A Three-Step, Gram-Scale Synthesis of Hydroxytyrosol, Hydroxytyrosol Acetate, and 3,4-Dihydroxyphenylglycol
Abstract
1. Introduction
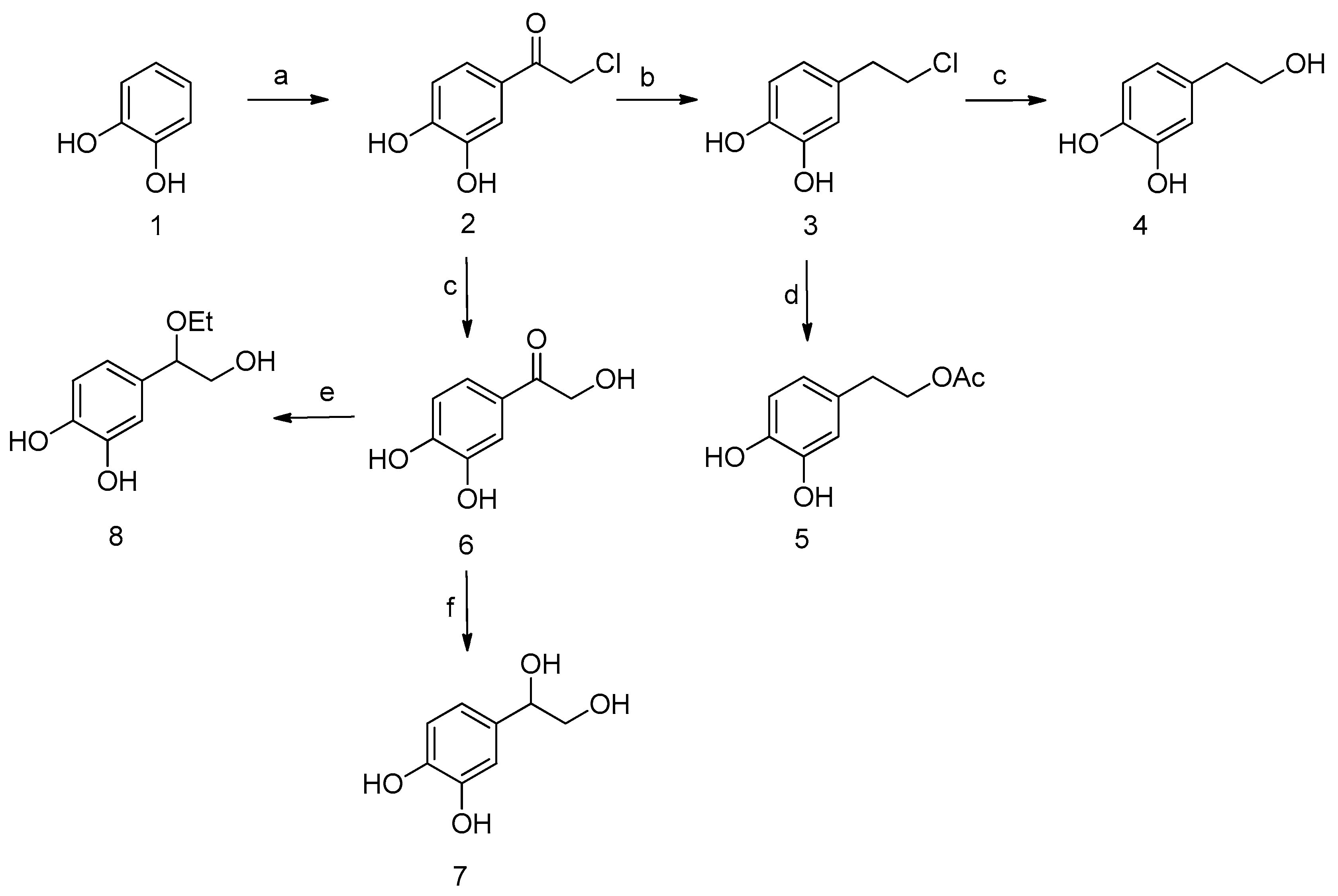
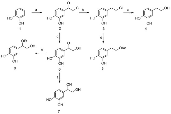
2. Results and Discussion
3. Materials and Methods
General Experimental Procedures
4. Conclusions
Supplementary Materials
Author Contributions
Funding
Acknowledgments
Conflicts of Interest
References
- Gorzynik-Debicka, M.; Przychodzen, P.; Cappello, F.; Kuban-Jankowska, A.; Marino Gammazza, A.; Knap, N.; Wozniak, M.; Gorska-Ponikowska, M. Potential Health Benefits of Olive Oil and Plant Polyphenols. Int. J. Mol. Sci. 2018, 19, 686. [Google Scholar] [CrossRef] [PubMed]
- Rigacci, S.; Stefani, M. Nutraceutical Properties of Olive Oil Polyphenols. An Itinerary from Cultured Cells through Animal Models to Humans. Int. J. Mol. Sci. 2016, 17, 843. [Google Scholar] [CrossRef] [PubMed]
- Martínez, L.; Ros, G.; Nieto, G. Hydroxytyrosol: Health Benefits and Use as Functional Ingredient in Meat. Medicines 2018, 5, 13. [Google Scholar] [CrossRef] [PubMed]
- Sirianni, R.; Chimento, A.; De Luca, A.; Casaburi, I.; Rizza, P.; Onofrio, A.; Iacopetta, D.; Puoci, F.; Andò, S.; Maggiolini, M.; et al. Oleuropein and hydroxytyrosol inhibit MCF-7 breast cancer cell proliferation interfering with ERK1/2 activation. Mol. Nutr. Food Res. 2010, 54, 833–840. [Google Scholar] [CrossRef]
- Fabiani, R.; Fuccelli, R.; Pieravanti, F.; De Bartolomeo, A.; Morozzi, G. Production of hydrogen peroxide is responsible for the induction of apoptosis by hydroxytyrosol on HL60 cells. Mol. Nutr. Food Res. 2009, 53, 887–896. [Google Scholar] [CrossRef] [PubMed]
- Bouallagui, Z.; Han, J.; Isoda, H.; Sayadi, S. Hydroxytyrosol rich extract from olive leaves modulates cell cycle progression in MCF-7 human breast cancer cells. Food Chem. Toxicol. 2011, 49, 179–184. [Google Scholar] [CrossRef] [PubMed]
- Bulotta, S.; Corradino, R.; Celano, M.; D’Agostino, M.; Maiuolo, J.; Oliverio, M.; Procopio, A.; Iannone, M.; Rotiroti, D.; Russo, D. Antiproliferative and antioxidant effects on breast cancer cells of oleuropein and its semisynthetic peracetylated derivatives. Food Chem. 2011, 127, 1609–1614. [Google Scholar] [CrossRef]
- Goya, L.; Mateos, R.; Bravo, L. Effect of the olive oil phenol hydroxytyrosol on human hepatoma HepG2 cells. Protection against oxidative stress induced by tert-butylhydroperoxide. Eur. J. Nutr. 2007, 46, 70–78. [Google Scholar] [CrossRef]
- Tripoli, E.; Giammanco, M.; Tabacchi, G.; Di Majo, D.; Giammanco, S.; La Guardia, M. The phenolic compounds of olive oil: Structure, biological activity and beneficial effects on human health. Nutr. Res. Rev. 2005, 18, 98–112. [Google Scholar] [CrossRef]
- Rietjens, S.J.; Bast, A.; Haenen, G.R.M.M. New insights into controversies on the antioxidant potential of the olive oil antioxidant hydroxytyrosol. J. Agric. Food Chem. 2007, 55, 7609–7614. [Google Scholar] [CrossRef]
- De Lucia, M.; Panzella, L.; Pezzella, A.; Napolitano, A.; d’Ischia, M. Oxidative chemistry of the natural antioxidant hydroxytyrosol: Hydrogen peroxide-dependent hydroxylation and hydroxyquinone/o-quinone coupling pathways. Tetrahedron 2006, 62, 1273–1278. [Google Scholar] [CrossRef]
- Manna, C.; Galletti, P.; Maisto, G.; Cucciolla, V.; D’Angelo, S.; Zappia, V. Transport mechanism and metabolism of olive oil hydroxytyrosol in Caco-2 cells. FEBS Lett. 2000, 470, 341–344. [Google Scholar] [CrossRef]
- Petroni, A.; Blasevich, M.; Salami, M.; Papini, N.; Montedoro, G.F.; Galli, C. Inhibition of platelet aggregation and eicosanoid production by phenolic components of olive oil. Thromb. Res. 1995, 78, 151–160. [Google Scholar] [CrossRef]
- Covas, M.-I. Olive oil and the cardiovascular system. Pharmacol. Res. 2007, 55, 175–186. [Google Scholar] [CrossRef] [PubMed]
- Covas, M.-I.; Nyyssönen, K.; Poulsen, H.E.; Kaikkonen, J.; Zunft, H.-J.F.; Kiesewetter, H.; Gaddi, A.; de la Torre, R.; Mursu, J.; Bäumler, H.; et al. The effect of polyphenols in olive oil on heart disease risk factors: A randomized trial. Ann. Intern. Med. 2006, 145, 333–341. [Google Scholar] [CrossRef] [PubMed]
- Fitó, M.; Cladellas, M.; de la Torre, R.; Martí, J.; Alcántara, M.; Pujadas-Bastardes, M.; Marrugat, J.; Bruguera, J.; López-Sabater, M.C.; Vila, J.; et al. Antioxidant effect of virgin olive oil in patients with stable coronary heart disease: A randomized, crossover, controlled, clinical trial. Atherosclerosis 2005, 181, 149–158. [Google Scholar] [CrossRef] [PubMed]
- Marrugat, J.; Covas, M.-I.; Fitó, M.; Schröder, H.; Miró-Casas, E.; Gimeno, E.; López-Sabater, M.C.; de la Torre, R.; Farré, M. SOLOS Investigators Effects of differing phenolic content in dietary olive oils on lipids and LDL oxidation--a randomized controlled trial. Eur. J. Nutr. 2004, 43, 140–147. [Google Scholar] [CrossRef]
- EFSA Panel on Dietetic Products, Nutrition and Allergies (NDA) Scientific Opinion on the substantiation of health claims related to polyphenols in olive. EFSA J. 2011, 9, 2033.
- EFSA Panel on Dietetic Products, Nutrition and Allergies (NDA) Scientific Opinion on the substantiation of a health claim related to polyphenols in olive. EFSA J. 2012, 10, 2848.
- EFSA Panel on Dietetic Products, Nutrition and Allergies (NDA) Safety of hydroxytyrosol as a novel food pursuant to Regulation (EC) No 258/97. EFSA J. 2017, 15, 4728.
- Britton, J.; Davis, R.; O Connor, K. Chemical, physical and biotechnological approaches to the production of the potent antioxidant hydroxytyrosol. Appl. Microbiol. Biotechnol. 2019, 103, 5957–5974. [Google Scholar] [CrossRef] [PubMed]
- Martínez-Domínguez, E.; de la Puerta, R.; Ruiz-Gutiérrez, V. Protective effects upon experimental inflammation models of a polyphenol-supplemented virgin olive oil diet. Inflamm. Res. 2001, 50, 102–106. [Google Scholar] [PubMed]
- Sánchez-Fidalgo, S.; Villegas, I.; Aparicio-Soto, M.; Cárdeno, A.; Rosillo, M.Á.; González-Benjumea, A.; Marset, A.; López, Ó.; Maya, I.; Fernández-Bolaños, J.G.; et al. Effects of dietary virgin olive oil polyphenols: Hydroxytyrosyl acetate and 3, 4-dihydroxyphenylglycol on DSS-induced acute colitis in mice. J. Nutr. Biochem. 2015, 26, 513–520. [Google Scholar]
- Fabiani, R.; De Bartolomeo, A.; Rosignoli, P.; Servili, M.; Montedoro, G.F.; Morozzi, G. Cancer chemoprevention by hydroxytyrosol isolated from virgin olive oil through G1 cell cycle arrest and apoptosis. Eur. J. Cancer Prev. 2002, 11, 351–358. [Google Scholar] [CrossRef] [PubMed]
- Baci, D.; Gallazzi, M.; Cascini, C.; Tramacere, M.; De Stefano, D.; Bruno, A.; Noonan, D.M.; Albini, A. Downregulation of Pro-Inflammatory and Pro-Angiogenic Pathways in Prostate Cancer Cells by a Polyphenol-Rich Extract from Olive Mill Wastewater. Int. J. Mol. Sci. 2019, 20, 307. [Google Scholar] [CrossRef]
- Rajasekar, J.; Perumal, M.K.; Vallikannan, B. A critical review on anti-angiogenic property of phytochemicals. J. Nutr. Biochem. 2019, 71, 1–15. [Google Scholar] [CrossRef] [PubMed]
- Monti, M.C.; Margarucci, L.; Tosco, A.; Riccio, R.; Casapullo, A. New insights on the interaction mechanism between tau protein and oleocanthal, an extra-virgin olive-oil bioactive component. Food Funct. 2011, 2, 423–428. [Google Scholar] [CrossRef]
- Tasset, I.; Pontes, A.J.; Hinojosa, A.J.; de la Torre, R.; Túnez, I. Olive oil reduces oxidative damage in a 3-nitropropionic acid-induced Huntington’s disease-like rat model. Nutr. Neurosci. 2011, 14, 106–111. [Google Scholar] [CrossRef]
- Weinstock-Guttman, B.; Baier, M.; Park, Y.; Feichter, J.; Lee-Kwen, P.; Gallagher, E.; Venkatraman, J.; Meksawan, K.; Deinehert, S.; Pendergast, D.; et al. Low fat dietary intervention with omega-3 fatty acid supplementation in multiple sclerosis patients. Prostaglandins Leukot. Essent. Fatty Acids 2005, 73, 397–404. [Google Scholar] [CrossRef]
- Angeloni, C.; Malaguti, M.; Barbalace, M.C.; Hrelia, S. Bioactivity of Olive Oil Phenols in Neuroprotection. Int. J. Mol. Sci. 2017, 18, 2230. [Google Scholar] [CrossRef]
- Liu, Z.; Sun, L.; Zhu, L.; Jia, X.; Li, X.; Jia, H.; Wang, Y.; Weber, P.; Long, J.; Liu, J. Hydroxytyrosol protects retinal pigment epithelial cells from acrolein-induced oxidative stress and mitochondrial dysfunction. J. Neurochem. 2007, 103, 2690–2700. [Google Scholar] [CrossRef] [PubMed]
- Zhu, L.; Liu, Z.; Feng, Z.; Hao, J.; Shen, W.; Li, X.; Sun, L.; Sharman, E.; Wang, Y.; Wertz, K.; et al. Hydroxytyrosol protects against oxidative damage by simultaneous activation of mitochondrial biogenesis and phase II detoxifying enzyme systems in retinal pigment epithelial cells. J. Nutr. Biochem. 2010, 21, 1089–1098. [Google Scholar] [CrossRef] [PubMed]
- Hagiwara, K.; Goto, T.; Araki, M.; Miyazaki, H.; Hagiwara, H. Olive polyphenol hydroxytyrosol prevents bone loss. Eur. J. Pharmacol. 2011, 662, 78–84. [Google Scholar] [CrossRef] [PubMed]
- D’Angelo, S.; Manna, C.; Migliardi, V.; Mazzoni, O.; Morrica, P.; Capasso, G.; Pontoni, G.; Galletti, P.; Zappia, V. Pharmacokinetics and metabolism of hydroxytyrosol, a natural antioxidant from olive oil. Drug Metab. Dispos. 2001, 29, 1492–1498. [Google Scholar] [PubMed]
- Christian, M.S.; Sharper, V.A.; Hoberman, A.M.; Seng, J.E.; Fu, L.; Covell, D.; Diener, R.M.; Bitler, C.M.; Crea, R. The toxicity profile of hydrolyzed aqueous olive pulp extract. Drug Chem. Toxicol. 2004, 27, 309–330. [Google Scholar] [CrossRef] [PubMed]
- Soni, M.G.; Burdock, G.A.; Christian, M.S.; Bitler, C.M.; Crea, R. Safety assessment of aqueous olive pulp extract as an antioxidant or antimicrobial agent in foods. Food Chem. Toxicol. 2006, 44, 903–915. [Google Scholar] [CrossRef] [PubMed]
- Auñon-Calles, D.; Canut, L.; Visioli, F. Toxicological evaluation of pure hydroxytyrosol. Food Chem. Toxicol. 2013, 55, 498–504. [Google Scholar] [CrossRef]
- Gordon, M.H.; Paiva-Martins, F.; Almeida, M. Antioxidant activity of hydroxytyrosol acetate compared with that of other olive oil polyphenols. J. Agric. Food Chem. 2001, 49, 2480–2485. [Google Scholar] [CrossRef]
- Torres de Pinedo, A.; Peñalver, P.; Rondón, D.; Morales, J.C. Efficient lipase-catalyzed synthesis of new lipid antioxidants based on a catechol structure. Tetrahedron 2005, 61, 7654–7660. [Google Scholar] [CrossRef]
- Trujillo, M.; Mateos, M.; de Teran, L.C.; Espartero, J.L.; Cert, R.; Jover, M.; Alcudia, F.; Bautista, J.; Cert, A.; Parrado, J. Lipophilic Hydroxytyrosyl Esters. Antioxidant Activity in Lipid Matrices and Biological Systems. J. Agric. Food Chem. 2006, 54, 3779–3785. [Google Scholar] [CrossRef]
- Rodríguez, G.; Lama, A.; Jaramillo, S.; Fuentes-Alventosa, J.M.; Guillén, R.; Jiménez-Araujo, A.; Rodríguez-Arcos, R.; Fernández-Bolaños, J. 3,4-Dihydroxyphenylglycol (DHPG): An Important Phenolic Compound Present in Natural Table Olives. J. Agric. Food Chem. 2009, 57, 6298–6304. [Google Scholar] [CrossRef] [PubMed]
- Rodríguez, G.; Rodríguez, R.; Fernández-Bolaños, J.; Guillén, R.; Jiménez, A. Antioxidant activity of effluents during the purification of hydroxytyrosol and 3,4-dihydroxyphenyl glycol from olive oil waste. Eur. Food Res. Technol. 2007, 224, 733–741. [Google Scholar] [CrossRef]
- Medina, E.; de Castro, A.; Romero, C.; Brenes, M. Comparison of the Concentrations of Phenolic Compounds in Olive Oils and Other Plant Oils: Correlation with Antimicrobial Activity. J. Agric. Food Chem. 2006, 54, 4954–4961. [Google Scholar] [CrossRef] [PubMed]
- Amini, A.; Liu, M.; Ahmad, Z. Understanding the link between antimicrobial properties of dietary olive phenolics and bacterial ATP synthase. Int. J. Biol. Macromol. 2017, 101, 153–164. [Google Scholar] [CrossRef] [PubMed]
- Aparicio-Soto, M.; Sánchez-Fidalgo, S.; González-Benjumea, A.; Maya, I.; Fernández-Bolaños, J.G.; Alarcón-de-la-Lastra, C. Naturally Occurring Hydroxytyrosol Derivatives: Hydroxytyrosyl Acetate and 3,4-Dihydroxyphenylglycol Modulate Inflammatory Response in Murine Peritoneal Macrophages. Potential Utility as New Dietary Supplements. J. Agric. Food Chem. 2015, 63, 836–846. [Google Scholar] [CrossRef] [PubMed]
- Bernini, R.; Crisante, F.; Barontini, M.; Tofani, D.; Balducci, V.; Gambacorta, A. Synthesis and structure/antioxidant activity relationship of novel catecholic antioxidant structural analogues to hydroxytyrosol and its lipophilic esters. J. Agric. Food Chem. 2012, 60, 7408–7416. [Google Scholar] [CrossRef]
- Villanova, L.; Villanova, L.; Fasiello, G.; Merendino, A. Process for the Recovery of Tyrosol and Hydroxytyrosol from Oil Mill Wastewaters and Catalytic Oxidation Method in Order to Convert Tyrosol in Hydroxytyrosol. US7427358 (B2), 23 September 2008. [Google Scholar]
- Capasso, R.; Evidente, A.; Avolio, S.; Solla, F. A Highly Convenient Synthesis of Hydroxytyrosol and Its Recovery from Agricultural Waste Waters. J. Agric. Food Chem. 1999, 47, 1745–1748. [Google Scholar] [CrossRef]
- Giebel, J.M.; Zaar, A.; Schäfer, R.; Al-Harrasi, A.; Csuk, R. Facile access to oleuropein and hydroxytyrosol from Ligustrum vulgare—A plant material growing all over Eurasia. Mediterr. J. Chem. 2018, 7, 217–222. [Google Scholar]
- Gambacorta, A.; Tofani, D.; Bernini, R.; Migliorini, A. High-Yielding Preparation of a Stable Precursor of Hydroxytyrosol by Total Synthesis and from the Natural Glycoside Oleuropein. J. Agric. Food Chem. 2007, 55, 3386–3391. [Google Scholar] [CrossRef]
- Villanova, L.; Villanova, L.; Fasiello, G.; Merendino, A. Process for the Recovery of Tyrosol and Hydroxytyrosol from Oil Mill Wastewaters and Catalytic Oxidation Method in Order to Convert Tyrosol in Hydroxytyrosol. US20090023815 (A1), 2 January 2009. [Google Scholar]
- Gambacorta, A.; Tofani, D.; Migliorini, A. High-Yielding Synthesis of Methyl Orthoformate-Protected Hydroxytyrosol and Its Use in Preparation of Hydroxytyrosyl Acetate. Molecules 2007, 12, 1762–1770. [Google Scholar] [CrossRef]
- Ziosi, P.; Paolucci, C.; Santarelli, F.; Tabanelli, T.; Passeri, S.; Cavani, F.; Righi, P. A Two-Step Process for the Synthesis of Hydroxytyrosol. Chem. Sus. Chem. 2018, 11, 2202–2210. [Google Scholar] [CrossRef] [PubMed]
- Breunninger, M.; Joray, M.; Breuninger, M. Process for the Preparation of Hydroxytyrosol. WO2008107109 (A1), 12 September 2008. [Google Scholar]
- Yang, Z.; Tan, F.; Wong, H. Process for Production of Hydroxytyrosol Using Organometallic Compounds. WO2012006783 (A1), 19 January 2012. [Google Scholar]
- Zhao, S.; Ma, X.; Liu, X.; Ren, Y.; Liu, Y.; Geng, C.; Deng, Y.; Zhang, N.; Kong, X.; Feng, G.; et al. Improved Method of Hydroxytyrosol Synthesizing Process. CN108164398(A), 15 June 2018. [Google Scholar]
- Bernini, R.; Mincione, E.; Barontini, M.; Crisante, F. Convenient Synthesis of Hydroxytyrosol and Its Lipophilic Derivatives from Tyrosol or Homovanillyl Alcohol. J. Agric. Food Chem. 2008, 56, 8897–8904. [Google Scholar] [CrossRef] [PubMed]
- Bovicelli, P.; Antonioletti, R.; Mancini, S.; Causio, S.; Borioni, G.; Ammendola, S.; Barontini, M. Expedient Synthesis of Hydroxytyrosol and its Esters. Synth. Commun. 2007, 37, 4245–4252. [Google Scholar] [CrossRef]
- Piersanti, G.; Retini, M.; Espartero, J.L.; Madrona, A.; Zappia, G. An efficient, economical synthesis of hydroxytyrosol and its protected forms via Baeyer–Villiger oxidation. Tetrahedron Lett. 2011, 52, 4938–4940. [Google Scholar] [CrossRef]
- Tuck, K.L.; Tan, H.-W.; Hayball, P.J. Synthesis of Tritium-Labeled Hydroxytyrosol, a Phenolic Compound Found in Olive Oil. J. Agric. Food Chem. 2000, 48, 4087–4090. [Google Scholar] [CrossRef] [PubMed]
- Pouységu, L.; Sylla, T.; Garnier, T.; Rojas, L.B.; Charris, J.; Deffieux, D.; Quideau, S. Hypervalent iodine-mediated oxygenative phenol dearomatization reactions. Tetrahedron 2010, 66, 5908–5917. [Google Scholar] [CrossRef]
- Bernini, R.; Mincione, E.; Crisante, F.; Barontini, M.; Fabrizi, G. A novel use of the recyclable polymer-supported IBX: An efficient chemoselective and regioselective oxidation of phenolic compounds. The case of hydroxytyrosol derivatives. Tetrahedron Lett. 2009, 50, 1307–1310. [Google Scholar] [CrossRef]
- Joray, M.; Breuninger, M. Process for the Preparation of Phenolic Compounds. WO2007009590 (A1), 25 January 2007. [Google Scholar]
- Bernini, R.; Mtncione, E.; Barontini, M.; Crisante, F. Method for Preparing Hydroxytyrosol Derivatives and Hydroxytyrosol. WO2008110908 (A1), 18 September 2008. [Google Scholar]
- Yang, Z.; Tan, F.; Wong, H.; Hanselmann, P. Process for Preparing Hydroxytyrosol. WO2012003625 (A1), 12 January 2012. [Google Scholar]
- Schmid, L.; Zolinger, D.; Zaragoza, F. Method for Preparation of Hydroxytyrosol. WO2017149017 (A1), 8 September 2017. [Google Scholar]
- Plastina, P.; Benincasa, C.; Perri, E.; Fazio, A.; Augimeri, A.; Poland, M.; Witkamp, R.; Meijerink, R. Identification of hydroxytyrosyl oleate, a derivative of hydroxytyrosol with anti-inflammatory properties, in olive oil by-products. Food Chem. 2009, 279, 105–113. [Google Scholar] [CrossRef]
- Botta, G.; Bizzarri, B.M.; Garozzo, A.; Timpanaro, R.; Bisignano, B.; Amatore, D.; Palamara, A.T.; Nencioni, L.; Saladino, R. Carbon nanotubes supported tyrosinase in the synthesis of lipophilic hydroxytyrosol and dihydrocaffeoyl catechols with antiviral activity against DNA and RNA viruses. Bioorg. Med. Chem. 2015, 23, 5345–5351. [Google Scholar] [CrossRef]
- Grasso, S.; Siracusa, L.; Spatafora, C.; Renis, M.; Tringali, C. Hydroxytyrosol lipophilic analogues: Enzymatic synthesis, radical scavenging activity and DNA oxidative damage protection. Bioorg. Chem. 2007, 35, 137–152. [Google Scholar] [CrossRef]
- Sakakura, A.; Pauze, M.; Namiki, A.; Funakoshi-Tago, M.; Tamura, H.; Hanaya, K.; Higashibayashi, S.; Sugai, T. Chemoenzymatic synthesis of hydroxytyrosol monoesters and their suppression effect on nitric oxide production stimulated by lipopolysaccharides. Biosci. Biotechnol. Biochem. 2019, 83, 185–191. [Google Scholar] [CrossRef] [PubMed]
- Alcudia, F.; Cert, A.; Espartero, J.L.; Mateos, R.; Trujillo, M. Method of Preparing Hydroxytyrosol Esters, Esters thus Obtained and Use of Same. WO2004/005237 (A1), 15 January 2004. [Google Scholar]
- Alcudia Gonzalez, F.; Cert Ventul, A.; Espartero Sanchez, J.L.; Mateo Briz, R.; Trujillo Perez-Lanzac, M. Method of Preparing Hydroxytyrosol Esters, Esters thus Obtained and Use of Same. EP1541544 (A1), 15 June 2015. [Google Scholar]
- Geelings, A.; Leon, E.L.-H.; Morales, J.C.; Puerta, J.B.; Lopez, J.H. Natural Products and Derivatives Thereof for Protection against Neurodegenerative Diseases. US20030236202 (A1), 25 December 2003. [Google Scholar]
- Benigni, J.D.; Verbiscar, A.J. The Synthesis of Two New Metabolites of Catecholamines: 3,4-Dihydroxyphenylethyleneglycol and 4-Hydroxy-3-methoxyphenylethyleneglycol1. J. Med. Chem. 1963, 6, 607–608. [Google Scholar] [CrossRef] [PubMed]
- Song, Y.; Lin, X.; Kang, D.; Li, X.; Zhan, P.; Liu, X.; Zhang, Q. Discovery and characterization of novel imidazopyridine derivative CHEQ-2 as a potent CDC25 inhibitor and promising anticancer drug candidate. Eur. J. Med. Chem. 2014, 82, 293–307. [Google Scholar] [CrossRef] [PubMed]
- Balan, A.M.; .Florea, O.; Moldoveanu, C.; Zbancioc, G.; Iurea, D.; Mangalagiu, I.I. Diazinium salts with dihydroxyacetophenone skeleton: Syntheses and antimicrobial activity. Eur. J. Med. Chem. 2009, 44, 2275–2279. [Google Scholar] [CrossRef] [PubMed]
- Chang, Y.-A.; Ares, J.; Anderson, K.; Sabol, B.; Wallace, R.A.; Farooqui, T.; Uretsky, N.; Miller, D.D. Dopamine agonists: Effects of charged and uncharged analogs of dopamine. J. Med. Chem. 1987, 30, 214–218. [Google Scholar] [CrossRef] [PubMed]
- Okamoto, K.; Watanabe, M.; Kawada, M.; Goto, G.; Ashida, Y.; Oda, K.; Yajima, A.; Imada, I.; Morimoto, H. Synthesis of Quinones having Carboxy- and Hydroxy-Alkyl Side Chains, and Their Effects on Rat-Liver Lyposomal Membrane. Chem. Pharm. Bull. 1982, 30, 2797–2819. [Google Scholar] [CrossRef]
- Cooper, C.B.; Blair, K.T.; Jones, C.S.; Minich, M.L. Synthesis and in vitro antibacterial activities of novel conformationally restricted hygromycin A analogues. Bioorg. Med. Chem. Lett. 1997, 7, 1747–1752. [Google Scholar] [CrossRef]
- Talipov, M.R.; Navale, T.S.; Hossain, M.M.; Shukla, R.; Ivanov, M.V.; Rathore, R. Dihedral-Angle-Controlled Crossover from Static Hole Delocalization to Dynamic Hopping in Biaryl Cation Radicals. Angew. Chem. Int. Ed. 2017, 56, 266–269. [Google Scholar] [CrossRef]
- Xu, Q.M.; Liu, Y.L.; Li, X.R.; Feng, Y.L.; Yang, S.L. Two New Phenylglycol Derivatives Isolated from Syringa reticulata var. mandshurica and Their Antifungal Activities. Chem. Pharm. Bull. 2009, 57, 863–866. [Google Scholar] [CrossRef]
Sample Availability: Samples of the compounds 2, 3, 4, 5, 6, 7, 8, 9 are available from the authors. |



| A/A | Reference a | Starting Material | Short Description | Steps | Overall Yield (%) |
|---|---|---|---|---|---|
| Synthesis of Hydroxytyrosol | |||||
| 1 | This Work | ![]() | 3 | 85 | |
| 2 | WO2007/009590A1 [63] | Synthesis via preparation of 3,4-dihydroxymandelic acid and reduction with Pd/C to afford 3,4-dihydroxyphenylacetic acid, which upon reduction with LiAlH4 resulted to HT. | 4 | 57 | |
| 3 | WO2008/107109A1 [54] | Synthesis through chloroacetylation and reduction over Pd/C. | 3 | 56 | |
| 4 | Chem. Sus. Chem. 2018, 11, 2202–2210 [53] | Synthesis through preparation of 3,4-dihydroxymandelic acid and hydrogenation with Pd/C. | 2 | 30 | |
| 5 | Synth. Commun. 2007, 37, 4245–4252 [58] | ![]() | Synthesis through oxidative bromination of tyrosol and subsequent methoxylation/deprotection. | 6 | 67 |
| 6 | Bioorg. Chem. 2007, 35, 137–152 [69] | Enzymatic synthesis with tyrosinase. | 1 | 95 | |
| 7 | WO2008/110908A1 [64] | Selective oxidative hydroxylation of protected tyrosol by Dess Martin reagent followed by deprotection. | 3 | 40 | |
| 8 | J. Agric. Food Chem. 2008, 56, 8897–8904 [57] | Selective oxidative hydroxylation of protected tyrosol by Dess Martin periodinane. | 3 | 67 | |
| 9 | Tetrahedron Lett. 2009, 50, 1307–1310 [62] | Selective oxidative hydroxylation of protected tyrosol by polymer-supported 2-iodoxybenzoic acid. | 1 | quant. | |
| 10 | US2009/0023815A1 [51] | Enzymatic hydroxylation of tyrosol with tyrosinase. | 1 | 20 | |
| 11 | Tetrahedron Lett. 2011, 52, 4938–4940 [59] | Synthesis through selective formylation and Baeyer–Villiger oxidation. | 4 | 59 | |
| 12 | J. Agric. Food Chem. 1999, 47, 1745–1748 [48] | ![]() | Reduction via LiAlH4 | 1 | 79 |
| 13 | J. Agric. Food Chem. 2000, 48, 4087–4090 [60] | Reduction via LiAlH4 or tetrabutylammonium boronate | 1 | 45 | |
| 14 | Molecules, 2007, 12, 1762–1770 [52] | Reduction of protected 3,4-dihydroxyphenylacetic acid via LiAlH4 and deprotection via Amberlyst 15. | 1 | 80 | |
| 15 | WO2017/149017A1 [66] | ![]() | Preparation through deprotection, hydrolysis, and reduction of the resulting acid via LiAlH4. | 4 | 36 |
| 16 | WO2012/003625A1 [65] | ![]() | Preparation through ozonolysis and deprotection via AlCl3/EtSH system. | 3 | 75 |
| 17 | J. Agric. Food Chem. 2007, 55, 3386–3391 [50] | Oleuropein | Preparation through basic hydrolysis of protected oleuropein and deprotection via Amberlyst 15. | 1 | 11 |
| 18 | Mediterr. J. Chem. 2018, 7, 217–222 [49] | Oleuropein (pure) | Preparation through acidic hydrolysis of oleuropein obtained from Ligustrum Vulgare. | 1 | 73 |
| Synthesis of Hydroxytyrosol Acetate | |||||
| 1 | This Work | ![]() | 3 | 73 | |
| 2 | Synth. Commun. 2007, 37, 4245–4252 [58] | ![]() | Synthesis through oxidative bromination of tyrosol and subsequent methoxylation, bis-acetylation and selective deprotection. | 5 | 70 |
| 3 | WO2008/110908A1 [64] | Selective oxidative hydroxylation of tyrosol acetate by Dess Martin reagent. | 3 | 40 | |
| 4 | J. Agric. Food Chem. 2008, 56, 8897–8904 [57] | Selective oxidative hydroxylation of tyrosol acetate by Dess Martin periodinane. | 2 | 76 | |
| 5 | Tetrahedron Lett. 2011, 52, 4938–4940 [59] | Synthesis through selective formylation and Baeyer–Villiger oxidation of tyrosol. acetate | 4 | 66 | |
| 6 | Bioorg. Med. Chem. 2015, 23, 5345–5351 [68] | Enzymatic hydroxylation of tyrosol with tyrosinase subsequent esterification via Candida antarctica lipase. | 1 | 98 | |
| 7 | J. Agric. Food Chem. 2001, 49, 2480–2485 [38] | ![]() | Synthesis through dibenzyloxy-HT, acetylation and subsequent deprotection. | 3 | 25 |
| 8 | US2003/0236202 [73] | Selective esterification with K2CO3 and tetrabutylammonium hydrogen sulfate. | 1 | 57 | |
| 9 | WO2004/005237A1 [71] | Selective transesterification via ethylacetate and p-toluenesulfonic acid. | 1 | 86 | |
| 10 | EP1541544A1 [72] | Enzymatic esterification with porcine pancreatic lipase. | 1 | 86 | |
| Synthesis of DHPG | |||||
| 1 | This Work | ![]() | 3 | 70 | |
| 2 | J. Med. Chem. 1963, 607–608 [74] | ![]() | Synthesis via hydrolysis of 3,4-dibenzyloxymandelonitrile, reduction of the resulting acid via LiAlH4 and deprotection via Pd/C. | 4 | 20 |
© 2019 by the authors. Licensee MDPI, Basel, Switzerland. This article is an open access article distributed under the terms and conditions of the Creative Commons Attribution (CC BY) license (http://creativecommons.org/licenses/by/4.0/).
Share and Cite
Kalampaliki, A.D.; Giannouli, V.; Skaltsounis, A.-L.; Kostakis, I.K. A Three-Step, Gram-Scale Synthesis of Hydroxytyrosol, Hydroxytyrosol Acetate, and 3,4-Dihydroxyphenylglycol. Molecules 2019, 24, 3239. https://doi.org/10.3390/molecules24183239
Kalampaliki AD, Giannouli V, Skaltsounis A-L, Kostakis IK. A Three-Step, Gram-Scale Synthesis of Hydroxytyrosol, Hydroxytyrosol Acetate, and 3,4-Dihydroxyphenylglycol. Molecules. 2019; 24(18):3239. https://doi.org/10.3390/molecules24183239
Chicago/Turabian StyleKalampaliki, Amalia D., Vassiliki Giannouli, Alexios-Leandros Skaltsounis, and Ioannis K. Kostakis. 2019. "A Three-Step, Gram-Scale Synthesis of Hydroxytyrosol, Hydroxytyrosol Acetate, and 3,4-Dihydroxyphenylglycol" Molecules 24, no. 18: 3239. https://doi.org/10.3390/molecules24183239
APA StyleKalampaliki, A. D., Giannouli, V., Skaltsounis, A.-L., & Kostakis, I. K. (2019). A Three-Step, Gram-Scale Synthesis of Hydroxytyrosol, Hydroxytyrosol Acetate, and 3,4-Dihydroxyphenylglycol. Molecules, 24(18), 3239. https://doi.org/10.3390/molecules24183239











