Synthesis and Anti-Proliferative Assessment of Triazolo-Thiadiazepine and Triazolo-Thiadiazine Scaffolds
Abstract
1. Introduction
2. Results
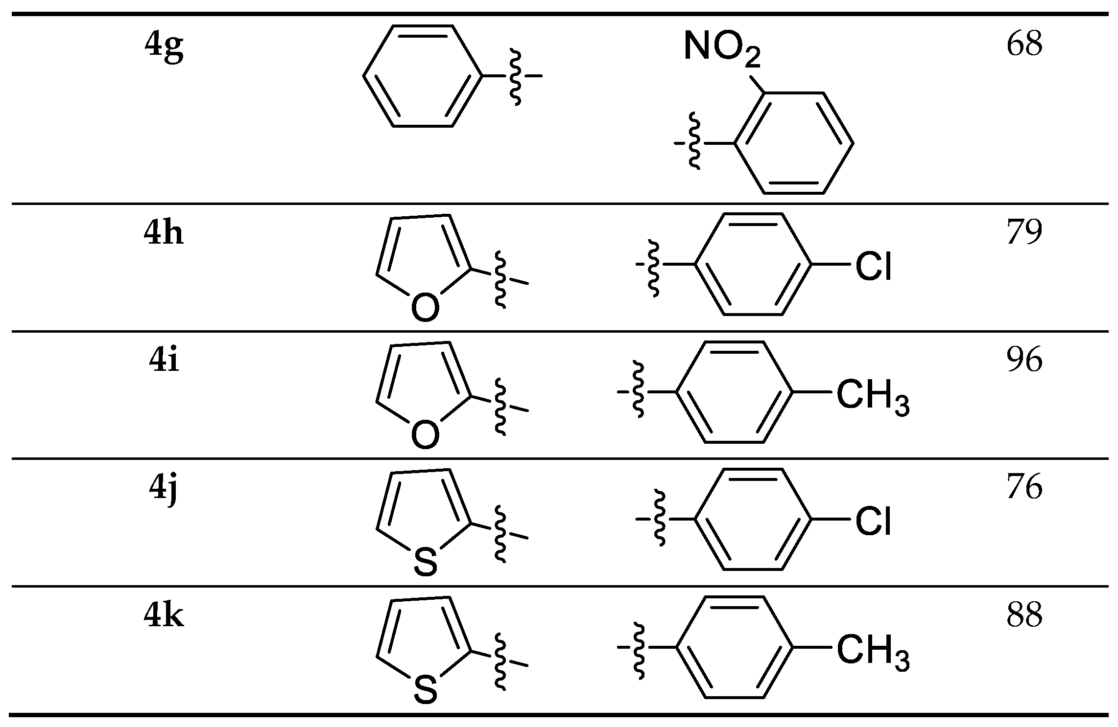
2.1. Synthesis of 4a–k
2.1.1. Structural Analysis
2.1.2. X-Ray Diffraction Analysis
2.2. Anticancer Activity
2.3. Molecular Modeling
3. Materials and Methods
3.1. Experiments: Chemistry
3.2. Synthesis of Chalcones
3.3. Synthesis of Thiadiazepine 4a–k
3.4. Procedure for 8a,b
3.5. Cyclization of 7b
4. Conclusions
Supplementary Materials
Author Contributions
Funding
Conflicts of Interest
References
- Kaushik, N.K.; Kaushik, N.; Attri, P.; Kumar, N.; Kim, C.H.; Verma, A.K.; Choi, E.H. Biomedical importance of indoles. Molecules 2013, 18, 6620–6662. [Google Scholar] [CrossRef] [PubMed]
- El Ashry, E.S.H.; El Tamany, E.S.H.; Abdel Fattah, M.E.; Boraei, A.T.A.; Abd El-Nabi, H.M. Regioselective synthesis, characterization and antimicrobial evaluation of S-glycosides and S, N-diglycosides of 1,2-dihydro-5-(1H-indol-2-yl)-1,2,4-triazole-3-thione. Eur. J. Med. Chem. 2013, 66, 106–113. [Google Scholar] [CrossRef] [PubMed]
- Salgin, G.U.; Gokhamaa, K.N.; Gostal, O.; Koysal, Y.; Kilici, E.; Isik, S.; Aktay, G.; Ozalp, M. 1-Acylthiosemicarbazides, 1,2,4-triazole-5(4H)-thiones, 1,3,4-thiadiazoles and hydrazones containing 5-methyl-2-benzoxazolinones: Synthesis, analgesic-anti-inflammatory and antimicrobial activities. Bioorg. Med. Chem. 2007, 15, 5738–5751. [Google Scholar] [CrossRef] [PubMed]
- Maddila, S.; Pagadala, R.; Jonnalagadda, S.B. 1,2,4-Triazoles: A review of synthetic approaches and the biological activity. Lett. Org. Chem. 2013, 10, 693–714. [Google Scholar] [CrossRef]
- Boraei, A.A.; Ashour, H.K.; El Tamany, E.S.H.; Abdelmoaty, N.; El-Falouji, A.I.; Gomaa, M.S. Design and synthesis of new phthalazine-based derivatives as potential EGFR inhibitors for the treatment of hepatocellular carcinoma. Bioorg. Chem. 2019, 85, 293–307. [Google Scholar] [CrossRef]
- Bagal, S.K.; Brown, A.D.; Cox, P.J.; Omoto, K.; Owen, R.M.; Pryde, D.C.; Sidders, B.; Skerratt, S.E.; Stevens, E.B.; Storer, R.I.; et al. Ion channels as therapeutic targets: A drug discovery perspective. J. Med. Chem. 2012, 56, 593–624. [Google Scholar] [CrossRef]
- Yamamoto, H.; Asai, H. Effects of (−)-cis-2,3-dihydro-3-(4-methylpiperazinylmethyl)-2-phenyl-1,5-benzothiazepin-4-(5H)-one hydrochloride (BTM-1086) on ulceration, gastric secretion and mucosal blood flow in experimental animals. Chem. Pharm. Bull. 1986, 34, 3844–3853. [Google Scholar] [CrossRef]
- Saha, D.; Jain, G.; Sharma, A. Benzothiazepines: Chemistry of a privileged scaffold. RSC Adv. 2015, 5, 70619–70639. [Google Scholar] [CrossRef]
- Ye, N.; Neumeyer, J.L.; Baldessarini, R.J.; Zhen, X.; Zhang, A. Recent progress in development of dopamine receptor subtype-selective agents: Potential therapeutics for neurological and psychiatric disorders. Chem. Rev. 2013, 113, 123–178. [Google Scholar] [CrossRef]
- Sekhar, B.C. Fused 1, 5-benzothiazepines from o-aminothiophenol and its derivatives as versatile synthons. Acta Chim. Slov. 2014, 61, 651–680. [Google Scholar]
- Danneberg, P.; Weber, K.H. Chemical structure and biological activity of the diazepines. Br. J. Clin. Pharmacol. 1983, 16, 231S–244S. [Google Scholar] [CrossRef] [PubMed]
- Khalil, M.A.; El Sayed, O.A.; El-Shamy, H.A. Synthesis and antimicrobial evaluation of novel oxa (thia) diazolylquinolines and oxa (thia) diazepino [7, 6-b]quinolones. Arch. Pharm. 1993, 326, 489–492. [Google Scholar] [CrossRef] [PubMed]
- Ammar, Y.A.; Ghorab, M.M.; El-Sharief, A.M.S.; Mohamed, S.I. Naproxen in heterocyclic chemistry: Novel syntheses of triazoles, triazolothiadiazines, triazolothiadiazoles, and triazolothiadiazepine bearing an asymmetric carbon atom and radiostability of the biologically active compounds. Heteroat. Chem. 2002, 13, 199–206. [Google Scholar] [CrossRef]
- Kiefer, L.; Gorojankina, T.; Dauban, P.; Faure, H.; Ruat, M.; Dodd, R.H. Design and synthesis of cyclic sulfonamides and sulfamates as new calcium sensing receptor agonists. Bioorg. Med. Chem. Lett. 2010, 20, 7483–7487. [Google Scholar] [CrossRef]
- Zeng, Y.; Zeng, H.; Zhang, H.; Geng, L.; Zhao, X.; Cheng, J. Synthesis of novel β-lactam-fused 1,5-benzothiazepine derivatives bearing quinoline moiety. Phosphorus Sulfur Silicon Relat. Elem. 2016, 191, 1–7. [Google Scholar] [CrossRef]
- Van Snick, W.; Aibuldinov, Y.K.; Dehaen, W. An efficient synthetic route towards novel thienobenzothiazoles, thienobenzothiazepines, and thienobenzothiazines. Tetrahedron 2013, 69, 4176–4184. [Google Scholar] [CrossRef]
- Boraei, A.T.A.; Gomaa, M.S.; El Sayed, E.S.H.; Duerkop, A. Design, selective alkylation and X-ray crystal structure determination of dihydro-indolyl-1,2,4-triazole-3-thione and its 3-benzylsulfanyl analogue as potent anticancer agents. Eur. J. Med. Chem. 2017, 125, 360–371. [Google Scholar] [CrossRef]
- Barakat, A.; Islam, M.S.; Al Majid, A.M.; Al-Othman, Z.A. Highly enantioselective Friedel–Crafts alkylation of indoles with α, β-unsaturated ketones with simple Cu(II)–oxazoline–imidazoline catalysts. Tetrahedron 2013, 69, 5185–5192. [Google Scholar] [CrossRef]
- Sunil, D.; Isloor, A.M.; Shetty, P.; Pai, K.S.R.; Balaji, S. Triazolo-thiadiazepine as a potent apoptotic DNA degradation agent and MetAP2 inhibitor against human breast adenocarcinoma cells. Chem. Biol. Interface 2015, 5, 63–75. [Google Scholar]
- Sheldrick, G.M. A short history of SHELX. Acta Crystallogr. A 2008, 64, 112–122. [Google Scholar] [CrossRef]
- Spek, A.L. Structure validation in chemical crystallography. Acta Crystallogr. D 2009, 65, 148–155. [Google Scholar] [CrossRef] [PubMed]
- Boraei, A.T.A. A new direct synthetic access to 4-Amino-2-N-(glycosyl/propyl)-1,2,4-triazole-3-thiones via hydrazinolysis of 3-N-((acylated gylcosyl)/allyl)-1,3,4-oxadiazole-2-thiones. Arkivoc 2016, 3, 71–81. [Google Scholar]
Sample Availability: Samples of the compounds 4a–k and 8a,b are available from the authors. |








| # | Inhibition % HEPG-2 (100 µg/mL) | IC50 (µg/mL) HEPG-2 | Inhibition % MCF-7 (100 µg/mL) | IC50 (µg/mL) MCF-7 |
|---|---|---|---|---|
| 4a | 68.6 | 37 | 69.3 | 47.8 |
| 4b | 59.5 | 44.6 | 76.4 | 20.2 |
| 4c | 50.0 | NT | 63.6 | 14.7 |
| 4d | 53.6 | 44.6 | 80.7 | 49.3 |
| 4e | 44.4 | 30.1 | 77.9 | 26.9 |
| 4f | 74.5 | 38.7 | 73.6 | 43.2 |
| 4g | 74.5 | 43.2 | 72.9 | 48.7 |
| 4h | 16.3 | NT | 45.7 | NT |
| 4i | 66.7 | 15.2 | 51.4 | NT |
| 4j | 61.4 | 12.9 | 32.9 | NT |
| 4k | 56.1 | NT | 53.6 | NT |
| 8a | NT | NT | 40.0 | NT |
| 8b | 28.1 | NT | 21.4 | NT |
| Doxorubicin | 4.0 | 4.0 |
© 2019 by the authors. Licensee MDPI, Basel, Switzerland. This article is an open access article distributed under the terms and conditions of the Creative Commons Attribution (CC BY) license (http://creativecommons.org/licenses/by/4.0/).
Share and Cite
Boraei, A.T.A.; Ghabbour, H.A.; Gomaa, M.S.; El Ashry, E.S.H.; Barakat, A. Synthesis and Anti-Proliferative Assessment of Triazolo-Thiadiazepine and Triazolo-Thiadiazine Scaffolds. Molecules 2019, 24, 4471. https://doi.org/10.3390/molecules24244471
Boraei ATA, Ghabbour HA, Gomaa MS, El Ashry ESH, Barakat A. Synthesis and Anti-Proliferative Assessment of Triazolo-Thiadiazepine and Triazolo-Thiadiazine Scaffolds. Molecules. 2019; 24(24):4471. https://doi.org/10.3390/molecules24244471
Chicago/Turabian StyleBoraei, Ahmed T. A., Hazem A. Ghabbour, Mohamed S. Gomaa, El Sayed H. El Ashry, and Assem Barakat. 2019. "Synthesis and Anti-Proliferative Assessment of Triazolo-Thiadiazepine and Triazolo-Thiadiazine Scaffolds" Molecules 24, no. 24: 4471. https://doi.org/10.3390/molecules24244471
APA StyleBoraei, A. T. A., Ghabbour, H. A., Gomaa, M. S., El Ashry, E. S. H., & Barakat, A. (2019). Synthesis and Anti-Proliferative Assessment of Triazolo-Thiadiazepine and Triazolo-Thiadiazine Scaffolds. Molecules, 24(24), 4471. https://doi.org/10.3390/molecules24244471

