Positional Isomerism in the N^N Ligand: How Much Difference Does a Methyl Group Make in [Cu(P^P)(N^N)]+ Complexes?
Abstract
1. Introduction
2. Results and Discussion
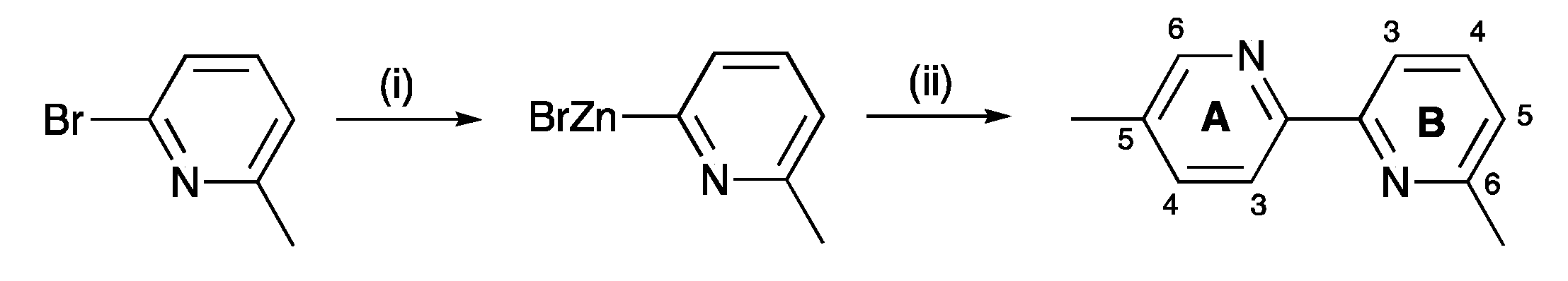
2.1. Synthesis and Structural Characterization of 5,6′-Me2bpy
2.2. Synthesis and Characterization of [Cu(POP)(5,6′-Me2bpy)][PF6] and [Cu(xantphos)(5,6′-Me2bpy)][PF6]
2.3. Electrochemical and Photophysical Properties
3. Materials and Methods
3.1. General
3.2. Synthesis of 5,6′-Me2bpy
3.3. [Cu(POP)(5,6′-Me2bpy)][PF6]
3.4. [Cu(xantphos)(5,6′-Me2bpy)][PF6]
3.5. Crystallography
3.6. 5,6′-Me2bpy
3.7. [Cu(POP)(5,6′-Me2bpy)][PF6].Me2CO
3.8. [Cu(xantphos)(5,6′-Me2bpy)][PF6] .0.5CH2Cl2.0.75Et2O
4. Conclusions
Supplementary Materials
Author Contributions
Funding
Acknowledgments
Conflicts of Interest
References
- Shaping Europe’s digital future. Lighting the Future. Policy. 2018. Shaping Europe’s digital future. Available online: https://ec.europa.eu/digital-single-market/en/lighting-future (accessed on 25 May 2020).
- Costa, R.D. Light-Emitting Electrochemical Cells; Springer Science and Business Media LLC: New York, NY, USA, 2017. [Google Scholar]
- Fresta, E.; Costa, R.D. Beyond traditional light-emitting electrochemical cells – a review of new device designs and emitters. J. Mater. Chem. C 2017, 5, 5643–5675. [Google Scholar] [CrossRef]
- Costa, R.D.; Ortí, E.; Bolink, H.J.; Monti, F.; Accorsi, G.; Armaroli, N. Luminescent Ionic Transition-Metal Complexes for Light-Emitting Electrochemical Cells. Angew. Chem. Int. Ed. 2012, 51, 8178–8211. [Google Scholar] [CrossRef] [PubMed]
- Elie, M.; Gaillard, S.; Renaud, J.-L. Luminescent Cationic Copper(I) Complexes: Synthesis, Photophysical Properties and Application in Light-Emitting Electrochemical Cells. In Light-Emitting Electrochemical Cells; Springer Science and Business Media LLC: New York, NY, USA, 2017; pp. 287–327. [Google Scholar]
- Kamer, P.C.J.; Van Leeuwen, P.W.N.M.; Reek, J.N.H. Wide bite angle diphosphines: Xantphos ligands in transition metal complexes and catalysis. Acc. Chem. Res. 2001, 34, 895–904. [Google Scholar] [CrossRef] [PubMed]
- Buckner, M.T.; McMillin, D.R. Photoluminescence from copper(I) complexes with low-lying metal-to-ligand charge transfer excited states. J. Chem. Soc. Chem. Commun. 1978, 759. [Google Scholar] [CrossRef]
- Rader, R.A.; McMillin, D.R.; Buckner, M.T.; Matthews, T.G.; Casadonte, D.J.; Lengel, R.K.; Whittaker, S.B.; Darmon, L.M.; Lytle, F.E. Photostudies of 2,2′-bipyridine bis(triphenylphosphine)copper(1+), 1,10-phenanthroline bis(triphenylphosphine)copper(1+), and 2,9-dimethyl-1,10-phenanthroline bis(triphenylphosphine)copper(1+) in solution and in rigid, low-temperature glasses. Simultaneous multiple emissions from intraligand and charge-transfer states. J. Am. Chem. Soc. 1981, 103, 5906–5912. [Google Scholar] [CrossRef]
- Czerwieniec, R.; Leitl, M.J.; Homeier, H.H.H.; Yersin, H. Cu(I) complexes – Thermally activated delayed fluorescence. Photophysical approach and material design. Coord. Chem. Rev. 2016, 325, 2–28. [Google Scholar] [CrossRef]
- Bergmann, L.; Zink, D.M.; Bräse, S.; Baumann, T.; Volz, D.; Bräse, S. Metal–Organic and Organic TADF-Materials: Status, Challenges and Characterization. Top. Curr. Chem. 2016, 374, 22. [Google Scholar] [CrossRef] [PubMed]
- Armaroli, N.; Accorsi, G.; Holler, M.; Moudam, O.; Nierengarten, J.-F.; Zhou, Z.; Wegh, R.T.; Welter, R. Highly Luminescent CuI Complexes for Light-Emitting Electrochemical Cells. Adv. Mater. 2006, 18, 1313–1316. [Google Scholar] [CrossRef]
- Costa, R.D.; Tordera, D.; Ortí, E.; Bolink, H.J.; Schönle, J.; Graber, S.; Housecroft, C.E.; Constable, E.C.; Zampese, J.A. Copper(i) complexes for sustainable light-emitting electrochemical cells. J. Mater. Chem. 2011, 21, 16108–16118. [Google Scholar] [CrossRef]
- Keller, S.; Constable, E.C.; Housecroft, C.E.; Neuburger, M.; Prescimone, A.; Longo, G.; Pertegás, A.; Sessolo, M.; Bolink, H.J. [Cu(bpy)(P^P)]+ containing light-emitting electrochemical cells: Improving performance through simple substitution. Dalton Trans. 2014, 43, 16593–16596. [Google Scholar] [CrossRef]
- Keller, S.; Pertegás, A.; Longo, G.; Martínez-Sarti, L.; Cerdá, J.; Junquera-Hernandez, J.M.; Prescimone, A.; Constable, E.C.; Housecroft, C.E.; Ortí, E.; et al. Shine bright or live long: Substituent effects in [Cu(N^N)(P^P)]+-based light-emitting electrochemical cells where N^N is a 6-substituted 2,2′-bipyridine. J. Mater. Chem. C 2016, 4, 3857–3871. [Google Scholar] [CrossRef]
- Alkan-Zambada, M.; Keller, S.; Martínez-Sarti, L.; Prescimone, A.; Junquera-Hernandez, J.M.; Constable, E.C.; Bolink, H.J.; Sessolo, M.; Ortí, E.; Housecroft, C.E. [Cu(P^P)(N^N)][PF6] compounds with bis(phosphane) and 6-alkoxy, 6-alkylthio, 6-phenyloxy and 6-phenylthio-substituted 2,2′-bipyridine ligands for light-emitting electrochemical cells. J. Mater. Chem. C 2018, 6, 8460–8471. [Google Scholar] [CrossRef]
- Fresta, E.; Volpi, G.; Milanesio, M.; Garino, C.; Barolo, C.; Costa, R.D. Novel Ligand and Device Designs for Stable Light-Emitting Electrochemical Cells Based on Heteroleptic Copper(I) Complexes. Inorg. Chem. 2018, 57, 10469–10479. [Google Scholar] [CrossRef]
- Keller, S.; Prescimone, A.; Bolink, H.J.; Sessolo, M.; Longo, G.; Martínez-Sarti, L.; Junquera-Hernandez, J.M.; Constable, E.C.; Ortí, E.; Housecroft, C.E. Luminescent copper(i) complexes with bisphosphane and halogen-substituted 2,2′-bipyridine ligands. Dalton Trans. 2018, 47, 14263–14276. [Google Scholar] [CrossRef]
- Hansch, C.; Leo, A.; Unger, S.H.; Kim, K.H.; Nikaitani, D.; Lien, E.J. Aromatic substituent constants for structure-activity correlations. J. Med. Chem. 1973, 16, 1207–1216. [Google Scholar] [CrossRef] [PubMed]
- Mager, P.P. Masca model of pharmacochemistry. Part 7. Statistical analysis of inductive and resonance contributions to electronic substituent effects. Sci. Pharm. 1980, 48, 117–126. [Google Scholar]
- Schubert, U.S.; Eschbaumer, C.; Heller, M. Stille-type cross-coupling-An efficient way to various symmetrically and unsymmetrically substituted methyl-bipyridines: Toward new ATRP catalysts. Org. Lett. 2000, 2, 3373–3376. [Google Scholar] [CrossRef]
- Heller, M.; Schubert, U.S. Functionalized 2,2′-Bipyridines and 2,2′:6′,2‘ ’-Terpyridines via Stille-Type Cross-Coupling Procedures. J. Org. Chem. 2002, 67, 8269–8272. [Google Scholar] [CrossRef]
- Brunner, H.; Tsuno, T.; Balazs, G.; Bodensteiner, M. Methyl/Phenyl Attraction by CH/π Interaction in 1,2-Substitution Patterns. J. Org. Chem. 2014, 79, 11454–11462. [Google Scholar] [CrossRef]
- Yang, L.; Powell, U.R.; Houser, R. Structural variation in copper(i) complexes with pyridylmethylamide ligands: Structural analysis with a new four-coordinate geometry index, τ4. Dalton Trans. 2007, 955–964. [Google Scholar] [CrossRef]
- Nishio, M. CH/π hydrogen bonds in crystals. Cryst. Eng. Comm. 2004, 6, 130. [Google Scholar] [CrossRef]
- Brunner, F.; Babaei, A.; Pertegás, A.; Junquera-Hernandez, J.M.; Prescimone, A.; Constable, E.C.; Bolink, H.J.; Sessolo, M.; Ortí, E.; Housecroft, C.E. Phosphane tuning in heteroleptic [Cu(N^N)(P^P)]+ complexes for light-emitting electrochemical cells. Dalton Trans. 2019, 48, 446–460. [Google Scholar] [CrossRef]
- Alkan-Zambada, M.; Hu, X. Cu Photoredox Catalysts Supported by a 4,6-Disubstituted 2,2′-Bipyridine Ligand: Application in Chlorotrifluoromethylation of Alkenes. Organometallics 2018, 37, 3928–3935. [Google Scholar] [CrossRef]
- Mazzeo, F.; Brunner, F.; Prescimone, A.; Constable, E.C.; Housecroft, C.E. Intra-Cation versus Inter-Cation π-Contacts in [Cu(P^P)(N^N)][PF6] Complexes. Crystals 2019, 10, 1. [Google Scholar] [CrossRef]
- Brunner, F.; Graber, S.; Baumgartner, Y.; Häussinger, D.; Prescimone, A.; Constable, E.C.; Housecroft, C.E. The effects of introducing sterically demanding aryl substituents in [Cu(N^N)(P^P)] + complexes. Dalton Trans. 2017, 46, 6379–6391. [Google Scholar] [CrossRef]
- Keller, S.; Brunner, F.; Junquera-Hernández, J.M.; Pertegás, A.; La-Placa, M.-G.; Prescimone, A.; Constable, E.C.; Bolink, H.J.; Ortí, E.; Housecroft, C.E. CF3 Substitution of [Cu(P^P)(bpy)][PF6 ] Complexes: Effects on Photophysical Properties and Light-Emitting Electrochemical Cell Performance. ChemPlusChem 2018, 83, 217–229. [Google Scholar] [CrossRef]
- Leoni, E.; Mohanraj, J.; Holler, M.; Mohankumar, M.; Nierengarten, I.; Monti, F.; Sournia-Saquet, A.; Delavaux-Nicot, B.; Nierengarten, J.-F.; Armaroli, N. Heteroleptic Copper(I) Complexes Prepared from Phenanthroline and Bis-Phosphine Ligands: Rationalization of the Photophysical and Electrochemical Properties. Inorg. Chem. 2018, 57, 15537–15549. [Google Scholar] [CrossRef]
- Brunner, F.; Martínez-Sarti, L.; Keller, S.; Pertegás, A.; Prescimone, A.; Constable, E.C.; Bolink, H.J.; Housecroft, C.E. Peripheral halo-functionalization in [Cu(N^N)(P^P)]+ emitters: Influence on the performances of light-emitting electrochemical cells. Dalton Trans. 2016, 45, 15180–15192. [Google Scholar] [CrossRef]
- Keller, S.; Alkan-Zambada, M.; Prescimone, A.; Constable, E.C.; Housecroft, C.E. Extended π-Systems in Diimine Ligands in [Cu(P^P)(N^N)][PF6] Complexes: From 2,2′-Bipyridine to 2-(Pyridin-2-yl)Quinoline. Crystals 2020, 10, 255. [Google Scholar] [CrossRef]
- Andrés-Tomé, I.; Fyson, J.; Dias, F.B.; Monkman, A.P.; Iacobellis, G.; Coppo, P. Copper(i) complexes with bipyridyl and phosphine ligands: A systematic study. Dalton Trans. 2012, 41, 8669. [Google Scholar] [CrossRef]
- Keller, S. Heteroleptic Light-Emitting Copper(I) Complexes with Possible Applications in Light-Emitting Electrochemical Cells. Ph.D. Thesis, University of Basel, Basel, Switzerland, 2017. [Google Scholar]
- Gothard, N.A.; Mara, M.W.; Huang, J.; Szarko, J.M.; Rolczynski, B.; Lockard, J.V.; Chen, L.X. Strong Steric Hindrance Effect on Excited State Structural Dynamics of Cu(I) Diimine Complexes. J. Phys. Chem. A 2012, 116, 1984–1992. [Google Scholar] [CrossRef] [PubMed]
- Czerwieniec, R.; Kowalski, K.; Yersin, H. Highly efficient thermally activated fluorescence of a new rigid Cu(i) complex [Cu(dmp)(phanephos)]+. Dalton Trans. 2013, 42, 9826. [Google Scholar] [CrossRef] [PubMed]
- Czerwieniec, R.; Yu, J.; Yersin, H. Blue-Light Emission of Cu(I) Complexes and Singlet Harvesting. Inorg. Chem. 2011, 50, 8293–8301. [Google Scholar] [CrossRef] [PubMed]
- Kubas, G.J.; Monzyk, B.; Crumbliss, A.L. Tetrakis(Acetonitrile)Copper(I) Hexafluorophosphate. Inorg. Synth. 2007, 19, 90–92. [Google Scholar] [CrossRef]
- X-Area LANA 1.75.3.0; STOE: Darmstadt, Germany, 2018.
- Dolomanov, O.; Bourhis, L.J.; Gildea, R.; Howard, J.A.; Puschmann, H. OLEX2: A complete structure solution, refinement and analysis program. J. Appl. Crystallogr. 2009, 42, 339–341. [Google Scholar] [CrossRef]
- Sheldrick, G.M. SHELXT - integrated space-group and crystal-structure determination. Acta Crystallogr. Sect. A Found. Adv. 2015, 71, 3–8. [Google Scholar] [CrossRef]
- Sheldrick, G.M. Crystal Structure Refinement with ShelXL. Acta Crystallogr. 2015, C27, 3–8. [Google Scholar] [CrossRef]
- Software for the Integration of CCD Detector System Bruker Analytical X-ray Systems; Bruker axs: Madison, WI, USA, after 2013.
- Palatinus, L.; Chapuis, G. SUPERFLIP—A computer program for the solution of crystal structures by charge flipping in arbitrary dimensions. J. Appl. Crystallogr. 2007, 40, 786–790. [Google Scholar] [CrossRef]
- Palatinus, L.; Prathapa, S.J.; Van Smaalen, S. EDMA: A computer program for topological analysis of discrete electron densities. J. Appl. Crystallogr. 2012, 45, 575–580. [Google Scholar] [CrossRef]
- Betteridge, P.W.; Carruthers, J.R.; Cooper, R.I.; Prout, K.; Watkin, D.J. CRYSTALS version 12: Software for guided crystal structure analysis. J. Appl. Crystallogr. 2003, 36, 1487. [Google Scholar] [CrossRef]
- Macrae, C.; Edgington, P.R.; McCabe, P.E.; Pidcock, E.; Shields, G.; Taylor, R.; Towler, M.; Van De Streek, J. Mercury: Visualization and analysis of crystal structures. J. Appl. Crystallogr. 2006, 39, 453–457. [Google Scholar] [CrossRef]
- Macrae, C.; Bruno, I.J.; Chisholm, J.A.; Edgington, P.R.; McCabe, P.E.; Pidcock, E.; Rodriguez-Monge, L.; Taylor, R.; Van De Streek, J.; Wood, P.A. Mercury CSD 2.0– new features for the visualization and investigation of crystal structures. J. Appl. Crystallogr. 2008, 41, 466–470. [Google Scholar] [CrossRef]
- Spek, A.L. Platonsqueeze: A tool for the calculation of the disordered solvent contribution to the calculated structure factors. Acta Crystallogr. 2015, C71, 9–18. [Google Scholar] [CrossRef]
Sample Availability: Samples of the compounds are not available from the authors. |










| Parameter | [Cu(POP)(5,6′-Me2bpy)]+ | [Cu(xantphos)(5,6′-Me2bpy)]+ |
|---|---|---|
| Cu–N/Å | 2.075(2), 2.089(2) | 2.053(2), 2.105(2) |
| Cu–P/Å | 2.2967(7), 2.2517(7) | 2.2488(8), 2.2555(8) |
| P–Cu–P/o | 113.48(3) | 117.36(3) |
| N–Cu–N/o | 79.90(8) | 80.02(9) |
| N–Cu–P/o | 131.84(6), 108.61(6), 110.64(6), 103.82(6) | 120.61(7), 116.05(7), 103.55(7), 110.47(7) |
| τ4 1 | 0.83 | 0.87 |
| Compound | E1/2 /V | Epc–Epa/mV | Epca/V | Reference |
|---|---|---|---|---|
| [Cu(POP)(5,6′-Me2bpy)][PF6] | +0.81 | This work | ||
| [Cu(xantphos)(5,6′-Me2bpy)][PF6] | +0.89 | This work | ||
| [Cu(POP)(6,6′-Me2bpy)][BF4] | +0.82 b | – d | [33] | |
| [Cu(xantphos)(6,6′-Me2bpy)][PF6] | +0.90 | 150 | [29] | |
| [Cu(POP)(6-Mebpy)][PF6] | +0.69 | – d | [13] | |
| [Cu(xantphos)(6-Mebpy)][PF6] | +0.85 c | 100 | [34] | |
| [Cu(POP)(bpy)][PF6] | +0.72 | 110 | [29] | |
| [Cu(POP)(bpy)][BF4] | +0.72 b | – d | [33] | |
| [Cu(xantphos)(bpy)][PF6] | +0.76 | 110 | [29] | |
| [Cu(xantphos)(bpy)][BF4] | +0.67 b | – d | [33] |
| Compound | λemmax/nm | PLQY/% a | τ/μs a | Reference |
|---|---|---|---|---|
| [Cu(POP)(5,6′-Me2bpy)][PF6] | 553 | 12 | 6 b | This work |
| [Cu(xantphos)(5,6′-Me2bpy)][PF6] | 555 | 11 | 5 b | This work |
| [Cu(POP)(6,6′-Me2bpy)][PF6] | 535 | 43.2 | 10.5 c | [13] |
| [Cu(xantphos)(6,6′-Me2bpy)][PF6] | 539 | 37 | 11 c | [14] |
| [Cu(POP)(6-Mebpy)][PF6] | 567 | 9.5 | 2.6 b | [13] |
| [Cu(xantphos)(6-Mebpy)][PF6] | 547 | 34 | 9.6 b | [14] |
| [Cu(POP)(bpy)][PF6] | 580 | 3.0 | 1.5 c | [17] |
| [Cu(xantphos)(bpy)][PF6] | 587 | 1.7 | 1.5 c | [17] |
© 2020 by the authors. Licensee MDPI, Basel, Switzerland. This article is an open access article distributed under the terms and conditions of the Creative Commons Attribution (CC BY) license (http://creativecommons.org/licenses/by/4.0/).
Share and Cite
Brunner, F.; Prescimone, A.; Constable, E.C.; Housecroft, C.E. Positional Isomerism in the N^N Ligand: How Much Difference Does a Methyl Group Make in [Cu(P^P)(N^N)]+ Complexes? Molecules 2020, 25, 2760. https://doi.org/10.3390/molecules25122760
Brunner F, Prescimone A, Constable EC, Housecroft CE. Positional Isomerism in the N^N Ligand: How Much Difference Does a Methyl Group Make in [Cu(P^P)(N^N)]+ Complexes? Molecules. 2020; 25(12):2760. https://doi.org/10.3390/molecules25122760
Chicago/Turabian StyleBrunner, Fabian, Alessandro Prescimone, Edwin C. Constable, and Catherine E. Housecroft. 2020. "Positional Isomerism in the N^N Ligand: How Much Difference Does a Methyl Group Make in [Cu(P^P)(N^N)]+ Complexes?" Molecules 25, no. 12: 2760. https://doi.org/10.3390/molecules25122760
APA StyleBrunner, F., Prescimone, A., Constable, E. C., & Housecroft, C. E. (2020). Positional Isomerism in the N^N Ligand: How Much Difference Does a Methyl Group Make in [Cu(P^P)(N^N)]+ Complexes? Molecules, 25(12), 2760. https://doi.org/10.3390/molecules25122760

