Functionalized 1,3-Thiazolidin-4-Ones from 2-Oxo-Acenaphthoquinylidene- and [2.2]Paracyclophanylidene-Thiosemicarbazones
Abstract
1. Introduction
2. Results and Discussion
2.1. Preparation of Compounds 5a–e
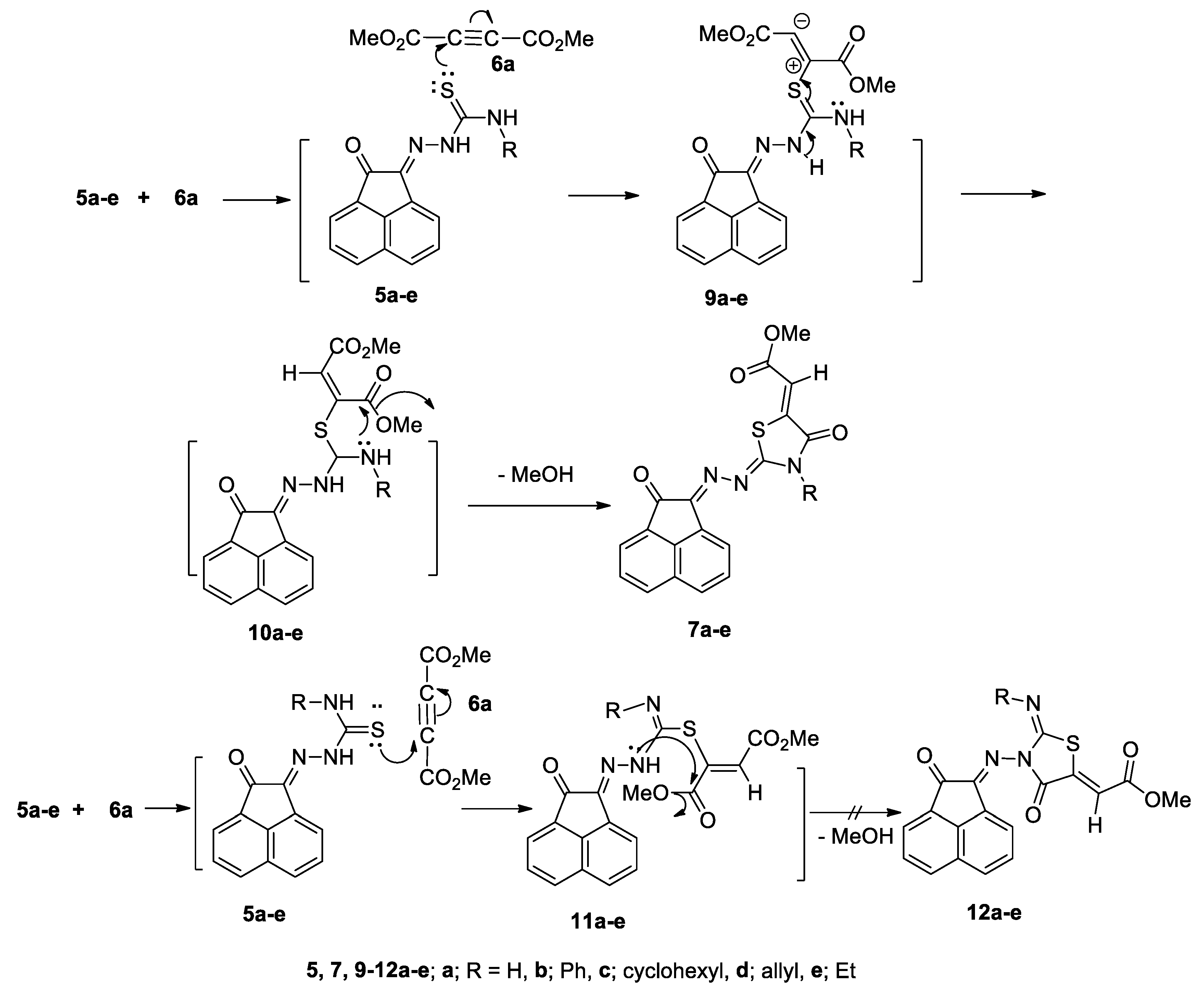
2.2. Reaction of Compounds 5a–e with Dimethyl Acetylenedicarboxylate (DMAD, 6)
3. Material and Methods
3.1. Chemistry
3.1.1. Starting Materials: Acenaphthequinone, 1 Was Bought and Bought from Aldrich, whereas [2.2]Paracyclophane Was Commercially Available
Preparation of 2-Oxoacenaphthylidene Thiosemicarbazones 5a–e
Reactions of 2-Oxoacenaphthylidene Thiosemicarbazone Derivatives with 6a
Preparation of 4-Acetyl-[2.2]Paracyclophanylidene-Thiosemicarbazones 22a,f
Reactions of 4-Acetyl[2.2]Paracyclophanylidene-Thiosemicarbazones, 22a,f with 6a and 6b
3.2. Single Crystal X-ray Structure Determination of 5a, 7d, 8d, 25 and 28
4. Conclusions
Supplementary Materials
Author Contributions
Funding
Conflicts of Interest
References
- Suthar, S.K.; Jaiswal, V.; Lohan, S.; Bansal, S.; Chaudhary, A.; Tiwari, A.; Alex, A.T.; Joseph, A. Novel quinolone substituted thiazolidin-4-ones as anti-inflammatory, anticancer agents: Design, synthesis and biological screening. Eur. J. Med. Chem. 2013, 63, 589–602. [Google Scholar] [CrossRef] [PubMed]
- Aly, A.A.; Ishak, E.A.; El Malah, T.; Brown, A.B.; Elayat, W.M. Synthesis of potentially antioxidant and antibacterial biologically active thiazolidines. J. Heterocycl. Chem. 2015, 52, 1758–1764. [Google Scholar] [CrossRef]
- Sharma, S.; Sharma, P.K.; Kumar, N.; Dudhe, R. A review on various heterocyclic moieties and their antitubercular activity. Biomed. Pharmacother. 2011, 65, 244–251. [Google Scholar] [CrossRef] [PubMed]
- Patel, D.; Kumari, P.; Patel, N. Synthesis and biological evaluation of some thiazolidinones as antimicrobial agents. Eur. J. Med. Chem. 2012, 48, 354–362. [Google Scholar] [CrossRef] [PubMed]
- Rawal, R.K.; Tripathi, R.; Katti, S.B.; Pannecouque, C.; de Clercq, E. Design, synthesis, and evaluation of 2-aryl-3-heteroaryl-1,3-thiazolidin-4-ones as anti-HIV agents. Bioorg. Med. Chem. 2007, 15, 1725–1731. [Google Scholar] [CrossRef] [PubMed]
- Shingalapur, R.V.; Hosamani, K.M.; Keri, R.S.; Hugar, M.H. Derivatives of benzimidazole pharmacophore: Synthesis, anticonvulsant, antidiabetic and DNA cleavage studies. Eur. J. Med. Chem. 2010, 45, 1753–1759. [Google Scholar] [CrossRef] [PubMed]
- Kishore, A.; Nampurath, G.K.; Mathew, S.P.; Zachariah, R.T.; Potu, B.K.; Rao, M.S.; Valiathan, M.; Chamallamudi, M.R. Antidiabetic effect through islet cell protection in streptozotocin diabetes: A preliminary assessment of two thiazolidin-4-ones in Swiss albino mice. Chem. Biol. Interact. 2009, 177, 242–246. [Google Scholar] [CrossRef]
- Aly, A.A.; Brown, A.B.; El-Emary, T.I.; Ewas, A.M.M.; Ramadan, M. Hydrazinecarbothioamide group in the synthesis of heterocycles. Arkivoc 2009, 2009, 150–197. [Google Scholar]
- Hassan, A.A.; Mohamed, N.K.; Makhlouf, M.M.; Bräse, S.; Nieger, M. Reactions of dimethyl acetylenedicarboxylate with 2,5-dithiobiurea derivatives. Synthesis 2014, 46, 3097–3102. [Google Scholar] [CrossRef]
- Hassan, A.A.; Mohamed, N.K.; Makhlouf, M.M.; Bräse, S.; Nieger, M.; Höpf, H. (Hex-2-en-ylidene)-N-substituted hydrazonecarbothioamides and 2,3-dichloro-1,4-naphthoquinone: Nucleophilic substitution reactions and synthesis of naphtho[2,3-f][1,3,4]-triazepines and naphtho[2,3-d]thiazoles. Synthesis 2016, 48, 3134–3140. [Google Scholar] [CrossRef]
- Aly, A.A.; Brown, A.B.; Abdel-Aziz, M.; Abuo-Rahma, G.E.D.A.; Radwan, M.F.; Ramadan, M.; Gamal-Eldeen, A.M. Synthesis of new 4-oxo-thiazolidine-5-ylidenes of antitumor and antioxidant activities. J. Heterocycl. Chem. 2010, 47, 547–554. [Google Scholar] [CrossRef]
- Aly, A.A.; Brown, A.B.; Abdel-Aziz, M.; Abuo-Rahma, G.E.D.A.; Radwan, M.F.; Ramadan, M.; Gamal-Eldeen, A.M. An efficient synthesis of thiazolidin-4-ones with antitumor and antioxidant activities. J. Heterocycl. Chem. 2012, 49, 726–731. [Google Scholar] [CrossRef]
- Hassan, A.A.; Abdel-Latif, F.F.; Nour El-Din, A.M.; Mostafa, S.M.; Nieger, M.; Bräse, S. Synthesis of (E)-2,5-disubstituted 1,3,4-thiadiazolyl-2,3-diphenylpropenones from alkenylidene-hydrazinecarbothioamides. Tetrahedron 2012, 68, 8487–8492. [Google Scholar] [CrossRef]
- Hu, W.-X.; Zhou, W.; Xia, C.-N.; Wen, X. Synthesis and anticancer activity of thiosemicarbazones. Bioorg. Med. Chem. Lett. 2006, 16, 2213–2218. [Google Scholar] [CrossRef] [PubMed]
- Barbuceanu, S.-F.; Ilies, D.C.; Saramet, G.; Uivarosi, V.; Draghici, C.; Radulescu, V. Synthesis and antioxidant activity evaluation of new compounds from hydrazinecarbothioamide and 1,2,4-triazole class containing diarylsulfone and 2,4-difluorophenyl moieties. Int. J. Mol. Sci. 2014, 15, 10908–10925. [Google Scholar] [CrossRef] [PubMed]
- Paiva, R.O.; Kneipp, L.F.; Goular, C.M.; Albuquerque, M.A.; Echevarria, A. Antifungal activities of thiosemicarbazones and semicarbazones against mycotoxigenic fungi. Ciência Agrotecnol. 2014, 38, 531–537. [Google Scholar] [CrossRef]
- Reis, D.C.; Despaigne, A.A.R.; Da Silva, J.G.; Silva, N.F.; Vilela, C.F.; Mendes, I.C.; Takahashi, J.A.; Beraldo, H. Structural studies and investigation on the activity of imidazole-derived thiosemicarbazones and hydrazones against crop-related fungi. Molecules 2013, 18, 12645–12662. [Google Scholar] [CrossRef]
- El Ashry, E.S.H.; Abdel Hamid, H.; Kassem, A.A.; Shoukry, M. Synthesis and reactions of acenaphthenequinones. Part 2. The reactions of acenaphthenequinones. Molecules 2002, 7, 155–188. [Google Scholar] [CrossRef]
- Mhaidat, I.; Mergos, J.A.; Hamilakis, S.; Kollia, C.; Loizos, Z.; Tsolomitis, A.; Dervos, C.T. Synthesis and reactions of acenaphthenequinones. Part 2. The reactions of acenaphthenequinones. Mater. Lett. 2009, 63, 2587–2590. [Google Scholar] [CrossRef]
- Ziarani, G.M.; Hajiabbasi, P.; Gholamzadeh, P. Development of the acenaphthenequinone reactions. Heterocycles 2012, 85, 1869–1890. [Google Scholar] [CrossRef]
- Yavari, I.; Khajeh-Khezri, A. Recent advances in the synthesis of hetero- and carbocyclic compounds and complexes based on acenaphthylene-1,2-dione. Synthesis 2018, 50, 3947–3973. [Google Scholar] [CrossRef]
- Hyatt, J.L.; Wadkins, R.M.; Tsurkan, L.; Hicks, L.D.; Hatfield, M.J.; Edwards, C.C.; Ross, C.R., II; Cantalupo, S.A.; Crundwell, G.; Danks, M.K.; et al. Planarity and constrain of the carbonyl groups in 1,2-diones are determinants for selective inhibition of human carboxylesterase 1. J. Med. Chem. 2007, 50, 5727–5734. [Google Scholar] [CrossRef] [PubMed]
- Rodriguez-Argüelles, M.C.; Ferrari, M.B.; Fava, G.G.; Pelizzi, C.; Pelosi, G.; Albertini, R.; Bonati, A.; Dall’Aglio, P.P.; Lunghi, P.; Pinelli, S. Acenaphthenequinone thiosemicarbazone and its transition metal complexes: Synthesis, structure, and biological activity. J. Inorg. Biochem. 1997, 66, 7–17. [Google Scholar] [CrossRef]
- Zhang, Z.; Yang, H.; Wu, G.; Li, Z.; Song, T.; Li, X.Q. Probing the difference between BH3 groove of Mcl-1 and Bcl-2 protein: Implications for dual inhibitors design. Eur. J. Med. Chem. 2011, 46, 3909–3916. [Google Scholar] [CrossRef] [PubMed]
- El-Alawi, Y.S.; McConkey, B.J.; Dixon, D.G.; Greenberg, B.M. Measurement of short- and long-term toxicity of polycyclic aromatic hydrocarbons using luminescent bacteria. Ecotoxicol. Environ. Saf. 2002, 51, 12–21. [Google Scholar] [CrossRef] [PubMed]
- Nair, V.; Biju, A.T.; Vinod, A.U.; Suresh, E. Reaction of Huisgen Zwitter ion with 1,2-benzoquinones and isatins: Synthesis of dihydro-1,2,3-benzoxadiazoles and spirooxadiazolines. Org. Lett. 2005, 7, 5139–5142. [Google Scholar] [CrossRef] [PubMed]
- Wang, C.; Jiang, Y.-H.; Yan, C-G. Convenient synthesis of spiro (indoline-3,4′-pyrano[2,3-c]pyrazole) and spiro (acenaphthyl-3,4′-pyrano[2,3-c]pyrazoles via four-component reaction. Chin. Chem. Lett. 2015, 26, 889–893. [Google Scholar] [CrossRef]
- Yavari, I.; Baoosi, L.; Halvagar, M.R. A synthesis of fused acenaphthopyrrolizines via the 1,3-dipolar cycloaddition reaction of azomethine ylides with acetylenic esters. Mol. Divers. 2017, 21, 257–263. [Google Scholar] [CrossRef]
- Wei, A.C.; Ali, M.A.; Yoon, Y.K.; Ismail, R.; Choon, T.S.; Kumar, R.S. A facile three-component [3+2]-cycloaddition for the regioselective synthesis of highly functionalized dispiropyrrolidines acting as antimycobacterial agents. Bioorg. Med. Chem. Lett. 2013, 23, 1383–1386. [Google Scholar] [CrossRef]
- Arumugam, N.; Almansour, A.I.; Kumar, R.S.; Perumal, S.; Ghabbour, H.A.; Fun, H.-K. A 1,3-dippolar cycloaddition-annulation protocol for the expedient region-, stereo-, and product-selective construction of novel hybrid heterocycles comprising seven rings and seven contiguous stereocentres. Tetrahedron Lett. 2013, 54, 2515–2519. [Google Scholar] [CrossRef]
- Song, L.-L.; Yang, C.; Yu, Y.-Q.; Xu, D.-Z. A simple and green tandem Knoevenagel-phospha-Michael reaction for one-pot synthesis of 2-oxindol-3-yl-phosphonates catalyzed by a DABCO-based ionic liquid. Synthesis 2017, 49, 1641–1647. [Google Scholar]
- Yavari, I.; Baoosi, L.; Halvagar, M.R. A convenient synthesis of fused tetrahydroazocines from acenaphthylene-1,2-dione, proline, and acetylenic esters. Synlett 2018, 29, 635–639. [Google Scholar] [CrossRef]
- Wang, X.-H.; Yan, C.-G. Facile synthesis of spiro(indane-2,1′-pyrrolo[2,1-a]isoquinolines) via three-component reaction of isoquinolinium salts, indane-1,3-dione, and isatins. Synthesis 2014, 46, 1059–1066. [Google Scholar] [CrossRef]
- Gong, H.; Sun, J.; Yan, C.-G. Efficient synthesis of polycyclic dispirooxindoles via domino Diels-Alder cyclodimerization reaction. Tetrahedron 2014, 70, 6641–6650. [Google Scholar] [CrossRef]
- Ahadi, S.; Hosseini, G.; Bazgir, A. Synthesis of oxo-indolin-3-ylidene-1,3-dithioles. J. Iran. Chem. Soc. 2012, 9, 333–338. [Google Scholar] [CrossRef]
- Kiruthika, S.E.; Lakshmi, N.V.; Banu, B.R.; Perumal, P.T. A facile strategy for the one pot multicomponent synthesis of spiro dihydropyridines from amines and activated alkynes. Tetrahedron Lett. 2011, 52, 6508–6511. [Google Scholar] [CrossRef]
- Hopf, H. [2.2] Paracyclophanes in polymer chemistry and materials science. Angew. Chem. Int. Ed. 2008, 47, 9808–9812. [Google Scholar] [CrossRef] [PubMed]
- Gibson, S.E.; Knight, J.D. [2.2] Paracyclophane derivatives in asymmetric catalysis. Org. Biomol. Chem. 2003, 1, 1256–1269. [Google Scholar] [CrossRef] [PubMed]
- Gulder, T.; Baran, P.S. Strained cyclophane natural products: Macrocyclization at its limits. Nat. Prod. Rep. 2012, 29, 899–934. [Google Scholar] [CrossRef] [PubMed]
- Hassan, Z.; Spuling, E.; Knoll, D.M.; Bräse, S. Regioselective functionalization of [2.2] paracyclophanes: Recent synthetic progress and perspectives. Angew. Chem. Int. Ed. 2019, in press. [Google Scholar] [CrossRef] [PubMed]
- Aly, A.A.; Brown, A.B. Asymmetric and fused heterocycles based on [2.2] paracyclophane. Tetrahedron 2009, 65, 8055–8089. [Google Scholar] [CrossRef]
- Aly, A.A.; Hopf, H.; Ernst, L.; Dix, I.; Jones, P.G. New cycloadditions of (E)-N,α-dimethyl-α-(4-[2.2] paracyclophanyl)nitrone. Eur. J. Org. Chem. 2006, 2006, 3001–3006. [Google Scholar] [CrossRef]
- Aly, A.A. Cycloaddition of (E)-N-{2-([2.2]paracyclophan-4-yl)ethylidene}methylamine N-oxide with 2,3-diphenylcyclopropenones and dibenzoyl acetylene: Synthesis of new paracyclophanylpyrroles. J. Chem. Res. 2007, 2007, 451–454. [Google Scholar] [CrossRef]
- Aly, A.A.; Hopf, H.; Jones, P.G.; Dix, I. Cycloadditions of α-(4-[2.2]paracyclophane)-N-methyl nitrone. Tetrahedron 2006, 62, 4498–4505. [Google Scholar] [CrossRef]
- Hopf, H.; Aly, A.A.; Swaminathan, V.N.; Ernst, L.; Dix, I.; Jones, P.G. A simple route to a pyridinyl[2.2]paracyclophane. Eur. J. Org. Chem. 2005, 2005, 68–71. [Google Scholar] [CrossRef]
- Aly, A.A.; Bräse, S.; Weis, P. Tridentate and bidentate copper complexes of [2.2] paracyclophanyl-substituted thiosemicarbazones, thiocarbazones, hydrazones, and thioureas. J. Mol. Struct. 2019, 1178, 311–326. [Google Scholar] [CrossRef]
- Pascu, S.L.; Waghorn, P.A.; Churchill, G.C.; Sim, R.B. Synthesis of Metal Complexes with Thiosemicarbazone Derivatives for Use in Medical Imaging and Therapy. PCT International Application WO 2008025941 A2 20080306, 4 August 2008. [Google Scholar]
- Patil, P.B.; Patil, J.D.; Korade, S.N.; Kshirsagar, S.D.; Govindwar, S.P.; Pore, D.M. An efficient synthesis of anti-microbial 1,2,4-triazole-3-thiones promoted by acidic ionic liquid. Res. Chem. Intermed. 2016, 42, 4171–4180. [Google Scholar] [CrossRef]
- Mohammadi, M.K.; Firuzi, O.; Khoshneviszadeh, M.; Razzaghi-Asl, N.; Sepehri, S.; Miri, R. Novel 9-(alkylthio)-acenaphtho[1,2-e]-1,2,4-triazine derivatives: Synthesis, cytotoxic activity, and molecular docking studies on B-cell lymphoma 2 (Bcl-2). DARU J. Pharm. Sci. 2014, 22, 2. [Google Scholar] [CrossRef] [PubMed]
- Satheshkumar, A.; El-Mossalamy, E.H.; Manivannam, R.; Parthiban, C.; Al-Harbi, L.M.; Kosa, S.; Elango, K.P. Anion induced azo-hydrazine tautomerism for the selective colorimetric sensing of fluoride ion. Spectrochim. Acta A 2014, 128, 798–805. [Google Scholar] [CrossRef] [PubMed]
- Kauer, J.C.; Simmons, H.E. Tetramers of acetylenedicarboxylic esters. J. Org. Chem. 1968, 33, 2720–2726. [Google Scholar] [CrossRef]
- Hocking, M.B.; van der Voort Maarschalk, F.W. X-ray structures of triphenylphosphine and 1,3,5-triphenylphosphole products with dimethyl acetylenedicarboxylate tetramer. Can. J. Chem. 1994, 72, 2428–2442. [Google Scholar] [CrossRef]
- Winterfeldt, E.; Giesler, G. Formation of trimethyl 2-methoxyfurantricarboxylate from dimethyl acetylenedicarboxylate. Angew. Chem. Int. Ed. 1966, 5, 579. [Google Scholar] [CrossRef]
- Banert, K.; Bochmann, S.; Ihle, A.; Plefka, O.; Taubert, F.; Walther, T.; Korb, M.; Rueffer, T.; Lang, H. Synthesis with perfect atom economy: Generation of furan derivatives by 1,3-dipolar cycloaddition of acetylenedicarboxylates at cyclooctynes. Molecules 2014, 19, 14022–14035. [Google Scholar] [CrossRef] [PubMed]
- Medina, S.; Gonzalez-Gomez, A.; Dominguez, G.; Perez-Castells, J. Medium-sized and strained heterocycles from non-catalyzed and gold-catalyzed conversions of β-carbolines. Org. Biomol. Chem. 2012, 10, 7167–7176. [Google Scholar] [CrossRef] [PubMed]
- Huang, H.; Luo, H.; Tao, G.; Cai, W.; Cao, J.; Duan, Z.; Mathey, F. Selective synthesis of (Z)-diazadiphosphafulvalene from 2,2′-bis-azaphosphindole. Org. Lett. 2018, 20, 1027–1030. [Google Scholar] [CrossRef] [PubMed]
- Arrowsmith, R.L.; Waghorn, P.A.; Jones, M.W.; Bauman, A.; Brayshaw, S.K.; Hu, Z.; Kociok-Köhn, G.; Mindt, T.L.; Tyrrell, R.M.; Botchway, S.W.; et al. Fluorescent gallium and indium bis(thiosemicarbazonates) and their radiolabeled analogues: Synthesis, structures, and cellular confocal imaging investigations. Dalton Trans. 2011, 40, 6238–6252. [Google Scholar] [CrossRef] [PubMed]
- Sheldrick, G.M. A short history of SHELX. Acta Crystallogr. 2008, 64, 112–122. [Google Scholar] [CrossRef]
- Sheldrick, G.M. SHELXT—Integrated space-group and crystal-structure determination. Acta Crystallogr. 2015, 71, 3–8. [Google Scholar] [CrossRef]
- Tadjarodi, A.; Najjari, S.; Notash, B. Synthesis and crystal structure of a new thiosemicarbazone, acenaphthenequinone thiosemiscarbazone mono methanol. Iran. J. Crystallogr. Miner. 2015, 22, 109–114. [Google Scholar]
Sample Availability: Samples of the compounds are not available from the authors. |















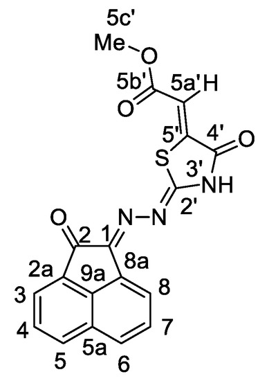
| 1H-NMR: | 1H-1H COSY: | Assignment: | |
| 13.46 (b; 1H) | NH-3′ | ||
| 8.35 (d, J = 8.2; 1H) | 7.86 | H-5 | |
| 8.20 (d, J = 8.2; 1H) | 7.85 | H-6 | |
| 8.01 (d, J = 7.8; 1H) | 7.86 | H-3 | |
| 7.99 (d, J = 7.0; 1H) | 7.85 | H-8 | |
| 7.86 (“t”, J = 7.9; 1H)8.35, 8.01 | H-4 | ||
| 7.85 (“t”, J = 8.0; 1H) | 8.20, 7.99 | H-7 | |
| 6.73 (s; 1H) | H-5a′ | ||
| 3.81 (s; 3H) | H-5c′ | ||
| 13C NMR: | 1H-13C HSQC: H-13C HMBC: | Assignment: | |
| 183.77 | 8.01, 7.86 | C-2 | |
| 166.01 | C-4 | ||
| 165.78 | 6.73, 3.81 | C-5′ | |
| 154.23 | C-2′ | ||
| 151.66 | 7.99 | C-1 | |
| 142.07 | 6.73 | C-5′ | |
| 139.71 | 8.35, 8.20, 8.01, 7.86, 7.85 | C-9a | |
| 131.86 | 8.35 | 8.20, 8.01, 7.86 | C-5 |
| 131.15, 131.05, 130.06 | 8.35, 8.20, 8.01, 7.86, 7.85 | C-2a, 5a, 9 | |
| 128.95, 128.59 | 7.86, 7.85 | 8.35, 7.99 | C-4, 7 |
| 128.20 | 8.20 | 8.20 | C-6 |
| 121.52 | 8.01 | 8.35 | C-3 |
| 118.82 | 7.99 | 8.20 | C-8 |
| 115.27 | 6.73 | 6.73, 3.81 | C-5a′ |
| 52.49 | 3.81 | 3.81 | C-5c′ |
© 2019 by the authors. Licensee MDPI, Basel, Switzerland. This article is an open access article distributed under the terms and conditions of the Creative Commons Attribution (CC BY) license (http://creativecommons.org/licenses/by/4.0/).
Share and Cite
Aly, A.A.; Mohamed, N.K.; Hassan, A.A.; El-Shaieb, K.M.; Makhlouf, M.M.; Bräse, S.; Nieger, M.; Brown, A.B. Functionalized 1,3-Thiazolidin-4-Ones from 2-Oxo-Acenaphthoquinylidene- and [2.2]Paracyclophanylidene-Thiosemicarbazones. Molecules 2019, 24, 3069. https://doi.org/10.3390/molecules24173069
Aly AA, Mohamed NK, Hassan AA, El-Shaieb KM, Makhlouf MM, Bräse S, Nieger M, Brown AB. Functionalized 1,3-Thiazolidin-4-Ones from 2-Oxo-Acenaphthoquinylidene- and [2.2]Paracyclophanylidene-Thiosemicarbazones. Molecules. 2019; 24(17):3069. https://doi.org/10.3390/molecules24173069
Chicago/Turabian StyleAly, Ashraf A., Nasr K. Mohamed, Alaa A. Hassan, Kamal M. El-Shaieb, Maysa M. Makhlouf, Stefan Bräse, Martin Nieger, and Alan B. Brown. 2019. "Functionalized 1,3-Thiazolidin-4-Ones from 2-Oxo-Acenaphthoquinylidene- and [2.2]Paracyclophanylidene-Thiosemicarbazones" Molecules 24, no. 17: 3069. https://doi.org/10.3390/molecules24173069
APA StyleAly, A. A., Mohamed, N. K., Hassan, A. A., El-Shaieb, K. M., Makhlouf, M. M., Bräse, S., Nieger, M., & Brown, A. B. (2019). Functionalized 1,3-Thiazolidin-4-Ones from 2-Oxo-Acenaphthoquinylidene- and [2.2]Paracyclophanylidene-Thiosemicarbazones. Molecules, 24(17), 3069. https://doi.org/10.3390/molecules24173069

