Electrochemical Degradation of Industrial Dyes in Wastewater through the Dissolution of Aluminum Sacrificial Anode of Cu/Al Macro-Corrosion Galvanic Cell
Abstract
1. Introduction
2. Results and Discussion
2.1. Characterization of Macro-Corrosion, Galvanic Cell’s Operation
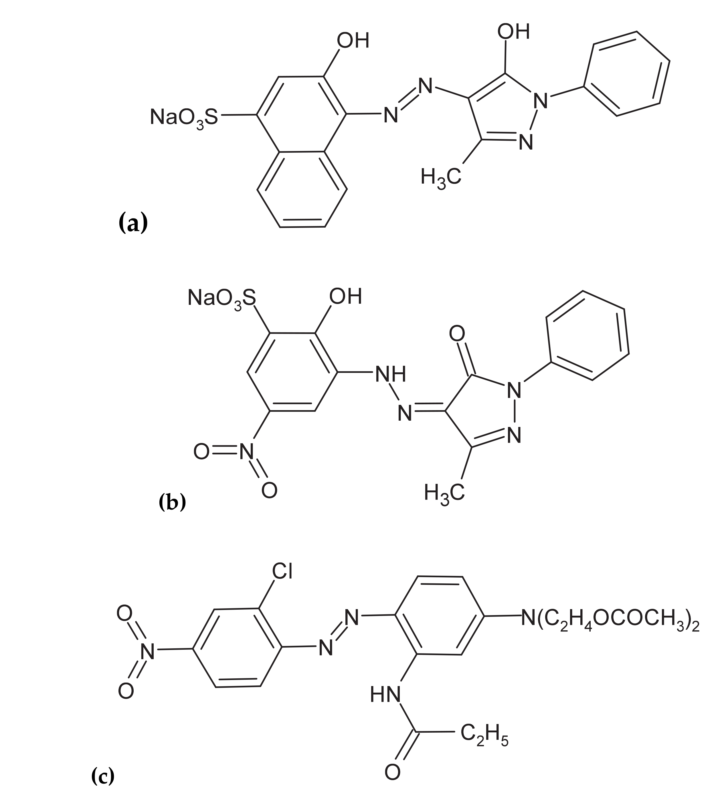
2.2. Electrochemical Characterization of Acid Mixture and Disperse Red 167 Dyes Oxidation Reactions
2.3. Electrochemical Impedance Characterization
2.4. UV-VIS Spectrophotometry Analysis
3. Materials and Methods
3.1. Macro-Galvanic Cell’s Construction and Electrolysis Process
3.2. Solutions and Chemical Reagents
3.3. Experimental Methodology
4. Conclusions
5. Patents
Author Contributions
Funding
Acknowledgments
Conflicts of Interest
References
- Crini, G.; Lichtfouse, E. Advantages and disadvantages of techniques used for wastewater treatment. Environ. Chem. Lett. 2019, 17, 145–155. [Google Scholar] [CrossRef]
- Abdel-Raouf, M.E.; Maysour, N.E.; Farag, R.K.; Abdul-Raheim, A.-B.M. Wastewater treatment methodologies, review article. Int. J. Environ. Agric. Sci. 2019, 3, 1–25. [Google Scholar]
- Vasudevan, S.; Lakshmi, J.; Sozhan, G. Effects of alternating and direct current in electrocoagulation process on the removal of cadmium from water. J. Hazard. Mater. 2011, 192, 26–34. [Google Scholar] [CrossRef] [PubMed]
- Feng, C.; Sugiura, N.; Shimada, S.; Maekawa, T. Development of a high performance electrochemical wastewater treatment system. J. Hazard. Mater. 2003, 103, 65–78. [Google Scholar] [CrossRef]
- Nguyen, Q.H.; Kawamura, Y.; Watari, T.; Niihara, K.; Yamaguchi, T.; Nakayama, T. Electrocoagulation with a nanosecond pulse power supply to remove COD from municipal wastewater using iron electrodes. Int. J. Electrochem. Sci. 2020, 15, 493–504. [Google Scholar] [CrossRef]
- Ghimire, U.; Jang, M.; Jung, S.P.; Park, D.; Park, S.J.; Yu, H.; Oh, S.-E. Electrochemical removal of ammonium nitrogen and COD of domestic wastewater using platinum coated titanium as an anode electrode. Energies 2019, 12, 883. [Google Scholar] [CrossRef]
- Eyvaz, M. Treatment of brewery wastewater with electrocoagulation: Improving the process performance by using alternating pulse current. Int. J. Electrochem. Sci. 2016, 11, 4988–5008. [Google Scholar] [CrossRef]
- Sahu, O.; Mazumdar, B.; Chaudhari, P.K. Treatment of wastewater by electrocoagulation: A review. Environ. Sci. Pollut. Res. 2004, 21, 2397–2413. [Google Scholar] [CrossRef]
- Nawarkar, C.J.; Salkar, V.D. Solar powered Electrocoagulation system for municipal wastewater treatment. Fuel 2019, 237, 222–226. [Google Scholar] [CrossRef]
- Chaplin, B.P. Advantages, Disadvantages, and Future Challenges of the Use of Electrochemical Technologies for Water and Wastewater Treatment. In Electrochemical Water and Wastewater Treatment, 1st ed.; Martínez-Huitle, C.A., Rodrigo, M.A., Scialdone, O., Eds.; Matthew Deans: Oxford, UK, 2018; Volume 17, pp. 451–494. [Google Scholar]
- Zailani, L.W.M.; Zin, N.S.M. Application of electrocoagulation in various wastewater and leachate treatment—A review. IOP Conf. Ser. Earth Environ. Sci. 2018, 140, 1–9. [Google Scholar] [CrossRef]
- Pierozynski, B.; Piotrowska, G. Electrochemical degradation of phenol and resorcinol molecules through the dissolution of sacrificial anodes of macro-corrosion galvanic cells. Water 2018, 10, 770. [Google Scholar] [CrossRef]
- Smoczynski, L.; Munska, K.T.; Kosobucka, M.; Pierozynski, B.; Wardzynska, R.; Zaleska-Chrost, B. Destabilization of model wastewater in the chemical coagulation process. Ecol. Chem. Eng. S. 2014, 21, 269–279. [Google Scholar] [CrossRef]
- Ide, S.; Capraz, O.O.; Shrotriya, P.; Hebert, K.R. Oxide Microstructural Changes Accompanying Pore Formation During Anodic Oxidation of Aluminum. Electrochim. Acta 2016, 232, 303–309. [Google Scholar] [CrossRef]
- Vik, E.A.; Carlson, D.A.; Eikum, A.S.; Gjessing, E.T. Electrocoagulation of potable water. Water Res. 1984, 18, 1355–1360. [Google Scholar] [CrossRef]
- Ogutveren, U.B.; Koparal, S. Electrocoagulation for oil-water emulsion treatment. J. Environ. Sci. Health 1997, 32, 2507–2520. [Google Scholar]
- Abdel-Aziz, M.H.; El-Ashtoukhy, E.-S.; Zoromba, M.S.; Bassyouni, M. Oil-in-water emulsion breaking by electrocoagulation in a modified electrochemical cell. Int. J. Electrochem. Sci. 2016, 11, 9634–9643. [Google Scholar] [CrossRef]
- Canizares, P.; Martines, F.; Jimenez, C.; Saes, C.; Rodrigo, M.A. Coagulation and electrocoagulation of oil-in-water emulsions. J. Hazard. Mater. 2008, 151, 44–51. [Google Scholar] [CrossRef]
- Bensadok, K.; Benammar, S.; Lapicque, F.; Nezzal, G. Electrocoagulation of cutting oil emulsions using aluminum plate electrodes. J. Hazard. Mater. 2008, 152, 423–430. [Google Scholar] [CrossRef]
- Do, J.-S.; Chen, M.-L. Decolourization of dye-containing solutions by electrocoagulation. J. Appl. Electrochem. 1994, 24, 785–790. [Google Scholar] [CrossRef]
- Daneshvar, N.; Oladegeragoze, A.; Djafarzadeh, N. Decolorization of basic dye solutions by electrocoagulation: An investigation of the effect of operational parameters. J. Hazard. Mater. 2006, 129, 116–122. [Google Scholar] [CrossRef]
- Can, O.T.; Bayramoglu, M.; Kobya, M. Decolorization of reactive dye solutions by electrocoagulation using aluminum electrodes. Ind. Eng. Chem. Res. 2003, 42, 3391–3396. [Google Scholar] [CrossRef]
- Gurses, A.; Yalcin, M.; Dogar, C. Electrocoagulation of some reactive dyes: A statistical investigation of some electrochemical variables. Waste Manag. 2002, 22, 491–499. [Google Scholar] [CrossRef]
- Ogutveren, U.B.; Gonen, N.; Koparal, S. Removal of dye stuffs from waste water: Electrocoagulation of acilan blau using soluble anode. J. Environ. Sci. Health Part. A 1992, 27, 1237–1247. [Google Scholar]
- Naumczyk, J.; Szpyrkowicz, L.; Zilio-Grandi, F. Electrochemical treatment of textile wastewater. Water Sci. Technol. 1996, 34, 17–24. [Google Scholar] [CrossRef]
- Pouet, M.-F.; Grasmick, A. Urban wastewater treatment by electrocoagulation and flotation. Water Sci. Technol. 1995, 31, 275–283. [Google Scholar] [CrossRef]
- Elazzouzi, M.; Haboubi, K.; Elyoubi, M.S. Enhancement of electrocoagulation-flotation process for urban wastewater treatment using Al and Fe electrodes: Techno-economic study. Mater. Today Proc. 2019, 13, 549–555. [Google Scholar] [CrossRef]
- Chen, G.; Chen, X.; Yue, P.L. Electrocoagulation and electroflotation of restaurant wastewater. J. Environ. Eng. 2000, 126, 858–863. [Google Scholar] [CrossRef]
- Sarala, C. Domestic wastewater treatment by electrocoagulation with Fe-Fe electrodes. Int. J. Eng. Trends Technol. 2012, 3, 530–533. [Google Scholar]
- Chen, X.; Chen, G.; Yue, P.L. Separation of pollutants from restaurant wastewater by electrocoagulation. Sep. Purif. Technol. 2007, 19, 65–76. [Google Scholar] [CrossRef]
- Un, U.T.; Ocal, E. Removal of heavy metals (Cd, Cu, Ni) by electrocoagulation. Int. J. Environ. Sci. Dev. 2015, 6, 425–429. [Google Scholar] [CrossRef]
- Bazrafshan, E.; Mohammadi, L.; Ansari-Moghaddam, A.; Mahvi, A.H. Heavy metals removal from aqueous environments by electrocoagulation process- a systematic review. J. Environ. Health Sci. Eng. 2015, 13, 1–16. [Google Scholar] [CrossRef] [PubMed]
- Al-Qodah, Z.; Al-Shannag, M. Heavy metal ions removal from wastewater using electrocoagulation processes: A comprehensive review. Sep. Sci. Technol. 2017, 52, 2649–2676. [Google Scholar] [CrossRef]
- Al-Shannag, M.; Al-Qodah, Z.; Bani-Melhem, K.; Qtaishat, M.R.; Alkasrawi, M. Heavy metal ions removal from metal plating wastewater using electrocoagulation: Kinetic study and process performance. Chem. Eng. J. 2015, 260, 749–756. [Google Scholar] [CrossRef]
- Bayramoglu, M.; Kobya, M.; Can, O.T.; Sozbir, M. Operating cost analysis of electrocoagulation of textile dye wastewater. Sep. Purif. Technol. 2004, 37, 117–125. [Google Scholar] [CrossRef]
- Kobya, M.; Hiz, H.; Senturk, E.; Aydiner, C.; Demirbas, E. Treatment of potato chips manufacturing wastewater by electrocoagulation. Desalination 2006, 190, 201–211. [Google Scholar] [CrossRef]
- Didar-Ul Islam, S.M. Electrocoagulation (EC) technology for wastewater treatment and pollutants removal. Sustain. Water Resour. Manag. 2019, 5, 359–380. [Google Scholar] [CrossRef]
- Mouedhen, G.; Feki, M.; De Petris Wery, M.; Ayedi, H.F. Behavior of aluminum electrodes in electrocoagulation process. J. Hazard. Mater. 2008, 150, 124–135. [Google Scholar] [CrossRef]
- Butler, E.; Hung, Y.-T.; Yeh, R.Y.-L.; Al Ahmad, M.S. Electrocoagulation in wastewater treatment. Water 2011, 3, 495–525. [Google Scholar] [CrossRef]
- Lemlikchi, W.; Khaldi, S.; Mecherri, M.O.; Lounici, H.; Drouiche, N. Degradation of Disperse Red 167 Azo Dye by Bipolar Electrocoagulation. Sep. Sci. Technol. 2012, 47, 1682–1688. [Google Scholar] [CrossRef]
- Dasquet, J.-P.; Caillard, D.; Conforto, E.; Bonino, J.-P.; Bes, R. Investigation of the anodic oxide layer on 1050 and 2024T3 aluminum alloys by electron microscopy and electrochemical impedance spectroscopy. Thin Solid Film 2000, 371, 183–190. [Google Scholar] [CrossRef]
- Van Der Linden, B.; Terryn, H.; Vereecken, J. Investigation of anodic aluminum oxide layers by electrochemical impedance spectroscopy. J. Appl. Electrochem. 1989, 20, 798–803. [Google Scholar] [CrossRef]
- De Wit, J.H.W.; Lendrink, H.J.W. Electrochemical impedance spectroscopy as a tool to obtain mechanistic information on the passive behaviour of aluminum. Electrochim. Acta 1996, 41, 1111–1119. [Google Scholar] [CrossRef]
- Conway, B.E.; Pierozynski, B.A.c. impedance behaviour of processes involving adsorption and reactivity of guanidonium-type cations at Pt(1 0 0) surface. J. Electroanal. Chem. 2008, 622, 10–14. [Google Scholar] [CrossRef]
- Rami, A.; Lasia, A. Kinetics of hydrogen evolution on Ni-Al alloy electrodes. J. Appl. Electrochem. 1992, 22, 376–382. [Google Scholar] [CrossRef]
- Nie, C.; Dong, J.; Sun, P.; Yan, C.; Wu, H.; Wang, B. An efficient strategy for full mineralization of an azo dye in wastewater: A synergistic combination of solar thermo- and electrochemistry plus photocatalysis. RSC Adv. 2017, 7, 36246–36255. [Google Scholar] [CrossRef]
- Wang, Z.H.; Ai, L.Y.; Huang, Y.; Zhang, J.K.; Li, S.T.; Chen, J.W.; Yang, F. Degradation of Azo Dye with Activated Peroxygens: When Zero-Valent Iron Meets Chloride. RSC Adv. 2017, 7, 30941–30948. [Google Scholar] [CrossRef]
- Liu, Y.N.; Zhou, X.; Wang, X.; Liang, K.; Yang, Z.K.; Shen, C.C.; Imran, M.; Sahar, S.; Xu, A.W. Hydrogenation/Oxidation Induced efficient Reversible Color Switching between Methylene Blue and Leuco-methylene Blue. RSC Adv. 2017, 7, 30080–30085. [Google Scholar] [CrossRef]
- Yang, B.; Gao, Y.; Yan, D.; Xu, H.; Wang, J. Degradation Characteristics of Color Index Direct Blue 15 Dye Using Iron-Carbon Micro-Electrolysis Coupled with H₂O₂. Int. J. Environ. Res. Public Health 2018, 15, 1523. [Google Scholar] [CrossRef]
- Kharlamova, T.A.; Aliey, Z.M. Use of electrolysis under pressure for destructive oxidation of phenol and azo dyes. Russ. J. Electrochem. 2016, 52, 251–259. [Google Scholar] [CrossRef]
- Szyper, M.; Zuman, P. Electronic absorption of carboxylic acids and their anions. Anal. Chim. Acta 1976, 85, 357–373. [Google Scholar] [CrossRef]
- Ashok Kumar, S.; Lo, P.-H.; Chen, S.-M. Electrochemical selective determination of ascorbic acid at redox active polymer modified electrode derived from direct blue 71. Biosens. Bioelectron. 2008, 24, 518–523. [Google Scholar] [CrossRef] [PubMed]
- Rehan, H.H. Preparation and Characterization of a New Conducting Polymer from O-aminoazotoluene Azo Dye. Materialwiss. Werkst. 2001, 32, 266–271. [Google Scholar] [CrossRef]
- Acar, E.T.; Ortaboy, S.; Hisarli, G.; Atun, G. Sensitive determination and electro-oxidative polymerization of azodyes on a carbon paste electrode modified with bentonite. Appl. Clay Sci. 2015, 105–106, 131–141. [Google Scholar] [CrossRef]
- Rehan, H.H. Electrosynthesis of conducting polymer films from the azo dye methoxy red. J. Appl. Electrochem. 2000, 30, 945–951. [Google Scholar] [CrossRef]
- Macdonald, J.R. Impedance Spectroscopy, Emphasizing Solid Materials and Systems; John Wiley & Sons: New York, NY, USA, 1987. [Google Scholar]











| E/mV | Rct/Ω cm2 | Cdl/µF cm−2 |
|---|---|---|
| Disperse Red 167 | ||
| −670 | 1263 ± 21 | 108 ± 2 |
| −370 | 2866 ± 62 | 84 ± 1 |
| −200 | 3565 ± 30 | 78 ± 1 |
| Acid Mixture | ||
| −480 | 1457 ± 24 | 171 ± 3 |
| 0 | 2009 ± 80 | 129 ± 3 |
© 2020 by the authors. Licensee MDPI, Basel, Switzerland. This article is an open access article distributed under the terms and conditions of the Creative Commons Attribution (CC BY) license (http://creativecommons.org/licenses/by/4.0/).
Share and Cite
Łuba, M.; Mikołajczyk, T.; Pierożyński, B.; Smoczyński, L.; Wojtacha, P.; Kuczyński, M. Electrochemical Degradation of Industrial Dyes in Wastewater through the Dissolution of Aluminum Sacrificial Anode of Cu/Al Macro-Corrosion Galvanic Cell. Molecules 2020, 25, 4108. https://doi.org/10.3390/molecules25184108
Łuba M, Mikołajczyk T, Pierożyński B, Smoczyński L, Wojtacha P, Kuczyński M. Electrochemical Degradation of Industrial Dyes in Wastewater through the Dissolution of Aluminum Sacrificial Anode of Cu/Al Macro-Corrosion Galvanic Cell. Molecules. 2020; 25(18):4108. https://doi.org/10.3390/molecules25184108
Chicago/Turabian StyleŁuba, Mateusz, Tomasz Mikołajczyk, Bogusław Pierożyński, Lech Smoczyński, Paweł Wojtacha, and Mateusz Kuczyński. 2020. "Electrochemical Degradation of Industrial Dyes in Wastewater through the Dissolution of Aluminum Sacrificial Anode of Cu/Al Macro-Corrosion Galvanic Cell" Molecules 25, no. 18: 4108. https://doi.org/10.3390/molecules25184108
APA StyleŁuba, M., Mikołajczyk, T., Pierożyński, B., Smoczyński, L., Wojtacha, P., & Kuczyński, M. (2020). Electrochemical Degradation of Industrial Dyes in Wastewater through the Dissolution of Aluminum Sacrificial Anode of Cu/Al Macro-Corrosion Galvanic Cell. Molecules, 25(18), 4108. https://doi.org/10.3390/molecules25184108

