Synthesis, Structural Characterization, and Biological Activity of New Pyrazolo[4,3-e][1,2,4]triazine Acyclonucleosides
Abstract
1. Introduction
2. Results and Discussion
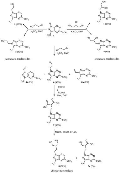
2.1. Chemistry
2.2. Biological Activity
2.3. Lipophilicity
2.4. X-ray Analysis
2.5. Theoretical Calculations
2.6. Molecular Docking
3. Conclusions
4. Experimental
4.1. Chemistry
4.2. Biological Studies
4.2.1. Cytotoxicity Assays
4.2.2. Kinase Inhibition Assay
4.3. Chromatographic Studies
4.3.1. UV-Vis Spectroscopy
4.3.2. RP-18 Chromatography
4.3.3. IAM Chromatography
4.4. X-ray Structure Determinations of 3
4.5. Theoretical Calculations
4.6. Molecular Docking
Supplementary Materials
Author Contributions
Funding
Acknowledgments
Conflicts of Interest
References
- Schaeffer, H.J.; Beauchamp, L.; De Miranda, P.; Elion, G.B.; Bauer, D.J.; Collins, P. 9-(2-Hydroxyethoxymethyl)guanine activity against viruses of the herpes group. Nature 1978, 272, 583–585. [Google Scholar] [CrossRef] [PubMed]
- Wang, Q.; Sun, C.; Xu, B.; Jiasheng, T.; Shen, Y. Synthesis, physicochemical properties and ocular pharmacokinetics of thermosensitive in situ hydrogels for ganciclovir in cytomegalovirus retinitis treatment. Drug Deliv. 2018, 25, 59–69. [Google Scholar] [CrossRef] [PubMed]
- Harnden, M.R.; Jarvest, R.L.; Bacon, T.H.; Boyd, M.R. Synthesis and antiviral activity of 9-[4-hydroxy-3-(hydroxymethyl)but-1-yl]purines. J. Med. Chem. 1978, 30, 1636–1642. [Google Scholar] [CrossRef] [PubMed]
- Torii, T.; Shiragami, H.; Yamashita, K.; Suzuki, Y.; Hijiya, T.; Kashiwagi, T.; Izawa, K. Practical syntheses of penciclovir and famciclovir from N2-acetyl-7-benzylguanine. Tetrahedron 2006, 62, 5709–5716. [Google Scholar] [CrossRef]
- Yu, M.A.; Park, J.M. Valganciclovir: Therapeutic role in pediatric solid organ transplant recipients. Expert Opin. Pharmacother. 2013, 14, 807–815. [Google Scholar] [CrossRef] [PubMed]
- Perry, C.M.; Faulds, D. Valacyclovir: A review of its antiviral activity, pharmacokinetic properties and therapeutic efficacy in herpesvirus infections. Drugs 1996, 52, 754–772. [Google Scholar] [CrossRef]
- Mojzych, M.; Rykowski, A.; Wierzchowski, J. Pyrazolo[4,3-e][1,2,4]triazines: Purine analogues with electronic absorption in the visible region. Molecules 2005, 10, 1298–1306. [Google Scholar] [CrossRef]
- Mojzych, M.; Rykowski, A. Synthesis of aza-analog of N-methylated acycloformycin A. Heterocycles 2007, 71, 2449–2456. [Google Scholar] [CrossRef]
- Linden, H.J.; Schaden, G. Pyrazolo(4.3-e)as-triazine, a new heterocyclic system from Pseudomonas Fluorescens var. Pseudoidinum. Chem. Ber. 1972, 105, 1949–1955. [Google Scholar]
- Hirata, K.; Nakagami, H.; Takashina, J.; Mahmud, T.; Kobayashi, M.; In, Y.; Ishida, T.; Miyamoto, K. Novel violet pigment, Nostocine A, an extracellular metabolite from cyanobacterium Nostoc spongiaeforme. Heterocycles 1996, 43, 1513–1519. [Google Scholar]
- Smirnov, V.V.; Kiprianova, E.A.; Garagulya, A.D.; Esipov, S.E.; Dovjenko, S.A. Fluviols, bicyclic nitrogen-rich antibiotics produced by Pseudomonas Fluorescens. FEMS Microbiol. Lett. 1997, 153, 357–361. [Google Scholar] [CrossRef] [PubMed]
- Rykowski, A.; Mojzych, M.; Karczmarzyk, Z. A new Synthesis of Pyrazolo[4,3-e][l,2,4]-triazines via acid promoted ring closure of the phenylhydrazones of 5-acyl-l,2,4-triazines. Heterocycles 2000, 53, 2175–2181. [Google Scholar] [CrossRef]
- Mojzych, M.; Rykowski, A. Synthesis of Functionalized 1H-pyrazolo[4,3-e][l,2,4]-triazines and their fused derivatives via ipso-substitution of methylsulfonyl group with O-, N-, S- and C-nucleophiles. Heterocycles 2004, 63, 1829–1838. [Google Scholar]
- Mojzych, M.; Rykowski, A. One-step synthesis and regioselective alkylation of substituted 1H-pyrazolo[4,3-e][l,2,4]triazine. Polish J. Chem. 2003, 77, 1797–1803. [Google Scholar]
- Krystof, V.; Uldrijan, S. Cyclin-dependent kinase inhibitors as anticancer drugs. Curr. Drug Targets 2010, 11, 291–302. [Google Scholar] [CrossRef]
- Nowell, P.; Hungerford, D. A minute chromosome in human chronic granulocytic leukemia. In Landmarks in Medical Genetics: Classic Papers with Commentaries; Oxford University Press: Oxford, England, UK, 2004; Volume 132, p. 103. [Google Scholar]
- Clark, S.S.; McLaughlin, J.; Timmons, M.; Pendergast, A.M.; Ben-Neriah, Y.; Dow, L.W.; Crist, W.; Rovera, G.; Smith, S.D.; Witte, O.N. Expression of a distinctive BCR-ABL oncogene in Ph1-positive acute lymphocytic leukemia (ALL). Science 1988, 239, 775. [Google Scholar] [CrossRef]
- Konopka, J.B.; Watanabe, S.M.; Witte, O.N. An alteration of the human c-abl protein in K562 leukemia cells unmasks associated tyrosine kinase activity. Cell 1984, 37, 1035–1042. [Google Scholar] [CrossRef]
- Rowley, J.D. A new consistent chromosomal adnormality in chronic myelogeneus leukaemia identified by quinacrine fluorescence and Giemsa staining. In Landmarks in Medical Genetics: Classic Papers with Commentaries; Oxford University Press: Oxford, England, UK, 2004; Volume 243, p. 104. [Google Scholar]
- Bedi, A.; Zehnbauer, B.A.; Barber, J.P.; Sharkis, S.; Jones, R. Inhibition of apoptosis by BCR-ABL in chronic myeloid leukemia. Blood 1994, 83, 2038–2044. [Google Scholar] [CrossRef]
- Cambier, N.; Chopra, R.; Strasser, A.; Metcalf, D.; Elefanty, A.G. BCR-ABL activates pathways mediating cytokine independence and protection against apoptosis in murine hematopoietic cells in a dose-dependent manner. Oncogene 1998, 16, 335–348. [Google Scholar] [CrossRef]
- Cortez, D.; Stoica, G.; Pierce, J.H.; Pendergast, A.M. The BCR-ABL tyrosine kinase inhibits apoptosis by activating a Ras-dependent signaling pathway. Oncogene 1996, 13, 2589–2594. [Google Scholar]
- Bazzoni, G.; Carlesso, N.; Griffin, J.D.; Hemler, M.E. Bcr/Abl expression stimulates integrin function in hematopoietic cell lines. J. Clin. Investig. 1996, 98, 521–528. [Google Scholar] [CrossRef] [PubMed]
- Zhao, R.; Tarone, G.; Verfaillie, C. Presence of the adhesion inhibitory β1B integrin isoform on CML but not normal progenitors is at least in part responsible for the decreased CML progenitor adhesion. Blood 1997, 90, 393a. [Google Scholar]
- Lugo, T.G.; Pendergast, A.-M.; Muller, A.J.; Witte, O.N. Tyrosine kinase activity and transformation potency of bcr-abl oncogene products. Science 1990, 247, 1079–1082. [Google Scholar] [CrossRef] [PubMed]
- Cortez, D.; Kadlec, L.; Pendergast, A.M. Structural and signaling requirements for BCR-ABL-mediated transformation and inhibition of apoptosis. Mol. Cell. Biol. 1995, 15, 5531–5541. [Google Scholar] [CrossRef]
- Mughal, A.; Aslam, H.M.; Khan, A.M.H.; Saleem, S.; Umah, R.; Saleem, M. Bcr-Abl tyrosine kinase inhibitors- current status. Infect. Agents Cancer 2013, 8, 23. [Google Scholar] [CrossRef]
- Manley, P.; Cowan-Jacob, S.; Buchdunger, E.; Fabbro, D.; Fendrich, G.; Furet, P.; Meyer, T.; Zimmermann, J. Imatinib: A selective tyrosine kinase inhibitor. Eur. J. Cancer 2002, 38, S19–S27. [Google Scholar] [CrossRef]
- Mojzych, M.; Šubertová, V.; Bielawska, A.; Bielawski, K.; Bazgier, V.; Berka, K.; Gucký, T.; Fornal, E.; Kryštof, V. Synthesis and kinase inhibitory activity of new sulfonamide derivatives of pyrazolo[4,3-e][1,2,4]-triazines. Eur. J. Med. Chem. 2014, 78, 217–224. [Google Scholar] [CrossRef]
- Krystof, V.; McNae, I.W.; Walkinshaw, M.D.; Fischer, P.M.; Müller, P.; Vojtesek, B.; Orság, M.; Havlícek, L.; Strnad, M. Antiproliferative activity of olomoucine II, a novel 2,6,9-trisubstituted purine cyclin-dependent kinase inhibitor. Cell. Mol. Life Sci. 2005, 62, 1763–1771. [Google Scholar] [CrossRef]
- Soczewiński, E.; Wachtmeiser, C.A. The relations between the composition of certain ternary two-phase solvent systems and RM values. J. Chromatogr. A 1962, 7, 311–320. [Google Scholar] [CrossRef]
- Rożyło, J.K.; Matysiak, J.; Niewiadomy, A.; Żabińska, A. Reversed-phase HPLC and HPTLC characterization of potential fungicides. J Planar Chromat. 2000, 13, 176–181. [Google Scholar]
- Valko, K. Application of high-performance liquid chromatography based measurements of lipophilicity to model biological distribution. J. Chromatogr. A 2004, 1037, 299–310. [Google Scholar] [CrossRef] [PubMed]
- Matysiak, J.; Niewiadomy, A.; Senczyna, B.; Żabińska, A.; Rożyło, J.K. Relationships between LC retention, octanol-water partition coefficient, and fungistatic properties of 2-(2,4-dihydroxyphenyl)benzothiazoles. J. AOAC Int. 2004, 87, 579–586. [Google Scholar] [PubMed]
- Niewiadomy, A.; Żabińska, A.; Matysiak, J.; Rożyło, J.K. nfluence of modifier and molecular structure of some dihydroxythiobenzanilides on retention in reversed-phase high-performance thin-layer chromatography. J. Chromatogr. A 1997, 791, 237–243. [Google Scholar] [CrossRef]
- Ghose, A.K.; Crippen, G.M. Atomic physicochemical parameters for three-dimensional-structure-directed quantitative structure-activity relationships. 2. Modeling dispersive and hydrophobic interactions. J. Chem. Inf. Comput. Sci. 1987, 27, 21–35. [Google Scholar] [CrossRef]
- Mojzych, M.; Karczmarzyk, Z.; Wysocki, W. 1,3-Dimethyl-5-methylsulfonyl-1H-pyrazolo[4,3-e][1,2,4]triazine. Acta Cryst. 2010, E66, o3226. [Google Scholar] [CrossRef]
- Chowdhury, S.; Bhuiya, S.; Haque, L.; Das, S. In-depth investigation of the binding of flavonoid taxifolin with bovine hemoglobin at physiological pH: Spectroscopic and molecular docking studies. Spectrochim. Acta A 2020, 225, 117513. [Google Scholar] [CrossRef]
- Fleming, I. Frontier Orbitals and Organic Chemical Reactions; Wiley: London, UK, 1976. [Google Scholar]
- Bennett, M.S.; Wien, F.; Champness, J.N.; Batuwangala, T.; Rutherford, T.; Summers, W.C.; Sun, H.; Wright, G.; Sanderson, M.R. Structure to 1.9 Å resolution of a complex with herpes simplex virus type-1 thymidine kinase of a novel, non-substrate inhibitor: X-ray crystallographic comparison with binding of acyclovir. FEBS Lett. 1999, 443, 121–125. [Google Scholar] [CrossRef]
- ChemDraw Ultra 10.0; Cambridge Soft Corporation: Cambridge, MA, USA, 2006.
- Ertl, P.; Rohde, B.; Selzer, P. Fast calculation of molecular polar surface area as a sum of fragment-based contributions and its application to the prediction of drug transport properties. J. Med. Chem. 2000, 43, 3714–3717. [Google Scholar] [CrossRef]
- MarvinViw 5.9.4, ChemAxon Ltd. Available online: https://chemaxon.com/products/marvin (accessed on 10 November 2019).
- Bruker. SADABS (Version 2004/1); Bruker AXS Inc.: Madison, WI, USA, 2005. [Google Scholar]
- Sheldrick, G.M. A short history of SHELX. Acta Cryst. A 2008, 64, 112–122. [Google Scholar]
- Flack, H.D. On enantiomorph-polarity estimation. Acta Cryst. A 1983, 39, 876–881. [Google Scholar]
- Farrugia, L.J. WinGX suite for small-molecule single-crystal crystallography. J. Appl. Crys. 2012, 32, 837–838. [Google Scholar] [CrossRef]
- Frisch, M.J.; Trucks, G.W.; Schlegel, H.B.; Scuseria, G.E.; Robb, M.A.; Cheeseman, J.R.; Montgomery, J.A., Jr.; Vreven, T.; Kudin, K.N.; Burant, J.C.; et al. Gaussian 03, Revision E.01; Gaussian, Inc.: Wallingford, CT, USA, 2004. [Google Scholar]
- Frisch, A.; Dennington, R.D., II; Keith, T.A.; Millam, J.; Nielsen, A.B.; Holder, A.J.; Hiscocks, J. Gauss View Reference; Version 4; Gaussian Inc.: Wallingford, CT, USA, 2007. [Google Scholar]
- Jones, G.; Willett, G.P.; Glen, R.C.; Leach, A.R.; Taylor, R. Development and validation of a genetic algorithm for flexible docking. J. Mol. Biol. 1997, 267, 727–748. [Google Scholar] [CrossRef] [PubMed]
Sample Availability: Samples of the compounds are available from the authors. |






| Comp. | MTT Assay a, IC50 (µM) | IC50 (µM) a | ||
|---|---|---|---|---|
| K-562 | MCF7 | CDK2/Cyclin E | Abl | |
| 1 | >100 | >100 | >100 | >100 |
| 2 | >100 | >100 | >100 | >100 |
| 3 | >100 | >100 | >100 | >100 |
| 4 | >100 | >100 | >100 | >100 |
| 6 | >100 | >100 | >100 | >100 |
| 7 | >100 | >100 | >50 | >50 |
| 8 | >100 | >100 | >100 | >100 |
| roskovitin | 42 | 11 | 0.1 | >100 |
| imatinib | 0.5 | >10 | >100 | 0.2 |
| Comp. | pH = 7.4 | pH = 4 | ||||||
|---|---|---|---|---|---|---|---|---|
| S | log kw | R2 | n | S | log kw | R2 | n | |
| 1 | −3.480 | 2.000 | 0.986 | 6 | −2.708 | 1.328 | 0.979 | 7 |
| 2 | −2.127 | 1.120 | 0.988 | 7 | −3.144 | 1.482 | 0.978 | 6 |
| 3 | −1.697 | 0.707 | 0.981 | 7 | −2.828 | 1.013 | 0.979 | 6 |
| 4 | −1.999 | 0.957 | 0.988 | 8 | −3.089 | 1.281 | 0.979 | 7 |
| 5 | −1.671 | 0.619 | 0.988 | 7 | −3.001 | 0.800 | 0.978 | 7 |
| 6 | −3.237 | 2.293 | 0.992 | 5 | −3.731 | 2.485 | 0.976 | 6 |
| 7 | −3.105 | 1.690 | 0.968 | 8 | −4.150 | 2.856 | 0.978 | 7 |
| 8 | −2.356 | 1.281 | 0.997 | 7 | −3.649 | 1.828 | 0.988 | 6 |
| Comp. | IAM Chromatography | Molecular Descriptors a | ||||||
|---|---|---|---|---|---|---|---|---|
| S | log kw(IAM) | R2 | n | log P | MR (cm3/mol) | tPSA (Å2) | Clog P | |
| 1 | −3.023 | 0.930 | 0.986 | 6 | 1.58 | 50.33 | 61.47 | 1.042 |
| 2 | −2.876 | 0.488 | 0.985 | 6 | 1.40 | 61.5 | 72.91 | −0.189 |
| 3 | −2.671 | 0.380 | 0.953 | 6 | 1.86 | - | 72.91 | −0.189 |
| 4 | −2.754 | 0.354 | 0.967 | 6 | 0.86 | 67.56 | 93.14 | −0.514 |
| 5 | 2.804 | 0.316 | 0.980 | 6 | 1.33 | - | 93.14 | −0.514 |
| 6 | −4.022 | 1.416 | 0.996 | 6 | 2.75 | 67.6 | 52.68 | 1.235 |
| 7 | −4.414 | 1.072 | 0.998 | 6 | 2.59 | 96.27 | 105.28 | 1.245 |
| 8 | −3.365 | 0.688 | 0.981 | 6 | 1.21 | 76.84 | 93.14 | −0.830 |
| Comp. | ET | MD | EHOMO | ELUMO | ΔE | IP |
|---|---|---|---|---|---|---|
| 1 | −594977.010 | 3.100 | −149.433 | −65.448 | 83.985 | 149.433 |
| 2 | −664394.616 | 3.791 | −146.860 | −63.817 | 83.043 | 146.860 |
| 3 | −664388.197 | 8.420 | −142.173 | −59.619 | 82.554 | 142.173 |
| 4 | −736287.198 | 3.993 | −143.246 | −59.506 | 83.740 | 143.246 |
| 5 | −736278.707 | 7.582 | −142.619 | −60.039 | 82.580 | 142.619 |
| 6 | −2232635.401 | 3.992 | −149.941 | −67.393 | 82.548 | 149.941 |
| 7 | −1023996.125 | 3.361 | −146.948 | −64.155 | 82.793 | 146.948 |
| 8 | −823197.681 | 6.008 | −146.672 | −63.779 | 82.893 | 146.672 |
| Atom | 1 | 2 | 3 | 4 | 5 | 6 | 7 | 8 |
|---|---|---|---|---|---|---|---|---|
| N1 | −0.189 | −0.193 | −0.145 | −0.188 | −0.147 | −0.193 | −0.197 | −0.194 |
| N2 | −0.256 | −0.257 | −0.250 | −0.258 | −0.250 | −0.254 | −0.258 | −0.257 |
| C3 | +0.215 | +0.213 | +0.216 | +0.214 | +0.216 | +0.213 | +0.214 | +0.213 |
| N4 | −0.463 | −0.462 | −0.478 | −0.463 | −0.478 | −0.468 | −0.461 | −0.462 |
| C5 | +0.122 | +0.121 | +0.081 | +0.122 | +0.001 | +0.123 | +0.123 | +0.122 |
| C6 | +0.288 | +0.306 | +0.251 | +0.315 | +0.252 | +0.308 | +0.306 | +0.305 |
| N7 | −0.357 | −0.234 | −0.286 | −0.228 | −0.289 | −0.237 | −0.230 | −0.230 |
| N8 | −0.234 | −0.236 | −0.167 | −0.238 | −0.162 | −0.237 | −0.231 | −0.235 |
| C9 | +0.148 | +0.147 | +0.175 | +0.150 | +0.174 | +0.152 | +0.148 | +0.145 |
| C12 | −0.604 | −0.602 | −0.617 | −0.602 | −0.616 | −0.603 | −0.602 | −0.602 |
| S1 | +0.300 | +0.296 | +0.302 | +0.293 | +0.302 | +0.301 | +0.296 | +0.296 |
| C13 | −0.701 | −0.701 | −0.703 | −0.701 | −0.703 | −0.701 | −0.701 | −0.701 |
| Comp. | ChemPLP Score | Interactions |
|---|---|---|
| 1 | 43.24 | - |
| 2 | 54.01 | - |
| 3 | 54.93 | C13…O (GLN125A); N1…O (TYR132A); O…O (GLU83A); O…N (ARG163A) |
| 4 | 64.17 | O…O (GLN125A); O…N (GLN125A); O’…N (ARG176A) |
| 5 | 58.68 | S1…C(MET128A); S1…C (ALA168A); S1…C (ALA169A); C13…O (GLN 125A); N1…O (TYR132A); O…O (GLU225A) |
| 6 | 55.22 | - |
| 7 | S1…C (ILE100A); O…C (MET128A); O’…N (ARG163A); C…N (LYS62A); C’…O (ASP162A) | |
| 8 | 64.74 | C12…C (ALA168A); N8…O (TYR132A); O…N (ARG163A) |
| Ac | 77.94 | N(amino)…O (GLN125A); N1…O (GLN125A); O6…N (ARG176A); O(hydroxy)…C (TYR132A); O(hydroxy)…O(TYR132A); O(hydroxy)…O (GLU83A); O(hydroxy)…N (ARG163A) |
© 2020 by the authors. Licensee MDPI, Basel, Switzerland. This article is an open access article distributed under the terms and conditions of the Creative Commons Attribution (CC BY) license (http://creativecommons.org/licenses/by/4.0/).
Share and Cite
Mojzych, M.; Bernat, Z.; Karczmarzyk, Z.; Matysiak, J.; Fruziński, A. Synthesis, Structural Characterization, and Biological Activity of New Pyrazolo[4,3-e][1,2,4]triazine Acyclonucleosides. Molecules 2020, 25, 221. https://doi.org/10.3390/molecules25010221
Mojzych M, Bernat Z, Karczmarzyk Z, Matysiak J, Fruziński A. Synthesis, Structural Characterization, and Biological Activity of New Pyrazolo[4,3-e][1,2,4]triazine Acyclonucleosides. Molecules. 2020; 25(1):221. https://doi.org/10.3390/molecules25010221
Chicago/Turabian StyleMojzych, Mariusz, Zofia Bernat, Zbigniew Karczmarzyk, Joanna Matysiak, and Andrzej Fruziński. 2020. "Synthesis, Structural Characterization, and Biological Activity of New Pyrazolo[4,3-e][1,2,4]triazine Acyclonucleosides" Molecules 25, no. 1: 221. https://doi.org/10.3390/molecules25010221
APA StyleMojzych, M., Bernat, Z., Karczmarzyk, Z., Matysiak, J., & Fruziński, A. (2020). Synthesis, Structural Characterization, and Biological Activity of New Pyrazolo[4,3-e][1,2,4]triazine Acyclonucleosides. Molecules, 25(1), 221. https://doi.org/10.3390/molecules25010221

