A Pair of CoII Supramolecular Isomers Based on Flexible Bis-Pyridyl-Bis-Amide and Angular Dicarboxylate Ligands
Abstract
1. Introduction
2. Results and Discussion
2.1. Synthesis
2.2. Structure of 1
2.3. Structure of 2
2.4. Ligand Conformations
2.5. Thermal Properties
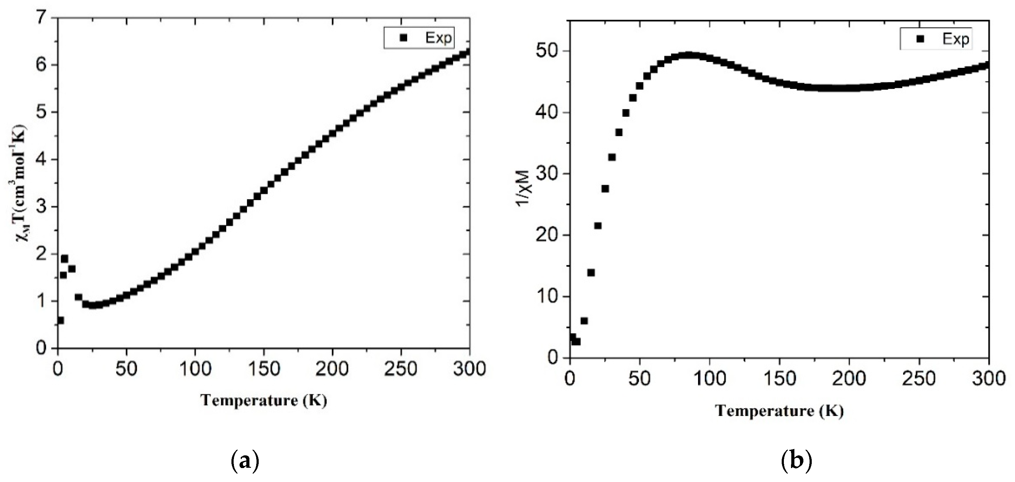
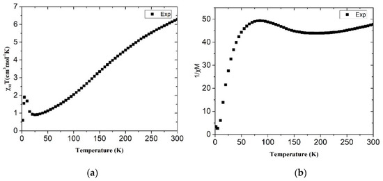
2.6. Magnetic Properties of 1 and 2
3. Materials and Methods
3.1. General Procedures
3.2. Materials
3.3. Preparations
3.3.1. Synthesis of [Co2(L)(SDA)2], 1
3.3.2. Synthesis of [Co2(L)(SDA)2]⋅CH3OH⋅H2O, 2
3.4. X-Ray Crystallography
4. Conclusions
Supplementary Materials
Author Contributions
Funding
Acknowledgments
Conflicts of Interest
References
- Tiekink, E.R.; Vittal, J. Frontiers in Crystal Engineering; John Wiley & Sons: New York, NY, USA, 2006. [Google Scholar]
- Batten, S.R.; Neville, S.M.; Turner, D.R. Coordination Polymers: Design, Analysis and Application; Royal Society of Chemistry: Cambridge, UK, 2008. [Google Scholar]
- Li, J.R.; Kuppler, R.J.; Zhou, H.C. Selective gas adsorption and separation in metal-organic frameworks. Chem. Soc. Rev. 2009, 38, 1477–1504. [Google Scholar] [CrossRef] [PubMed]
- Allendorf, M.D.; Bauer, C.A.; Bhakta, R.K.; Houk, R.J.T. Luminescent metal-organic frameworks. Chem. Soc. Rev. 2009, 38, 1330–1352. [Google Scholar] [CrossRef] [PubMed]
- Morrison, C.N.; Powell, A.K.; Kostakis, G.E. Influence of metal ion on structural motif in coordination polymers of the pseudopeptidic ligand terephthaloyl-bis-beta-alaninate. Cryst. Growth Des. 2011, 11, 3653–3662. [Google Scholar] [CrossRef]
- Moulton, B.; Zaworotko, M.J. From molecules to crystal engineering: Supramolecular isomerism and polymorphism in network solids. Chem. Rev. 2001, 101, 1629–1658. [Google Scholar] [CrossRef] [PubMed]
- Makal, T.A.; Yakovenko, A.A.; Zhou, H.-C. Isomerism in Metal–Organic Frameworks: “Framework Isomers”. J. Phys. Chem. Lett. 2011, 2, 1682–1689. [Google Scholar] [CrossRef]
- Karmakar, A.; Paul, A.; Pombeiro, A.J.L. Recent advances on supramolecular isomerism in metal organic frameworks. CrystEngComm 2017, 19, 4666–4695. [Google Scholar] [CrossRef]
- Fan, L.; Zhang, X.; Li, D.; Sun, D.; Zhang, W.; Dou, D. Supramolecular isomeric flat and wavy honeycomb networks: Additive agent effect on the ligand linkages. CrystEngComm 2013, 15, 349–355. [Google Scholar] [CrossRef]
- Han, L.-L.; Hu, T.-P.; Mei, K.; Guo, Z.-M.; Yin, C.; Wang, Y.-X.; Zheng, J.; Wang, X.-P.; Sun, D. Solvent-controlled three families of Zn(II) coordination compounds: Synthesis, crystal structure, solvent-induced structural transformation, supramolecular isomerism and photoluminescence. Dalton Trans. 2015, 44, 6052–6061. [Google Scholar] [CrossRef] [PubMed]
- Carlucci, L.; Ciani, G.; Proserpio, D.M. Polycatenation, polythreading and polyknotting in coordination network chemistry. Coord. Chem. Rev. 2003, 246, 247–289. [Google Scholar] [CrossRef]
- Lo, Y.-C.; Hsu, W.; He, H.-Y.; Hyde, S.T.; Proserpio, D.M.; Chen, J.-D. Structural directing roles of isomeric phenylenediacetate ligands in the formation of coordination networks based on flexible N,N’-di(3-pyridyl)suberoamide. CrystEngComm 2015, 17, 90–97. [Google Scholar] [CrossRef]
- Thapa, K.B.; Chen, J.-D. Crystal engineering of coordination polymers containing flexible bis-pyridyl-bis-amide ligands. CrystEngComm 2015, 17, 4611–4626. [Google Scholar] [CrossRef]
- Cotton, F.A.; Murillo, C.A.; Walton, R.A. Multiple Bonds Between Metal Atoms, 3rd ed.; Springer Science and Business Media, Inc.: New York, NY, USA, 2005. [Google Scholar]
- Blatov, V.A.; Shevchenko, A.P.; Proserpio, D.M. Applied topological analysis of crystal structures with the program package topospro. Cryst. Growth Des. 2014, 14, 3576–3586. [Google Scholar] [CrossRef]
- Carlucci, L.; Ciani, G.; Proserpio, D.M. Networks, topologies, and entanglements. In Making Crystals by Design: Methods, Techniques and Applications; Braga, D., Grepioni, F., Eds.; Wiley-VCH: Weinheim, Germany, 2007; Chapter 1.3; p. 58. [Google Scholar]
- Wu, T.-T.; Hsu, W.; Yang, X.-K.; He, H.-Y.; Chen, J.-D. Entanglement in Co(II) coordination networks: Polycatenation from single net to 2-fold and 3-fold interpenetrated nets. CrystEngComm 2015, 17, 916–924. [Google Scholar] [CrossRef]
- Liao, Y.-H.; Hsu, W.; Yang, C.-C.; Wu, C.-Y.; Chen, J.-D.; Wang, J.-C. Structural diversity of Ni(II) coordination polymers containing dipyridyl amide and angular dicarboxylate ligands: Synthesis, structures and magnetism. CrystEngComm 2013, 15, 3974–3983. [Google Scholar] [CrossRef]
- Rueff, J.-M.; Masciocchi, N.; Rabu, P.; Sironi, A.; Skoulios, A. Structure and magnetism of a polycrystalline transition metal soap − CoII[OOC(CH2)10COO](H2O)2. Eur. J. Inorg. Chem. 2001, 11, 2843–2848. [Google Scholar] [CrossRef]
- Zhang, Z.-Z.; Lee, G.-H.; Yang, C.-I. The use of a semi-flexible bipyrimidyl ligand for the construction of azide-based coordination polymers: Structural diversities and magnetic properties. Dalton Trans. 2018, 47, 16709–16722. [Google Scholar] [CrossRef] [PubMed]
- Harris, C.M.; Lockyer, T.N.; Martin, R.L.; Patil, H.R.H.; Sinn, E.; Stewart, I.M. Five- and six-coordinated complexes of cobalt(II) with 2,2′,2′-terpyridyl: Unusual structure and magnetism. Aust. J. Chem. 1969, 22, 2105. [Google Scholar] [CrossRef]
- Yang, E.-C.; Cheng, M.-C.; Tsai, M.-S.; Peng, S.-M. Structure of a linear unsymmetrical trinuclear cobalt(II) complex with a localized COII–COII bond: Dichlorotetrakis[µ3-bis(2-pyridyl)amido]tricobalt(II). J. Chem. Soc. Chem. Commun. 1994, 2377–2378. [Google Scholar] [CrossRef]
- Thapa, K.B.; Wu, M.-H.; Yang, X.-K.; Chen, T.-R.; Chen, J.-D. Co(II) coordination polymers exhibiting reversible structural transformation and color change: A comparative analysis with Ni(II) analogue. Polyhedron 2018, 152, 225–232. [Google Scholar] [CrossRef]
- Bruker AXS, APEX2, V2008.6; SAD ABS V2008/1; SAINT+ V7.60A.; SHELXTL V6.14; Bruker AXS Inc.: Madison, WI, USA, 2008.
- Sheldrick, G.M. A short history of SHELX. Acta Cryst. 2008, 64, 112–122. [Google Scholar] [CrossRef] [PubMed]
Sample Availability: Samples of the compounds are not available from the authors. |







| Compound | 1 | 2 |
|---|---|---|
| Formula | C23H19CoN2O7S | C23.5H22CoN2O8S |
| Fw | 526.39 | 551.42 |
| Crystal system | Triclinic | Triclinic |
| Space group | Pī | Pī |
| a, Å | 9.1273(2) | 9.2206(8) |
| b, Å | 12.0439(2) | 11.0642(10) |
| c, Å | 12.0526(2) | 13.3450(12) |
| α,° | 62.4993(8) | 96.611(5) |
| β,° | 75.9211(10) | 109.696(5) |
| γ,° | 79.9212(9) | 103.697(5) |
| V, Å3 | 1136.88(4) | 1216.73(19) |
| Z | 2 | 2 |
| dcalc, g/cm3 | 1.538 | 1.505 |
| F(000) | 540 | 568 |
| µ(Mo Kα), mm−1 | 0.895 | 0.842 |
| Independent reflections | 5647 [R(int) = 0.0301] | 4661 [R(int) = 0.0670] |
| Data/restraints/parameters | 5647/0/307 | 4661/1/321 |
| Quality-of-fit indicator a | 1.038 | 1.024 |
| Final R indices [I > 2σ(I)] b,c | R1 = 0.0293, wR2 = 0.0787 | R1 = 0.0573, |
| wR2 = 0.1348 | ||
| R indices (all data) | R1 = 0.0330, wR2 = 0.0815 | R1 = 0.0946, |
| wR2 = 0.1531 |
© 2020 by the authors. Licensee MDPI, Basel, Switzerland. This article is an open access article distributed under the terms and conditions of the Creative Commons Attribution (CC BY) license (http://creativecommons.org/licenses/by/4.0/).
Share and Cite
Chhetri, P.M.; Wu, M.-H.; Hsieh, C.-T.; Yang, X.-K.; Wu, C.-M.; Yang, E.-C.; Wang, C.-C.; Chen, J.-D. A Pair of CoII Supramolecular Isomers Based on Flexible Bis-Pyridyl-Bis-Amide and Angular Dicarboxylate Ligands. Molecules 2020, 25, 201. https://doi.org/10.3390/molecules25010201
Chhetri PM, Wu M-H, Hsieh C-T, Yang X-K, Wu C-M, Yang E-C, Wang C-C, Chen J-D. A Pair of CoII Supramolecular Isomers Based on Flexible Bis-Pyridyl-Bis-Amide and Angular Dicarboxylate Ligands. Molecules. 2020; 25(1):201. https://doi.org/10.3390/molecules25010201
Chicago/Turabian StyleChhetri, Pradhumna Mahat, Ming-Hao Wu, Chou-Ting Hsieh, Xiang-Kai Yang, Chen-Ming Wu, En-Che Yang, Chih-Chieh Wang, and Jhy-Der Chen. 2020. "A Pair of CoII Supramolecular Isomers Based on Flexible Bis-Pyridyl-Bis-Amide and Angular Dicarboxylate Ligands" Molecules 25, no. 1: 201. https://doi.org/10.3390/molecules25010201
APA StyleChhetri, P. M., Wu, M.-H., Hsieh, C.-T., Yang, X.-K., Wu, C.-M., Yang, E.-C., Wang, C.-C., & Chen, J.-D. (2020). A Pair of CoII Supramolecular Isomers Based on Flexible Bis-Pyridyl-Bis-Amide and Angular Dicarboxylate Ligands. Molecules, 25(1), 201. https://doi.org/10.3390/molecules25010201

