Investigations into the Performance of a Novel Pocket-Sized Near-Infrared Spectrometer for Cheese Analysis
Abstract
1. Introduction
2. Results
2.1. Near-Infrared Spectroscopy
2.2. Multivariate Data Analysis
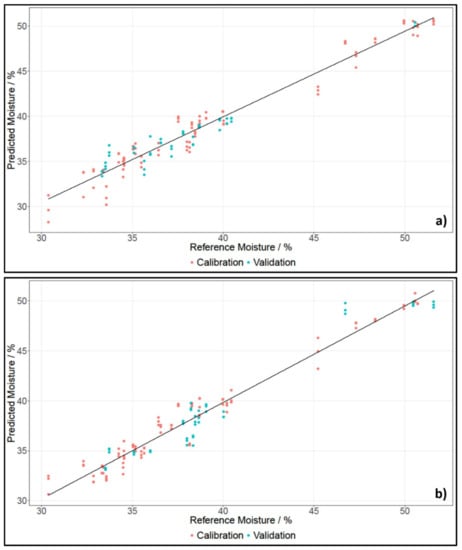
2.2.1. Regression Models Established with The Unscrambler X Version 10.5
2.2.2. Regression Models Established with the SCiO Lab Web Application
2.2.3. Results from the Pre-Established Model in the SCiO App
3. Discussion
4. Materials and Methods
4.1. Sample Management and Reference Data
4.2. Near-Infrared Spectroscopy
4.3. Multivariate Data Analysis
4.3.1. Spectral Pre-Treatments
4.3.2. Regression Models
5. Conclusions
Supplementary Materials
Author Contributions
Funding
Acknowledgments
Conflicts of Interest
References
- United States Department of Agriculture. USDA Food Composition Database. 2016. Available online: https://ndb.nal.usda.gov/ndb/ (accessed on 8 January 2018).
- Food and Agriculture Organization of the United Nations. Livestock Processed 2014. 2017. Available online: http://www.fao.org/faostat/en/#data/QP (accessed on 8 January 2018).
- Karoui, R.; Mouazen, A.M.; Dufour, É.; Pillonel, L.; Schaller, E.; De Baerdemaeker, J.; Bosset, J.-O. Chemical characterisation of European Emmental cheeses by near infrared spectroscopy using chemometric tools. Int. Dairy J. 2006, 16, 1211–1217. [Google Scholar] [CrossRef]
- Woodcock, T.; Fagan, C.C.; O’Donnell, C.P.; Downey, G. Application of Near and Mid-Infrared Spectroscopy to Determine Cheese Quality and Authenticity. Food Bioprocess. Technol. 2008, 1, 117–129. [Google Scholar] [CrossRef]
- Lénárt, J.; Szigedi, T.; Dernovics, M.; Fodor, M. Application of FT-NIR spectroscopy on the determination of the fat and protein contents of lyophilized cheeses. Acta Aliment. 2012, 41, 351–362. [Google Scholar] [CrossRef]
- Tao, F.; Ngadi, M. Applications of spectroscopic techniques for fat and fatty acids analysis of dairy foods. Curr. Opin. Food Sci. 2017, 17, 100–112. [Google Scholar] [CrossRef]
- McQueen, D.H.; Wilson, R.; Kinnunen, A.; Jensen, E.P. Comparison of two infrared spectroscopic methods for cheese analysis. Talanta 1995, 42, 2007–2015. [Google Scholar] [CrossRef]
- Rodriguez-Otero, J.L.; Hermida, M.; Cepeda, A. Determination of fat, protein, and total solids in cheese by near-infrared reflectance spectroscopy. J. AOAC Int. 1995, 78, 802–806. [Google Scholar]
- Blazquez, C.; Downey, G.; O’Donnell, C.; O’Callaghan, D.; Howard, V. Prediction of Moisture, Fat and Inorganic Salts in Processed Cheese by near Infrared Reflectance Spectroscopy and Multivariate Data Analysis. J. Near Infrared Spectrosc. 2017, 12, 149–157. [Google Scholar] [CrossRef]
- Holroyd, S.E. The Use of near Infrared Spectroscopy on Milk and Milk Products. J. Near Infrared Spectrosc. 2013, 21, 311–322. [Google Scholar] [CrossRef]
- Lucas, A.; Andueza, D.; Rock, E.; Martin, B. Prediction of dry matter, fat, pH, vitamins, minerals, carotenoids, total antioxidant capacity, and color in fresh and freeze-dried cheeses by visible-near-infrared reflectance spectroscopy. J. Agric. Food Chem. 2008, 56, 6801–6808. [Google Scholar] [CrossRef]
- González-Martín, I.; González-Pérez, C.; Hernández-Hierro, J.M.; González-Cabrera, J.M. Use of NIRS technology with a remote reflectance fibre-optic probe for predicting major components in cheese. Talanta 2008, 75, 351–355. [Google Scholar] [CrossRef]
- Karoui, R.; Pillonel, L.; Schaller, E.; Bosset, J.-O.; De Baerdemaeker, J. Prediction of sensory attributes of European Emmental cheese using near-infrared spectroscopy: A feasibility study. Food Chem. 2007, 101, 1121–1129. [Google Scholar] [CrossRef]
- Downey, G.; Sheehan, E.; Delahunty, C.; O’Callaghan, D.; Guinee, T.; Howard, V. Prediction of maturity and sensory attributes of Cheddar cheese using near-infrared spectroscopy. Int. Dairy J. 2005, 15, 701–709. [Google Scholar] [CrossRef]
- Huck-Pezzei, V.A.; Seitz, I.; Karer, R.; Schmutzler, M.; De Benedictis, L.; Wild, B.; Huck, C.W. Alps food authentication, typicality and intrinsic quality by near infrared spectroscopy. Food Res. Int. 2014, 62, 984–990. [Google Scholar] [CrossRef]
- Ottavian, M.; Facco, P.; Barolo, M.; Berzaghi, P.; Segato, S.; Novelli, E.; Balzan, S. Near-infrared spectroscopy to assist authentication and labeling of Asiago d’allevo cheese. J. Food Eng. 2012, 113, 289–298. [Google Scholar] [CrossRef]
- Schmutzler, M.; Huck, C.W. Simultaneous detection of total antioxidant capacity and total soluble solids content by Fourier transform near-infrared (FT-NIR) spectroscopy: A quick and sensitive method for on-site analyses of apples. Food Control 2016, 66, 27–37. [Google Scholar] [CrossRef]
- Guelpa, A.; Marini, F.; Du Plessis, A.; Slabbert, R.; Manley, M. Verification of authenticity and fraud detection in South African honey using NIR spectroscopy. Food Control 2017, 73, 1388–1396. [Google Scholar] [CrossRef]
- Prieto, N.; Pawluczyk, O.; Dugan, M.E.R.; Aalhus, J.L. A Review of the Principles and Applications of Near-Infrared Spectroscopy to Characterize Meat, Fat, and Meat Products. Appl. Spectrosc. 2017, 71, 1403–1426. [Google Scholar] [CrossRef] [PubMed]
- Čurda, L.; Kukačková, O. NIR spectroscopy: A useful tool for rapid monitoring of processed cheeses manufacture. J. Food Eng. 2004, 61, 557–560. [Google Scholar] [CrossRef]
- Koide, T.; Yamamoto, Y.; Fukami, T.; Katori, N.; Okuda, H.; Hiyama, Y. Analysis of Distribution of Ingredients in Commercially Available Clarithromycin Tablets Using Near-Infrared Chemical Imaging with Principal Component Analysis and Partial Least Squares. Chem. Pharm. Bull. 2015, 63, 663–668. [Google Scholar] [CrossRef] [PubMed]
- Ariyasu, A.; Hattori, Y.; Otsuka, M. Non-destructive prediction of enteric coating layer thickness and drug dissolution rate by near-infrared spectroscopy and X-ray computed tomography. Int. J. Pharm. 2017, 525, 282–290. [Google Scholar] [CrossRef] [PubMed]
- Ozaki, Y. Near-infrared spectroscopy—Its versatility in analytical chemistry. Anal. Sci. Int. J. Jpn. Soc. Anal. Chem. 2012, 28, 545–563. [Google Scholar] [CrossRef]
- Yan, H.; Siesler, H.W. Quantitative analysis of a pharmaceutical formulation: Performance comparison of different handheld near-infrared spectrometers. J. Pharm. Biomed. Anal. 2018, 160, 179–186. [Google Scholar] [CrossRef] [PubMed]
- Henn, R.; Kirchler, C.G.; Grossgut, M.-E.; Huck, C.W. Comparison of sensitivity to artificial spectral errors and multivariate LOD in NIR spectroscopy—Determining the performance of miniaturizations on melamine in milk powder. Talanta 2017, 166, 109–118. [Google Scholar] [CrossRef] [PubMed]
- Rodriguez-Saona, L.E.; Koca, N.; Harper, W.J.; Alvarez, V.B. Rapid Determination of Swiss Cheese Composition by Fourier Transform Infrared/Attenuated Total Reflectance Spectroscopy. J. Dairy Sci. 2006, 89, 1407–1412. [Google Scholar] [CrossRef]
- Pederson, C.G.; Friedrich, D.M.; Hsiung, C.; von Gunten, M.; O’Brien, N.A.; Ramaker, H.-J.; van Sprang, E.; Dreischor, M. Pocket-size near-infrared spectrometer for narcotic materials identification. In Next-Generation Spectroscopic Technologies VII; International Society for Optics and Photonics: Bellingham, WA, USA, 2014. [Google Scholar]
- Zontov, Y.V.; Balyklova, K.S.; Titova, A.V.; Rodionova, O.Y.; Pomerantsev, A.L. Chemometric aided NIR portable instrument for rapid assessment of medicine quality. J. Pharm. Biomed. Anal. 2016, 131, 87–93. [Google Scholar] [CrossRef] [PubMed]
- Friedrich, D.M.; Hulse, C.A.; von Gunten, M.; Williamson, E.P.; Pederson, C.G.; O’Brien, N.A. Miniature near-infrared spectrometer for point-of-use chemical analysis. SPIE Proc. 2014, 8992, 899203. [Google Scholar]
- McGonigle, A.J.S.; Wilkes, T.C.; Pering, T.D.; Willmott, J.R.; Cook, J.M.; Mims, F.M.; Parisi, A.V. Smartphone Spectrometers. Sensors 2018, 18, 223. [Google Scholar] [CrossRef]
- Kaur, H.; Künnemeyer, R.; McGlone, A. Comparison of hand-held near infrared spectrophotometers for fruit dry matter assessment. J. Near Infrared Spectrosc. 2017, 25, 267–277. [Google Scholar] [CrossRef]
- Wilson, B.K.; Kaur, H.; Allan, E.L.; Lozama, A.; Bell, D. A New Handheld Device for the Detection of Falsified Medicines: Demonstration on Falsified Artemisinin-Based Therapies from the Field. Am. J. Trop. Med. Hyg. 2017, 96, 1117–1123. [Google Scholar] [CrossRef]
- Workman, J. Handbook of Organic Compounds: Methods and Interpretations; NIR, IR, Raman, and UV-Vis Spectra Featuring Polymers and Surfactants; Academic Press: San Diego, CA, USA, 2001. [Google Scholar]
- Williams, P. Variables Affecting Near-Infared Reflectance Spectroscopic Analysis. In Near Infrared Technology in the Agriculture and Food Industries; Williams, P., Norris, K., Eds.; American Association of Cereal Chemists: St. Paul, MN, USA, 1987; Chapter 8; pp. 143–167. [Google Scholar]
- Bundesministerium für Arbeit, Soziales, Gesundheit und Konsumentenschutz. In Österreichisches Lebensmittelbuch:Codexkapitel/B32/Milch und Milchprodukte, 6th ed.; Universty of Applied science: Vienna, Austria, 2017.
- ISO 3433:2008, 2008-01: Cheese - Determination of fat content - Van Gulik method; International Organization for Standardization: Geneva, Switzerland, 2008.
- ISO 5534:2004, 2004-05: Cheese and processed cheese - Determination of the total solids content (Reference method); International Organization for Standardization: Geneva, Switzerland, 2004.
- Kennard, R.W.; Stone, L.A. Computer Aided Design of Experiments. Technometrics 1969, 11, 137–148. [Google Scholar] [CrossRef]
Sample Availability: Not available. |



| Device | Vibration | Wavenumber/cm−1 | Wavelength/nm |
|---|---|---|---|
| NIRFlex N-500 | C-H str. 2nd overtones | 8888–8068 | 1125–1240 |
| O-H str. 1st overtones N-H str. 1st overtones | 7264–6068 | 1377–1648 | |
| C-H str. 1st overtones | 5856–5604 | 1708–1784 | |
| Combination of O-H str. and O-H def., C=O str. 2nd overtones | 5404–4784 | 1850–2090 | |
| SCiO | C-H str. 3rd overtones | 10,834–10,660 | 923–938 |
| N-H str. 2nd overtones and O-H str. 2nd overtones | 10,616–9506 | 942–1052 |
| Spectrometer | State of the Cheese | R2 (CV) | RMSECV/% | PC (CV) | R2 (TV) | RMSEP/% | Bias (TV) | PC (TV) | RPD |
|---|---|---|---|---|---|---|---|---|---|
| NIRFlex N-500 | Whole pieces | 0.9726 | 1.5711 | 2 | 0.9431 | 1.8964 | −0.3369 | 2 | 5.109 |
| Grated cheese | 0.9930 | 0.7845 | 2 | 0.9913 | 0.7676 | 0.3719 | 2 | 14.022 | |
| SCiO | Whole pieces | 0.9801 | 1.2466 | 2 | 0.9838 | 1.1874 | 0.1634 | 2 | 7.754 |
| Grated cheese | 0.9838 | 1.0527 | 2 | 0.9940 | 0.8194 | 0.1776 | 2 | 10.398 |
| Spectrometer | State of the Cheese | R2 (CV) | RMSECV/% | PC (CV) | R2 (TV) | RMSEP/% | Bias (TV) | PC (TV) | RPD |
|---|---|---|---|---|---|---|---|---|---|
| NIRFlex N-500 | Whole pieces | 0.9598 | 1.2239 | 3 | 0.9376 | 1.0960 | 0.0408 | 3 | 5.597 |
| Grated cheese | 0.9873 | 0.6868 | 3 | 0.9561 | 0.9337 | −0.1843 | 3 | 6.697 | |
| SCiO | Whole pieces | 0.9659 | 1.0407 | 2 | 0.9394 | 1.1357 | −0.3763 | 2 | 4.341 |
| Grated cheese | 0.9637 | 1.0400 | 2 | 0.9327 | 1.7147 | 0.1297 | 2 | 3.208 |
| Content | State of the Cheese | PC (CV) | R2 (CV) | RMSE/% | SEP/% | RPD |
|---|---|---|---|---|---|---|
| Moisture | Whole pieces | 4 | 0.972 | 0.949 | 1.050 | 5.453 |
| Grated cheese | 4 | 0.977 | 0.834 | 1.102 | 5.034 | |
| Fat | Whole pieces | 4 | 0.988 | 0.950 | 0.785 | 11.448 |
| Grated cheese | 4 | 0.982 | 1.118 | 0.779 | 10.779 |
| Content | State of the Cheese | SEP/% | Bias/% | RPD |
|---|---|---|---|---|
| Moisture | Whole pieces | 1.349 | 2.266 | 4.021 |
| Grated cheese | 1.159 | 2.443 | 4.681 | |
| Fat | Whole pieces | 1.064 | −0.826 | 7.832 |
| Grated cheese | 1.218 | −0.789 | 6.844 |
© 2019 by the authors. Licensee MDPI, Basel, Switzerland. This article is an open access article distributed under the terms and conditions of the Creative Commons Attribution (CC BY) license (http://creativecommons.org/licenses/by/4.0/).
Share and Cite
Wiedemair, V.; Langore, D.; Garsleitner, R.; Dillinger, K.; Huck, C. Investigations into the Performance of a Novel Pocket-Sized Near-Infrared Spectrometer for Cheese Analysis. Molecules 2019, 24, 428. https://doi.org/10.3390/molecules24030428
Wiedemair V, Langore D, Garsleitner R, Dillinger K, Huck C. Investigations into the Performance of a Novel Pocket-Sized Near-Infrared Spectrometer for Cheese Analysis. Molecules. 2019; 24(3):428. https://doi.org/10.3390/molecules24030428
Chicago/Turabian StyleWiedemair, Verena, Dominik Langore, Roman Garsleitner, Klaus Dillinger, and Christian Huck. 2019. "Investigations into the Performance of a Novel Pocket-Sized Near-Infrared Spectrometer for Cheese Analysis" Molecules 24, no. 3: 428. https://doi.org/10.3390/molecules24030428
APA StyleWiedemair, V., Langore, D., Garsleitner, R., Dillinger, K., & Huck, C. (2019). Investigations into the Performance of a Novel Pocket-Sized Near-Infrared Spectrometer for Cheese Analysis. Molecules, 24(3), 428. https://doi.org/10.3390/molecules24030428

