Synthesis of New Planar-Chiral Linked [2.2]Paracyclophanes-N-([2.2]-Paracyclophanylcarbamoyl)-4-([2.2]Paracyclophanylcarboxamide, [2.2]Paracyclophanyl-Substituted Triazolthiones and -Substituted Oxadiazoles
Abstract
1. Introduction
2. Results and Discussion
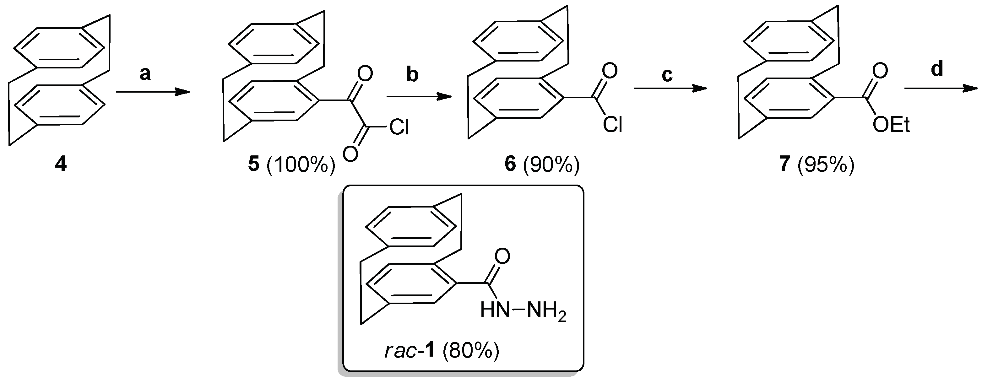
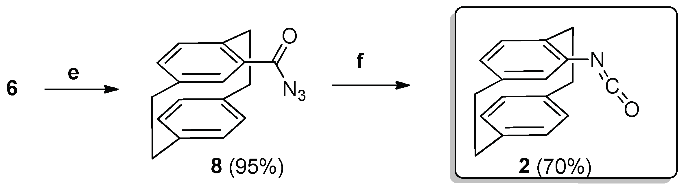
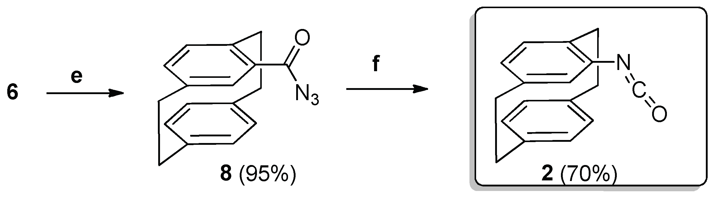
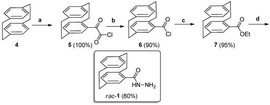
2.1. Preparation of Compound 3
2.2. Synthesis of Triazolethiones 12a–f
2.3. Conversion of N-Substituted-5-(1,4(1,4)-Dibenzenacyclohexaphane-12-yl)Hydrazinecarbothioamides 11a–f into 5-(1,4(1,4)-Dibenzenacyclohexaphane-12-yl)-N-Substituted-1,3,4-Oxadiazol-2-Amines 13a–e
3. Experimental
3.1. Material and Methods
3.2. Racemic-N-5-(1,4(1,4)-Dibenzenacyclohexaphane-12-yl)hydrazide (1)
3.3. Preparation of Compound Diasteromer-3 or Sp-Sp-3
3.4. High-Performance Liquid Chromatography (HPLC)
3.5. Preparation of 5-(1,4(1,4)-Dibenzenacyclohexaphane-12-yl)-2,4-dihydro-3H-1,2,4-triazol-3-thiones 12a–f
3.6. Preparation of N-Substituted 5-(1,4(1,4)-Dibenzenacyclohexaphane-12-yl)-1,3,4-Oxadiazol-2-Amines 13a–e
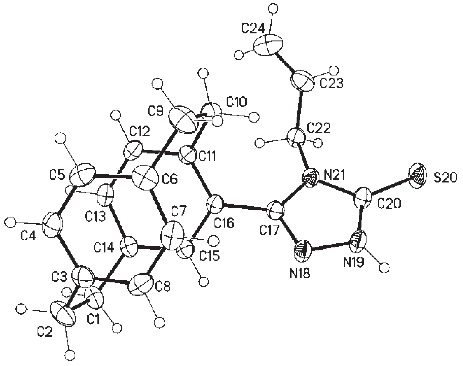
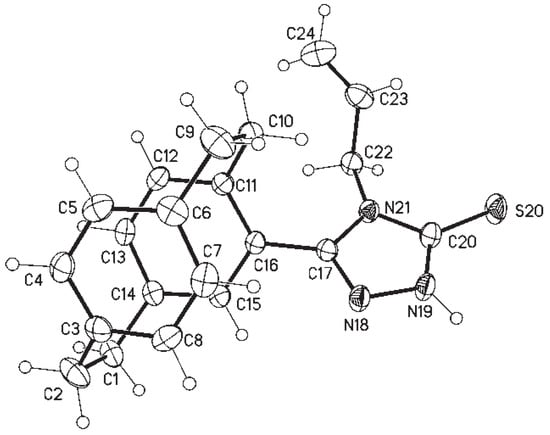
3.7. Crystal Structure Determinations of 1, 12a, 12d, 13a, and 13c
4. Conclusions
Supplementary Materials
Author Contributions
Funding
Acknowledgments
Conflicts of Interest
References
- Majerz, I.; Dziembowska, T. Substituent effect on inter-ring interaction in paracyclophanes. Mol. Divers. 2020, 24, 11–20. [Google Scholar] [CrossRef] [PubMed]
- Mielczarek, M.; Thomas, R.V.; Ma, C.; Kandemir, H.; Yang, X.; Bhadbhade, M.; Black, D.S.; Griffith, R.; Lewis, P.J.; Kumar, N. Synthesis and biological activity of novel mono-indole and mono-benzofuran inhibitors of bacterial transcription initiation complex formation. Bioorg. Med. Chem. 2015, 23, 1763–1775. [Google Scholar] [CrossRef] [PubMed]
- Kandemir, H.; Ma, C.; Kutty, S.K.; Black, D.S.; Griffith, R.; Lewis, P.J.; Kumar, N. Synthesis and biological evaluation of 2,5-di(7-indolyl)-1,3,4-oxadiazoles, and 2- and 7-indolyl 2-(1,3,4-thiadiazolyl)ketones as antimicrobials. Bioorg. Med. Chem. 2014, 22, 1672–1679. [Google Scholar] [CrossRef] [PubMed]
- Attanasi, O.A.; Spinelli, D. Target in heterocyclic systems. Ital. Soc. Chem. 2010, 14, 1. Available online: http://www.soc.chim.it/it/libriecollane/target_hs (accessed on 17 July 2020).
- Dutta, M.M.; Goswami, B.N.; Kataky, J.C.S. Studies on biologically active heterocycles. Part, I. Synthesis and antifungal activity of some new aroyl hydrazones and 2,5-disubstituted-1,3,4-oxadiazoles. J. Heterocycl. Chem. 1986, 23, 793–795. [Google Scholar] [CrossRef]
- Bernardino, A.M.R.; Gomes, A.O.; Charret, K.S.; Freitas, A.C.C.; Machado, G.M.C.; Canto-Cavalheiro, M.M.; Leon, L.L.; Amaral, V.F. Synthesis and leishmanicidal activities of 1-(4-X-phenyl)-N′-[(4-Y-phenyl)methylene]-1H-pyrazole-4-carbohydrazides. Eur. J. Med. Chem. 2006, 41, 80–87. [Google Scholar] [CrossRef]
- Terzioglu, N.; Gürsoy, A. Synthesis and anticancer evaluation of some new hydrazone derivatives of 2,6-dimethylimidazo [2,1-b][1,3,4]thiadiazole-5-carbohydrazide. Eur. J. Med. Chem. 2003, 38, 781–786. [Google Scholar] [CrossRef]
- Xia, Y.; Fan, C.-D.; Zhao, B.-X.; Zhao, J.; Shin, D.-S.; Miao, J.-Y. Synthesis of novel substituted pyrazole-5-carbohydrazide hydrazone derivatives and discovery of a potent apoptosis inducer in A549 lung cancer cells. Eur. J. Med. Chem. 2008, 43, 2347–2353. [Google Scholar] [CrossRef]
- Zheng, L.-W.; Wu, L.-L.; Zhao, B.-X.; Dong, W.-L.; Miao, J.-Y. Synthesis of novel substituted pyrazole-5-carbohydrazide hydrazone derivatives and discovery of a potent apoptosis inducer in A549 lung cancer cells. Bioorg. Med. Chem. 2009, 17, 1957–1962. [Google Scholar] [CrossRef]
- Wu, E.S.; Kover, A.; Loch, J.T., III; Rosenberg, L.P.; Semus, S.F.; Verhoest, P.R.; Gordon, J.C.; Machulskis, A.C.; McCreedy, S.A.; Zongrone, J. Acylhydrazones as M1/M3 selective muscarinic agonists. Bioorg. Med. Chem. Lett. 1996, 6, 2525–2530. [Google Scholar] [CrossRef]
- Markham, P.; Klyachko, E.; Crich, D.; Jaber, M.; Johnson, M.; Mulhearn, D.; Neyfakh, A. Bactericidal Antimicrobial Methods and Compositions for Use in Treating Gram Positive Infections. WO/2001/070213, 27 September 2020. [Google Scholar]
- Loits, D.; Braese, S.; North, A.J.; White, J.M.; Donnelly, P.S.; Rizzacasa, M.A. Synthesis of homochiral CoIII– and MnIV–[2.2]paracyclophane-schiff base complexes with predetermined chirality at the metal centre. Eur. J. Inorg. Chem. 2016, 22, 3541–3544. [Google Scholar] [CrossRef]
- An, P.; Huo, Y.; Chen, Z.; Song, C.; Ma, Y. Metal-free enantioselective addition of nucleophilic silicon to aromatic aldehydes catalyzed by a [2.2]paracyclophane-based N-heterocyclic carbene catalyst. Org. Biomol. Chem. 2017, 15, 3202–3206. [Google Scholar] [CrossRef] [PubMed]
- Dasgupta, A.; Ramkumar, V.; Sankararaman, S. Catalytic asymmetric hydrogenation using a [2.2]paracyclophane based chiral 1,2,3-triazol-5-ylidene–Pd complex under ambient conditions and 1 atmosphere of H2†. RSC Adv. 2015, 5, 21558–21561. [Google Scholar] [CrossRef]
- Glover, J.E.; Plieger, P.G.; Rowlands, G.J. An enantiomerically pure pyridine NC-palladacycle derived from [2.2]paracyclophane. Aust. J. Chem. 2014, 67, 374–380. [Google Scholar] [CrossRef]
- Wang, L.; Ye, M.; Wang, L.; Duan, W.; Song, C.; Ma, Y. Synthesis of fluorine-substituted [2.2]paracyclophane-based carbene precursors for copper-catalyzed enantioselective boration of α,β-unsaturated ketones. Tetrahedron Asymm. 2017, 28, 54–61. [Google Scholar] [CrossRef]
- Eweiss, N.; Bahajaj, A.; Elsherbini, E. Synthesis of heterocycles. Part VI. Synthesis and antimicrobial activity of some 4-amino-5-aryl-1, 2, 4-triazole-3-thiones and their derivatives. J. Heterocycl. Chem. 1986, 23, 1451–1458. [Google Scholar] [CrossRef]
- Ashok, M.; Holla, B.S.; Poojary, B. Convenient one pot synthesis and antimicrobial evaluation of some new Mannich bases carrying 4-methylthiobenzyl moiety. Eur. J. Med. Chem. 2007, 42, 1095–1101. [Google Scholar] [CrossRef]
- Tozkoparan, B.; Gökhan, N.; Aktay, G.; Yeşilada, E.; Ertan, M. 6-benzylidenethiazolo [3,2-b]-1,2,4-triazole-5 (6H)-ones-substituted with ibuprofen: Synthesis, characterization and evaluation of anti-inflammatory activity. Eur. J Med. Chem. 2000, 35, 743–750. [Google Scholar] [CrossRef]
- Mavrova, A.T.; Wesselinova, D.; Tsenov, Y.A.; Denkova, P. Synthesis, cytotoxicity and effects of some 1, 2, 4-triazole and 1, 3, 4-thiadiazole derivatives on immunocompetent cells. Eur. J Med. Chem. 2009, 44, 63–69. [Google Scholar] [CrossRef]
- Li, Z.; Gu, Z.; Yin, K.; Zhang, R.; Deng, Q.; Xiang, J. Synthesis of substituted-phenyl-1,2,4-triazol-3-thione analogues with modified d-glucopyranosyl residues and their antiproliferative activities. Eur. J. Med. Chem. 2009, 44, 4716–4720. [Google Scholar] [CrossRef]
- Kruse, L.I.; Kaiser, C.; DeWolf, W.E.; Finkelstein, J.A.; Frazee, J.S.; Hilbert, E.L.; Ross, S.T.; Flaim, K.E.; Sawyer, J.L. Some benzyl-substituted imidazoles, triazoles, tetrazoles, pyridinethiones, and structural relatives as multisubstrate inhibitors of dopamine. β-hydroxylase. 4. Structure-activity relationships at the copper binding site. J. Med. Chem. 1990, 33, 781–789. [Google Scholar] [CrossRef] [PubMed]
- Gilmore, J.L.; King, B.W.; Asakawa, N.; Harrison, K.; Tebben, A.; Sheppeck, J.E., II; Liu, R.-Q.; Covington, M.; Duan, J.J.-W. Synthesis and structure–activity relationship of a novel, non-hydroxamate series of TNF-α converting enzyme inhibitors. Bioorg. Med. Chem. Lett. 2007, 17, 4678–4682. [Google Scholar] [CrossRef]
- Maingot, L.; Leroux, F.; Landry, V.; Dumont, J.; Nagase, H.; Villoutreix, B.; Sperandio, O.; Deprez-Poulain, R.; Deprez, B. New non-hydroxamic ADAMTS-5 inhibitors based on the 1, 2, 4-triazole-3-thiol scaffold. Bioorg. Med. Chem. Lett. 2010, 20, 6213–6216. [Google Scholar] [CrossRef]
- Amtul, Z.; Rasheed, M.; Choudhary, M.I.; Rosanna, S.; Khan, K.M. Kinetics of novel competitive inhibitors of urease enzymes by a focused library of oxadiazoles/thiadiazoles and triazoles. Biochem. Biophy. Res. Commu. 2004, 319, 1053–1063. [Google Scholar] [CrossRef] [PubMed]
- Vella, P.; Hussein, W.M.; Leung, E.W.; Clayton, D.; Ollis, D.L.; Mitić, N.; Schenk, G.; McGeary, R.P. The identification of new metallo-β-lactamase inhibitor leads from fragment-based screening. Bioorg. Med. Chem. Lett. 2011, 21, 3282–3285. [Google Scholar] [CrossRef]
- Hussein, W.M.; Vella, P.; Islam, N.U.; Ollis, D.L.; Schenk, G.; McGeary, R.P. 3-Mercapto-1, 2, 4-triazoles and N-acylated thiosemicarbazides as metallo-β-lactamase inhibitors. Bioorg. Med. Chem. Lett. 2012, 22, 380–386. [Google Scholar]
- Feng, L.; Yang, K.-W.; Zhou, L.-S.; Xiao, J.-M.; Yang, X.; Zhai, L.; Zhang, Y.-L.; Crowder, M.W. N-heterocyclic dicarboxylic acids: Broad-spectrum inhibitors of metallo-β-lactamases with co-antibacterial effect against antibiotic-resistant bacteria. Bioorg. Med. Chem. Lett. 2012, 22, 5185–5189. [Google Scholar] [CrossRef] [PubMed]
- Yang, S.-K.; Kang, J.S.; Oelschlaeger, P.; Yang, K.-W. Azolylthioacetamide: A highly promising scaffold for the development of metallo-β-lactamase inhibitors. ACS Med. Chem. Lett. 2015, 6, 455–460. [Google Scholar] [CrossRef] [PubMed]
- Christopeit, T.; Yang, K.-W.; Yang, S.-K.; Leiros, H.-K. The structure of the metallo-β-lactamase VIM-2 in complex with a triazolylthioacetamide inhibitor. Acta Crystallogr. F 2016, 72, 813–819. [Google Scholar] [CrossRef]
- Franklim, T.N.; Freire-de-Lima, L.; De Nazareth Sá Diniz, J.; Previato, J.O.; Castro, R.N.; Mendonça-Previato, L.; De Lima, M.E.F. Design, synthesis and trypanocidal evaluation of novel 1,2,4-triazoles-3-thiones derived from natural piperine. Molecules 2013, 18, 6366–6382. [Google Scholar] [CrossRef]
- Hassan, G.S.; El-Messery, S.M.; Al-Omary, F.A.; Al-Rashood, S.T.; Shabayek, M.I.; Abulfadl, Y.S.; Habib, E.-S.E.; El-Hallouty, S.M.; Fayad, W.; Mohamed, K.M. Nonclassical antifolates, part 4. 5-(2-Aminothiazol-4-yl)-4-phenyl-4H-1,2,4-triazole-3-thiols as a new class of DHFR inhibitors: Synthesis, biological evaluation and molecular modeling study. Eur. J. Med. Chem. 2013, 66, 135–145. [Google Scholar] [CrossRef] [PubMed]
- Boraei, A.T.; Gomaa, M.S.; El Sayed, H.; Duerkop, A. Design, selective alkylation and X-ray crystal structure determination of dihydro-indolyl-1,2,4-triazole-3-thione and its 3-benzylsulfanyl analogue as potent anticancer agents. Eur. J. Med. Chem. 2017, 125, 360–371. [Google Scholar] [CrossRef] [PubMed]
- Aouad, M.R.; Mayaba, M.M.; Naqvi, A.; Bardaweel, S.K.; Al-blewi, F.F.; Messali, M.; Rezki, N. Design, synthesis, in silico and in vitro antimicrobial screenings of novel 1,2,4-triazoles carrying 1,2,3-triazole scaffold with lipophilic side chain tether. Chem. Cent. J. 2017, 11, 117. [Google Scholar] [CrossRef] [PubMed]
- Timur, İ.; Kocyigit, Ü.M.; Dastan, T.; Sandal, S.; Ceribası, A.O.; Taslimi, P.; Gulcin, İ.; Koparir, M.; Karatepe, M.; Çiftçi, M. In vitro cytotoxic and in vivo antitumoral activities of some aminomethyl derivatives of 2,4-dihydro-3H-1,2,4-triazole-3-thiones—Evaluation of their acetylcholinesterase and carbonic anhydrase enzymes inhibition profiles. J. Biochem. Mol. Tox. 2019, 33, e22239. [Google Scholar] [CrossRef] [PubMed]
- Küçükgüzel, I.; Tatar, E.; Küçükgüzel, Ş.G.; Rollas, S.; De Clercq, E. Synthesis of some novel thiourea derivatives obtained from 5-[(4-aminophenoxy) methyl]-4-alkyl/aryl-2,4-dihydro-3H-1,2,4-triazole-3-thiones and evaluation as antiviral/anti-HIV and anti-tuberculosis agents. Eur. J. Med. Chem. 2008, 43, 381–392. [Google Scholar] [CrossRef]
- Kaproń, B.; Łuszczki, J.J.; Płazińska, A.; Siwek, A.; Karcz, T.; Gryboś, A.; Nowak, G.; Makuch-Kocka, A.; Walczak, K.; Langner, E. Development of the 1, 2, 4-triazole-based anticonvulsant drug candidates acting on the voltagegated sodium channels. Insights from in-vivo, in-vitro, and in-silico studies. Eur. J. Pharm. Sci. 2019, 129, 42–57. [Google Scholar] [CrossRef]
- Sun, X.H.; Tao, Y.; Liu, Y.F.; Chen, B.; Jia, Y.Q.; Yang, J.W. Synthesis and biological activities of alkyl substituted triazolethione Schiff base. Chin. J. Chem. 2008, 26, 1133–1136. [Google Scholar] [CrossRef]
- Luszczki, J.J.; Plech, T.; Wujec, M. Effect of 4-(4-bromophenyl)-5-(3-chlorophenyl)-2, 4-dihydro-3H-1,2,4-triazole-3-thione on the anticonvulsant action of different classical antiepileptic drugs in the mouse maximal electroshock-induced seizure model. Eur. J. Pharmacol. 2012, 690, 99–106. [Google Scholar] [CrossRef]
- Tozkoparan, B.; Kuepeli, E.; Yesilada, E.; Isik, S.; Oezalp, M.; Ertan, M. Synthesis and evaluation of analgesic/anti-inflammatory and antimicrobial activities of 3-substituted-1,2,4-triazole-5-thiones. Arzneimittelforschung 2005, 55, 533–540. [Google Scholar] [CrossRef]
- Idrees, M.; Nasare, R.D.; Siddiqui, N.J. Synthesis of S-phenacylated trisubstituted 1,2,4-triazole incorporated with 5-(benzofuran-2-yl)-1-phenyl-1H-pyrazol-3-yl moiety and their antibacterial screening. Der Chem. Sin. 2016, 7, 28–35. [Google Scholar]
- Barot, K.P.; Manna, K.S.; Ghate, M.D. Design, synthesis and antimicrobial activities of some novel 1, 3, 4-thiadiazole, 1,2,4-triazole-5-thione and 1,3-thiazolan-4-one derivatives of benzimidazole. J. Saudi Chem. Soc. 2017, 21, S35–S43. [Google Scholar] [CrossRef]
- Hanif, M.; Saleem, M.; Hussain, M.T.; Rama, N.H.; Zaib, S.; Aslam, M.A.M.; Jones, P.G.; Iqbal, J. Synthesis, urease inhibition, antioxidant and antibacterial studies of some 4-amino-5-aryl-3H-1,2,4-triazole-3-thiones and their 3,6-disubstituted 1,2,4-triazolo[3,4-b]1,3,4-thiadiazole derivatives. J. Braz. Chem. Soc. 2012, 23, 854–860. [Google Scholar] [CrossRef]
- Özadalı, K.; Özkanlı, F.; Jain, S.; Rao, P.P.; Velázquez-Martínez, C.A. Synthesis and biological evaluation of isoxazolo[4,5-d]pyridazin-4-(5H)-one analogues as potent anti-inflammatory agents. Bioorg. Med. Chem. 2012, 20, 2912–2922. [Google Scholar] [CrossRef] [PubMed]
- Patil, P.B.; Patil, J.D.; Korade, S.N.; Kshirsagar, S.D.; Govindwar, S.P.; Pore, D.M. An efficient synthesis of anti-microbial 1,2,4-triazole-3-thiones promoted by acidic ionic liquid. Res. Chem. Intermed. 2016, 42, 4171–4180. [Google Scholar] [CrossRef]
- Adachi, C.; Tsutsui, T.; Saito, S. Blue light-emitting organic electroluminescent devices. Appl. Phy. Lett. 1990, 56, 799–801. [Google Scholar] [CrossRef]
- Lee, J.; Shizu, K.; Tanaka, H.; Nomura, H.; Yasuda, T.; Adachi, C. Oxadiazole-and triazole-based highly-efficient thermally activated delayed fluorescence emitters for organic light-emitting diodes. J. Mat. Chem. 2013, 1, 4599–4604. [Google Scholar] [CrossRef]
- Deeks, S.G.; Kar, S.; Gubernick, S.I.; Kirkpatrick, P. Raltegravir. Nat. Rev. Drug Discov. 2008, 7, 117–118. [Google Scholar] [CrossRef]
- James, N.D.; Growcott, J.W. Zibotentan endothelin ETA receptor antagonist oncolytic. Drug. Future 2009, 34, 624–633. [Google Scholar] [CrossRef]
- Ducharme, Y.; Blouin, M.; Brideau, C.; Châteauneuf, A.; Gareau, Y.; Grimm, E.L.; Juteau, H.; Laliberté, S.; MacKay, B.; Massé, F. The discovery of setileuton, a potent and selective 5-lipoxygenase inhibitor. ACS Med. Chem. Lett. 2010, 1, 170–174. [Google Scholar] [CrossRef]
- Boström, J.; Hogner, A.; Llinàs, A.; Wellner, E.; Plowright, A.T. Oxadiazoles in medicinal chemistry. J. Med. Chem. 2012, 55, 1817–1830. [Google Scholar] [CrossRef]
- Frost, J.R.; Scully, C.C.; Yudin, A.K. Oxadiazole grafts in peptide macrocycles. Nat. Chem. 2016, 8, 1105–1111. [Google Scholar] [CrossRef] [PubMed]
- Kadi, A.A.; El-Brollosy, N.R.; Al-Deeb, O.A.; Habib, E.E.; Ibrahim, T.M.; El-Emam, A.A. Synthesis, antimicrobial, and anti-inflammatory activities of novel 2-(1-adamantyl)-5-substituted-1,3,4-oxadiazoles and 2-(1-adamantylamino)-5-substituted-1,3, 4-thiadiazoles. Eur. J. Med. Chem. 2007, 42, 235–242. [Google Scholar] [CrossRef] [PubMed]
- Mickevičius, V.; Vaickelionienė, R.; Sapijanskaitė, B. Synthesis of substituted 1,3,4-oxadiazole derivatives. Chem. Heterocycl. Compds. 2009, 45, 215–218. [Google Scholar] [CrossRef]
- Bentiss, F.; Lagrenee, M. A new synthesis of symmetrical 2,5-disubstituted 1,3,4-oxadiazoles. J. Heterocycl. Chem. 1999, 36, 1029–1032. [Google Scholar] [CrossRef]
- Liras, S.; Allen, M.P.; Segelstein, B.E. A mild method for the preparation of 1,3,4-oxadiazoles: Triflic anhydride promoted cyclization of diacylhydrazines. Synth. Commun. 2000, 30, 437–443. [Google Scholar] [CrossRef]
- Gomes, D.; Borges, C.; Pinto, J. Study of the synthesis of poly (4,4′-diphenylether-1,3,4-oxadiazole) in solutions of poly (phosphoric acid). Polymer 2001, 42, 851–865. [Google Scholar] [CrossRef]
- Souldozi, A.; Ramazani, A. The reaction of (N-isocyanimino) triphenylphosphorane with benzoic acid derivatives: A novel synthesis of 2-aryl-1,3,4-oxadiazole derivatives. Tetrahedron Lett. 2007, 48, 1549–1551. [Google Scholar] [CrossRef]
- Ramazani, A.; Abdian, B.; Nasrabadi, F.Z.; Rouhani, M. The reaction of N-isocyaniminotriphenylphosphorane with biacetyl in the presence of (E)-cinnamic acids: Synthesis of fully substituted 1,3,4-oxadiazole derivatives via intramolecular aza-wittig reactions of in situ generated iminophosphoranes. Phosphorus Sulfur 2013, 188, 642–648. [Google Scholar] [CrossRef]
- Ramazani, A.; Zeinali Nasrabadi, F.; Ahmadi, Y. One-pot, four-component synthesis of fully substituted 1,3,4-oxadiazole derivatives from (isocyanoimino) triphenylphosphorane, a primary amine, an aromatic carboxylic acid, and chloroacetone. Helv. Chim. Acta 2011, 94, 1024–1029. [Google Scholar] [CrossRef]
- Ramazani, A.; Souldozi, A. Iminophosphorane-mediated one-pot synthesis of 1,3,4-oxadiazole derivatives. Arkivoc 2008, 16, 235–242. [Google Scholar]
- Aly, A.A.; Bräse, S.; Hassan, A.A.; Mohamed, N.K.; El-Haleem, L.E.A.; Nieger, M.; Morsye, N.M.; Abdelhafez, E.M.N. New paracyclophanylthiazoles of anti-leukemia activity; design, synthesis molecular docking and mechanistic studies. Molecules 2020, 25, 3089. [Google Scholar] [CrossRef] [PubMed]
- Brown, C.; Farthing, A. Preparation and structure of di-p-xylylene. Nature 1949, 164, 915–916. [Google Scholar] [CrossRef]
- Aly, A.A.; Brown, A.B.; El-Emary, T.I.; Ewas, A.M.; Ramadan, M. Hydrazinecarbothioamide group in the synthesis of heterocycles. Arkivoc 2009, i, 150–197. [Google Scholar]
- Vögtle, F.; Neumann, P. The synthesis of [2.2]phanes. Synthesis 1973, 2, 85–103. [Google Scholar] [CrossRef]
- Zitt, H.; Dix, I.; Hopf, H.; Jones, P.G. 4,15-Diamino[2.2]paracyclophane, a Reusable Template for Topochemical Reaction Control in Solution. Eur. J. Org. Chem. 2002, 2298–2307. [Google Scholar] [CrossRef]
- Hopf, H.; Narayanan, S.V.; Jones, P.G. The preparation of new functionalized [2.2]paracyclophane derivatives with N-containing functional groups. Beilstein J. Org. Chem. 2015, 11, 437–445. [Google Scholar] [CrossRef] [PubMed]
- Braun, C.; Bräse, S.; Schafer, L.L. Planar-chiral [2.2]Paracyclophane-based amides as proligands for titanium- and zirconium-catalyzed hydroamination. Eur. J. Org. Chem. 2017, 1760–1764. [Google Scholar] [CrossRef]
- Sheldrick, G.M. SHELXT-Integrated space-group and crystal-structure determination. Acta Crystallogr. A 2015, 71, 3–8. [Google Scholar] [CrossRef]
- Sheldrick, G.M. Crystal structure refinement with SHELXL. Acta Crystallogr. C 2015, 71, 3–8. [Google Scholar] [CrossRef] [PubMed]
- Spek, A.L. Structure validation in chemical crystallography. Acta Crystallogr. D 2009, 65, 148–155. [Google Scholar] [CrossRef]
Sample Availability: Samples of the compounds are not available from the authors. |















© 2020 by the authors. Licensee MDPI, Basel, Switzerland. This article is an open access article distributed under the terms and conditions of the Creative Commons Attribution (CC BY) license (http://creativecommons.org/licenses/by/4.0/).
Share and Cite
Aly, A.A.; Bräse, S.; Hassan, A.A.; Mohamed, N.K.; El-Haleem, L.E.A.; Nieger, M. Synthesis of New Planar-Chiral Linked [2.2]Paracyclophanes-N-([2.2]-Paracyclophanylcarbamoyl)-4-([2.2]Paracyclophanylcarboxamide, [2.2]Paracyclophanyl-Substituted Triazolthiones and -Substituted Oxadiazoles. Molecules 2020, 25, 3315. https://doi.org/10.3390/molecules25153315
Aly AA, Bräse S, Hassan AA, Mohamed NK, El-Haleem LEA, Nieger M. Synthesis of New Planar-Chiral Linked [2.2]Paracyclophanes-N-([2.2]-Paracyclophanylcarbamoyl)-4-([2.2]Paracyclophanylcarboxamide, [2.2]Paracyclophanyl-Substituted Triazolthiones and -Substituted Oxadiazoles. Molecules. 2020; 25(15):3315. https://doi.org/10.3390/molecules25153315
Chicago/Turabian StyleAly, Ashraf A., Stefan Bräse, Alaa A. Hassan, Nasr K. Mohamed, Lamiaa E. Abd El-Haleem, and Martin Nieger. 2020. "Synthesis of New Planar-Chiral Linked [2.2]Paracyclophanes-N-([2.2]-Paracyclophanylcarbamoyl)-4-([2.2]Paracyclophanylcarboxamide, [2.2]Paracyclophanyl-Substituted Triazolthiones and -Substituted Oxadiazoles" Molecules 25, no. 15: 3315. https://doi.org/10.3390/molecules25153315
APA StyleAly, A. A., Bräse, S., Hassan, A. A., Mohamed, N. K., El-Haleem, L. E. A., & Nieger, M. (2020). Synthesis of New Planar-Chiral Linked [2.2]Paracyclophanes-N-([2.2]-Paracyclophanylcarbamoyl)-4-([2.2]Paracyclophanylcarboxamide, [2.2]Paracyclophanyl-Substituted Triazolthiones and -Substituted Oxadiazoles. Molecules, 25(15), 3315. https://doi.org/10.3390/molecules25153315

