Structure-Based Pharmacophore Design and Virtual Screening for Novel Tubulin Inhibitors with Potential Anticancer Activity
Abstract
1. Introduction
2. Results and Discussion
2.1. Pharmacophore Modeling
2.2. Validation and Database Screening
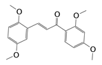
2.3. Biological Activities of Retrieved Molecules
2.4. Effect of Hit 1 on Tubulin Polymerization and [3H] Colchicine Binding
3. Materials and Methods
3.1. Pharmacophore Model Generation
3.2. Pharmacophore Model Evaluation
3.3. Virtual Screening
3.4. Structure-Based Molecular Docking
3.5. Cell Proliferation Inhibition Assay
3.6. Tubulin Polymerization
3.7. [3H] Colchicine Binding Assay
4. Conclusions
Author Contributions
Funding
Conflicts of Interest
References
- Bray, F.; Ferlay, J.; Soerjomataram, I.; Siegel, R.L.; Torre, L.A.; Jemal, A. Global cancer statistics 2018: GLOBOCAN estimates of incidence and mortality worldwide for 36 cancers in 185 countries. CA-Cancer J. Clin. 2018, 68, 394–424. [Google Scholar] [CrossRef] [PubMed]
- Kerssemakers, J.W.; Munteanu, E.L.; Laan, L.; Noetzel, T.L.; Janson, M.E.; Dogterom, M. Assembly dynamics of microtubules at molecular resolution. Nature 2006, 442, 709. [Google Scholar] [CrossRef] [PubMed]
- Chen, X.; Wang, S.M.; Kumar, G.B.; Bare, G.A.; Leng, J.; Bukhari, S.N.; Qin, H.L. Recent developments on phenstatins as potent antimitotic agents. Curr. Med. Chem. 2018, 25, 2329–2352. [Google Scholar] [CrossRef] [PubMed]
- Mollinedo, F.; Gajate, C. Microtubules, microtubule-interfering agents and apoptosis. Apoptosis 2003, 8, 413–450. [Google Scholar] [CrossRef] [PubMed]
- Checchi, P.M.; Nettles, J.H.; Zhou, J.; Snyder, J.P.; Joshi, H.C. Microtubule-interacting drugs for cancer treatment. Trends Pharm. Sci. 2003, 24, 361–365. [Google Scholar] [CrossRef]
- Zhou, J.; Liu, M.; Luthra, R.; Jones, J.; Aneja, R.; Chandra, R.; Tekmal, R.R.; Joshi, H.C. EM012, a microtubule-interfering agent, inhibits the progression of multidrug-resistant human ovarian cancer both in cultured cells and in athymic nude mice. Cancer Chemother. Pharm. 2005, 55, 461–465. [Google Scholar] [CrossRef] [PubMed]
- Kavallaris, M. Microtubules and resistance to tubulin-binding agents. Nat. Rev. Cancer 2010, 10, 194. [Google Scholar] [CrossRef] [PubMed]
- Dorléans, A.; Gigant, B.; Ravelli, R.B.; Mailliet, P.; Mikol, V.; Knossow, M. Variations in the colchicine-binding domain provide insight into the structural switch of tubulin. Proc. Natl. Acad. Sci. USA 2009, 106, 13775–13779. [Google Scholar] [CrossRef] [PubMed]
- Lu, Y.; Chen, J.; Xiao, M.; Li, W.; Miller, D.D. An overview of tubulin inhibitors that interact with the colchicine binding site. Pharm. Res. 2012, 29, 2943–2971. [Google Scholar] [CrossRef]
- Jordan, M.A.; Wilson, L. Microtubules as a target for anticancer drugs. Nat. Rev. Cancer 2004, 4, 253. [Google Scholar] [CrossRef]
- Tong, Y.G.; Zhang, X.W.; Geng, M.Y.; Yue, J.M.; Xin, X.L.; Tian, F.; Shen, X.; Tong, L.J.; Li, M.H.; Zhang, C.; et al. Pseudolarix acid B, a new tubulin-binding agent, inhibits angiogenesis by interacting with a novel binding site on tubulin. Mol. Pharm. 2006, 69, 1226–1233. [Google Scholar] [CrossRef] [PubMed]
- Ren, X.; Dai, M.; Lin, L.P.; Li, P.K.; Ding, J. Anti-angiogenic and vascular disrupting effects of C9, a new microtubule-depolymerizing agent. Br. J. Pharm. 2009, 156, 1228–1238. [Google Scholar] [CrossRef] [PubMed]
- Dark, G.G.; Hill, S.A.; Prise, V.E.; Tozer, G.M.; Pettit, G.R.; Chaplin, D.J. Combretastatin A-4, an agent that displays potent and selective toxicity toward tumor vasculature. Cancer Res. 1997, 57, 1829–1834. [Google Scholar] [PubMed]
- Porcù, E.; Viola, G.; Bortolozzi, R.; Persano, L.; Mitola, S.; Ronca, R.; Presta, M.; Romagnoli, R.; Baraldi, P.G.; Basso, G. TR-644 a novel potent tubulin binding agent induces impairment of endothelial cells function and inhibits angiogenesis. Angiogenesis 2013, 16, 647–662. [Google Scholar] [CrossRef] [PubMed]
- Brindisi, M.; Ulivieri, C.; Alfano, G.; Gemma, S.; de Asís Balaguer, F.; Khan, T.; Grillo, A.; Chemi, G.; Menchon, G.; Prota, A.E.; et al. Structure-activity relationships, biological evaluation and structural studies of novel pyrrolonaphthoxazepines as antitumor agents. Eur. J. Med. Chem. 2019, 162, 290–320. [Google Scholar] [CrossRef] [PubMed]
- Fu, D.J.; Li, P.; Wu, B.W.; Cui, X.X.; Zhao, C.B.; Zhang, S.Y. Molecular diversity of trimethoxyphenyl-1, 2, 3-triazole hybrids as novel colchicine site tubulin polymerization inhibitors. Eur. J. Med. Chem. 2019, 165, 309–322. [Google Scholar] [CrossRef]
- Romagnoli, R.; Oliva, P.; Salvador, M.K.; Camacho, M.E.; Padroni, C.; Brancale, A.; Ferla, S.; Hamel, E.; Ronca, R.; Grillo, E.; et al. Design, synthesis and biological evaluation of novel vicinal diaryl-substituted 1H-Pyrazole analogues of combretastatin A-4 as highly potent tubulin polymerization inhibitors. Eur. J. Med. Chem. 2019, 181, 111577. [Google Scholar] [CrossRef] [PubMed]
- Niu, H.; Strecker, T.E.; Gerberich, J.L.; Campbell, J.; Saha, D.; Mondal, D.; Hamel, E.; Chaplin, D.J.; Mason, R.P.; Trawick, M.L.; et al. Structure guided design, synthesis, and biological evaluation of novel benzosuberene analogues as inhibitors of tubulin polymerization. J. Med. Chem. 2019, 62, 5594–5615. [Google Scholar] [CrossRef]
- Lin, M.S.; Hong, T.M.; Chou, T.H.; Yang, S.C.; Chung, W.C.; Weng, C.W.; Tsai, M.L.; Cheng, T.R.; Chen, J.J.W.; Lee, T.C.; et al. 4(1H)-quinolone derivatives overcome acquired resistance to anti-microtubule agents by targeting the colchicine site of β-tubulin. Eur. J. Med. Chem. 2019, 181, 111584. [Google Scholar] [CrossRef]
- Jiang, J.; Zhang, H.; Wang, C.; Zhang, Q.; Fang, S.; Zhou, R.; Hu, J.; Zhu, J.; Zhou, Y.; Luo, C.; et al. 1-Phenyl-dihydrobenzoindazoles as novel colchicine site inhibitors: Structural basis and antitumor efficacy. Eur. J. Med. Chem. 2019, 177, 448–456. [Google Scholar] [CrossRef]
- Finkelstein, Y.; Aks, S.E.; Hutson, J.R.; Juurlink, D.N.; Nguyen, P.; Dubnov-Raz, G.; Pollak, U.; Koren, G.; Bentur, Y. Colchicine poisoning: The dark side of an ancient drug. Clin. Toxicol. 2010, 48, 407–414. [Google Scholar] [CrossRef] [PubMed]
- Niel, E.; Scherrmann, J.M. Colchicine today. Jt. BoneSpine 2006, 73, 672–678. [Google Scholar] [CrossRef] [PubMed]
- Ataş, B.; Caksen, H.; Tuncer, O.; Kirimi, E.; Akgün, C.; Odabaş, D. Four children with colchicine poisoning. Hum. Exp. Toxicol. 2004, 23, 353–356. [Google Scholar] [CrossRef] [PubMed]
- Subbiah, I.M.; Lenihan, D.J.; Tsimberidou, A.M. Cardiovascular toxicity profiles of vascular-disrupting agents. Oncologist 2011, 16, 1120–1130. [Google Scholar] [CrossRef] [PubMed]
- Larocque, K.; Ovadje, P.; Djurdjevic, S.; Mehdi, M.; Green, J.; Pandey, S. Novel analogue of colchicine induces selective pro-death autophagy and necrosis in human cancer cells. PLoS ONE 2014, 9, e87064. [Google Scholar] [CrossRef] [PubMed]
- Gould, S.; Westwood, F.R.; Curwen, J.O.; Ashton, S.E.; Roberts, D.W.; Lovick, S.C.; Ryan, A.J. Effect of pretreatment with atenolol and nifedipine on ZD6126-induced cardiac toxicity in rats. J. Natl. Cancer Inst. 2007, 99, 1724–1728. [Google Scholar] [CrossRef] [PubMed]
- Granata, R.; Locati, L.D.; Licitra, L. Fosbretabulin for the treatment of anaplastic thyroid cancer. Future Oncol. 2014, 10, 2015–2021. [Google Scholar] [CrossRef]
- Hollebecque, A.; Massard, C.; Soria, J.C. Vascular disrupting agents: A delicate balance between efficacy and side effects. Curr. Opin. Oncol. 2012, 24, 305–315. [Google Scholar] [CrossRef]
- Prinz, H. Recent advances in the field of tubulin polymerization inhibitors. Expert Rev. Anticancer 2002, 2, 695–708. [Google Scholar] [CrossRef]
- Halgren, T.A. Merck molecular force field. I. Basis, form, scope, parameterization, and performance of MMFF94. J. Comput. Chem. 1996, 17, 490–519. [Google Scholar] [CrossRef]
- Chen, J.; Liu, T.; Dong, X.; Hu, Y. Recent development and SAR analysis of colchicine binding site inhibitors. Mini-Rev. Med. Chem. 2009, 9, 1174–1190. [Google Scholar] [CrossRef]
- Wang, Y.; Zhang, H.; Gigant, B.; Yu, Y.; Wu, Y.; Chen, X.; Lai, Q.; Yang, Z.; Chen, Q.; Yang, J. Structures of a diverse set of colchicine binding site inhibitors in complex with tubulin provide a rationale for drug discovery. Febs J. 2016, 283, 102–111. [Google Scholar] [CrossRef] [PubMed]
- Nguyen, T.L.; McGrath, C.; Hermone, A.R.; Burnett, J.C.; Zaharevitz, D.W.; Day, B.W.; Wipf, P.; Hamel, E.; Gussio, R. A common pharmacophore for a diverse set of colchicine site inhibitors using a structure-based approach. J. Med. Chem. 2005, 48, 6107–6116. [Google Scholar] [CrossRef] [PubMed]
- Niu, M.; Wang, F.; Li, F.; Dong, Y.; Gu, Y. Establishment of a screening protocol for identification of aminopeptidase N inhibitors. J. Taiwan Inst. Chem. Eng. 2015, 49, 19–26. [Google Scholar] [CrossRef]
- Qin, T.; Chen, F.; Zhuo, X.; Guo, X.; Yun, T.; Liu, Y.; Zhang, C.; Lai, L. Discovery of novel polo-like kinase 1 polo-box domain inhibitors to induce mitotic arrest in tumor cells. J. Med. Chem. 2016, 59, 7089–7096. [Google Scholar] [CrossRef] [PubMed]
- Manual of molecular operating environment (MOE), Version 2007.09; Chemical Computing Group Inc.: Montreal, QC, Canada, 2007.
- Ul Qamar, T.; Mumtaz, A.; Ashfaq, U.A.; Azhar, S.; Fatima, T.; Hassan, M.; Hussain, S.S.; Akram, W.; Idrees, S. Computer aided screening of phytochemicals from Garcinia against the dengue NS2B/NS3 protease. Bioinformation 2014, 10, 115. [Google Scholar] [CrossRef] [PubMed]
- Hamel, E. Evaluation of antimitotic agents by quantitative comparisons of their effects on the polymerization of purified tubulin. Cell Biochem. Biophys. 2003, 38, 1–21. [Google Scholar] [CrossRef]
- Verdier-Pinard, P.; Lai, J.Y.; Yoo, H.D.; Yu, J.R.; Marquez, B.; Nagle, D.G.; Nambu, M.; White, J.D.; Falck, J.R.; Gerwick, W.H.; et al. Structure-activity analysis of the interactionof curacin A, the potent colchicine site anti-mitotic agent, with tubulinand effects of analogs on the growth of MCF-7 breast cancer cells. Mol. Pharm. 1998, 53, 62–76. [Google Scholar] [CrossRef]
Sample Availability: Samples of the compounds are available from the authors. |





| PDB_ID | Resolution (Å) | Ligand_ID |
|---|---|---|
| 6F7C | 1.81 | CVT |
| 5EYP | 1.9 | LOC |
| 5YL2 | 2.09 | 8WU |
| 4O2B | 2.3 | LOC |
| Serial No. | Parameter | Pharmacophore Model |
|---|---|---|
| 1 | Total molecules in database (D) | 1000 |
| 2 | Total number of actives in database (A) | 30 |
| 3 | Total hits (Ht) | 36 |
| 4 | Active hits (Ha) | 26 |
| 5 | % Yield of actives[(Ha/Ht) × 100] | 72% |
| 6 | % Ratio of actives [(Ha/A) × 100] | 87% |
| 7 | Enrichment factor (E) [(Ha × D)/(Ht × A)] | 24 |
| 8 | False negatives [A − Ha] | 4 |
| 9 | False positives [Ht − Ha] | 10 |
| 10 | Goodness of hit score (GH) a | 0.75 |
| Hits | ID Number | Structure | RMSD [Å] a | Docking Score [kcal·mol−1] b |
|---|---|---|---|---|
| 1 | AG-690/11549747 | ![]() | 0.5949 | −13.9247 |
| 2 | AH-487/40716190 | ![]() | 0.6174 | −13.3812 |
| 3 | AQ-090/41836624 | ![]() | 0.6168 | −13.2506 |
| 4 | AN-829/40763420 | ![]() | 0.5961 | −13.7928 |
| 5 | AN-829/40458057 | ![]() | 0.5974 | −13.4773 |
| Hits | ID Number | Tubulin IC50 [μM] a | [3H] Colchicine Binding Inhibition (% ± SD) b |
|---|---|---|---|
| 1 | AG-690/11549747 | 3.7 ± 0.5 | 91 ± 5.5 |
| CA-4 | 3.3 ± 0.6 | 96 ± 3.1 |
© 2019 by the authors. Licensee MDPI, Basel, Switzerland. This article is an open access article distributed under the terms and conditions of the Creative Commons Attribution (CC BY) license (http://creativecommons.org/licenses/by/4.0/).
Share and Cite
Zhou, Y.; Di, B.; Niu, M.-M. Structure-Based Pharmacophore Design and Virtual Screening for Novel Tubulin Inhibitors with Potential Anticancer Activity. Molecules 2019, 24, 3181. https://doi.org/10.3390/molecules24173181
Zhou Y, Di B, Niu M-M. Structure-Based Pharmacophore Design and Virtual Screening for Novel Tubulin Inhibitors with Potential Anticancer Activity. Molecules. 2019; 24(17):3181. https://doi.org/10.3390/molecules24173181
Chicago/Turabian StyleZhou, Yunjiang, Bin Di, and Miao-Miao Niu. 2019. "Structure-Based Pharmacophore Design and Virtual Screening for Novel Tubulin Inhibitors with Potential Anticancer Activity" Molecules 24, no. 17: 3181. https://doi.org/10.3390/molecules24173181
APA StyleZhou, Y., Di, B., & Niu, M.-M. (2019). Structure-Based Pharmacophore Design and Virtual Screening for Novel Tubulin Inhibitors with Potential Anticancer Activity. Molecules, 24(17), 3181. https://doi.org/10.3390/molecules24173181






