Meroterpenoids from the Fungus Ganoderma sinensis and First Absolute Configuration Clarification of Zizhine H
Abstract
1. Introduction
2. Results and Discussion
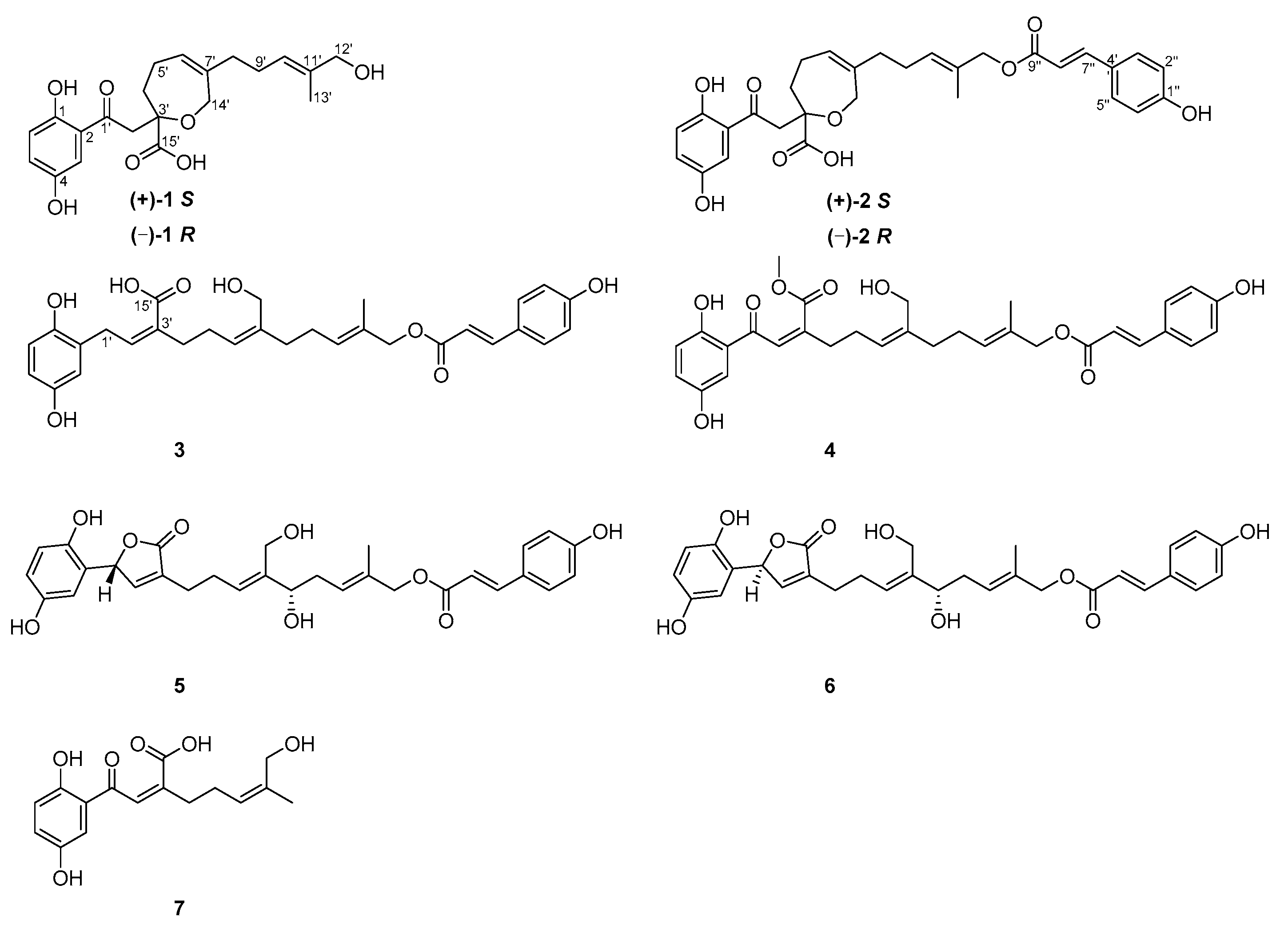
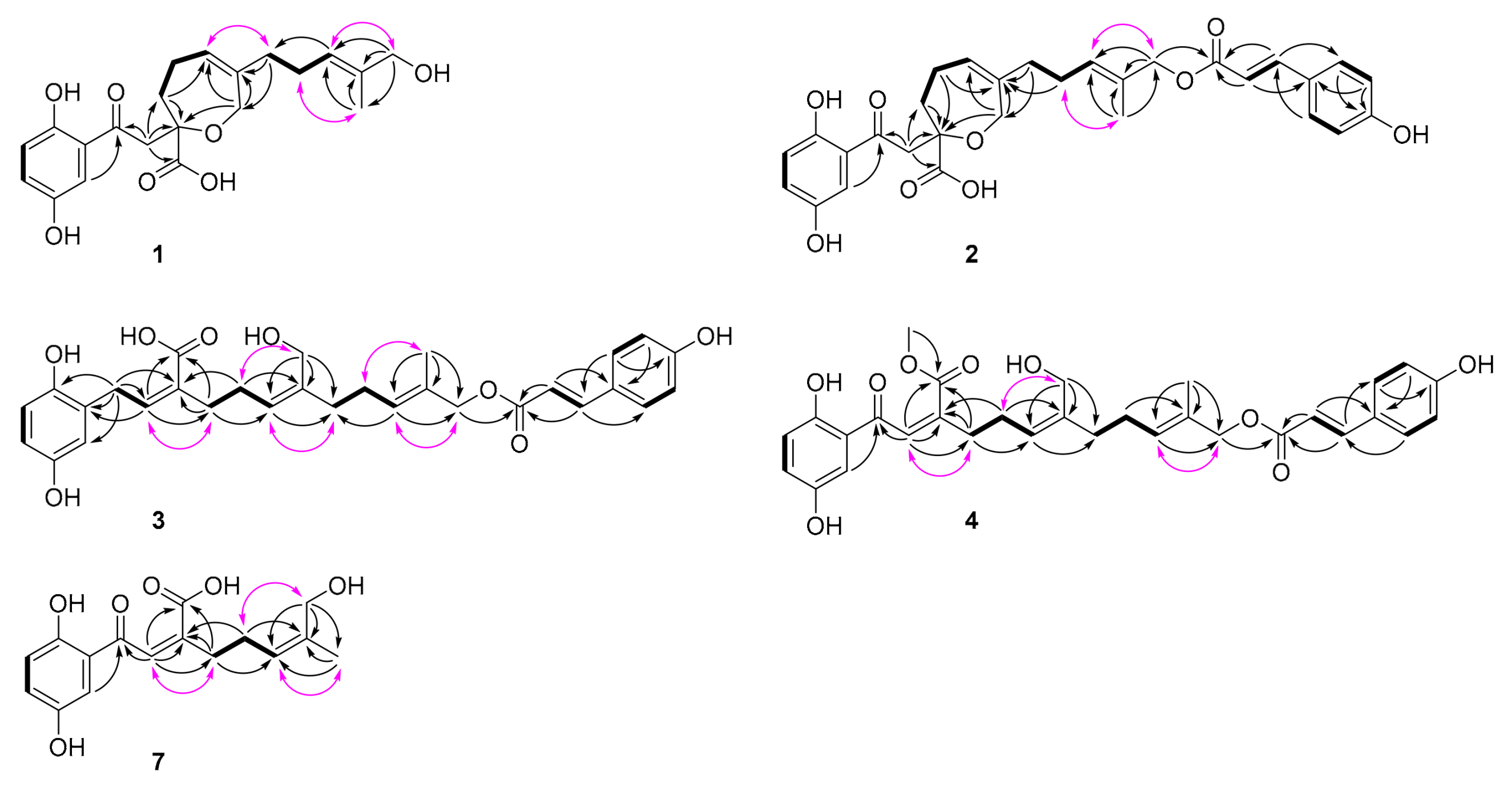
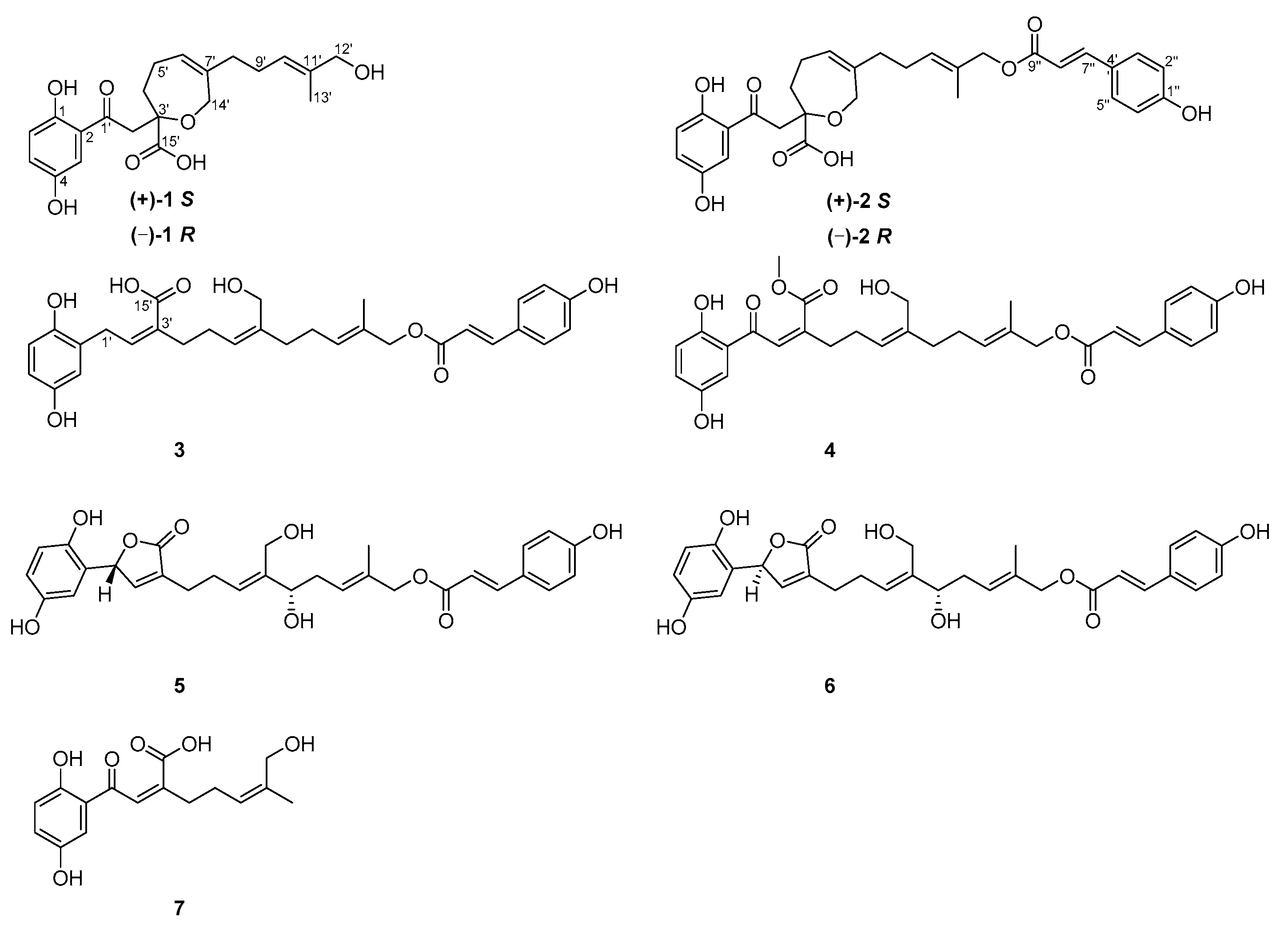
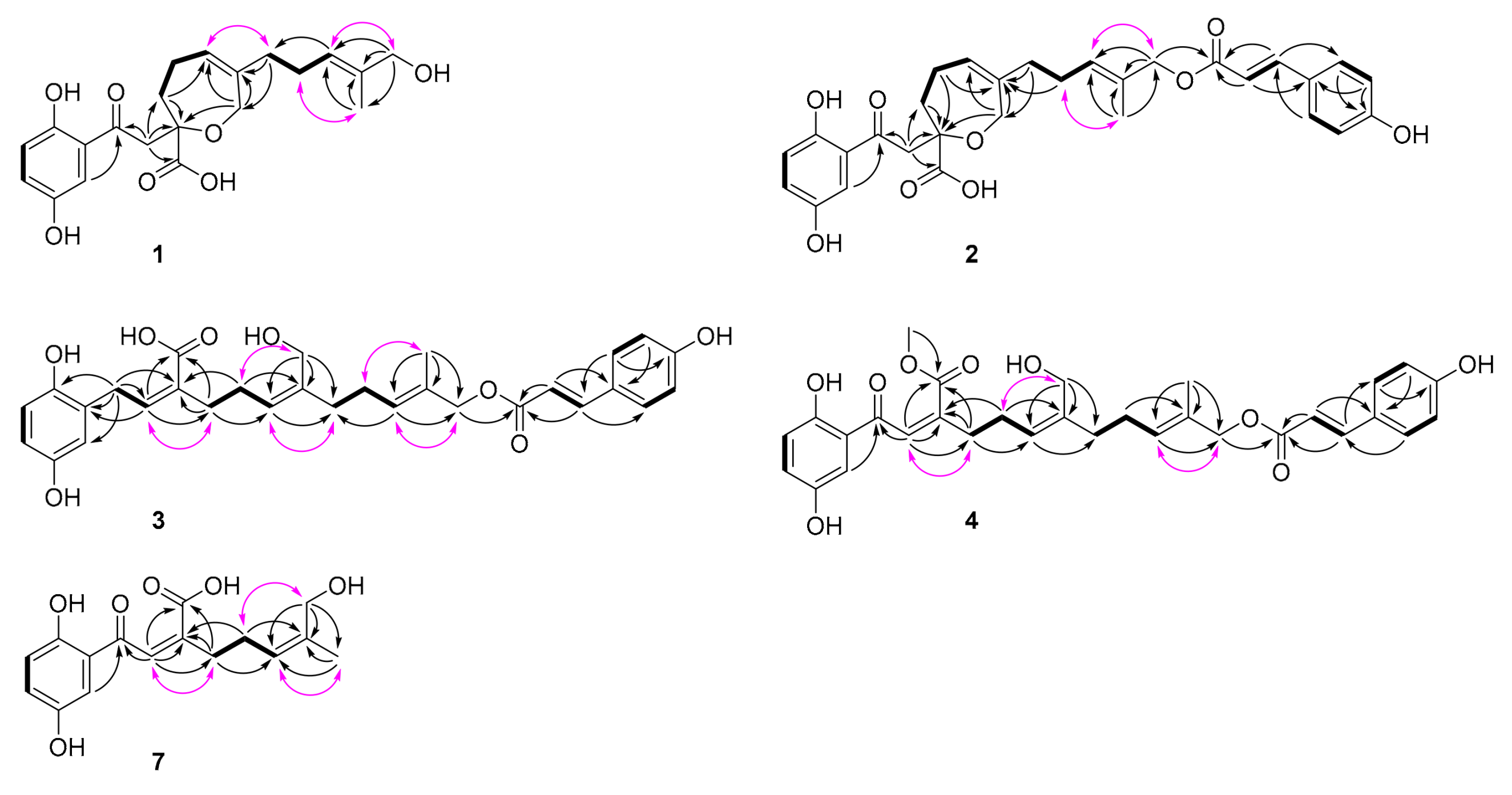
2.1. Structure Elucidation of the Compounds
2.2. Biological Evaluation
3. Experimental Section
3.1. General Procedures
3.2. Fungal Material
3.3. Extraction and Isolation
3.4. Compound Characterization Data
3.5. MTPA Esterification of 5 and 6
3.6. Cell Viability Assay
4. Conclusions
Supplementary Materials
Author Contributions
Funding
Conflicts of Interest
References
- Kirk, P.M.; Cannon, P.F.; Minter, D.W.; Stalpers, J.A. Dictionary of the Fungi, 10th ed.; CABI: Wallingford, CT, USA, 2008. [Google Scholar]
- Zhou, X.W.; Lin, J.; Yin, Y.Z.; Zhao, J.Y.; Sun, X.F.; Tang, K.X. Ganodermataceae: Natural products and their related pharmacological functions. Am. J. Chin. Med. 2007, 35, 559–574. [Google Scholar] [CrossRef]
- Liu, J.Q.; Wang, C.F.; Peng, X.R.; Qiu, M.H. New alkaloids from the fruiting bodies of Ganoderma sinense. Nat. Prod. Bioprospect. 2011, 1, 93–96. [Google Scholar] [CrossRef]
- Sato, N.; Ma, C.M.; Komatsu, K.; Hattori, M. Triterpene–farnesyl hydroquinone conjugates from Ganoderma sinense. J. Nat. Prod. 2009, 72, 958–961. [Google Scholar] [CrossRef] [PubMed]
- Zjawiony, J.K. Biologically active compounds from aphyllophorales (polypore) fungi. J. Nat. Prod. 2004, 67, 300–310. [Google Scholar] [CrossRef] [PubMed]
- Zhou, Y.Q.; Yang, X.T.; Yang, Q.Y. Recent advances on triterpenes from Ganoderma mushroom. Food Rev. Int. 2006, 22, 259–273. [Google Scholar] [CrossRef]
- Jong, S.C.; Birmingham, J.M. Medicinal benefits of the mushroom Ganoderma. Adv. Appl. Microbiol. 1992, 37, 101–134. [Google Scholar]
- Luo, Q.; Wang, X.L.; Di, L.; Yan, Y.M.; Qing, L.; Yang, X.H.; Hu, B.H.; Cheng, Y.X. Isolation and identification of renoprotective substances from the mushroom Ganoderma lucidum. Tetrahedron 2015, 71, 840–845. [Google Scholar] [CrossRef]
- Wang, X.F.; Yan, Y.M.; Wang, X.L.; Ma, X.J.; Fu, X.Y.; Cheng, Y.X. Two new compounds from Ganoderma lucidum. J. Asian Nat. Prod. Res. 2015, 17, 329–332. [Google Scholar] [CrossRef] [PubMed]
- Yan, Y.M.; Ai, J.; Zhou, L.L.; Chung, A.C.K.; Rong, L.; Nie, J.; Fang, P.; Wang, X.L.; Luo, J.; Hu, Q.; et al. Lingzhiols, unprecedented rotary door-shaped meroterpenoids as potent and selective inhibitors of p-Smad3 from Ganoderma lucidum. Org. Lett. 2013, 15, 5488–5491. [Google Scholar] [CrossRef]
- Luo, Q.; Tian, L.; Di, L.; Yan, Y.M.; Wei, X.Y.; Wang, X.F.; Cheng, Y.X. (±)-Sinensilactam A, a pair of rare hybrid metabolites with Smad3 phosphorylation inhibition from Ganoderma sinensis. Org. Lett. 2015, 17, 1565–1568. [Google Scholar] [CrossRef]
- Cao, W.W.; Luo, Q.; Cheng, Y.X.; Wang, S.M. Meroterpenoid enantiomers from Ganoderma sinensis. Fitoterapia 2016, 110, 110–115. [Google Scholar] [CrossRef] [PubMed]
- Luo, Q.; Cao, W.W.; Wu, Z.H.; Wang, S.M.; Cheng, Y.X. Zizhines G−O, ache inhibitory meroterpenoids from Ganoderma sinensis. Fitoterapia 2019, 134, 411–416. [Google Scholar] [CrossRef] [PubMed]
- Liao, G.F.; Wu, Z.H.; Liu, Y.; Yan, Y.M.; Lu, R.M.; Cheng, Y.X. Ganocapenoids A–D: Four new aromatic meroterpenoids from Ganoderma capense. Bioorg. Med. Chem. Lett. 2019, 29, 143–147. [Google Scholar] [CrossRef] [PubMed]
- Peng, X.R.; Liu, J.Q.; Wang, C.F.; Han, Z.H.; Shu, Y.; Li, X.Y.; Zhou, L.; Qiu, M.H. Unusual prenylated phenols with antioxidant activities from Ganoderma cochlear. Food Chem. 2015, 171, 251–257. [Google Scholar] [CrossRef]
- Sliva, D. Ganoderma lucidum in cancer research. Leukemia Res. 2006, 30, 767–768. [Google Scholar] [CrossRef]
- Kimura, Y.; Taniguchi, M.; Baba, K. Antitumor and antimetastatic effects on liver of triterpenoid fractions of Ganoderma lucidum: Mechanism of action and isolation of an active substance. Anticancer Res. 2002, 22, 3309–3318. [Google Scholar]
- Wu, G.S.; Guo, J.J.; Bao, J.L.; Li, X.W.; Chen, X.P.; Lu, J.J.; Wang, Y.T. Anti-cancer properties of triterpenoids isolated from Ganoderma lucidum—A review. Expert Opin. Investig. Drugs 2013, 22, 981–992. [Google Scholar] [CrossRef]
- Shang, D.; Li, Y.; Wang, C.; Wang, X.M.; Yu, Z.; Fu, X. A novel polysaccharide from Se-enriched Ganoderma lucidum induces apoptosis of human breast cancer cells. Oncol. Rep. 2011, 25, 267–272. [Google Scholar] [CrossRef]
- Cao, Q.; Lin, Z.B. Ganoderma lucidum polysaccharides peptide inhibits the growth of vascular endothelial cell and the induction of VEGF in human lung cancer cell. Life Sci. 2006, 78, 1457–1463. [Google Scholar] [CrossRef]
- Chen, G.Y.; Shen, Z.J.; Chen, X.P. Modulatory effect of Ganoderma lucidum polysaccharides on serum antioxidant enzymes activities in ovarian cancer rats. Carbohyd. Polym. 2009, 78, 258–262. [Google Scholar]
- Peng, X.R.; Qiu, M.H. Meroterpenoids from Ganoderma species: A review of last five years. Nat. Prod. Bioprospect. 2018, 8, 137–149. [Google Scholar] [CrossRef] [PubMed]
- Cheng, L.Z.; Qin, F.Y.; Ma, X.C.; Wang, S.M.; Yan, Y.M.; Cheng, Y.X. Cytotoxic and N-Acetyltransferase Inhibitory Meroterpenoids from Ganoderma cochlear. Molecules 2018, 23, 1797. [Google Scholar] [CrossRef] [PubMed]
- Wang, Y.; Zhu, Y.; Xiao, L.; Ge, L.L. Meroterpenoids isolated from Arnebia euchroma (Royle) Johnst. and their cytotoxic activity in human hepatocellular carcinoma cells. Fitoterapia 2018, 131, 236–244. [Google Scholar] [CrossRef] [PubMed]
- Haque, M.A.; Sailo, B.L.; Padmavathi, G.; Kunnumakkara, A.B.; Jana, C.K. Nature-inspired development of unnatural meroterpenoids as the non-toxic anti-colon cancer agents. Eur. J. Med. Chem. 2018, 5, 256–265. [Google Scholar] [CrossRef]
- Wang, J.; Mu, F.R.; Jiao, W.H.; Huang, J.; Hong, L.L.; Yang, F.; Xu, Y.; Wang, S.P.; Sun, F.; Lin, H.W. Meroterpenoids with protein tyrosine phosphatase 1B inhibitory activity from a Hyrtios sp. marine sponge. J. Nat. Prod. 2017, 80, 2509–2514. [Google Scholar] [CrossRef]
- Ohtani, I.; Kusumi, T.; Kashman, Y.; Kakisawa, H. High-field FT NMR application of Mosher’s method. The absolute configurations of marine terpenoids. J. Am. Chem. Soc. 1991, 113, 4092–4096. [Google Scholar] [CrossRef]
- Sebaugh, J.L. Guidelines for accurate EC50/IC50 estimation. Pharm. Stat. 2011, 10, 128–134. [Google Scholar] [CrossRef]
- Motulsky, H.J.; Ransnas, L.A. Fitting curves to data using nonlinear regression: A practical and nonmathematical review. FASEB J. 1987, 1, 365–374. [Google Scholar] [CrossRef]
Sample Availability: Samples of the compounds 1–7 are available from the authors. |





| No. | 1 a | No. | 2 b | ||
|---|---|---|---|---|---|
| δH (J in Hz) | δC | δH (J in Hz) | δC | ||
| 1 | 156.7 | 1 | 156.7 | ||
| 2 | 121.0 | 2 | 121.0 | ||
| 3 | 7.26, d (3.0) | 115.9 | 3 | 7.26, d (2.9) | 115.9 |
| 4 | 150.6 | 4 | 150.6 | ||
| 5 | 7.01, dd (8.9, 3.0) | 126.1c | 5 | 7.01, dd (8.9, 2.9) | 126.1 |
| 6 | 6.78, d (8.9) | 119.7 | 6 | 6.78, d (8.9) | 119.7 |
| 1′ | 204.1 | 1′ | 204.0 | ||
| 2′ | 3.78, d (16.7) | 45.4 | 2′ | 3.79, d (17.3) | 45.4 |
| 3.38, d (16.7) | 3.34, d (17.3) | ||||
| 3′ | 82.3 | 3′ | 82.2 | ||
| 4′ | 2.35, overlap | 36.2 | 4′ | 2.33, overlap | 36.2 |
| 2.21, m | 2.20, m | ||||
| 5′ | 2.35, overlap | 24.6 | 5′ | 2.33, overlap | 24.6 |
| 2.26, m | 2.25, m | ||||
| 6′ | 5.47, br s | 125.8d | 6′ | 5.47, overlap | 126.1 |
| 7′ | 141.1 | 7′ | 140.8 | ||
| 8′ | 1.97, m | 36.7 | 8′ | 1.99, m | 36.5 |
| 9′ | 2.11, m | 27.5 | 9′ | 2.14, m | 27.5 |
| 10′ | 5.38, t (7.1) | 126.0 c,d | 10′ | 5.47, overlap | 129.5 |
| 11′ | 136.4 | 11′ | 132.0 | ||
| 12′ | 3.91, s | 68.9 | 12′ | 4.56, s | 70.8 |
| 13′ | 1.63, s | 13.7 | 13′ | 1.68, s | 14.1 |
| 14′ | 4.26, d (16.1) | 66.9 | 14′ | 4.27, d (16.1) | 66.8 |
| 4.21, d (16.1) | 4.18, d (16.1) | ||||
| 15′ | 177.4 | 15′ | 177.2 | ||
| 1′′ | 161.3 | ||||
| 2′′, 6′′ | 6.80, d (8.6) | 116.8 | |||
| 3′′, 5′′ | 7.45, d (8.6) | 131.2 | |||
| 4′′ | 127.1 | ||||
| 7′′ | 7.61, d (15.9) | 146.5 | |||
| 8′′ | 6.33, d (15.9) | 115.2 | |||
| 9′′ | 169.1 | ||||
| No. | 3 a | No. | 4 b | ||
|---|---|---|---|---|---|
| δH (J in Hz) | δC | δH (J in Hz) | δC | ||
| 1 | 148.1 | 1 | 157.0 | ||
| 2 | 126.1 c | 2 | 120.6 | ||
| 3 | 6.66, overlap | 116.7 | 3 | 7.11, d (2.9) | 116.2 |
| 4 | 150.4 | 4 | 150.7 | ||
| 5 | 6.54, dd (8.5, 3.0) | 113.8 | 5 | 7.01, dd (8.9, 2.9) | 126.2 |
| 6 | 6.66, overlap | 114.7 | 6 | 6.81, d (8.9) | 119.7 |
| 1′ | 3.70, d (7.9) | 30.5 | 1′ | 197.6 | |
| 2′ | 6.03, t (7.9) | 139.9 | 2′ | 6.89, s | 130.4 |
| 3′ | 131.5 | 3′ | 146.0 | ||
| 4′ | 2.35, m | 34.8 | 4′ | 2.52, t (7.3) | 35.2 |
| 5′ | 2.25, m | 27.0 | 5′ | 2.39, q (7.3) | 26.9 |
| 6′ | 5.26, t (7.4) | 125.8 | 6′ | 5.35, t (7.3) | 127.3 |
| 7′ | 139.7 | 7′ | 140.9 | ||
| 8′ | 2.16, overlap | 34.2 | 8′ | 2.24, overlap | 35.4 |
| 9′ | 2.16, overlap | 26.4 | 9′ | 2.24, overlap | 27.4 |
| 10′ | 5.51, t (6.1) | 129.0 | 10′ | 5.52, br s | 130.1 |
| 11′ | 130.4 | 11′ | 131.8 | ||
| 12′ | 4.54, s | 69.4 | 12′ | 4.54, s | 71.0 |
| 13′ | 1.67, s | 13.3 | 13′ | 1.67, s | 14.1 |
| 14′ | 4.10, s | 58.9 | 14′ | 4.13, s | 60.0 |
| 15′ | 169.5 | 15′ | 170.1 | ||
| 1′′ | 159.7 | 1′′ | 161.3 | ||
| 2′′, 6′′ | 6.89, d (8.6) | 116.7 | 2′′, 6′′ | 6.78, d (8.6) | 116.8 |
| 3′′, 5′′ | 7.55, d (8.6) | 130.1 | 3′′, 5′′ | 7.45, d (8.7) | 131.2 |
| 4′′ | 126.2 c | 4′′ | 127.1 | ||
| 7′′ | 7.62, d (16.0) | 144.5 | 7′′ | 7.60, d (15.9) | 146.6 |
| 8′′ | 6.38, d (16.0) | 114.7 | 8′′ | 6.32, d (15.9) | 115.2 |
| 9′′ | 166.5 | 9′′ | 169.1 | ||
| -OCH3 | 3.66, s | 52.7 | |||
| No. | 5 a | No. | 6 a | No. | 7 b | |||
|---|---|---|---|---|---|---|---|---|
| δH (J in Hz) | δC | δH (J in Hz) | δC | δH (J in Hz) | δC | |||
| 1 | 149.0 | 1 | 149.0 | 1 | 157.2 | |||
| 2 | 123.3 | 2 | 123.3 | 2 | 121.4 | |||
| 3 | 6.46, d (2.9) | 113.4 | 3 | 6.47, d (2.9) | 113.4 | 3 | 7.15, d (3.0) | 115.8 |
| 4 | 151.4 | 4 | 151.4 | 4 | 150.8 | |||
| 5 | 6.61, dd (8.7, 2.9) | 117.3 | 5 | 6.61, dd (8.7, 2.9) | 117.3 | 5 | 7.04, dd (9.0, 3.0) | 126.4 |
| 6 | 6.68, d (8.7) | 117.3 | 6 | 6.67, d (8.7) | 117.3 | 6 | 6.84, d (9.0) | 119.8 |
| 1′ | 6.23, d (1.5) | 79.8 | 1′ | 6.23, d (1.5) | 79.9 | 1′ | 199.0 | |
| 2′ | 7.37, d (1.5) | 151.4 | 2′ | 7.37, d (1.5) | 151.4 | 2′ | 7.63, s | 131.3 |
| 3′ | 132.8 | 3′ | 132.9 c | 3′ | 148.5 | |||
| 4′ | 2.41, m | 26.1 | 4′ | 2.39, m | 26.2 d | 4′ | 2.66, m | 29.8 |
| 5′ | 2.46, m | 26.4 | 5′ | 2.45, m | 26.4 d | 5′ | 2.28, m | 28.2 |
| 6′ | 5.58, t (6.9) | 129.2 | 6′ | 5.58, t (7.0) | 129.3 | 6′ | 5.22, t (7.6) | 127.4 |
| 7′ | 142.6 | 7′ | 142.5 | 7′ | 137.2 | |||
| 8′ | 4.18, t (6.5) | 75.2 | 8′ | 4.18, t (6.5) | 75.3 | 8′ | 4.03, s | 61.2 |
| 9′ | 2.32, m | 35.4 | 9′ | 2.33, m | 35.4 | 9′ | 1.62, s | 21.3 |
| 10′ | 5.53, t (6.5) | 126.6 | 10′ | 5.54, t (6.5) | 126.6 | 10′ | 171.5 | |
| 11′ | 133.1 | 11′ | 133.1c | |||||
| 12′ | 4.56, s | 70.8 | 12′ | 4.56, s | 70.8 | |||
| 13′ | 1.69, s | 14.4 | 13′ | 1.69, s | 14.4 | |||
| 14′ | 4.19, d (12.2) | 58.1 | 14′ | 4.19, d (12.2) | 58.1 | |||
| 4.11, d (12.2) | 4.13, d (12.2) | |||||||
| 15′ | 176.7 | 15′ | 176.7 | |||||
| 1′′ | 161.2 | 1′′ | 161.3 | |||||
| 2′′, 6′′ | 6.80, d (8.6) | 116.8 | 2′′, 6′′ | 6.80, d (8.6) | 116.8 | |||
| 3′′, 5′′ | 7.45, d (8.6) | 131.2 | 3′′, 5′′ | 7.45, d (8.6) | 131.2 | |||
| 4′′ | 127.1 | 4′′ | 127.1 | |||||
| 7′′ | 7.61, d (15.9) | 146.6 | 7′′ | 7.61, d (15.9) | 146.6 | |||
| 8′′ | 6.33, d (15.9) | 115.2 | 8′′ | 6.32, d (15.9) | 115.2 | |||
| 9′′ | 169.1 | 9′′ | 169.1 | |||||
| Compound | Cell Lines (IC50, μM) | |||
|---|---|---|---|---|
| BGC-823 | KYSE30 | A549 | HDF | |
| (−)-1 | >160 | >160 | >160 | >160 |
| (+)-1 | >160 | >160 | >160 | >160 |
| (−)-2 | >160 | >160 | >160 | >160 |
| (+)-2 | >160 | >160 | >160 | >160 |
| 3 | >160 | >160 | >160 | >160 |
| 4 | >160 | >160 | 72.13 ± 8.7 * | >160 |
| 5 | 59.2 ± 2.73 * | 76.28 ± 1.93 * | >160 | >160 |
| 6 | 64.25 ± 0.37 * | 85.42 ± 2.82 * | >160 | >160 |
| 7 | >160 | >160 | >160 | >160 |
| 5-FU | 37.72 ± 1.87 | 8.43 ± 0.19 | 35.02 ± 2.42 | 51.07 ± 2.43 |
© 2019 by the authors. Licensee MDPI, Basel, Switzerland. This article is an open access article distributed under the terms and conditions of the Creative Commons Attribution (CC BY) license (http://creativecommons.org/licenses/by/4.0/).
Share and Cite
Yin, Y.-J.; Huang, D.-L.; Qiu, B.; Cai, D.; Zhang, J.-J.; Wang, S.-X.; Qin, D.-P.; Cheng, Y.-X. Meroterpenoids from the Fungus Ganoderma sinensis and First Absolute Configuration Clarification of Zizhine H. Molecules 2020, 25, 158. https://doi.org/10.3390/molecules25010158
Yin Y-J, Huang D-L, Qiu B, Cai D, Zhang J-J, Wang S-X, Qin D-P, Cheng Y-X. Meroterpenoids from the Fungus Ganoderma sinensis and First Absolute Configuration Clarification of Zizhine H. Molecules. 2020; 25(1):158. https://doi.org/10.3390/molecules25010158
Chicago/Turabian StyleYin, Yan-Jiao, Dan-Ling Huang, Bin Qiu, Dan Cai, Jiao-Jiao Zhang, Shao-Xiang Wang, Da-Peng Qin, and Yong-Xian Cheng. 2020. "Meroterpenoids from the Fungus Ganoderma sinensis and First Absolute Configuration Clarification of Zizhine H" Molecules 25, no. 1: 158. https://doi.org/10.3390/molecules25010158
APA StyleYin, Y.-J., Huang, D.-L., Qiu, B., Cai, D., Zhang, J.-J., Wang, S.-X., Qin, D.-P., & Cheng, Y.-X. (2020). Meroterpenoids from the Fungus Ganoderma sinensis and First Absolute Configuration Clarification of Zizhine H. Molecules, 25(1), 158. https://doi.org/10.3390/molecules25010158

