1H, H-6)], indicated a typical 3,5-disubstituted indole moiety. Combined with two methylene signals at 3.27 (t, J = 7.2 Hz, 2H, H-11) and 3.00 (t, J = 7.2 Hz, 2H, H-10), it was suggested that 1 is a derivative of serotonin. In addition, there was two methyl signals at 2.82 (s, 6H, H-13, H-14)]. The 13C-NMR [DMSO-d6, 150 MHz, δC] spectrum showed twelve carbon signals at 20.6 (C-10), 57.1 (C-11), 109.0 (C-4), 110.3 (C-3), 111.2 (C-6), 116.9 (C-7), 124.1 (C-2), 126.8 (C-9), 133.4 (C-8), 146.6 (C-5), 42.6 (C-13, C-14) were basically consistent with bufotenine [10]. However, the ESI-MS showed its [M+H]+, [M+Na]+ and [M-H]- located at m/z 284.9, 306.9 and 282.6 in positive or negative mode, respectively, which confirmed the molecular weight of 1 was 284 instead of 204 (the molecular weight of bufotenine). Thus, 1 was identified as bufotenine O-sulfate known as bufoviridine. This is the first time to report the NMR data about bufoviridine.
The other six compounds 3, 7, 9–12 were identified as dehydrobufothionine [12], bufobutarginine [6], 6-Hydroxy-1-oxo-3,4-dihydro-β-carboline [13], 1,7-pimelic acid [14], suberic acid [15], azelaic acid [16] in comparison with their NMR data in the literature respectively.
The cytotoxic activities of 1–12 were evaluated against human malignant melanoma cells A375 using the MTT method. Unfortunately, the experimental results disclosed that the IC50 values of them were greater than 100 μM, and no antitumor activity was observed. In our previous study, we isolated one organic acid and ten bufotenines from the water extract of the toad venom. Among them, only bufoserotonin C exhibited cytotoxic effects against human lung adenocarcinoma epithelial cells A549 with IC50 of 34.3 µM than that of positive control 5-FU (IC50 of 48.65 μM) [12]. There we speculated that the antitumor activity of water extract and water-soluble preparations of toad venom may be manifested by the trace bufadienolides which possessed powerful cytotoxicity despite their solubility being very low in water.

3. Materials and Methods

3.1. General Information

Optical rotation was measured on an Anton Paar MCP200 Polarimeter (Anton Paar Co., Austria). UV spectra were recorded on a Shimadzu UV-1700 Spectrophotometer (Shimadzu Co., Kyoto, Japan). IR spectra were recorded on a Bruker IFS 55 FTIR spectrometer on KBr pellets (Bruker Co., Karlsruhe, Germany). CD spectrum was recorded by a MOS 450 detector (Bio-Logic Co., Claix, France). NMR spectra were recorded on Bruker ARX-600 spectrometer (chemical shift values are presented as δ values with TMS as the internal standard; Bruker Co., Billerica, MA, USA). HR-ESI-MS data were recorded on a Waters Xevo G2 Q-TOF mass spectrometer (Waters Co., Milford, MA, USA). Semi-preparative HPLC was performed on a Model LC-10ATVP system consisting of two LC-10AT HPLC pumps with a SPD-10Avp detector. Phenomenex Luna C18 column (250 × 10.00 mm, 5 μm), Venusil HILIC column (10 μm, 100 Å, 10 × 250 mm) and Kinetex® 5μm Biphenyl column (100 Å, 250 × 10.0 mm) were used for preparation. Column chromatography was performed using 101 macroporous resin (0.3–1.25 mm, Cangzhou Bon Adsorber Technology Co., Ltd, Cangzhou, China), Sephadex LH-20 (40–70 μm, Amersham Pharmacia Biotech AB, Uppsala, Sweden). TLC was conducted on silica gel GF 254 (Marine Chemical Factory, Qingdao, China) plates. All solvents used in column chromatography and HPLC were of analytical grade (Tianjin Yongda Chemical Reagent Co., Ltd, Tianjin, P. R. China) and chromatographic grade (Tianjin Concord Technology Co., Ltd, Tianjin, P. R. China), respectively.

3.2. Materials

The crude drug ChanSu was collected from Linyi, Shandong Province, China, in March 2010 and authenticated by the Associate Professor Dong Wang from Shenyang Pharmaceutical University. Human malignant melanoma cells A375 were purchased from the American Type Culture Collection (ATCC, Rockville, MD, USA).

3.3. Extraction and Isolation

The dried and roughly powdered ChanSu (250 g) was extracted with dichloromethane (7 × 2.5 L) under reflux. The solvent was removed in vacuo to afford dichloromethane extract (50 g). The residue (200 g) was extracted 6 times by distilled water (6 × 2 L) with an ultrasonator (200 W, 59 kHz, 30 min), and concentrated in vacuo to obtain crude water extract (120 g). The crude water extract was suspended with 1 L distilled water and partitioned 3 times with 1 L of n-butanol saturated with water. Collected water phase and concentrated under vacuum to afford water extract (100 g). The water extract was dispersed with 0.5 L distilled water, and added ethanol to a final concentration of 75% (v/v), then kept for 12 h at 4 °C. The filtrate was evaporated to give water soluble low molecular components (WSLM) (50 g). The WSLM was subjected to 101 macroporous resin, adsorbed overnight, and then eluted with water–ethanol (100:0, 70:30, 40:60, and 5:95, v/v) successively to yield 4 fractions, Fr. 1 (35.0 g), Fr. 2 (9.4 g), Fr. 3 (4.6 g), and Fr. 4 (1.0 g). Fr. 2 (9.4 g) was dispersed with 100 mL distilled water, and partitioned 3 times with 100 mL ethyl acetate. The water phase and ethyl acetate were collected and concentrated under vacuum to afford the water extract (8.7 g) and the ethyl acetate extract (670 mg).
The ethyl acetate extract (670 mg) was further separated by semi-preparative HPLC (MeOH-H2O, 40:60, Biphenyl column, 1 mL/min, 230 nm) to obtain 11 (5 mg, tR 16 min). The water extract (8.7 g) applied to Sephadex LH-20 (methanol-water, 40:60, v/v) to get twenty-four sub-fractions (sub-Fr. 2-1-24). The sub-Fr. 2-6 (278.4 mg) was further separated by semi-preparative HPLC (MeOH-H2O, 10:90, Biphenyl column, 3 mL/min, 230 nm) and purified by semi-preparative HPLC (MeCN-H2O, 88:12, Hilic column, 3 mL/min, 230 nm) to yield 1 (6.7 mg, tR 13 min) and 2 (1.2 mg, tR 14.5 min). The sub-Fr. 2-7 (132 mg) was further purified by semi-preparative HPLC (MeOH-H2O, 8:92, ODS column, 3 mL/min, 230 nm) to obtain 3 (10 mg, t R 28.6 min). The sub-Fr. 2-8 (152.1 mg) was subjected to semi-preparative HPLC with a gradient elution of MeOH-H2O (7:93, 0–55 min; 17:83, 56–80 min, ODS column, 3 mL/min, 230 nm) to afford six sub-sub-fractions (sub-sub-Fr. 2-8-1-6). The sub-sub-Fr. 2-8-2 (25 mg) was further separated by semi-preparative HPLC (MeOH-H2O, 10:90, Biphenyl column, 3 mL/min, 230 nm) to yield 4 (10 mg, tR 12.6 min) and 5 (14 mg, tR 16.1 min). The sub-sub-Fr. 2-8-4 (20 mg) was purified by semi-preparative HPLC (MeCN-H2O, 70:30, Hilic column, 3 mL/min, 230 nm) to give 6 (8 mg, tR 7.5 min). The sub-sub-fr.2-8-6 (21.3 mg) was purified by semi-preparative HPLC (MeCN-H2O, 80:20, Hilic column, 3 mL/min, 230 nm) to afford 7 (14 mg, tR 14 min). The sub-Fr. 2-9 (53.8 mg) was further separated by semi-preparative HPLC (MeOH-H2O, 5:95, Biphenyl column, 3 mL/min, 230 nm) and purified by analytical HPLC (MeOH-H2O, 5:95, Phenyl-hexyl column, 1 mL/min, 230 nm) to yield 8 (1 mg, tR 21.7 min). The sub-Fr. 2-16 (48.6 mg) was further purified by semi-preparative HPLC (MeCN-H2O, 95:5, Hilic column, 3 mL/min, 230 nm) to obtain 9 (1.3 mg, tR 10 min) and 12 (2 mg, tR 8 min). The sub-Fr. 2-23 (35 mg) was further separated by semi-preparative HPLC (MeCN-H2O, 98:2, Hilic column, 3 mL/min, 230 nm) to obtain 10 (3 mg, tR 11 min).

3.3.1. Bufoviridine (1)

Yellow powder; ESI-MS m/z 284.9[M+H]+, 306.9[M+Na]+ and 282.6[M-H], C12H16N2O4S. 1H-NMR and 13C-NMR spectral data as shown in Table 1.

3.3.2. Bufotenidine B (2)

Yellow powder; HR-ESI-MS m/z 263.1389[M+H]+ (C14H19N2O3, calculated 263.1390), 285.1208 [M+Na]+ (C14H18N2NaO3, calculated 285.1209), 547.2526 [2M+Na]+ (C28H36N4NaO6, calculated 547.2527), C14H18N2O3; IR (KBr) νmax: 3430, 2924, 2170, 1698, 1631,1458, 1402, 1384, 1338, 1272, 1117, 1038, 865, 834, 669, 618 cm−1; UV (H2O) λ max (log ε): 204 (4.01), 232.5 (3.68), 312.4 (3.41) nm. 1H-NMR and 13C-NMR spectral data as shown in Table 1.

3.3.3. S-6-hydroxy-l-methyltetrahydro-β-carboline-1-carboxylic Acid (4)

Yellow powder; ESI-MS m/z 244.6 [M-H]-, C13H14N2O3; [ α ] D 20 -120 (c, 0.02, H2O). 1H-NMR and 13C-NMR spectral data are shown in Table 2.

3.3.4. N-carboxymethyl Serotoin (5)

Yellow powder; ESI-MS m/z 234.9[M+H]+, 256.9 [M+Na]+, 232.6 [M-H], HR-MS m/z 467.19261[2M-H] (C24H27N4O6, calculated 467.19361), C12H14N2O3; IR (KBr) νmax: 3424, 2925, 2170, 2852, 1697, 1631, 1457, 1402, 1384, 1272, 1197, 1143, 1039, 865, 834, 704, 668, 618 cm−1; UV (H2O) λ max (log ε): 200.5 (4.21), 221.6 (4.06), 275.7 (3.51) nm. 1H-NMR, 13C-NMR, and HMBC spectral data are shown in Table 1.

3.3.5. Bufocarboline A (6)

Yellow powder; HR-MS m/z 261.1232[M+H]+ (C14H17N2O3, calculated 261.1234), 283.1053 [M+Na]+, 259.1078 [M-H]- (C14H15N2O3, calculated 259.1088), C14H16N2O3; IR (KBr) νmax: 3404, 2922, 2852, 2170, 1631, 1572, 1457, 1402, 1385, 1274, 1230, 1198, 1149, 1049, 864, 831, 798, 668, 621, 475 cm−1; UV (H2O) λ max (log ε): 204 (4.22), 274.5 (3.52), 221 (3.99) nm. [ α ] D 20 -72.5 (c, 0.04, H2O). 1H-NMR and 13C-NMR spectral data are shown in Table 2.

3.3.6. S-6-Hydroxy-2,3,4,9-tetrahydro-1H-β-carboline-1-carboxylic Acid (8)

Yellow powder; HR-MS m/z 233.0920 [M+H]+ (C12H13N2O3, calculated 233.0921), C12H12N2O3; [ α ] D 20 -115.2 (c, 0.033, H2O); UV (H2O) λ max (log ε): 215.7 (3.52), 274.5 (2.93) nm. 1H-NMR and 13C-NMR spectral data are shown in Table 2.

3.4. ECD Calculations

For the computational details for ECD spectra of compounds 4, 6, and 8 based on their known relative configuration, all six possible stereoisomers were employed for the conformational random search using the MMFF94s force field by CONFLEX software package [17]. The conformational search results with an energy cut off of 3 kcal/mol were selected to further geometry optimization and ECD calculation. The initial conformers were optimized at B3LYP/6-31G(d) theoretical level by using Gaussian09 software [18]. They were then checked by frequency calculation and resulted in no imaginary frequencies. The ECD of the conformers were then calculated by the TDDFT method at the B3LYP/6-311++G(2d,p) level with the CPCM model in methanol solution. The calculated ECD curve was generated based on Boltzmann weighted average of the conformations search results using SpecDis 1.51 [19].

Author Contributions

M.-Y.X. and D.W. designed the research; Y.-L.C., Y.-H.D., and A.-D.W. performed the isolation and purification of toad venom; Y.-H.D., Y.-L.C. Z.-Y.Z., and J.L. analyzed the data; M.-Y.X., and M.L. conducted the bioassay of cytotoxic activity against A549; B.L. carried out ECD Calculations; and Y.-L.C. and D.W. wrote the paper. All authors read and approved the final manuscript.

Funding

This research received no external funding.

Conflicts of Interest

The authors declare no conflict of interest. The founding sponsors had no role in the design of the study, in the collection, analyses, or interpretation of data, in the writing of the manuscript, or in the decision to publish the results.

References

  1. Committee for the Pharmacopoeia of China. Pharmacopoeia of The People’s Republic of China: Volume I; China Medical Science Press: Beijing, China, 2015; p. 383. [Google Scholar]
  2. Editorial Committee of the Administration Bureau of Traditional Chinese Medicine. Chinese Materia Medica (Zhonghua Bencao); Shanghai Science and Technology Press: Shanghai, China, 1999; pp. 362–367. [Google Scholar]
  3. Tian, H.Y.; Luo, S.L.; Liu, J.S.; Wang, L.; Wang, Y.; Zhang, D.M.; Zhang, X.Q.; Jiang, R.W.; Ye, W.C. C23 Steroids from the Venom of Bufo bufo gargarizans. J. Nat. Prod. 2013, 76, 1842–1847. [Google Scholar] [CrossRef] [PubMed]
  4. Zhang, Y.; Qiu, Y.K.; Liu, K.; Jiang, Y.T.; Chen, J.Y.; Dou, D.Q. Advances in studies on Bufo bufo gargarizans. Chin. Tradit. Herb. Drugs 2006, 37, 905–1908. [Google Scholar]
  5. Yang, L.X.; Zhao, H.Y.; Yuan, S.F.; Li, Y.J.; Bian, B.L.; Wang, H.J. Determination of Total Bufadienolides in Cinobufotalin Injection Using Ultraviolet Spectrophotometry. Chin. J. Exp. Tradit. Med Formulae 2013, 19, 87–89. [Google Scholar]
  6. Dai, Y.H.; Shen, B.; Xia, M.Y.; Wang, A.D.; Chen, Y.L.; Liu, D.C.; Wang, D. A New Indole Alkaloid from the Toad Venom of Bufo bufo gargarizans. Molecules 2016, 21, 349. [Google Scholar] [CrossRef] [PubMed]
  7. Zhang, P.; Cui, Z.; Liu, Y.S.; Shen, Y. Isolation and identification of the indolealkylamines from the traditional Chinese medicine Toad Venom. J. Shenyang Pharm. Univ. 2006, 23, 216–219. [Google Scholar]
  8. Callaway, J.C.; Gyntber, J.; Poso, A.; Airaksinen, M.M.; Vepsäläinen, J. The pictet-spengler reaction and biogenic tryptamines: Formation of tetrahydro-β-carbolines at physiological pH. J. Heterocyclic Chem. 1994, 31, 431–435. [Google Scholar] [CrossRef]
  9. Kaverina, N.S.; Petrova, M.F.; Men”Shikov, G.P. Synthesis of compounds of the β-carboline series. Pharm. Chem. J. 1967, 8, 471–472. [Google Scholar]
  10. Trujillo, J.I.; Meyers, M.J.; Anderson, D.R.; Hegde, S.; Mahoney, M.W.; Vernier, W.F.; Buchler, I.P.; Wu, K.K.; Yang, S.; Hartmann, S.J.; et al. Novel tetrahydro-β-carboline-1-carboxylic acids as inhibitors of mitogen activated protein kinase-activated protein kinase 2 (MK-2). Bioorganic Med. Chem. Lett. 2007, 17, 4657–4663. [Google Scholar] [CrossRef] [PubMed]
  11. Kamano, Y.; Morita, H.; Takano, R.; Kotake, A.; Nogawa, T.; Hashima, H.; Takeya, K.; Itokawa, H.; Pettit, G.R. Bufobutanoic acid and bufopyramide, two new indole alkaloids from the Chinese traditional drug Chan Su. Heterocycle 1999, 50, 499–503. [Google Scholar] [CrossRef]
  12. Gao, H.M.; Wu, X.Y.; Li, Z.Y.; You, Y.; Zhang, Y.; Wang, Z.M. Chemical consitituents from Bufonis periostracum and their anti-tumor activity in vitro. China J. Chin. Mater. Med. 2011, 36, 2207–2210. [Google Scholar]
  13. Liu, R.H.; Luo, H.; Li, Y.L.; Yang, M.; Xu, X.K.; Li, H.L.; Shen, Y.H.; Zhang, C.; Su, J.; Zhang, W.D. N-containing compounds from the traditional Chinese medicine ChanSu. Chem. Nat. Compd. 2009, 45, 599–600. [Google Scholar]
  14. Zhang, S.J.; Ma, Y.L.; Wang, J.L.; Li, J.; Zhao, M.; Bai, L.M. Chemical constituents of Artemisia argyi. Chin. Traditi. Herbal Drugs 2019, 50, 1906–1914. [Google Scholar]
  15. Dai, L.P.; Gao, H.M.; Wang, Z.M.; Wang, W.H. Isolation and structure identification of chemical constituents from the skin of Bufo bufo gargarizans. Acta Pharm. Sin. 2007, 42, 858–861. [Google Scholar]
  16. Yan, X.J.; Wen, J.; Xiang, Z.; Yang, B.; Wu, J.; Jiang, P.; Cui, L.L.; Zhao, Y. Chemical constituents from fruits of Forsythia suspense. Chin. Tradit. Herb. Drugs 2017, 48, 644–647. [Google Scholar]
  17. Goto, H.; Osawa, E. Corner flapping: A simple and fast algorithm for exhaustive generation of ring conformations. J. Am. Chem. Soc. 1989, 111, 8950–8951. [Google Scholar] [CrossRef]
  18. Frisch, M.J.; Trucks, G.W.; Schlegel, H.B.; Scuseria, G.E.; Robb, M.A.; Cheeseman, J.R.; Scalmani, G.; Barone, V.; Mennucci, B.; Petersson, G.A.; et al. Gaussian 09, Revision, D.01; Gaussian, Inc.: Wallingford, CT, USA, 2013. [Google Scholar]
  19. Bruhn, T.; Schaumloffel, A.; Hemberger, Y.; Bringmann, G. SpecDis: Quantifying the comparison of calculated and experimental electronic circular dichroism spectra. Chirality 2013, 25, 243–249. [Google Scholar] [CrossRef] [PubMed]
Sample Availability: Samples of the compounds are not available from the authors.
Figure 1. Chemical structures of compounds 1–9.
Figure 1. Chemical structures of compounds 1–9.
Molecules 25 04511 g001
Figure 2. Key HMBC correlations of compounds 2, 5 and 6.
Figure 2. Key HMBC correlations of compounds 2, 5 and 6.
Molecules 25 04511 g002
Figure 3. Experimental CD spectrum of 4 in H2O and the calculated ECD spectra of (1S)-4 (4a) and (1R)-4 (4b).
Figure 3. Experimental CD spectrum of 4 in H2O and the calculated ECD spectra of (1S)-4 (4a) and (1R)-4 (4b).
Molecules 25 04511 g003
Figure 4. Experimental CD spectrum of 6 in H2O and the calculated ECD spectra of (1S)-6 (6a) and (1R)-6 (6b).
Figure 4. Experimental CD spectrum of 6 in H2O and the calculated ECD spectra of (1S)-6 (6a) and (1R)-6 (6b).
Molecules 25 04511 g004
Figure 5. Experimental CD spectrum of 8 in H2O and the calculated ECD spectra of (1R)-8 (8a) and (1S)-8 (8b).
Figure 5. Experimental CD spectrum of 8 in H2O and the calculated ECD spectra of (1R)-8 (8a) and (1S)-8 (8b).
Molecules 25 04511 g005
Table 1. 1H and 13C-NMR data (600/150 MHz) of compounds 1, 2, and 5 (1 in DMSO-d6, 2 in DMSO-d6: D2O (1:4) and 5 in DMSO-d6:D2O (10:3), δ in ppm, J in Hz.).
Table 1. 1H and 13C-NMR data (600/150 MHz) of compounds 1, 2, and 5 (1 in DMSO-d6, 2 in DMSO-d6: D2O (1:4) and 5 in DMSO-d6:D2O (10:3), δ in ppm, J in Hz.).
No.125
δH (J)δC, TypeδH (J)δC, TypeδH (J)δC, Type
27.36, d (2.1)124.1, CH7.15, s128.9, CH7.08, s124.6, CH
3 110.3, C 110.8, C 109.3, C
47.20, d (2.2)109.0, CH 112.9, C6.84, d (2.1)103.0, CH
5 146.6, C 154.8, C 150.8, C
66.97, dd (8.7,2.2)111.2, CH6.63, d (8.7)113.6, CH6.60, dd (8.6,2.1)112.5, CH
77.22, d (8.7)116.9, CH7.31, d (8.1)118.1, CH7.15, d (8.6)113.0, CH
8 133.4, C 133.8, C 131.7, C
9 126.8, C 125.4, C 128.3, C
103.00, t (7.2)20.6, CH23.32, m23.6, CH22.91, t (7.2)22.6, CH2
113.27, t (7.2)57.1, CH23.23, m69.1, CH23.07, t (7.2)47.8, CH2
132.82, s42.6, CH32.98, s54.6, CH33.30, s50.1, CH2
142.82, s42.6, CH32.98, s54.6, CH3 169.1, C
15 2.98, s54.6, CH3
16 176.9, C
Table 2. 1H-NMR, 13C-NMR (600/150 MHz) spectroscopic data for 4, 6, and 8 in DMSO-d6, δ in ppm, J in Hz.
Table 2. 1H-NMR, 13C-NMR (600/150 MHz) spectroscopic data for 4, 6, and 8 in DMSO-d6, δ in ppm, J in Hz.
No.468
δH (J)δC, TypeδH (J)δC, TypeδH (J)δC, Type
1 61.6, C4.19, d(8.0)51.9, CH4.54, s55.8, CH
33.34, s40.5, CH22.96–3.20 (m)39.2, CH23.16–3.47, m40.9, CH2
42.74, m18.7, CH22.54–2.67 (m)20.4, CH22.65–2.77, m18.8, CH2
4a 103.1, C 106.4, C 103.8, C
4b 126.8, C 127.3, C 126.9, C
56.65, d(2.2)102.2, CH6.69, d(2.0)102.2, CH6.65, d(1.5)101.8, CH
6 150.8, C 150.6, C 150.5, C
76.54, dd(8.6, 2.2)111.5, CH6.55, dd(8.5,2.2)111.2, CH6.52, dd(8.5, 1.9)111.0, CH
87.15, d(8.6)112.3, CH7.07, d(8.6)111.5, CH7.19, d(8.6)112.2, CH
8a 131.1, C 130.5, C 130.6, C
910.47, s 10.54, s 10.24, s
9a 134.3, C 134.1, C 130.0, C
10 169.0, C1.90–2.10 (m)28.2, CH2 166.4, C
111.66, s24.3, CH32.21–2.40 (m)33.9, CH2
12 175.3, C

Share and Cite

MDPI and ACS Style

Chen, Y.-L.; Dai, Y.-H.; Wang, A.-D.; Zhou, Z.-Y.; Lei, M.; Liu, J.; Lin, B.; Xia, M.-Y.; Wang, D. Two New Indole Alkaloids from Toad Venom of Bufo bufo gargarizans. Molecules 2020, 25, 4511. https://doi.org/10.3390/molecules25194511

AMA Style

Chen Y-L, Dai Y-H, Wang A-D, Zhou Z-Y, Lei M, Liu J, Lin B, Xia M-Y, Wang D. Two New Indole Alkaloids from Toad Venom of Bufo bufo gargarizans. Molecules. 2020; 25(19):4511. https://doi.org/10.3390/molecules25194511

Chicago/Turabian Style

Chen, Yu-Lin, Ying-Hui Dai, An-Dong Wang, Zi-Ying Zhou, Miao Lei, Jiao Liu, Bin Lin, Ming-Yu Xia, and Dong Wang. 2020. "Two New Indole Alkaloids from Toad Venom of Bufo bufo gargarizans" Molecules 25, no. 19: 4511. https://doi.org/10.3390/molecules25194511

APA Style

Chen, Y.-L., Dai, Y.-H., Wang, A.-D., Zhou, Z.-Y., Lei, M., Liu, J., Lin, B., Xia, M.-Y., & Wang, D. (2020). Two New Indole Alkaloids from Toad Venom of Bufo bufo gargarizans. Molecules, 25(19), 4511. https://doi.org/10.3390/molecules25194511

Article Metrics

Back to TopTop