Discrimination of Natural Mature Acacia Honey Based on Multi-Physicochemical Parameters Combined with Chemometric Analysis
Abstract
1. Introduction
2. Materials and Methods
2.1. Honey Sample
2.2. Pollen Analysis
2.3. Physicochemical Properties
2.4. HPLC Conditions
2.5. Data Analysis
3. Results and Discussion
3.1. Pollen Analysis
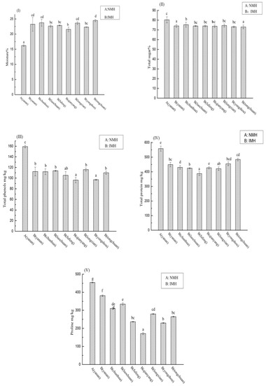
3.2. Physicochemical Parameters Analysis
3.3. Principal Component Analysis (PCA)
3.4. Cluster Analysis
3.5. Orthogonal Partial Least Squares-Discriminant Analysis
3.6. Test Samples Analysis
4. Conclusions
Supplementary Materials
Author Contributions
Funding
Acknowledgments
Conflicts of Interest
References
- Council, E.U. Council Directive 2001/110/EC of 20 December 2001 relating to honey Official. J. Eur. Communities L 2002, 10, 47–52. [Google Scholar]
- Ball, D.W. The chemical composition of honey. J. Chem. Educ. 2007, 84, 1647–1650. [Google Scholar] [CrossRef]
- Chua, L.S.; Abdul-Rahaman, N.L.; Sarmidi, M.R.; Aziz, R. Multi-elemental composition and physical properties of honey samples from malaysia. Food Chem. 2012, 135, 880–887. [Google Scholar] [CrossRef]
- Verma, L.R.; Partap, U. Foraging behaviour of apis cerana on cauliflower and cabbage and its impact on seed production. J. Apic. Res. 1994, 33, 231–236. [Google Scholar] [CrossRef]
- Di Rosa, A.R.; Leone, F.; Cheli, F.; Chiofalo, V. Novel approach for the characterisation of Sicilian honeys based on the correlation of physicochemical parameters and artificial senses. Ital. J. Anim. Sci. 2018, 18, 389–397. [Google Scholar] [CrossRef]
- Bailey, L. The action of the proventriculus of the honeybee (Apis Mellifera L.). Bee World 1952, 32, 92. [Google Scholar] [CrossRef]
- Graham, J.M. The hive and the honey bee. Bull. ESA 1992, 10, 62. [Google Scholar]
- Blatt, J.; Roces, F. The control of the proventriculus in the honeybee (Apis mellifera carnica L.) ii. Feedback mechanisms. J. Insect Physiol. 2002, 48, 683–691. [Google Scholar] [CrossRef]
- Pita-Calvo, C.; Guerra-Rodriguez, M.E.; Vazquez, M. A review of the analytical methods used in the quality control of honey. J. Agric. Food Chem. 2017, 65, 690–703. [Google Scholar] [CrossRef]
- Crailsheim, K. Intestinal transport of sugars in the honeybee (Apis mellifera L.). J. Insect Physiol. 1988, 34, 840–845. [Google Scholar] [CrossRef]
- Almamary, M.; Almeeri, A.; Alhabori, M. Antioxidant activities and total phenolics of different types of honey. Nutr. Res. 2002, 22, 1041–1047. [Google Scholar] [CrossRef]
- Cocker, L. The enzymic production of acid in honey. J. Sci. Food Agric. 2010, 2, 411–414. [Google Scholar] [CrossRef]
- Oroian, M.; Ropciuc, S. Honey authentication based on physicochemical parameters and phenolic compounds. Comput. Electron. Agric. 2017, 138, 148–156. [Google Scholar] [CrossRef]
- White, J.W.; Subers, M.H.; Schepartz, A.I. The identification of inhibine, the antibacterial factor in honey, as hydrogen peroxide and its origin in a honey glucose-oxidase system. Biochim. Biophys. Acta 1963, 73, 57–70. [Google Scholar] [CrossRef]
- Zhu, W.; Hu, F.; Li, Y.; Zhan, Y. The antibacterial mechanism and the affected factors of honey. Nat. Prod. Res. Dev. 2004, 16, 372–374. [Google Scholar]
- Free, J.B. Biology and behaviour of the honey bee Apis florea, and possibilities for beekeeping. Bee World 1981, 62, 46–59. [Google Scholar] [CrossRef]
- Crane, E. Honey from honeybees and other insects. Ethol. Ecol. Evol. 1991, 3, 100–105. [Google Scholar] [CrossRef]
- Peng, Y.S.; Marston, J.M. Filtering mechanism of the honey bee proventriculus. Physiol. Entomol. 2010, 11, 433–439. [Google Scholar] [CrossRef]
- Bentabol Manzanares, A.; García, Z.H.; Galdón, B.R.; Rodríguez, E.R.; Romero, C.D. Differentiation of blossom and honeydew honeys using multivariate analysis on the physicochemical parameters and sugar composition. Food Chem. 2011, 126, 664–672. [Google Scholar] [CrossRef]
- Silva, P.M.D.; Gauche, C.; Gonzaga, L.V. Honey chemical composition, stability and authenticity. Food Chem. 2016, 196, 309–323. [Google Scholar] [CrossRef]
- Wu, L.; Du, B.; Vander Heyden, Y.; Chen, L.; Zhao, L.; Wang, M.; Xue, X. Recent advancements in detecting sugar-based adulterants in honey—A challenge. TrAC Trends Anal. Chem. 2017, 86, 25–38. [Google Scholar] [CrossRef]
- Bogdanov, S.; Jurendic, T.; Sieber, R.; Gallmann, P. Honey for nutrition and health: A review. J. Am. Coll. Nutr. 2009, 27, 677–689. [Google Scholar] [CrossRef]
- Subramanian, R.; Umesh Hebbar, H.; Rastogi, N.K. Processing of honey: A review. Int. J. Food Prop. 2007, 10, 127–143. [Google Scholar] [CrossRef]
- Alvarez-Suarez, J.M.; Tulipani, S.; Romandini, S.; Bertoli, E.; Battino, M. Contribution of honey in nutrition and human health: A review. Nutr. Metab. 2010, 3, 15–23. [Google Scholar] [CrossRef]
- Doner, L.W. The sugars of honey—A review. J. Sci. Food Agric. 2010, 28, 443–456. [Google Scholar] [CrossRef]
- Gupta, R.K.; Reybroeck, W.; Veen, J.W.V.; Gupta, A. Beekeeping for poverty alleviation and livelihood security: Ⅱ Quality control of honey and bee products. In Beekeeping for Poverty Alleviation and Livelihood Security; Springer: Berlin, Germany, 2014. [Google Scholar]
- Pita-Calvo, C.; Vázquez, M. Differences between honeydew and blossom honeys: A review. Trends Food Sci. Technol. 2017, 59, 79–87. [Google Scholar] [CrossRef]
- Grout, R.A. American Bee Journal Editor, M.G. Dadant. Am. Bee J. 2018, 158, 741–747. [Google Scholar]
- Jibril, F.I.; Hilmi, A.B.M.; Manivannan, L. Isolation and characterization of polyphenols in natural honey for the treatment of human diseases. Bull. Nat. Res. Cent. 2019, 43, 4–5. [Google Scholar] [CrossRef]
- Silvano, M.F.; Varela, M.S.; Palacio, M.A.; Ruffinengo, S.; Yamul, D.K. Physicochemical parameters and sensory properties of honeys from buenos aires region. Food Chem. 2014, 152, 500–507. [Google Scholar] [CrossRef]
- Sohaimy, S.A.E.; Masry, S.H.D.; Shehata, M.G. Physicochemical characteristics of honey from different origins. Ann. Agric. Sci. 2015, 60, 279–287. [Google Scholar] [CrossRef]
- Siddiqui, A.J.; Musharraf, S.G.; Choudhary, M.I.; Rahman, A. Application of analytical methods in authentication and adulteration of honey. Food Chem. 2017, 217, 687–698. [Google Scholar] [CrossRef] [PubMed]
- Popek, S.; Halagarda, M.; Kursa, K. A new model to identify botanical origin of polish honeys based on the physicochemical parameters and chemometric analysis. LWT-Food Sci. Technol. 2017, 77, 482–487. [Google Scholar] [CrossRef]
- Yücel, Y.; Demir, C. Principal component analysis and cluster analysis for the characterisation of marbles by capillary electrophoresis. Talanta 2004, 63, 451–459. [Google Scholar] [CrossRef] [PubMed]
- Yücel, Y.; Sultanoğlu, P. Characterization of hatay honeys according to their multi-element analysis using ICP-OES combined with chemometrics. Food Chem. 2013, 140, 231–237. [Google Scholar] [CrossRef] [PubMed]
- Zhao, J.; Du, X.; Cheng, N.; Chen, L.; Xue, X.; Wu, L.; Cao, W. Identification of monofloral honeys using HPLC-ECD and chemometrics. Food Chem. 2016, 194, 167–174. [Google Scholar] [CrossRef] [PubMed]
- Lutier, P.M.; Vaissière, B.E. An improved method for pollen analysis of honey. Rev. Palaeobot. Palynol. 1993, 78, 129–144. [Google Scholar] [CrossRef]
- Association of Official Analytical Chemists (AOAC). Available online: www.aoac.org/aoac_prod_imis/AOAC/Publications/Official_Methods_of_Analysis/AOAC_Member/Pubs/OMA/AOAC_Official_Methods_of_Analysis.aspx (accessed on 21 July 2019).
- Geladi, P.; Isaksson, H.; Lindqvist, L.; Wold, S.; Esbensen, K. Principal component analysis of multivariate images. Chemom. Intell. Lab. 1989, 5, 209–220. [Google Scholar] [CrossRef]
- Everitt, B. Cluster Analysis; Quality & Quantity; Kluwer Academic Publishers: Norwell, MA, USA, 1980; Volume 14, pp. 75–100. [Google Scholar]
- Everitt, B. The Cambridge Dictionary of Statistics; Cambridge University Press: Cambridge, UK, 2002. [Google Scholar]
- Boccard, J.; Rutledge, D.N. A consensus orthogonal partial least squares discriminant analysis (OPLD-DA) strategy for multiblock omics data fusion. Analytica Chimica Acta 2013, 769, 30–39. [Google Scholar] [CrossRef]
- Ouchemoukh, S.; Louaileche, H.; Schweitzer, P. Physicochemical characteristics and pollen spectrum of some algerian honeys. Food Control 2007, 18, 52–58. [Google Scholar] [CrossRef]
- Lazarević, K.B.; Andrić, F.; Trifković, J.; Tešić, Ž.; Milojković-Opsenica, D. Characterisation of serbian unifloral honeys according to their physicochemical parameters. Food Chem. 2012, 132, 2060–2064. [Google Scholar] [CrossRef]
- Azeredo, L.D.C.; Azeredo, M.A.A.; Souza, S.R.D.; Dutra, V.M.L. Protein contents and physicochemical properties in honey samples of apis mellifera of different floral origins. Food Chem. 2003, 80, 249–254. [Google Scholar] [CrossRef]
- Weirich, G.F.; Collins, A.M.; Williams, V.P. Antioxidant enzymes in the honey bee, Apis mellifera. Apidologie 2002, 33, 3–14. [Google Scholar] [CrossRef]
- Alqarni, A.S.; Owayss, A.A.; Mahmoud, A.A. Physicochemical characteristics, total phenols and pigments of national and international honeys in saudi arabia. Arab. J. Chem. 2016, 9, 114–120. [Google Scholar] [CrossRef]
- Ares, G.; Jach, A. Applications of principal component analysis (PCA) in food science and technology. In Mathematical and Statistical Methods in Food Science and Technology; John Wiley & Sons, Ltd.: Hoboken, NJ, USA, 2014. [Google Scholar]
- Zhao, H.; Cheng, N.; Zhang, Y.; Sun, Z.; Zhou, W.; Wang, Y.; Cao, W. The effects of different thermal treatments on amino acid contents and chemometric-based identification of overheated honey. LWT-Food Sci. Technol. 2018, 96, 133–139. [Google Scholar] [CrossRef]






| Samples | Type of Honey | Botanical Source | Production Region | Predominant Pollen (%) |
|---|---|---|---|---|
| A1–A29 | Monofloral | Robinia pseudoacacia | Yan’an, Shaanxi | 88.38 ± 2.56 |
| B30–B45 | Monofloral | Robinia pseudoacacia | Yan’an, Shaanxi | 87.21 ± 1.78 |
| B46–B55 | Monofloral | Robinia pseudoacacia | Chunhua, Shaanxi | 86.31 ± 3.01 |
| B56–B60 | Monofloral | Robinia pseudoacacia | Luochuan, Shaanxi | 82.61 ± 1.89 |
| B61–B65 | Monofloral | Robinia pseudoacacia | Fufeng, Shaanxi | 85.77 ± 3.21 |
| B66–B70 | Monofloral | Robinia pseudoacacia | Qianyang, Shaanxi | 83.60 ± 2.18 |
| B71–B75 | Monofloral | Robinia pseudoacacia | Longxian, Shaanxi | 84.34 ± 1.63 |
| B76–B80 | Monofloral | Robinia pseudoacacia | Yongshou, Shaanxi | 88.63 ± 3.84 |
| B81–B85 | Monofloral | Robinia pseudoacacia | Tongchuan, Shaanxi | 86.67 ± 1.67 |
| Samples | L* | a* | b* | Conductivity (µS/cm) | pH | Free Acid (meq/kg Dry Matter) | Lacton (meq/kg Dry Matter) | Acid Value (meq/kg Dry Matter) | HMF (mg/kg Dry Matter) |
| A1–A29 | 47.60 ± 2.82 a | 101.99 ± 4.30 a | 23.49 ± 6.72 | 136.25 ± 3.38 g | 3.17 ± 0.06 c | 27.17 ± 1.72 c | 5.98 ± 0.99 a,b | 33.15 ± 1.58 d | N.D |
| B30–B45 | 70.99 ± 1.53 b,c | 124.24 ± 2.29 b | 8.79 ± 2.73 a | 108.66 ± 5.58 c,d | 2.88 ± 0.08 a,b | 21.21 ± 1.09 a,b | 4.94 ± 1.71 a | 26.15 ± 2.38 a,b | N.D |
| B46–B55 | 70.71 ± 0.71 b,c | 125.64 ± 1.71 b | 3.62 ± 0.08 a | 103.70 ± 1.58 c | 2.89 ± 0.07 a,b | 20.27 ± 0.74 a | 3.78 ± 0.57 a | 24.05 ± 0.94 a | N.D |
| B56–B60 | 72.95 ± 0.86 d | 123.25 ± 2.41 b | 5.92 ± 0.35 a | 113.88 ± 0.67 d,e | 2.94 ± 0.05 a,b | 22.77 ± 0.25 b | 4.76 ± 0.49 a | 27.54 ± 0.25 b | N.D |
| B61–B65 | 72.25 ± 1.07 c | 129.64 ± 1.88 b | 4.01 ± 0.29 a | 110.71 ± 3.93 c,d | 2.89 ± 0.04 a,b | 23.04 ± 0.86 b | 4.86 ± 0.49 a | 27.91 ± 1.31 b,c | N.D |
| B66–B70 | 71.45 ± 0.55 b,c | 125.50 ± 1.65 b | 3.75 ± 0.13 a | 84.61 ± 2.25 a | 3.09 ± 0.03 c | 23.83 ± 0.49 b | 8.79 ± 0.55 c | 31.62 ± 1.04 d | N.D |
| B71–B75 | 69.48 ± 0.44 b,c | 116.85 ± 0.58 b | 6.29 ± 0.21 a | 117.68 ± 4.80 f | 2.83 ± 0.02 a | 22.94 ± 0.83 b | 7.98 ± 0.35 b,c | 30.92 ± 0.84 c,d | N.D |
| B76–B80 | 71.65 ± 0.16 b,c | 130.71 ± 1.11 b | 2.56 ± 0.17 a | 93.43 ± 2.15 b | 2.99 ± 0.02 b | 23.48 ± 0.43 b | 7.35 ± 0.63 b,c | 30.83 ± 0.98 c,d | N.D |
| B81–B85 | 68.34 ± 0.14 b | 120.92 ± 1.44 b | 3.73 ± 0.21 a | 105.69 ± 1.09 c | 2.86 ± 0.02 a,b | 23.25 ± 0.59 b | 7.75 ± 0.19 b,c | 31.00 ± 0.44 c,d | N.D |
| Samples | Glucose (g/100 g Dry Matter) | Fructose (g/100 g Dry Matter) | Sucrose (g/100 g Dry Matter) | Total Sugar (g/100 g Dry Matter) | Total Phenolic (mg/kg Dry Matter) | Total Protein (mg/kg Dry Matter) | Amylase Activity (o Gothe) | Proline (mg/kg Dry Matter) | Glucose Oxidase (U/g Dry Matter) |
| A1–A29 | 26.04 ± 1.22 b,c | 37.39 ± 1.12 c | 1.97 ± 0.26 d | 65.40 ± 1.71 c | 126.59 ± 7.85 c | 454.09 ± 11.48 f | 39.15 ± 2.44 f | 343.35 ± 11.42 f | 1.26 ± 0.21 a |
| B30–B45 | 25.20 ± 0.36 b | 34.07 ± 0.50 b | 1.17 ± 0.17 a,b | 60.44 ± 0.58 b | 89.06 ± 1.21 b | 361.14 ± 10.13 c,d | 33.86 ± 1.65 d,e | 238.21 ± 11.65 d | 2.36 ± 0.18 b |
| B46–B55 | 25.18 ± 0.24 b | 33.93 ± 0.73 b | 1.15 ± 0.11 a,b | 60.26 ± 0.66 b | 87.81 ± 2.46 b | 388.65 ± 2.28 d,e | 35.50 ± 1.23 e | 232.51 ± 1.54 d | 2.29 ± 0.30 b |
| B56–B60 | 25.61 ± 0.45 b,c | 34.07 ± 0.43 b | 1.43 ± 0.03 b,c | 61.11 ± 0.10 b | 88.71 ± 1.12 b | 329.02 ± 3.11 a,b c | 33.34 ± 1.03 d,e | 266.43 ± 13.60 e | 2.53 ± 0.16 b |
| B61–B65 | 24.67 ± 0.53 b | 34.11 ± 0.87 b | 1.14 ± 0.15 a,b | 59.93 ± 0.59 b | 79.35 ± 6.51 a,b | 300.09 ± 11.81 a | 29.62 ± 1.60 b,c | 183.34 ± 0.41 b | 3.25 ± 0.61 c |
| B66–B70 | 27.28 ± 1.14 c | 35.61 ± 0.53 b | 1.41 ± 0.15 b,c | 64.29 ± 1.15 c | 74.78 ± 4.65 a | 416.62 ± 8.67 e | 27.61 ± 1.38 b | 133.24 ± 3.41 a | 1.96 ± 0.58 b |
| B71–B75 | 24.89 ± 0.59 b | 34.31 ± 0.83 b | 0.89 ± 0.11 a | 60.09 ± 1.48 b | 89.39 ± 2.16 c | 319.56 ± 12.93 a,b | 31.41 ± 0.68 c,d | 213.51 ± 2.637 c | 2.37 ± 0.86 b |
| B76–B80 | 24.88 ± 0.31 b | 34.32 ± 0.13 b | 1.68 ± 0.46 c,d | 60.88 ± 0.68 b | 74.97 ± 0.89 a | 350.63 ± 12.13 b,c d | 21.40 ± 0.59 a | 179.95 ± 0.32 b | 1.22 ± 0.21 a |
| B81–B85 | 22.46 ± 1.86 a | 30.52 ± 1.79 a | 1.54 ± 0.07 b,c | 54.52 ± 1.67 a | 82.92 ± 2.77 a,b | 366.10 ± 8.53 c,d | 21.82 ± 1.03 a | 199.24 ± 1.97 b,c | 0.66 ± 0.15 a |
| Quality Index | PC1 | PC2 | PC3 |
|---|---|---|---|
| L* | −0.963 | 0.029 | 0.153 |
| a* | −0.870 | 0.014 | 0.175 |
| b* | 0.905 | 0.069 | −0.134 |
| Conductivity (μS/cm) | 0.847 | 0.142 | −0.333 |
| pH | 0.852 | −0.142 | 0.218 |
| Free acid (meq/kg) | 0.829 | −0.314 | −0.034 |
| Lacton (meq/kg) | 0.106 | −0.875 | 0.240 |
| Acid value (meq/kg) | 0.676 | −0.651 | 0.088 |
| Glucose % | 0.425 | 0.195 | 0.785 |
| Fructose % | 0.817 | 0.164 | 0.338 |
| Sucrose % | 0.777 | −0.252 | −0.113 |
| Total sugar % | 0.814 | 0.154 | 0.533 |
| Total phenolic content (mg/kg) | 0.936 | 0.146 | −0.160 |
| Total Protein (mg/kg) | 0.798 | 0.073 | 0.045 |
| Amylase activity (oGothe) | 0.654 | 0.692 | 0.008 |
| Proline (mg/kg) | 0.872 | 0.294 | −0.301 |
| Glucose oxidase (U/g) | −0.538 | 0.516 | 0.234 |
| Eigenvalues | 10.208 | 2.343 | 1.497 |
| Contribution rate % | 60.045 | 13.785 | 8.806 |
| Cumulative contribution% | 60.045 | 73.830 | 82.636 |
© 2019 by the authors. Licensee MDPI, Basel, Switzerland. This article is an open access article distributed under the terms and conditions of the Creative Commons Attribution (CC BY) license (http://creativecommons.org/licenses/by/4.0/).
Share and Cite
Ma, T.; Zhao, H.; Liu, C.; Zhu, M.; Gao, H.; Cheng, N.; Cao, W. Discrimination of Natural Mature Acacia Honey Based on Multi-Physicochemical Parameters Combined with Chemometric Analysis. Molecules 2019, 24, 2674. https://doi.org/10.3390/molecules24142674
Ma T, Zhao H, Liu C, Zhu M, Gao H, Cheng N, Cao W. Discrimination of Natural Mature Acacia Honey Based on Multi-Physicochemical Parameters Combined with Chemometric Analysis. Molecules. 2019; 24(14):2674. https://doi.org/10.3390/molecules24142674
Chicago/Turabian StyleMa, Tianchen, Haoan Zhao, Caiyun Liu, Min Zhu, Hui Gao, Ni Cheng, and Wei Cao. 2019. "Discrimination of Natural Mature Acacia Honey Based on Multi-Physicochemical Parameters Combined with Chemometric Analysis" Molecules 24, no. 14: 2674. https://doi.org/10.3390/molecules24142674
APA StyleMa, T., Zhao, H., Liu, C., Zhu, M., Gao, H., Cheng, N., & Cao, W. (2019). Discrimination of Natural Mature Acacia Honey Based on Multi-Physicochemical Parameters Combined with Chemometric Analysis. Molecules, 24(14), 2674. https://doi.org/10.3390/molecules24142674

