Abstract
New 1,4-disubstituted β-pyrrolidino-1,2,3-triazoles were synthesized using a reusable copper-iodide-doped neutral alumina catalyst. Synthesis of diversely substituted triazoles and recyclability of CuI catalyst explains the broad scope of this protocol. The synthesized compounds were screened for their antimicrobial and anticancer properties. Most of the compounds showed significant antimicrobial activities against all the tested microorganisms compared to standard drugs. Furthermore, compounds 5a, 5e, 5g, 5h, 5i, and 5j showed moderate to potent activities against A549 and HepG-2 cells. In addition, compounds 5g and 5h displayed potential cytotoxicity activity against A549 cells with IC50 values of 72 ± 3.21 and 58 ± 2.31 µM, respectively. The molecular docking study revealed that some of the synthesized compounds exhibited comparable binding as co-crystalized ligands with the DNA topoisomerase IV and anaplastic lymphoma kinase receptors.
1. Introduction
Cancer is a multi-factorial genetic disease whose development involves a multitude of genes [1]. Microarray analyses have identified thousands of genes that are over- or under-expressed in specific tumor samples. However, the use of more specific techniques, such as real-time quantitative polymerase chain reactions, is necessary to further investigate the involvement of each of these genes [2]. β-Adrenergic receptors transduce signals from catecholamines to the G protein, which through a cascade of chemical reactions, generates highly specific parallel signals with neuroendocrine functions in cells. Previous studies have established a relationship between the β2-adrenergic receptor and various aspects related to cancer. This receptor appears to be mainly associated with cell proliferation, apoptotic phenomena [3,4], chemotaxis, the development of metastasis [5,6], tumor growth, and angiogenesis [7].
In their role as β-adrenergic receptor agonists, catecholamines and, in particular, epinephrine and norepinephrine are directly involved in increasing the metastatic capacity and apoptosis resistance of carcinogenic cells. β-Adrenergic receptors, in particular β1- and β2-receptors, have also been found to be expressed in colon cancer cell lines [8] and oral squamous cell carcinoma (OSCC) [9]. In OSCC, it appears that the over-expression of β2-adrenergic receptors in TCa8113 and ACC cells and the use of the β-adrenergic receptor agonist norepinephrine cause a potent mitogenic effect that increases tumor size, while the antagonist propranolol, in contrast, completely inhibits these receptors (Figure 1).
Figure 1.
Structures of β-adrenergic receptor agonists and antagonist.
A recent in vivo study using colon cancer xenografts showed an association between nicotine and increased tumor size and vascularization that was attributable to an increase in the synthesis of COX-2 (Cyclooxygenase-2) prostaglandin E2, and VEGF (Vascular Endothelial Growth Factor) mediated by β-adrenergic receptors, particularly β2 receptors [9]. Therefore, the development of novel β-adrenergic receptor inhibitors possessing improved pharmaceutical profiles and reduced adverse effects is still urgently needed. Various potent pharmacological activities [10,11,12] of pyrrolidinyl triazoles including anticancer potential and acting as MPTP (Mitochondrial Permeability Transition Pore) blockers prompted us to explore 1,4-disubstituted β-pyrrolidino-1,2,3-triazoles as β-adrenergic receptor inhibitors. The synthesis was accomplished as described in Scheme 1 from pyrrolidinylnorephedrine using copper-catalyzed 1,3-dipolar cycloaddition with azide and terminal alkyne as an application of click chemistry [13,14].
Scheme 1.
Design strategy for new β-adrenergic receptor inhibitors.
2. Results and Discussions
2.1. Chemistry
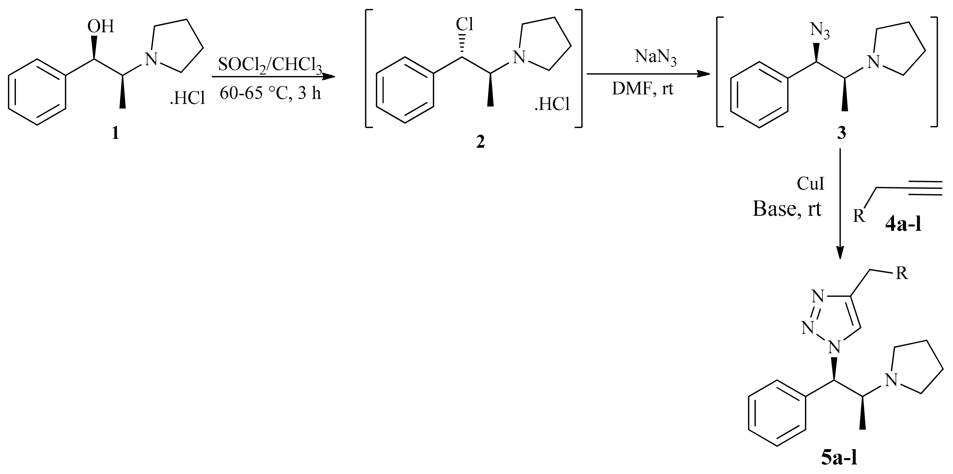
Our synthetic study began with a readily available starting precursor (1R,2S)-pyrrolidinylnorephedrine 1 (PNE) being subjected to sequence of transformations as outlined in Scheme 1. Thus, PNE 1 received treatment with thionyl chloride under refluxing condition in chloroform and was converted into its chloro derivative 2, which upon treatment with sodium azide in N,N-dimethylformamide (DMF) at ambient temperature for 12 h, produced the azide 3 in quantitative yield (Scheme 1). Finally, the terminal alkynes 4a–l (except 4a–b and 4f [15]) were allowed to react with azide 3 employing copper-catalyzed 1,3-dipolar cycloaddition (also known as CuAAC—copper catalyzed azide-alkyne-cycloaddition), which produced the target novel 1,4-disubstituted β-pyrrolidino-1,2,3-triazoles 5a-l as an application of click chemistry (Scheme 2).
Scheme 2.
Synthesis of novel β-pyrrolidino-1,2,3-triazoles by CuAAC.
An optimization study was performed using propargyl alcohol 4a as a terminal alkyne. The yield of 5a was considered as a target in all experiments during this optimization study. Various reaction conditions, such as the concentration of copper iodide, supported on alumina, various solvents, and temperature, have been studied to establish the best condition for the formation of novel 1,4-disubstituted β-amino-1,2,3-triazole 5a in good yield (Table 1).
Table 1.
Optimization of reaction conditions.
Bases such as diisopropylethylamine (DIPEA), triethylamine (TEA), and potassium hydroxide were used and better yields were noticed with DIPEA. Solvents such as various alcohols and tetrahydrofuran (THF) were used and good results were found with the usage of a mixture of solvent that consisted of alcohol (methanol or ethanol), THF, and water in an equimolar ratio. Among copper bromide and copper iodide as catalysts, the reaction proceeded well with copper iodide. From Table 1 and entry 11, it was understood that usage of 10% copper iodide/alumina (CuI/Al2O3) in 5 mol% produced compound 5a with a 95% yield. Another advantage of the used catalyst is that it can be reusable without a loss of its efficiency. After each reaction, the catalyst was washed with methanol, dried at 100 °C, and reused. In our study, the catalyst was recycled 10 times and produced satisfactory yields in-between 90% and 95% (Figure 2). However, additional time was required for the completion of the reaction. The time required for the completion of the reaction for the first and tenth cycles was 8 h and 20 h, respectively.
Figure 2.
Re-usage of catalyst: Number of cycles vs. yield of reaction, 5a.
Usage of CuI/Al2O3 in click chemistry has already been reported [16] under microwave treatment, which is not feasible at the industrial scale [17] and it is an expensive technique. From Table 1, it was concluded that the usage of 5 mol% of CuI/Al2O3 catalyst, DIPEA as a base, and a mixture of methanol/THF/water as a solvent system at 25 °C to 30 °C produced the required compound 5a with a very good yield (95%). The same reaction condition was used for subsequent reactions (5b–l, Table 2).
Table 2.
Synthesis of compounds 5a–l from optimized conditions.
For this activity, we used hydrochloride salt of (1R,2S)-pyrrolidinylnorephedrine 1 [18], which was synthesized from (1R,2S)-phenylpropnaolamine. Since the key starting material 1 is chiral, the final triazoles 5a–l should also be chiral. During chlorination of 1 (Scheme 2), the inversion took place at the benzylic carbon followed by another inversion through an azidation reaction, which resulted in an overall retention of the configuration at the benzylic carbon. Analysis of the isolated compounds using chiral HPLC (High Performance Liquid Chromatography) shows that all compounds were chirally pure. The specific optical rotation was not measured since the solution of the compounds (1% concentration in methanol or chloroform) was quite dark due to the dark colors of the products (brown solids) and a zero reading was observed with the polarimeter.
Chiral HPLC analysis: Compound 5a was prepared from two separate experiments as per the established method (Scheme 2). In the first experiment (1R,2S)-pyrrolidinylnorephedrine 1 was used and in the second experiment racemic-pyrrolidinylnorephedrine was used. The obtained compounds from both the experiments were analyzed using normal HPLC and chiral HPLC. In normal HPLC, only one peak was found for the compound, which was obtained from both the experiments at the same retention time (RT). However, in chiral HPLC, the compound obtained from the first experiment showed one major peak with an area% above 99%. The compound obtained from the second experiment showed two peaks using chiral HPLC with an equal intensity and the retention time of one peak was matched with the compound of the first experiment. This study indicated that the compound obtained from the first experiment was a chiral one with enantiomeric excess (ee) above 99% and the compound obtained from the second experiment was a racemic mixture (vide infra, Supplementary Materials).
The structures of the synthesized novel 1,4-disubstituted-β-pyrrolidino-1,2,3-triazoles 5a–l (Table 2) were well established using FT-IR, 1H-NMR, 13C-NMR, and mass spectroscopy. As a representative case, the structural elucidation of compound 5h is described here. In the IR spectrum (KBr) of 5h, the medium bands at 3142, 3086, 3063, 2965, and 2905 cm−1 indicated stretching frequencies of aliphatic and aromatic C–H. The sharp band at 1701 cm−1 indicated the presence of ester carbonyl and the bands at 1599 and 1514 cm−1 confirmed benzenoid stretching frequencies. The bands at 1342 cm−1 and 1291 cm−1 confirmed the presence of C–N (aromatic) and C–O (aromatic ester) groups, respectively. Two characteristic bands at 1020 and 949 cm−1 represented C–H bending frequencies of the 1,2,3-triazole ring [19]. The presence of bands at 843 and 785 cm−1 indicated C–H bending frequencies of the trisubstituted phenyl ring and a band at 768 cm−1 represented a mono-substituted phenyl ring.
In the 1H-NMR spectrum of 5h, the doublet signal at δH 1.02 ppm (J = 1.2 Hz) indicated the presence of three protons of the aliphatic CH3 group. A broad multiplet signal at δH 1.66 ppm showed four protons of two CH2′s of a pyrrolidinyl ring at the C3 and C4 carbons. Another broad multiplet signal at δH 2.59–2.61 ppm indicated four protons of two CH2 groups of a pyrrolidinyl ring at the C2 and C5 carbons. Two sharp singlet signals at δH 3.92 ppm and 3.94 ppm confirmed six protons of two OCH3 groups attached to a phenyl ring at the p- and m-positions. A singlet signal present at δH 5.45 ppm showed two protons of the OCH2 group. The signals at δH 6.87 ppm and 6.89 ppm were ascribed to two methine protons. A multiplet signal appearing in between δH 7.28 ppm and 7.87 ppm confirmed nine aromatic protons.
In the 13C-NMR spectrum of 5h, the signal at δC 11.39 ppm indicated aliphatic CH3 carbon. Two signals appearing at δC 58.11 and 58.39 ppm confirmed two carbons of two methoxy groups attached to a phenyl ring and another signal at 69.46 ppm confirmed carbon of a OCH2 group attached to a triazole ring. Twelve signals appearing in between 110.24 and 153.13 ppm showed twelve aromatic carbons and a signal at 166.24 ppm explained the presence of the carbonyl carbon of an ester group of 5h.
The distinguishing peak observed at m/z 451 in the ESI (Electrospray Ionization) mass spectrum confirmed the protonated molecular ion [M + H]+ of compound 5h. A single crystal XRD study was not carried out as suitable crystals were not obtained from the crystallization of any of the synthesized compound. Various methods and solvents were tried for crystallization to get a suitable crystal for a single-crystal XRD study. However, all efforts resulted in an amorphous powder, which was not suitable for single-crystal XRD analysis.
2.2. Antimicrobial Activity
In the present study, the antimicrobial activities of synthesized compounds were screened against ten bacteria and two fungi using an in vitro well method [19,20]. The results are summarized below (Table 3 and Table 4). In particular, compounds 5a, 5g, 5h, 5j, and 5k showed promising activity against tested bacteria at a 1 mg/mL concentration. Compound 5g exhibited significantly potent antimicrobial activity against the tested bacteria. The MIC (Minimum Inhibitory Concentration) value of compound 5g was found to be 31.25 µg/mL against K. pneumonia, S. flexneri, P. vulgaris, S. aureus-MRSA and S. epidermidis.
Table 3.
Antimicrobial activity of the synthesized compound using a well method (zone of inhibition in mm) (1 mg/well).
Table 4.
Minimum inhibitory concentration of the synthesized compounds (µg/mL).
2.3. Anticancer Results
Anticancer activity studies were performed for the synthesized compounds 5a, 5e, and 5g–j (which showed higher antimicrobial activity than the others) against A549 and HepG-2 cells [15,21]. All the tested compounds showed good cytotoxic activity against A549 cells. However, 5a, 5e, 5i, and 5j showed good in vitro cytotoxic activity against both A549 and HepG-2 cells (Figure 3). However, 5a, 5e, and 5i showed moderate activity against HepG-2 cells (Table 5). The cytotoxicity properties of synthesized compounds against A549 cells were observed at concentrations of 275 μM to 58 μM. The cytotoxic results showed that among all the tested compounds, 5a, 5e, 5g, 5h, 5i, and 5j showed promising anticancer activity against A549 cells. Compounds 5g and 5h showed potent cytotoxic activity against A549 cells with IC50 values of 72 and 58 µM, respectively (Table 5). A toxicity study of all synthesized compounds including 5a, 5e, and 5g–j against human normal IMR90 cells showed no toxicity up to 250 µM (vide infra, supporting information).
Figure 3.
Effect of synthesized compounds against (A) A549 and (B) HepG-2 cells. Data were calculated using three independent experiments with mean ± SD.
Table 5.
IC50 (µM) values of synthesized compounds against IMR90, A549, and HepG-2 cells.
2.4. Molecular Docking Studies
The synthesized compounds were subjected to molecular docking studies [15] with the DNA topoisomerase IV [21,22,23] and anaplastic lymphoma kinase [24] receptors in order to rationalize the biological studies. The docking study of the synthesized compounds was performed using AutoDock Tools (ADT) version 1.5.6 and AutoDock version 4.2.5.1 docking program [25,26] with the crystal structure of DNA topoisomerase IV (PDB ID: 4EMV) and anaplastic lymphoma kinase (PDB ID: 2XP2) [27]. The conformations of the docked ligands with receptors were evaluated in terms of energy, hydrogen bonding, polar, and hydrophobic interactions. The free energy of binding (FEB) was estimated for all the synthesized compounds 5a–l and listed in Table 6.
Table 6.
Binding energy of synthesized compounds.
The molecular docking experiment established that the synthesized compounds 5a–l had a good free energy of binding with the 4EMV receptor. These results revealed that the compounds 5a–l exhibit free energy of binding values from −7.24 to −8.98 kcal/mol. Interestingly, compound 5f exhibited good binding with the 4EMV receptor with a binding energy of −8.93 kcal/mol. In 5f, N-CH3 formed a hydrogen bond with the H–O of THR-172 with the bond length of 2.8 Å. In addition, nitrogens of triazole interacted with the GLY-82 and formed the polar interactions. Furthermore, compound 5f exhibited a hydrophobic interaction with ASN-51, GLU-55, GLY-82, HIS-120, and THR-172 amino acids. Binding interaction of the compound 5f with the 4EMV receptor is shown in Figure 4.
Figure 4.
Molecular docking with 4EMV receptor: (A) method validation using a crystallized and docked ligand, (B) docking mode of all the compounds, and (C) docking mode of 5f.
Docking experiments of synthesized compounds with the 2XP2 (ALK tyrosine kinase receptor) receptor revealed that all the docked compounds bind with the receptor and exhibits free energy of binding value from −6.55 to −8.72 kcal/mol. Compounds 5a–l interacted with the active site amino acids of 2XP2 namely ARG-1120, LEU-1122, GLY-1123, VAL-1130, GLU-1132, ALA-1148, LYS-1150, LEU-1196, GLU-1197, LEU-1198, MET-1199, ALA-1200, GLY-1201, GLY-1202, ASP-1203, SER-1206, PHE-1207, GLU-1210, ARG-1253, ASN-1254, CYS-1255, LEU-1256, GLY-1269, and ASP-1270. Compound 5g exhibited better binding with the 2XP2 receptor, displaying a binding energy of −8.12 kcal/mol. In compound 5g, two oxygens of NO2 interacted with the N–H of LYS-1150 and formed two hydrogen bonds with the bond lengths of 1.6 Å and 2.8 Å. In addition, C=O formed a polar interaction with the GLU-1197 amino acid. Furthermore, compound 5g exhibited a hydrophobic interaction with the LEU-1122, ALA-1148, LYS-1150, LEU-1196, LEU-1198, ALA-1200, GLY-1201, GLY-1202, and LEU-1256 amino acids. The binding interaction of the compound 5g with the 2XP2 receptor is shown in Figure 5.
Figure 5.
Molecular docking with the 2XP2 receptor: (A) method validation using a crystallized and docked ligand, (B) docking mode of all the compounds, and (C) docking mode of 5g.
3. Materials and Methods
Synthesis of 1-((1R,2R)-1-chloro-1-phenylpropan-2-yl)pyrrolidine hydrochloride2: Thionyl chloride (49.3 g, 0.41 mol) was slowly added to the mixture of pyrrolidinylnorephedrine hydrochloride (50 g, 0.21 mol) and chloroform (200 mL) at 25–30 °C. The mass was heated to 60–65 °C and refluxed for 3 h. Progress of the reaction was monitored using TLC (Thin Layer Chromatography) (mobile phase: 100% dichloromethane). After completion of the reaction, chloroform and unreacted thionyl chloride were distilled out completely. The mass was stirred with 200 mL of acetone for 30 min, and the obtained solid was filtered and dried under vacuum at 65 °C; a white crystalline solid was produced, weight 38g (70%).
Synthesis of 1-((1S,2R)-1-azido-1-phenylpropan-2-yl)pyrrolidine3: Compound 2 (25 g, 0.096 mol) was added in lots to the solution of sodium azide (9.4 g, 0.14 mol, 1.5 mol equiv.) in dimethylformamide (100 mL) at 20–25 °C. The contents were stirred at 20–25 °C for 12 h. Progress of reaction was monitored via watching the formation of sodium chloride as a white precipitate during the stirring. Progress of the reaction was further monitored using TLC (mobile phase: 100% dichloromethane). After completion of the reaction, the mass was poured into ice water (300 mL) and basified with sodium hydroxide (pH about 10). Ethyl acetate (100 mL) was added, stirred for 10 min, and the organic layer was separated and dried over sodium sulfate. Ethyl acetate was distilled off completely using a rotavap at 60 °C to get the azide 3 as a syrupy mass and it was preserved in a refrigerator. It was used as such in the next step without any further purification. Weight of the azide 3: 15 g (68%).
Preparation of catalyst CuI/Al2O3: Neutral alumina (100g) and copper iodide (10g) and methanol (300 mL) were mixed and heated for 1.0 h at 55–60 °C. Methanol was distilled off completely and the free-flowing white powder was dried at 75 °C for 6 h. The obtained catalyst was stored under nitrogen.
3.1. Pharmacological Activities
Antimicrobial activity was carried out as described previously [19,20]. Briefly, 20 mL of sterile Mueller Hinton agar (MHA) was poured in the petri plates and kept for solidification. After solidification, the test cultures were swabbed on the top of the media and kept for 10 min to dry. The required concentration (1 mg/well) of synthesized compounds 5a–l was added to each well and left for 30 min at RT for compound diffusion. Ketoconazole (fungi) and streptomycin (bacteria) used for positive controls. The zone of inhibition was recorded in mm and the experiment was repeated twice.
3.2. Minimum Inhibitory Concentration (MIC)
The MIC experiment was carried out according to the standard reference methods [19,20]. Briefly, the required concentrations of synthesized compounds 5a–l were dissolved in DMSO (Dimethylsulfoxide) in concentrations of 500 µg/mL, 250 µg/mL, 125 µg/mL, 62.5 µg/mL, 31.25 µg/mL, 15.6 µg/mL, and 0.78 µg/mL. An inoculum of 100 µL from each well (96-well plate) was inoculated. For the positive control, ketoconazole (fungi) and streptomycin (bacteria) was used. The MIC values for the tested bacteria were identified as the lowest inhibiting concentration of compound on the agar plate in visual growth.
3.3. Cytotoxicity Properties
The cytotoxic study was carried out as reported previously [15,21]. Briefly, IMR90, HepG-2, and A549 cells were grown in DMEM (Dulbecco’s Modified Eagle Medium) that contained 10% fetal bovine serum and 1% antibiotics. A total of 15 × 103 cells/well were seeded in 96-well plates and incubated under humidified conditions. Cells were treated with varying concentrations of synthesized triazoles for 24 h. After a 24 h treatment, 20 µL aqueous one solution reagent was added to each well and incubated for 3–4 h under a humidified condition. For IMR90 cells, MTT (MTT = 3-(4,5-dimethyl-2-thiazolyl)-2,5-diphenyl-2H-tetrazolium bromide) (5 mg/mL) was added and incubated for 3–4 h in the dark. After incubation, 100 µL of a 10% SDS (Sodium Dodecyl Sulfate) solution (0.01% HCl) was added to each well. The data was taken using an ELISA (enzyme-linked immunosorbent assay) reader at the absorbance of 490 nm for HepG-2 and A549 cells and 570 nm for IMR90 cells. The cell death was calculated using the following formula: Inhibition (%) = ((A − B)/A) × 100 (A—control group, B—treated group).
3.4. General Procedure for the Synthesis of β-pyrrolidino-1,2,3-triazoles 5a–l:
Propargyl alcohol 4a (0.53g, 9.5 mmol) was added to a solution of azide 3 (2.0g, 8.6 mmol) taken in a mixture of solvents (30 mL—MeOH/THF (Tetrahydrofuran)/water in equal amounts) followed by diisopropylethylamine (1.35 g, 10.4 mmol) and catalyst (CuI/Al2O3 5 mol%) at 20–25 °C for 8–10 h. Completion of the reaction was monitored using TLC (mobile phase: 10% methanol in dichloromethane). After completion of the reaction, the catalyst was removed via filtration and preserved for recycling. The filtrate was concentrated in a rotavap to remove the solvents. Ethyl acetate (50 mL) was added to the concentrated mass and the organic layer was separated. The organic layer was washed with water (20 mL), dried over sodium sulfate, and completely concentrated to produce a semi-solid. The semi-solid was triturated with acetone (5 mL), filtered, and dried at 60 °C under vacuum. This produced compound 5a as a brown solid, weight 2.36g (95%). The method as mentioned above was used to make compound 5b–l using terminal alkynes 4b-l instead of 4a.
(1R,2S)-1-(1-(1-Phenyl-2-(pyrrolidin-1-yl)propyl)-1H-1,2,3-triazol-4-yl)methanol (5a)
Pale brown solid, yield 91%, MP: 160–161 °C, IR (KBr, cm−1): 3252, 1354, 1009, 905, and 760; 1H-NMR (500 MHz, CDCl3); δH (ppm) 0.94 (3H, d, J = 6.6 Hz, CH3), 1.63 (4H, m, C–CH2–CH2–C), 2.53–2.63 (4H, m, CH2–N–CH2), 3.88–3.92 (1H, m, N–CH–CH–CH3), 4.76 (2H, s, CH2–O), 5.58 (1H, d, J = 10.0 Hz, CH–CH–CH3), 7.27–7.70 (6H, m, aromatic); 13C-NMR (125 MHz, DMSO-d6); δC (ppm) 11.65 (CH3), 23.68 (C3 & C4 carbons of pyrrolidinyl ring), 48.19 (C2 & C5 carbons of pyrrolidinyl ring), 56.7 (CH–CH–CH3), 58.50 (CH–CH–CH3), 69.32 (OCH2), 121.46, 127.75, 128.55, 128.93, 137.80, and 148.19; ESI-MS: m/z 287 ([M + H]+, 100%); Anal. Calcd for C16H22N4O: C, 67.11; H, 7.74; N, 19.56 Found C, 67.24; H, 7.86; N, 19.68.
(1R,2S)-1-((1-(1-Phenyl-2-(pyrrolidin-1-yl)propyl)-1H-1,2,3-triazol-4-yl)methyl) cyclohexanol, (5b)
Brown solid, yield 84%, MP: 137–138 °C, IR (KBr, cm−1): 3375, 1350, 1001, 982, and 748; 1H-NMR (500 MHz, CDCl3); δH (ppm) 1.00(3H, d, J = 6.6 Hz, CH3), 1.18–1.32 (2H, m, five CH2 of cycloxyl ring at C4), 1.35–1.52 (4H, m, two CH2′s of cycloxyl ring at C4 & C4), 1.66–1.84 (4H, m, two CH2′s of pyrrolidinyl ring at C3 & C4), 1.86 (2H, s, CH2 attached to triazole ring), 1.98–2.21 (4H, m, two CH2′s of pyrrolidinyl ring at C2 & C5), 2.32 (1H, m, CH–CH3), 2.54–2.63 (4H, m, two CH2′s of cycloxyl ring at C2 & C6), 3.93 (1H, s, OH), 5.64 (1H, m, CH–CH–CH3), 7.23–7.59 (6H, m, aromatic); 13C-NMR (125 MHz, CDCl3); δC (ppm) 11.23 (CH3), 22.11 (C4 carbon of cyclohexyl ring), 23.58 (C3 & C4 carbon of pyrrolidinyl ring), 25.41 & 25.93 (C3 & C5 carbons of cyclohexyl ring), 26.77 (C2 & C6 carbons of cyclohexyl ring), 48.26 (C2 & C5 carbons of pyrrolidinyl ring), 49.71 (CH–CH3), 51.22 (CH–CH–CH3), 66.50 (C1 carbon of cyclohexyl ring), 120.48, 124.46, 127.66, 128.69, 135.46, and 148.91; ESI-MS: m/z 369 ([M + H]+, 100%); Anal. Calcd for C22H32N4O: C, 71.70; H, 8.75; N, 15.20; Found C, 71.81; H, 8.87; N, 15.32.
(1R,2S)- (1-(1-Phenyl-2-(pyrrolidin-1-yl)propyl)-1H-1,2,3-triazol-4-yl)methyl cinnamate, (5c)
Brownish yellow solid, yield 88%, MP: 140–141 °C, IR (KBr, cm−1): 1713, 1599, 1578, 1369, 1275, 1011, 978, 847, and 775; 1H-NMR (500 MHz, CDCl3); δH (ppm) 0.95 (3H, d, J = 6.5 Hz, CH3), 1.77–2.01 (4H, m, two CH2′s of pyrrolidinyl ring at C3 & C4), 2.48–2.59 (4H, m, two CH2′s of pyrrolidinyl ring at C2 & C5), 3.81–3.87 (2H, m, OCH2), 5.52–5.54 (1H, m, N–CH–CH3), 6.45 (1H, d, J = 16 Hz, CH–CH–CH3), 7.28–7.65 (12H, m, aromatic); 13C-NMR (100 MHz, CDCl3); δC (ppm) 11.91 (CH3), 22.14 (C3 & C4 carbon of pyrrolidinyl ring), 48.12 (C2 & C5 carbons of pyrrolidinyl ring), 48.45 (CH–CH3), 58.65 (CH–CH–CH3), 69.55 (O–CH2), 112.04, 116.30, 119.29, 124.25, 127.84, 128.99, 132.25, 135.02, 141.83, 158.54, and 169.30 (ester carbonyl); ESI-MS: m/z 417 ([M + H]+, 100%); Anal. Calcd for C25H28N4O2: C, 72.09; H, 6.78; N, 13.45 Found C, 72.18; H, 6.86; N, 13.52.
(1R,2S)- (1-(1-Phenyl-2-(pyrrolidin-1-yl)propyl)-1H-1,2,3-triazol-4-yl)methyl benzoate, (5d)
Pale brown solid, yield 75%, MP: 129–130 °C, IR (KBr, cm−1): 1730, 1589, 1568, 1331, 1286, 1018, 947, 852, and 773; 1H-NMR (500 MHz, CDCl3); δH (ppm) 0.92 (3H, d, J = 3.0Hz, CH3), 1.58–1.66 (4H, m, two CH2′s of pyrrolidinyl ring at C3 & C4), 2.51–2.59 (4H, m, two CH2′s of pyrrolidinyl ring at C2 & C5), 5.47 (2H, s, OCH2), 5.54–5.56 (1H, m, N–CH–CH3), 6.86–6.68 (1H, d of d, J = 8.8 & 3.1 Hz, CH–CH–CH3), 7.27–7.89 (11H, m, aromatic); 13C-NMR (500 MHz, CDCl3); δC (ppm) 11.93 (CH3), 23.60 (C3 & C4 carbon of pyrrolidinyl ring), 48.45 (C2 & C5 carbons of pyrrolidinyl ring), 55.68 (CH–CH3), 58.91 (CH–CH–CH3), 69.09 (O–CH2), 112.02, 116.25, 119.29, 124.25, 127.84, 128.68, 128.99, 132.25, 137.46, 141.84, 158.68, and 166.80 (ester carbonyl); ESI-MS: m/z 391([M + H]+, 100%); Anal. Calcd for C23H26N4O2: C, 70.75; H, 6.71; N, 14.35. Found C, 70.86; H, 6.80; N, 14.47.
(1R,2S)- (1-(1-Phenyl-2-(pyrrolidin-1-yl)propyl)-1H-1,2,3-triazol-4-yl)methyl-2-bromo-5-methoxy benzoate, (5e)
Pale brown solid, yield 92%, MP: 111–112 °C, IR (KBr, cm−1): 1725, 1589, 1570, 1315, 1286, 1018, 947, and 852; 1H-NMR (400 MHz, DMSO-d6); δH (ppm) 0.99–1.04 (3H, m, CH3), 1.57–1.80 (4H, m, two CH2′s of pyrrolidinyl ring at C3 & C4), 2.56–2.75 (4H, m, two CH2′s of pyrrolidinyl ring at C2 & C5), 3.80 (3H, s, OCH3) 5.48 (2H, s, OCH2), 5.78 (1H, m, N–CH–CH3), 6.88–6.91 (1H, dd, J = 8.8 & 3.1 Hz, CH–CH–CH3), 7.28–7.94 (9H, m, aromatic); 13C-NMR (100MHz, DMSO-d6); δC (ppm) 11.31 (CH3), 23.70 (CH-CH-CH3), 47.94 (C3 & C4 carbons of pyrrolidinyl ring), 55.69 (C2 & C5 carbons of pyrrolidinyl ring), 58.57 (CH–CH–CH3), 58.96 (OCH3), 69.49 (OCH2), 112.06, 116.29, 119.31, 124.00, 127.81, 128.57, 128.93, 132.31, 135.01, 137.67, 141.65, 158.57, and 165.83 (ester carbonyl); ESI-MS: m/z 499 and 501 ([M + H]+, 100%), in the ratio of 1:1); Anal. Calcd for C24H27BrN4O3: C, 57.72; H, 5.45; N, 11.22 Found C, 57.84; H, 5.52; N, 11.29.
(1R,2S)-N-Methyl-1-phenyl-N-((1-(1-phenyl-2-(pyrrolidin-1-yl)propyl)-1H-1,2,3-triazol-4-yl)methyl)propan-2-amine, (5f)
Brown solid, yield 75%, MP: 118–119 °C, IR (KBr, cm−1): 1551, 1495, 1366, 1258, 1026, 959, 849, and 741; 1H-NMR (400 MHz, DMSO-d6); δH (ppm) 1.03 (3H, d, J = 6.4 Hz, CH3), 1.26 (3H, m, CH3), 1.54–1.59 (4H, m, two CH2′s of pyrrolidinyl ring at C3 & C4), 2.29–2.30 (4H, m, two CH2′s of pyrrolidinyl ring at C2 & C5), 2.43–2.48 (2H, m), 2.56–2.58 (2H, d, J = 7.0 Hz. CH–CH2), 2.95–2.97 (2H, m), 3.82 (3H, s, N-CH3), 5.45 (1H, d, J = 9.8 Hz, CH–CH–CH3), 7.08–7.47 (11H, m, aromatic); 13C-NMR (100 MHz, DMSO-d6); δC (ppm) 10.92 & 11.37 (CH2–CH–CH3 & CH–CH–CH3), 30.28 (CH2–Ph), 36.02 (CH–CH–CH3), 38.41 (CH2–CH–CH3), 47.95 (C3 & C4 carbons of pyrrolidinyl ring), 48.97 (C2 & C5 carbons of pyrrolidinyl ring), 58.55 (CH–CH–CH3), 59.57 (N–CH2), 115.27, 115.99, 124.06, 126.29, 127.94 128.38, 129.90, 137.59, 142.27, and 159.02; ESI-MS: m/z 418 ([M + H]+, 100%); Anal. Calcd for C26H35N5: C, 74.78; H, 8.45; N, 16.77 Found C, 74.92; H, 8.52; N, 16.83.
(1R,2S)- (1-(1-Phenyl-2-(pyrrolidin-1-yl)propyl)-1H-1,2,3-triazol-4-yl)methyl 4-nitrobenzoate, (5g)
Yellowish brown powder, yield 69%, MP: 137–138 °C, IR (KBr, cm−1): 1722, 1607, 1528, 1348, 1271, 1015, 937, 854, and 787; 1H-NMR(400MHz, DMSO-d6); δH (ppm) 1.01(3H, d, J = 5.9 Hz, CH3), 1.58–1.71 (4H, m, two CH2′s of pyrrolidinyl ring at C3 & C4), 2.57–2.67 (4H, m, two CH2′s of pyrrolidinyl ring at C2 & C5), 4.00 (1H, m, CH–CH3), 5.52 (2H, s, OCH2), 5.71 (1H, brs, CH–CH–CH3), 7.28–8.29 (10H, m, aromatic); 13C-NMR (100 MHz, DMSO-d6); δC (ppm) 11.19 (CH3), 23.69 (N–CH2–CH2), 47.76 (N–CH2–CH2), 58.30 (N–CH–CH3), 59.03 (N–CH–Ph), 69.96 (OCH2), 123.50, 124.01, 127.888, 128.62, 128.94, 130.85, 135.30, 137.57, 141.16, 150.63, and 164.57 (carbon of ester carbonyl); ESI-MS: m/z 436 ([M + H]+, 100%); Anal. Calcd for C23H25N5O4: C, 63.44; H, 5.79; N, 16.08 Found C, 63.55; H, 5.82; N, 16.14.
(1R,2S)- (1-(1-Phenyl-2-(pyrrolidin-1-yl)propyl)-1H-1,2,3-triazol-4-yl)methyl-3,4-dimethoxy-benzoate, (5h)
Brown powder, yield 86%, MP 108–109 °C, IR (KBr, cm−1): 1701, 1599, 1514, 1385, 1271, 1020, 949, and 843; 1H-NMR (400MHz, DMSO-d6); δH (ppm) 1.02 (3H, d, J = 1.2 Hz, CH3), 1.66 (4H, m, two CH2′s of pyrrolidinyl ring at C3 & C4), 2.59–2.61 (4H, m, two CH2′s of pyrrolidinyl ring at C2 & C5), 3.92 (3H, s, p-OCH3), 3.94 (3H, s, m-OCH3), 5.45 (2H, s, OCH2), 6.87 (1H, m), 6.89 (1H, d, J = 8.5 Hz), 7.28–7.87 (9H, m, aromatic); 13C-NMR (100 MHz, DMSO-d6); δC (ppm) 11.39 (CH3), 13.85 (N–CH2–CH2), 23.64 (N–CH2–CH2), 47.86 (N–CH–CH3), 55.99 (N–CH–Ph), 58.11 (p-OCH3), 58.39 (m-OCH3), 69.96 (OCH2), 110.24, 112.05, 122.38, 123.84, 123.93, 127.88, 128.53, 128.89, 137.65, 142.14, 148.58, 153.13, and 166.24 (carbon of ester carbonyl); ESI-MS: m/z 451 ([M + H]+, 100%); Anal. Calcd for C25H30N4O4: C, 66.65; H, 6.71; N, 12.44 Found C, 66.74; H, 6.83; N, 12.54.
(1R,2S)- (1-(1-Phenyl-2-(pyrrolidin-1-yl)propyl)-1H-1,2,3-triazol-4-yl)methyl 4-tert-butyl benzoate, (5i)
Brown solid, yield 90%, MP: 145–147 °C, IR (KBr, cm−1): 1719, 1495, 1393, 1273, 1016, 951, 852, and 775; 1H-NMR (400 MHz, DMSO-d6); δH (ppm) 0.93 (3H, d, J = 16.3 Hz, CH3), 1.56 (9H, s, tert-butyl), 2.37 (4H, m, two CH2′s of pyrrolidinyl ring at C3 & C4), 2.49–2.56 (m, 4H two CH2′s of pyrrolidinyl ring at C2 & C5), 3.83–3.86 (1H, m, CH–CH3), 5.42 (2H, s, OCH2), 5.52 (1H, m, N–CH–Ph), 7.28–7.84 (10H, m, aromatic); 13C-NMR (100 MHz, DMSO-d6); δC (ppm) 11.59 (CH3), 21.23, 23.61 (N–CH2–CH2), 31.09 (C(CH3)3), 48.09 (N–CH2–CH2), 58.23 (N–CH–Ph), 58.60, 69.39, 123.98, 125.36, 126.87, 128.24, 128.60, 129.79, 130.25, 136.13, 138.14, 142.16, 166.65, and 166.24 (carbon of ester carbonyl); ESI-MS: m/z 447 ([M + H]+, 100%);Anal. Calcd for C27H34N4O2: C, 72.62; H, 7.67; N, 12.55 Found C, 72.74; H, 7.78; N, 12.62.
(1R,2S)- (1-(1-Phenyl-2-(pyrrolidin-1-yl)propyl)-1H-1,2,3-triazol-4-yl)methyl 3-methylbenzoate, (5j)
Pale brown solid, yield 84%, MP: 150–152 °C, IR (KBr, cm−1): 1707, 1589, 1389, 1277, 1053, 953, 859, and 770; 1H-NMR (400 MHz, DMSO-d6); δH (ppm) 0.93 (3H, d, J = 6.2 Hz, CH3), 1.56 (4H, m, two CH2’s of pyrrolidinyl ring at C3 & C4), 2.37 (3H, s, Ph-CH3) 2.49–2.56 (m, 4H, two CH2′s of pyrrolidinyl ring at C2 & C5), 3.83–3.86 (1H, m, CH–CH3), 5.45 (2H, s, OCH2), 5.48–5.52 (1H, m, N–CH–Ph), 7.27–7.84 (10H, m, aromatic); 13C-NMR (100 MHz, DMSO-d6); δC (ppm) 11.59 (CH3), 21.23 (C3 & C4 carbon of pyrrolidinyl ring), 23.61 (CH3 attached to phenyl ring), 48.09 (C2 & C5 carbons of pyrrolidinyl ring), 58.23 (CH–CH3), 58.6 (CH–CH–CH3), 69.39 (O–CH2), 123.33, 126.87, 127.24, 128.60, 129.79, 133.88, 137.56, 138.14, 142.16, and 166.65 (ester carbonyl); ESI-MS: m/z 405 (M + H, 100%); Anal. Calcd for C24H28N4O2: C, 71.26; H, 6.98; N, 13.85 Found C, 71.38; H, 7.07; N, 13.97.
(1R,2S)- (1-(1-Phenyl-2-(pyrrolidin-1-yl)propyl)-1H-1,2,3-triazol-4-yl)methyl 2-chlorobenzoate, (5k)
Brownish yellow solid, yield 79%, MP: 101–102 °C, IR (KBr, cm−1): 1719, 1589, 1391, 1265, 1049, 943, 851, and 768; 1H-NMR (400 MHz, DMSO-d6); δH (ppm) 0.98 (3H, d, J = 6.2 Hz, CH3), 1.53 (4H, m, two CH2′s of pyrrolidinyl ring at C3 & C4), 2.56 (m, 4H, two CH2′s of pyrrolidinyl ring at C2 & C5), 3.94 (1H, m, CH–CH3), 5.47 (2H, s, OCH2), 5.64 (1H, m, N–CH–Ph), 7.28–7.86 (10H, m, aromatic); 13C-NMR (100 MHz, DMSO-d6); δC (ppm) 11.81 (CH3), 21.23 (C3 & C4 carbon of pyrrolidinyl ring), 48.42 (C2 & C5 carbons of pyrrolidinyl ring), 49.82 (CH–CH3), 59.12 (CH–CH–CH3), 71.98 (O–CH2), 122.24, 123.91, 124.11, 126.34, 128.44, 129.06, 130.36, 135.66, 136.15, 137.23, 138.23, 149.10, and 166.23 (ester carbonyl); ESI-MS: [M + H]+ at m/z 425 and 427 in the ratio of 3:1; Anal. Calcd for C23H25ClN4O2: C, 65.01, H, 5.93; N, 13.19 Found C, 65.13; H, 5.98; N, 13.27.
(1R,2S)-((1-(1-Phenyl-2-(pyrrolidin-1-yl)propyl)-1H-1,2,3-triazol-4-yl)methyl 2-phenylbutanoate, (5l)
Brown solid, yield 70%, MP: 127–129 °C, IR (KBr, cm−1): 1738, 1601, 1381, 1032, 997, 851, and 770; 1H-NMR (400 MHz, DMSO-d6); δH (ppm) 0.82 (3H, t, J = 7.3 Hz, CH2–CH3), 0.98 (3H, t, J = 6.4 Hz, CH3), 1.60–163 (4H, m, two CH2′s of pyrrolidinyl ring at C3 & C4), 1.76–1.78 (1H, m), 2.04–2.06 (1H, m), 2.50–2.67 (4H, m), 3.44–3.47 (1H, m, CH–CH3), 3.84 (m, 1H), 5.16–5.24 (m, 2H, OCH2), 5.56 (1H, m), 7.26–7.59 (11H, m, aromatic); 13C-NMR (100 MHz, DMSO-d6); δC (ppm) 12.07 (CH2–CH3), 18.12 (CH3), 23.55 (CH2–CH3), 26.66 (C3 & C4 carbon of pyrrolidinyl ring), 48.69 (C2 & C5 carbons of pyrrolidinyl ring), 53.22 (CH–CH3), 58.02 ((C=O)–CH–Ph), 59.11 (CH–CH–CH3), 68.79 (O–CH2), 123.59, 127.23, 127.77, 127.96, 128.55, 128.68, 128.97, 137.43, 138.77, 142.48, and 173.88 (ester carbonyl); ESI-MS: m/z 433 [M + H]+, 100%; Anal. Calcd for C26H32N4O2: C, 72.19; H, 7.46; N, 12.95 Found C, 72.33; H, 7.54; N, 12.99.
Recovery and reuse of catalyst CuI/Al2O3: The recovered catalyst from the reaction was washed thoroughly with methanol and dried at 75 °C for 6 h and reused. During this study, we used the catalyst ten times with the same activity in terms of the progress of the reaction, which was generally completed in 16–20 h. The reaction time was increased to 20–30 h for the subsequent reactions using the recycled catalyst after 10 cycles.
4. Conclusions
In summary, copper-iodide-infused neutral alumina catalyst was developed and used for the efficient synthesis of 1,4-disubstituted-1,2,3-triazoles 5a–l using a click chemistry approach from pyrrolidinylnorephedrine 1. The advantages of the prepared catalyst over previous reports were its easy preparation, fast reaction times, and recyclability of the used catalyst. This effective heterogeneous catalyst was reused for ten cycles by isolating the desired product in high yields using simple filtration. The obtained compounds 5a–l showed good antimicrobial activities when compared with standard drugs streptomycin and ketoconazole. Triazoles 5a, 5e, and 5g–j, which had high antimicrobial activities were also screened for cytotoxicity activity and were found to have influential cytotoxicity activities against A549 and HepG-2 cell lines. Among these tested compounds, 5g and 5h showed potent cytotoxic activity. In order to rationalize the biological studies, the docking was done with the DNA topoisomerase IV and anaplastic lymphoma kinase receptors. The studies revealed that the synthesized compounds exhibited better binding energy with the targeted receptors.
Supplementary Materials
The supplementary materials are available at https://www.mdpi.com/1420-3049/24/19/3501/s1.
Author Contributions
Synthesis and characterization of the triazole derivatives were performed by K.E., J.A.R., and K.C.R., S.M.M., N.A., A.I.A., R.S.K. and D.M.A. contributed to the synthesis of starting substrates including their structural assignments. C.B. and S.A. performed biological evaluation. Molecular docking studies were done by Y.A.
Funding
This work was funded by the Deanship of Scientific Research at King Saud University for the Research grant RGP-026.
Acknowledgments
The authors sincerely thank the management of Malladi Drugs & Pharmaceuticals Ltd., Chennai, India for providing the key raw material pyrrolidinynorephedrine and support to this research activity. The authors acknowledge the Deanship of Scientific Research at King Saud University for funding this work through the Research grant RGP-026.
Conflicts of Interest
The authors declare that there is no conflict of interests.
References
- Boyd, N.M.; Reade, P.C. Mechanisms of carcinogenesis with particular reference to the oral mucosa. J. Oral Pathol. 1988, 17, 193–201. [Google Scholar] [CrossRef]
- Rajeevan, M.S.; Vernon, S.D.; Taysavang, N.; Unger, E.R. Validation of array-based gene expression profiles by real-time (kinetic) RT-PCR. J. Mol. Diagn. 2001, 3, 26–31. [Google Scholar] [CrossRef]
- Meinhardt, G.; Wendtner, C.M.; Hallek, M. Molecular pathogenesis of chronic lymphocytic leukemia: Factors and signaling pathways regulating cell growth and survival. J. Mol. Med. 1999, 77, 282–293. [Google Scholar] [CrossRef] [PubMed]
- Sastry, K.S.; Karpova, Y.; Prokopovich, S.; Smith, A.J.; Essau, B.; Gersappe, A. Epinephrine protects cancer cells from apoptosis via activation of cAMP-dependent protein kinase and BAD phosphorylation. J. Biol. Chem. 2007, 282, 14094–14100. [Google Scholar] [CrossRef]
- Entschladen, F.; Lang, K.; Drell, T.L.; Joseph, J.; Zaenker, K.S. Neurotransmitters are regulators for the migration of tumor cells and leukocytes. Cancer Immunol. Immunother. 2002, 51, 467–482. [Google Scholar] [CrossRef] [PubMed]
- Lang, K.; Drell, T.L.; Lindecke, A.; Niggemann, B.; Kaltschmidt, C.; Zaenker, K.S. Induction of a metastatogenic tumor cell type by neurotransmitters and its pharmacological inhibition by established drugs. Int. J. Cancer 2004, 112, 231–238. [Google Scholar] [CrossRef] [PubMed]
- Shang, Z.J.; Liu, K.; Liang, D.F. Expression of beta2-adrenergic receptor in oral squamous cell carcinoma. J. Oral Pathol. Med. 2009, 38, 371–376. [Google Scholar] [CrossRef] [PubMed]
- Wu, W.K.; Wong, H.P.; Luo, C.K.; Huang, F.Y.; Hui, M.K. 4-(Methylnitrosamino)-1-(3-pyridyl)-1-butanone from cigarette smoke stimulates colon cancer growth via beta-adrenoceptors. Cancer Res. 2005, 65, 5272–5277. [Google Scholar] [CrossRef] [PubMed]
- Wong, H.P.; Yu, L.; Lam, E.K.; Tai, E.K.; Wu, W.K.; Cho, C.H. Nicotine promotes colon tumor growth and angiogenesis through beta-adrenergic activation. Toxicol. Sci. 2007, 97, 279–287. [Google Scholar] [CrossRef] [PubMed]
- Steimer, F.; Carmona, A.T.; Moreno-Vargas, A.J.; Caffa, I.; Cea, M.; Montecucco, F.; Nencioni, A.; Vogel, P.; Robina, I. Synthesis of Pyrrolidine 3,4-Diol Derivatives with Anticancer Activity on Pancreatic Tumor Cells. Heterocycles 2014, 88, 1445–1464. [Google Scholar]
- Jung, S.H.; Choi, K.; Pae, A.N.; Kyun Lee, J.; Choo, H.; Keum, G.; Cho, Y.S.; Min, S.J. Facile diverted synthesis of pyrrolidinyl triazoles using organotrifluoroborate: Discovery of potential mPTP blockers. Org. Biomol. Chem. 2014, 12, 9674–9682. [Google Scholar] [CrossRef] [PubMed]
- Martinez-Bailen, M.; Carmona, A.T.; Nirebi-Clavijo, E.; Robina, I.; Ide, D.; Kato, A.; Moreno-Vargas, A.J. Tuning of β-glucosidase and α-galactosidase inhibition by generation and in situ screening of a library of pyrrolidine-triazole hybrid molecules. Eur. J. Med. Chem. 2017, 138, 532–542. [Google Scholar] [CrossRef] [PubMed]
- Kolb, H.C.; Finn, M.G.; Sharpless, K.B. Click Chemistry: Diverse Chemical Function from a Few Good Reactions. Angew. Chem. Int. Ed. 2001, 40, 2004–2021. [Google Scholar] [CrossRef]
- Lewis, W.G.; Green, L.G.; Grynszpan, F.; Radic, Z.; Carlier, P.R.; Taylor, P.; Finn, M.G.; Sharpless, K.B. Click Chemistry In Situ: Acetylcholinesterase as a Reaction Vessel for the Selective Assembly of a Femtomolar Inhibitor from an Array of Building Blocks. Angew. Chem. Int. Ed. 2002, 41, 1053–1057. [Google Scholar] [CrossRef]
- Easwaramoorthi, K.; Jeya Rajendran, A.; Chennakesava Rao, K.; Arun, Y.; Balachandran, C.; Perumal, P.T.; Emi, N.; Mahalingam, S.M.; Duraipandiyan, V.; Al-Dhabi, N.A. Synthesis of novel 1,4-disubstituted 1,2,3-triazolo-bosentan derivatives—Evaluation of antimicrobial and anticancer activities and molecular docking. RSC Adv. 2015, 5, 105266–105278. [Google Scholar] [CrossRef]
- Sandip, A.G.; Shrikant, P.G.; Swapna, G.M.; Vandana, P.S. Alumina-Supported Copper Iodide: An Efficient and Recyclable Catalyst for Microwave-Assisted Synthesis of 1,4-Disubstituted 1,2,3-Triazoles via Three-Component Reaction in Water. Asian J. Org. Chem. 2015, 4, 943–951. [Google Scholar]
- Roberts, B.A.; Strauss, C.R. Toward Rapid, “Green”, Predictable Microwave-Assisted Synthesis. Acc. Chem. Res. 2005, 38, 653–661. [Google Scholar] [CrossRef]
- Prakasam, T.; Ramana, D.V.; Srinivasan, P.S.; Kumar, B.N.H.; Arabindoo, B. A process for the preparation of N-alkylaminophenyl(pyrrolidinyl)propane hydrochloride derivatives. Indian patent IN2007CH01379; Chennai, India, 2007. [Google Scholar]
- Balachandran, C.; Arun, Y.; Duraipandiyan, V.; Ignacimuthu, S.; Balakrishna, K.; Al-Dhabi, N.A. Antimicrobial and cytotoxicity properties of 2,3-dihydroxy-9,10-anthraquinone isolated from Streptomyces galbus (ERINLG-127). Appl. Biochem.Biotechnol. 2014, 17, 3513–3528. [Google Scholar] [CrossRef]
- Balachandran, C.; Duraipandiyan, V.; Balakrishna, K.; Lakshmi Sundaram, R.; Vijayakumar, A.; Ignacimuthu, S.; Al-Dhabi, N.A. Synthesis and medicinal properties of plant-derived vilangin. Environ. Chem. Lett. 2013, 11, 303–308. [Google Scholar] [CrossRef]
- Balachandran, C.; Chennakesava Rao, K.; Arun, Y.; Emi, N.; Yamamoto, N.; Inaguma, Y.; Okamoto, A.; Easwaramoorthi, K.; Perumal, P.T. Synthetic investigation on chirally pure Mannich derivatives of pseudophenylpropanolamine and their anticancer properties against HepG-2 cells with inhibition of JAK2/STAT3. RSC Adv. 2016, 6, 96946–96962. [Google Scholar] [CrossRef]
- Chennakesava Rao, K.; Arun, Y.; Easwaramoorthi, K.; Balachandran, C.; Prakasam, T.; Yuvaraj, T.E.; Perumal, P.T. Synthesis, antimicrobial and molecular docking studies of enantiomerically pure N-alkylated β-amino alcohols from phenylpropanolamines. Bioorg. Med. Chem. Lett. 2014, 24, 3057–3063. [Google Scholar] [CrossRef] [PubMed]
- Chennakesava Rao, K.; Easwaramoorthi, K.; Arun, Y.; Balachandran, C.; Muralidhara Rao, K.S.; Govindhan, M.; Emi, N.; Prakasam, T.; Perumal, P.T. Synthesis of BF3 catalyzed Mannich derivatives with excellent ee from phenylpropanolamine, study of their antimicrobial activity and molecular docking. Bioorg. Med. Chem. Lett. 2015, 25, 4232–4238. [Google Scholar] [CrossRef] [PubMed]
- Arun, Y.; Saranraj, K.; Balachandran, C.; Perumal, P.T. Novel spirooxindole-pyrrolidine compounds: Synthesis, anticancer and molecular docking studies. Eur. J. Med. Chem. 2014, 74, 50–64. [Google Scholar] [CrossRef] [PubMed]
- Sanner, M.F. Python: A programming language for software integration and development. J. Mol. Graphics Modell. 1999, 17, 57–61. [Google Scholar]
- Morris, G.M.; Huey, R.; Lindstrom, W.; Sanner, M.F.; Belew, R.K.; Goodsell, D.S.; Olson, A.J. AutoDock4 and AutoDockTools4: Automated docking with selective receptor flexibility. J. Comput. Chem. 2009, 30, 2785–2791. [Google Scholar] [CrossRef] [PubMed]
- Protein Data Bnk. Available online: http://www.rcsb.org/pdb (accessed on 24 September 2019).
Sample Availability: Samples of the compounds are available from the authors. |
© 2019 by the authors. Licensee MDPI, Basel, Switzerland. This article is an open access article distributed under the terms and conditions of the Creative Commons Attribution (CC BY) license (http://creativecommons.org/licenses/by/4.0/).































