Next Article in Journal
Modeling the Solvent Extraction of Cadmium(II) from Aqueous Chloride Solutions by 2-pyridyl Ketoximes: A Coordination Chemistry Approach
Previous Article in Journal
Continuous Monitoring of Shelf Lives of Materials by Application of Data Loggers with Implemented Kinetic Parameters
 
 
Font Type:
Arial Georgia Verdana
Font Size:
Aa Aa Aa
Line Spacing:
Column Width:
Background:
Article

Recyclable and Stable α-Methylproline-Derived Chiral Ligands for the Chemical Dynamic Kinetic Resolution of free C,N-Unprotected α-Amino Acids

State Key Laboratory of Drug Research, Shanghai Institute of Materia Medica, Chinese Academy of Sciences, 555 Zu Chong Zhi Road, Shanghai 201203, China
*
Authors to whom correspondence should be addressed.
These authors contributed equally to this work.
Molecules 2019, 24(12), 2218; https://doi.org/10.3390/molecules24122218
Submission received: 28 May 2019 / Revised: 6 June 2019 / Accepted: 6 June 2019 / Published: 13 June 2019
(This article belongs to the Section Inorganic Chemistry)

Abstract

:
A novel special designed, stable, and recyclable chiral ligand bearing a quaternary carbon was developed for chemical dynamic kinetic resolution (DKR) of free C,N-unprotected racemic α-amino acids via Schiff base intermediates. This method furnishes high yields with excellent enantioselectivity, has a broad substrate scope, and uses operationally simple and convenient conditions. The present chemical DKR is a practical and useful method for the preparation of enantiopure α-amino acids.

1. Introduction

Unnatural α-amino acids play an important role in modern organic synthesis and medicinal chemistry due to their promising biological and pharmaceutical activity [1,2,3,4,5,6,7,8,9]. Considering the pharmaceutical potential of unnatural α-amino acids, the preparation of structurally varied and enantiomerically pure α-amino acids has been a focal point for synthetic chemists, thereby leading to many truly ingenious approaches. By using enantioselective polymer membranes, optical resolution of racemic α-amino acids to obtain enantiopure isomers has been established [10,11,12,13,14]. Meanwhile, several methods using chromatography were applied for the enantioselective separation of racemic α-amino acids and derivatives. Nevertheless, using enantioselective polymer membrane and chiral stationary phase are unarguably not economic, especially on a large scale [15,16,17].
Large-scale preparation of unnatural α-amino acids is virtually entirely accomplished by biocatalytic methods [18,19,20,21,22], and most enantioselective chemical methods are still undeveloped [23,24,25,26,27,28,29]. Among established chemical methods to enantioselectively synthesize pure α-amino acids, the dynamic kinetic resolution (DKR) of α-amino acids on large scale is the most efficient solution [30,31,32,33]. In 2012, Oh et al. [26]. Synthesized α-amino acids via DKR with limited substrate generality and using expensive thiourea organocatalysts starting from N-protected racemic amino acids. Tokumaru et al. [29]. Demonstrated DKR of racemic 2-(1H-pyrrol-1-yl)alkanoic acids as α-amino acid equivalents with sound yields and enantioselectivities, although the substrate scope was limited and the preparation of free α-amino acids was complicated (Scheme 1). Several research groups have developed practical methods for the preparation of chiral unnatural α-amino acids and β-amino acids [34,35,36,37,38,39,40,41]. In particular, chiral ligands 1, 2, and 3 (Scheme 1) were successfully used for the preparation of structurally varied α-amino acids, respectively [42,43,44,45,46]. In 2015, our group realized chemical dynamic thermodynamic resolution and S/R interconversion of unprotected unnatural α-amino acids [43,44]. Unfortunately, ligand 1 has limited substrate generality and incomplete stereochemical outcome, and both of the chiral ligands 1 and 2 were synthesized bearing axially chiral 1,1’-binaphthyl moieties, which were rather expensive [43]. Our group used recyclable ligand 3 for the dynamic kinetic resolution of α-amino acids [44]. We discovered that ligands bearing quaternary carbons could be used for chemical resolution of unprotected α-substituted-β-amino acids and β-substituted-β-amino acids without racemization of the α-position of the proline moiety [47,48]. Herein, we have designed and synthesized a novel stable ligand 4 (Scheme 1) for the resolution of free unprotected α-amino acids under operationally simple and convenient conditions. The entioselective pure resolution of phenyl substituted α-amino acids could also be realized directly and efficiently, thus expanding the scope of substrates, which holds great potential for preparation of enantiopure α-amino acids.

2. Results and Discussions

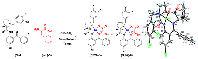
To investigate the most favorable reaction conditions, we optimized the solvents, bases, and temperature, using (S)-4 and racemic phenylalanine (5a) as the template reaction (Table 1). Based on our previous study, DKR processes in protonic solvent may afford better yields and stereochemical control [40]. To our delight, excellent diastereoselectivity (dr > 99:1) was observed, both in ethanol using Ni(OAc)2 as Ni(II) ion resource and K2CO3 as base (Table 1, entry 1). Replacing the ethanol solvent with methanol led to a significant improvement in the yield (up to 98%) and also afforded product 6a with excellent diastereoselectivity (>99:1, Table 1, Entry 2), whereas using sodium tert-butoxide (NaOt-Bu), sodium hydride (NaH), and 1,8-diazabicyclo[5.4.0] undec-7-ene (DBU) as the base, all led to a significant drop in the reaction yield (Table 1, Entries 3–5). The yield thus greatly depends on the conditions applied, while the stereochemical outcome does not appear to be influenced by the nature of both the base and solvent used. Next, the effect of temperature was explored, and a good yield with excellent diastereoselectivity (dr > 99:1, Table 1, Entry 6) could be obtained at room temperature within 72 h. All diastereoselectivities were monitored by LC-MS, and the (S,2S)-6a was obtained as the major product, which was determined by single-crystal X-ray diffraction analysis (Table 1, X-ray, see the Materials and Methods Section for details).
With optimized reaction conditions in hand, we further investigated the scope of substrate generality (Table 2, dr determination, see supplementary Figures S1–S15). In all cases the stereochemistry outcome showed that all (S)-4 starting materials gave enantiomerically enriched compounds (S,2S)-6 as the major DKR products, respectively. We explored several phenylalanine derivatives. Simple substituted phenylalanines proved to be good substrates (Table 2, Entries 2–5), providing the desired products in high yields (88-91%) with excellent diastereoselectivity (dr > 99:1). The reactions of (S)-4 with α-amino acids containing functionalized phenylalanines (Table 2, Entry 6), fused aryl rings, and heterocyclic aryl rings (Table 2, Entries 7–9) were conducted and high yields (89–94%) were obtained with excellent stereochemical outcomes (dr > 99:1). We also investigate the phenyl-substituted glycine (Table 2, Entries 10 and 11). Methoxy- and bromo-substitution on the para-position of phenyl both gave good yields and diastereoselectivity outcomes. Furthermore, the reaction could be extended to alkyl substituted α-amino acids (Table 2, Entries 12–17). All these reactions produced high yields (87–95%) with excellent diastereoselectivity (dr 97:3 to >99:1).
After successful exploration of (S)-4, we turned our attention to the (R)-4 ligand (Table 3, dr determination, see supplementary Figures S16–S32). We found that Ni(II)-complexes (R,2R)-6 were synthesized in high yields (70–98%) with excellent diastereoselectivity (dr 97:3 to > 99:1). As proved by (S)-4, the resolution of phenylalanine and substituted phenylalanines (Table 3, Entries 1-6) was realized in high yields (88–91%) with excellent diastereoselectivity (>99:1). Apart from that, α-amino acids with fused rings and heterocyclic aryl rings (Table 3, Entries 7–9) all exhibited both excellent yields (92–94%) and diastereoselectivity (>99:1). The resolution of phenyl-substituted glycines (Table 3, Entries 10 and 11) by (R)-4 produced good yields and diastereoselective outcomes (97:3 and 98:2). All alkyl substituted α-amino acids (Table 3, Entries 12–17) obtained high yields (88–96%) with excellent diastereoselectivity (dr 98:2 to >99:1). With these remarkable results, we can offer a potential method to prepare unprotected (R)-α-amino acids with broad generality.
Compared to reported methods [43,44], we realized good to excellent yields an diastereoselectivities for phenyl-substituted glycine. We extended the substrate scope to include compounds such as cyclobutyl- and trifluoroethyl-substituted glycine, again with excellent yields and diastereoselectivities. Furthermore, the novel chiral ligand is more stable than the previous ligand.
With the aim of understanding the DKR progress of this reaction, LC-MS analysis was used to monitor the stereochemical outcome over time (Figure 1). The DKR reaction was conducted using ligand (R)-4, 2-(3-methoxyphenyl)glycine (5j), Ni(OAc)2, and K2CO3 as base at 60 °C in methanol. The ligand (R)-4 readily reacted with (R)-5j in the initial stages of the process, thus giving rise the products (R,2R)-6j and (R,2S)-6j in 50% yield and a dr of 98:2 at 4 h. After 8 h, the yields of product increased steadily at a slow rate. However, the ratio between two diastereomers (R,2R)-6j and (R,2S)-6j is almost the same as after 4 h, which indicated that any base-catalyzed epimerization from (R,2R)-6j and (R,2S)-6j occured at a relatively slow rate. Considering the yield is almost consistent, final thermodynamic control was stopped at 16 h. The calculated yield of product (R,2R)-6j, as a single diastereomer, was 70% more than theoretical percentage of 50%. Herein, we assume that the disfavored α-amino acid (S)-5j undergoes base-catalyzed α-epimerization before forming the major product (R,2R)-6j.
Finally, decomposition of Ni(II) complex (S,2S)-6a under standard conditions afforded the target amino acid (S)-configured phenylalanine ((S)-5a) in high yield (88%) with excellent enantioselectivity (ee > 99%). The stable chiral ligand (S)-4 could be recycled and reused in high yield (90%) (Figure 2, ee determination see supplementary Figures S33 and S34).

3. Materials and Methods

3.1. General Information

All commercially available compounds and solvents were used without further purification. Anhydrous nickel acetate was prepared by heating Ni(II) acetate tetrahydrate at 110 °C under vacuum for 2 h. 1H- and 13C-NMR spectra were recorded in deuterochloroform (CDCl3) on a 400 or 500 MHz AV400 instrument (Bruker, Billerica, MA, USA) (see Supplementary Figures S35–S69). Chemical shifts were reported in parts per million (ppm, δ) downfield from tetramethylsilane. Proton coupling patterns were described as singlet (s), doublet (d), triplet (t), quartet (q), broad (br) and multiplet (m). High resolution mass spectra (HRMS) were measured on a Finnigan MAT95 spectrometer (Thermo Fisher Scientific, Waltham, MA, USA) The determination of dr was performed via LC-MS analysis (Finnigan MAT95, Thermo Fisher Scientific). The determination of ee was performed via HPLC analysis (Agilent-1100, Santa Clara, CA, USA). Optical rotations were measured using a 1 mL cell with a 10 cm path length on an Autopol VI automatic polarimeter (Rudolph Research Analytical, Hackettstown, NJ, USA) and are reported as follows: [α]20D (c: g/100 mL, in solvent). Melting points were measured on a melting point apparatus (SGW-X4; Shanghai ZiQi Laboratory Equipment Co., Ltd., Shanghai, China).

3.2. General Procedure for the Synthesis of (S,2S)-6a and (R,2R)-6a

A suspension of (S)-4 or (R)-4 (100.3 mg, 0.2 mmol, 1 equiv.), rac-phenylalanine 5a (33 mg, 0.2 mmol, 1 equiv.), Ni(OAc)2 (35.3 mg, 0.2 mmol, 1 equiv.), and K2CO3 (138.1 mg, 1.0 mmol, 5 equiv.) were refluxed in methanol (4 mL) at 60 °C for 8 h. After cooling to room temperature, the mixture was diluted with 5% aqueous acetic acid (15 mL) and extracted three times with dichloromethane. The combined organic layers were dried over Na2SO4 and concentrated under reduced pressure. The crude mixture was purified by column chromatography on silica gel (PE/EA = 4:1 to DCM/MeOH = 20:1) to afford two diastereomers (S,2S)-6a and (S,2R)-6a (138 mg, yield 98%) for analysis (dr > 99:1). The mixture was purified again by column chromatography on silica gel (DCM/MeOH = 40:1) to give the pure diastereomer (S,2S)-6a as a red solid.

3.3. General Procedure for the Synthesis of (S)-5a

To a suspension of (S,2S)-6a (78 mg, 0.1 mmol, 1 equiv.) in 1,4-dioxane (2.2 mL) was added 6 N HCl (618 μL) and the mixture was then heated at 70 °C for 10 min. The reaction was monitored by TLC and disappearance of the red color of the solution was observed. After concentrating to dryness under reduced pressure, ethyl acetate and water were added to the residue and then stirred. The organic phase was extracted two times with water and washed with saturated sodium hydrogen carbonate solution, water, brine, and finally dried over Na2SO4, filtered and concentrated to produce recovered (S)-4 (50.8 mg, 90%). The combined aqueous phase was concentrated in vacuo and dissolved in ammonium hydroxide solution (10%), which subsequently loaded onto a Dowex 50WX2-100 cation-exchange resin column (Sigma-Aldrich, St. Louis, MI, USA). The column was preprocessed with deionized water until neutral, and then obtained the desired amino acid using ammonium hydroxide (10%). The aqueous solution was concentrated in vacuo to give (S)-5a (16.5 mg, 88%) as a white solid.

3.4. Analytical Characterization Data of Products

Nickel(II)-(S)-N-(2-benzoyl-4-chlorophenyl)-1-(3,4-dichlorobenzyl)-2-methylpyrrolidine-2-carboxamide/(S)-phenylalanine Schiff Base Complex (6a). Red solid (138 mg, yield 98%); mp 116–118 °C; [α]20D = +2502 (c = 1, CHCl3); 1H-NMR (400 MHz, CDCl3) δ 9.08 (d, J = 2.1 Hz, 1H), 8.32 (d, J = 9.3 Hz, 1H), 7.61–7.49 (m, 3H), 7.42–7.27 (m, 6H), 7.15–7.02 (m, 3H), 6.65 (d, J = 7.7 Hz, 1H), 6.61 (d, J = 2.6 Hz, 1H), 4.22 (t, J = 5.2 Hz, 1H), 3.54 (dd, J = 59.9, 13.0 Hz, 2H), 3.36–3.24 (m, 1H), 3.14 (dt, J = 17.6, 6.8 Hz, 2H), 2.78 (dd, J = 13.8, 5.4 Hz, 1H), 2.42–2.23 (m, 1H), 2.14–2.03 (m, 1H), 1.98 (dd, J = 19.7, 9.7 Hz, 1H), 1.87–1.73 (m, 1H), 1.33 (s, 3H). 13C-NMR (125 MHz, CDCl3) δ 180.5, 178.1, 170.8, 141.5, 135.8, 134.0, 133.4, 133.1, 133.0, 132.7, 132.6, 131.1, 130.5, 130.3, 129.8, 129.5, 129.3, 129.1, 127.9, 127.7, 127.5, 125.8, 124.3, 74.3, 71.8, 57.3, 54.7, 41.4, 39.8, 20.7, 17.8. LRMS (ESI, m/z): 704.0 [M + H]+. HRMS (ESI, m/z): calcd for C35H31Cl3N3NiO3, 704.0605 [M + H]+; found 704.0625. The dr was determined by LC-MS using a system equipped with a binary pump, and a photodiode array detector (DAD), using an Eclipse XDB-C18 column (250 × 4.6 mm, 5 µm) (CH3CN/H2O = 65:35, flow rate 1.0 mL/min, λ = 254 nm), tmajor = 15.966 min, tminor = not found, dr > 99:1.
Nickel(II)-(S)-N-(2-benzoyl-4-chlorophenyl)-1-(3,4-dichlorobenzyl)-2-methylpyrrolidine-2-carboxamide/(S)-2-methoxyphenylalanine Schiff Base Complex (6b). Red solid (132 mg, yield 90%); mp 125–128 °C; [α]20D = +2021 (c = 1, CHCl3); 1H-NMR (400 MHz, CDCl3) δ 9.00 (d, J = 2.0 Hz, 1H), 8.36 (d, J = 9.3 Hz, 1H), 7.57–7.53 (m, 2H), 7.52–7.48 (m, 1H), 7.41–7.37 (m, 1H), 7.36–7.31 (m, 1H), 7.31–7.27 (m, 2H), 7.22–7.19 (m, 1H), 7.10 (dd, J = 9.3, 2.6 Hz, 1H), 6.96 (t, J = 7.4 Hz, 1H), 6.88–6.82 (m, 2H), 6.62 (d, J = 2.6 Hz, 1H), 4.15 (t, J = 4.9 Hz, 1H), 3.52 (q, J = 13.4 Hz, 2H), 3.31–3.22 (m, 4H), 3.21–3.16 (m, 1H), 3.11–3.06 (m, 1H), 2.91 (dd, J = 13.6, 4.9 Hz, 1H), 2.31–2.20 (m, 1H), 2.10–2.01 (m, 1H), 1.94 (q, J = 9.9 Hz, 1H), 1.83–1.73 (m, 1H), 1.31 (s, 3H). 13C-NMR (125 MHz, CDCl3) δ 180.5, 178.6, 171.1, 158.5, 141.4, 135.9, 134.1, 133.7, 133.2, 133.1, 132.9, 132.7, 132.5, 131.2, 130.1, 130.0, 129.4, 129.3, 129.3, 128.4, 128.0, 127.7, 125.7, 124.5, 124.2, 121.5, 110.7, 74.6, 72.0, 57.7, 54.9, 54.6, 41.4, 34.8, 20.9, 18.1. LRMS (ESI, m/z): 734.0 [M − H]. HRMS (ESI, m/z): calcd for C36H31Cl3N3NiO4, 734.0739 [M − H]; found 734.0741. The dr was determined by LC-MS using an Eclipse XDB-C18 column (250 × 4.6 mm, 5 µm) (CH3CN/H2O = 65:35, flow rate 1.0 mL/min, λ = 254 nm), tmajor = 19.059 min, tminor = not found, dr > 99:1.
Nickel(II)-(S)-N-(2-benzoyl-4-chlorophenyl)-1-(3,4-dichlorobenzyl)-2-methylpyrrolidine-2-carboxamide/(S)-3-methoxyphenylalanine Schiff Base Complex (6c). Red solid (127 mg, yield 90%); mp 118–121 °C; [α]20D = +3344 (c = 1, CHCl3); 1H-NMR (400 MHz, CDCl3) δ 9.07–9.05 (m, 1H), 8.30 (d, J = 9.3 Hz, 1H), 7.59–7.45 (m, 3H), 7.36–7.27 (m, 3H), 7.23–7.18 (m, 1H), 7.09 (dd, J = 9.3, 2.6 Hz, 1H), 6.88–6.83 (m, 1H), 6.64 (d, J = 7.5 Hz, 1H), 6.59–6.56 (m, 2H), 6.55–6.50 (m, 1H), 4.19 (t, J = 5.3 Hz, 1H), 3.63 (s, 3H), 3.60 (d, J = 13.1 Hz, 1H), 3.45 (d, J = 13.2 Hz, 1H), 3.42–3.34 (m, 1H), 3.22–3.09 (m, 2H), 2.78 (dd, J = 13.8, 5.1 Hz, 1H), 2.49–2.36 (m, 1H), 2.17–2.08 (m, 1H), 2.04–1.94 (m, 1H), 1.91–1.79 (m, 1H), 1.33 (s, 3H). 13C-NMR (125 MHz, CDCl3) δ 180.8, 178.3, 171.0, 141.6, 135.9, 135.8, 134.1, 133.5, 133.2, 133.1, 132.8, 132.7, 131.2, 130.4, 129.9, 129.7, 129.6, 129.4, 127.8, 127.5, 126.5, 125.9, 124.4, 124.4, 74.5, 71.4, 57.5, 54.9, 54.6, 41.6, 34.2, 21.0, 18.0. LRMS (ESI, m/z): 734.0 [M − H]. HRMS (ESI, m/z): calcd for C36H31Cl3N3NiO4, 734.0739 [M − H]; found 734.0741. The dr was determined by LC-MS using an Eclipse XDB-C18 column (250 × 4.6 mm, 5 µm) (CH3CN/H2O = 65:35, flow rate 1.0 mL/min, λ = 254 nm), tmajor = 16.298 min, tminor = not found, dr > 99:1.
Nickel(II)-(S)-N-(2-benzoyl-4-chlorophenyl)-1-(3,4-dichlorobenzyl)-2-methylpyrrolidine-2-carboxamide/(S)-3-methylphenylalanine Schiff Base Complex (6d). Red solid (126 mg, yield 88%); mp 135–136 °C; [α]20D = +2588 (c = 1, CHCl3); 1H-NMR (400 MHz, CDCl3) δ 9.06–9.03 (m, 1H), 8.33 (d, J = 9.3 Hz, 1H), 7.56 (t, J = 7.7 Hz, 2H), 7.51 (t, J = 7.5 Hz, 1H), 7.37 (t, J = 7.5 Hz, 1H), 7.33–7.27 (m, 2H), 7.24–7.18 (m, 1H), 7.16–7.09 (m, 2H), 6.89–6.83 (m, 2H), 6.64 (d, J = 7.6 Hz, 1H), 6.61 (d, J = 2.5 Hz, 1H), 4.20 (t, J = 5.1 Hz, 1H), 3.63–3.55 (m, 1H), 3.50–3.42 (m, 1H), 3.35–3.24 (m, 1H), 3.16–3.06 (m, 2H), 2.74 (dd, J = 13.7, 5.4 Hz, 1H), 2.41–2.29 (m, 1H), 2.26 (s, 3H), 2.15–2.03 (m, 1H), 2.02–1.94 (m, 1H), 1.88–1.76 (m, 1H), 1.32 (s, 3H). 13C-NMR (150 MHz, CDCl3) δ 180.2, 178.0, 170.5, 141.3, 138.5, 135.6, 135.4, 133.8, 133.1, 132.9, 132.8, 132.4, 132.4, 131.1, 131.1, 130.9, 130.0, 129.6, 129.3, 128.9, 128.7, 128.2, 127.7, 127.5, 127.3, 127.3, 125.5, 124.0, 74.1, 71.6, 57.1, 54.5, 41.0, 39.6, 21.4, 20.4, 17.6. LRMS (ESI, m/z): 716.0 [M − H]. HRMS (ESI, m/z): calcd for C36H31Cl3N3NiO3, 716.0790 [M − H]; found 716.0798. The dr was determined by LC-MS using an Eclipse XDB-C18 column (250 × 4.6 mm, 5 µm) (CH3CN/H2O = 65:35, flow rate 1.0 mL/min, λ = 254 nm), tmajor = 21.599 min, tminor = not found, dr > 99:1.
Nickel(II)-(S)-N-(2-benzoyl-4-chlorophenyl)-1-(3,4-dichlorobenzyl)-2-methylpyrrolidine-2-carboxamide/(S)-4-fluorophenylalanine Schiff Base Complex (6e). Red solid (132 mg, yield 91%); mp 188–190 °C; [α]20D = +1786 (c = 1, CHCl3); 1H-NMR (400 MHz, CDCl3) δ 9.09–9.06 (m, 1H), 8.33 (d, J = 9.3 Hz, 1H), 7.62–7.52 (m, 3H), 7.47–7.41 (m, 1H), 7.34 (d, J = 7.0 Hz, 1H), 7.31 (d, J = 8.2 Hz, 1H), 7.14 (dd, J = 9.3, 2.5 Hz, 1H), 7.08–7.03 (m, 4H), 6.74 (d, J = 7.5 Hz, 1H), 6.63 (d, J = 2.5 Hz, 1H), 4.21 (t, J = 5.0 Hz, 1H), 3.64–3.58 (m, 1H), 3.52–3.46 (m, 1H), 3.40–3.30 (m, 1H), 3.17–3.03 (m, 2H), 2.75 (dd, J = 14.0, 5.4 Hz, 1H), 2.42–2.30 (m, 1H), 2.23–2.14 (m, 1H), 2.06–1.96 (m, 1H), 1.90–1.84 (m, 1H), 1.35 (s, 3H). 13C-NMR (150 MHz, CDCl3) δ 180.3, 177.7, 170.7, 162.3 (d, J = 246.68 Hz), 141.3, 135.5, 133.7, 133.1, 132.9, 132.8, 132.5, 132.4, 131.7, 131.7, 131.3, 131.3, 130.9, 130.2, 129.6, 129.4, 129.1, 127.5, 127.4, 127.3, 125.7, 124.1, 115.8, 115.7, 74.2, 71.4, 57.2, 54.4, 41.0, 38.6, 20.5, 17.6. LRMS (ESI, m/z): 720.0 [M − H]. HRMS (ESI, m/z): calcd for C35H28Cl3FN3NiO3, 720.0539 [M − H]; found 720.0547. The dr was determined by LC-MS using an Eclipse XDB-C18 column (250 × 4.6 mm, 5 µm) (CH3CN/H2O = 65:35, flow rate 1.0 mL/min, λ = 254 nm), tmajor = 17.940 min, tminor = not found, dr > 99:1.
Nickel(II)-(S)-N-(2-benzoyl-4-chlorophenyl)-1-(3,4-dichlorobenzyl)-2-methylpyrrolidine-2-carboxamide/(S)-3,5-diiodotyrosine Schiff Base Complex (6f). Red solid (175 mg, yield 90%); mp 286–288 °C; [α]20D = +2037 (c = 1, CHCl3); 1H-NMR (400 MHz, CDCl3) δ 9.05 (d, J = 2.0 Hz, 1H), 8.43 (d, J = 9.3 Hz, 1H), 7.66–7.53 (m, 3H), 7.47 (dd, J = 10.8, 5.7 Hz, 1H), 7.33 (t, J = 7.2 Hz, 2H), 7.27 (s, 2H), 7.16 (dd, J = 9.3, 2.6 Hz, 1H), 6.78 (d, J = 7.4 Hz, 1H), 6.66 (d, J = 2.5 Hz, 1H), 5.82 (s, 1H), 4.14–4.07 (m, 1H), 3.56 (dd, J = 29.2, 13.0 Hz, 2H), 3.46–3.34 (m, 1H), 3.17 (t, J = 8.8 Hz, 1H), 2.89 (dd, J = 14.1, 4.4 Hz, 1H), 2.67 (dd, J = 13.9, 6.2 Hz, 1H), 2.54–2.39 (m, 1H), 2.24 (dd, J = 13.8, 9.8 Hz, 1H), 2.02 (td, J = 18.7, 9.4 Hz, 2H), 1.37 (s, 3H). 13C-NMR (125 MHz, CDCl3) δ 180.4, 177.6, 171.0, 153.4, 141.8, 140.6, 135.7, 134.0, 133.2, 133.1, 133.0, 132.6, 131.8, 131.2, 130.6, 129.8, 129.7, 129.4, 127.6, 127.5, 127.4, 125.8, 124.4, 82.8, 74.5, 71.2, 57.5, 54.7, 41.0, 38.0, 21.0, 17.9. LRMS (ESI, m/z): 971.8 [M + H]+. HRMS (ESI, m/z): calcd for C35H29Cl3I2N3NiO4, 971.8487 [M − H]; found 971.8509. The dr was determined by LC-MS using an Eclipse XDB-C18 column (250 × 4.6 mm, 5 µm) (CH3CN/H2O = 65:35, flow rate 1.0 mL/min, λ = 254 nm), tmajor = 17.421 min, tminor = not found, dr > 99:1.
Nickel(II)-(S)-N-(2-benzoyl-4-chlorophenyl)-1-(3,4-dichlorobenzyl)-2-methylpyrrolidine-2-carboxamide/(S)-3-(1-naphthyl)alanine Schiff Base Complex (6g). Red solid (139 mg, yield 92%); mp 182–184 °C; [α]20D = +2432 (c = 1, CHCl3); 1H-NMR (400 MHz, CDCl3) δ 9.12–9.09 (m, 1H), 8.31 (d, J = 9.3 Hz, 1H), 7.80 (t, J = 8.0 Hz, 2H), 7.69 (dd, J = 8.2, 2.0 Hz, 1H), 7.58 (d, J = 8.6 Hz, 1H), 7.42–7.37 (m, 1H), 7.36–7.28 (m, 4H), 7.21 (t, J = 7.7 Hz, 1H), 7.19–7.12 (m, 2H), 7.09 (dd, J = 9.3, 2.6 Hz, 1H), 6.69 (t, J = 7.6 Hz, 1H), 6.45 (d, J = 2.6 Hz, 1H), 5.65 (d, J = 7.7 Hz, 1H), 4.45–4.40 (m, 1H), 4.12–4.04 (m, 1H), 3.83–3.77 (m, 1H), 3.71 (d, J = 13.2 Hz, 1H), 3.67–3.57 (m, 1H), 3.47 (d, J = 13.2 Hz, 1H), 3.30–3.20 (m, 1H), 2.84–2.54 (m, 1H), 2.35–2.25 (m, 1H), 2.13 (q, J = 9.6 Hz, 1H), 2.07–1.95 (m, 1H), 1.41 (s, 3H). 13C-NMR (150 MHz, CDCl3) δ 180.1, 178.1, 170.3, 141.1, 135.6, 134.0, 133.6, 133.1, 132.7, 132.6, 132.4, 132.3, 132.1, 131.5, 131.0, 129.5, 129.4, 128.6, 128.5, 128.4, 128.3, 128.3, 127.5, 127.3, 127.2, 126.3, 125.8, 125.5, 125.4, 123.9, 123.2, 74.2, 71.4, 56.7, 54.9, 41.4, 40.0, 20.7, 17.7. LRMS (ESI, m/z): 752.0 [M − H]. HRMS (ESI, m/z): calcd for C39H31Cl3N3NiO3, 752.0790 [M − H]; found 752.0799. The dr was determined by LC-MS using an Eclipse XDB-C18 column (250 × 4.6 mm, 5 µm) (CH3CN/H2O = 65:35, flow rate 1.0 mL/min, λ = 254 nm), tmajor = 24.156 min, tminor = not found, dr > 99:1.
Nickel(II)-(S)-N-(2-benzoyl-4-chlorophenyl)-1-(3,4-dichlorobenzyl)-2-methylpyrrolidine-2-carboxamide/(S)-3-(3-benzothienyl)alanine Schiff Base Complex (6h). Red solid (142 mg, yield 94%); mp 138–141 °C; [α]20D = +2452 (c = 1, CHCl3); 1H-NMR (400 MHz, CDCl3) δ 9.08–9.05 (m, 1H), 8.35 (d, J = 9.3 Hz, 1H), 7.87 (d, J = 8.0 Hz, 1H), 7.76–7.56 (m, 1H), 7.50 (t, J = 7.5 Hz, 1H), 7.43 (d, J = 8.0 Hz, 1H), 7.38 (t, J = 7.5 Hz, 1H), 7.34–7.28 (m, 3H), 7.19–7.10 (m, 4H), 6.60 (d, J = 2.6 Hz, 1H), 6.49 (d, J = 7.5 Hz, 1H), 4.32 (t, J = 5.5 Hz, 1H), 3.65–3.57 (m, 2H), 3.48–3.41 (m, 1H), 3.23–3.15 (m, 1H), 3.11–2.98 (m, 2H), 2.13–1.90 (m, 3H), 1.82–1.70 (m, 1H), 1.31 (s, 3H). 13C-NMR (125 MHz, CDCl3) δ 180.0, 178.1, 170.6, 141.3, 140.4, 139.1, 135.5, 133.7, 133.0, 132.8, 132.7, 132.5, 130.9, 130.3, 129.9, 129.6, 129.1, 128.8, 127.3, 127.3, 125.7, 125.5, 124.6, 124.3, 124.0, 122.7, 121.9, 74.1, 70.7, 57.0, 54.6, 40.8, 33.8, 20.2, 17.6. LRMS (ESI, m/z): 758.0 [M − H]. HRMS (ESI, m/z): calcd for C37H29Cl3N3NiO3S, 758.0354 [M − H]; found 758.0362. The dr was determined by LC-MS using an Eclipse XDB-C18 column (250 × 4.6 mm, 5 µm) (CH3CN/H2O = 65:35, flow rate 1.0 mL/min, λ = 254 nm), tmajor = 27.103 min, tminor = 24.123, dr > 99:1.
Nickel(II)-(S)-N-(2-benzoyl-4-chlorophenyl)-1-(3,4-dichlorobenzyl)-2-methylpyrrolidine-2-carboxamide/(S)-3-(3-thienyl)alanine Schiff Base Complex (6i). Red solid (126 mg, yield 89%); mp 178–180 °C; [α]20D = +2012 (c = 1, CHCl3); 1H-NMR (400 MHz, CDCl3) δ 9.10 (d, J = 2.1 Hz, 1H), 8.35 (d, J = 9.3 Hz, 1H), 7.61–7.51 (m, 3H), 7.46–7.41 (m, 1H), 7.37–7.30 (m, 3H), 7.14 (dd, J = 9.3, 2.6 Hz, 1H), 7.06–7.04 (m, 1H), 6.86 (dd, J = 4.9, 1.2 Hz, 1H), 6.73–6.69 (m, 1H), 6.63 (d, J = 2.6 Hz, 1H), 4.18 (t, J = 5.1 Hz, 1H), 3.67–3.61 (m, 1H), 3.56–3.46 (m, 2H), 3.22–3.15 (m, 2H), 2.82–2.75 (m, 1H), 2.58–2.44 (m, 1H), 2.25–2.15 (m, 1H), 2.03 (q, J = 9.6 Hz, 1H), 1.97–1.87 (m, 1H), 1.37 (s, 3H). 13C-NMR (125 MHz, CDCl3) δ 180.4, 178.1, 170.7, 141.3, 135.6, 135.5, 133.8, 133.2, 132.9, 132.8, 132.5, 132.4, 130.9, 130.1, 129.6, 129.4, 129.3, 129.1, 127.5, 127.2, 126.2, 125.6, 124.1, 124.1, 74.2, 71.1, 57.2, 54.6, 41.3, 33.9, 20.7, 17.7. LRMS (ESI, m/z): 708.0 [M − H]. HRMS (ESI, m/z): calcd for C33H27Cl3N3NiO3S, 708.0198 [M − H]; found 708.0200. The dr was determined by LC-MS using an Eclipse XDB-C18 column (250 × 4.6 mm, 5 µm) (CH3CN/H2O = 65:35, flow rate 1.0 mL/min, λ = 254 nm), tmajor = 15.723 min, tminor = not found, dr > 99:1.
Nickel(II)-(S)-N-(2-benzoyl-4-chlorophenyl)-1-(3,4-dichlorobenzyl)-2-methylpyrrolidine-2-carboxamide/(S)-2-(3-methoxyphenyl)glycine Schiff Base Complex (6j). Red solid (124 mg, yield 87%); mp 153–155 °C; [α]20D = +2183 (c = 1, CHCl3); 1H-NMR (400 MHz, CDCl3) δ 9.21–9.17 (m, 1H), 8.24 (d, J = 9.3 Hz, 1H), 7.82–7.78 (m, 1H), 7.58–7.51 (m, 1H), 7.44–7.36 (m, 3H), 7.30 (d, J = 7.5 Hz, 1H), 7.23 (t, J = 7.9 Hz, 1H), 7.16 (dd, J = 9.3, 2.5 Hz, 1H), 7.11–7.05 (m, 2H), 6.83–6.78 (m, 1H), 6.67 (d, J = 2.5 Hz, 1H), 6.15 (d, J = 7.9 Hz, 1H), 4.72 (s, 1H), 4.08–3.99 (m, 1H), 3.84–3.78 (m, 1H), 3.72 (s, 3H), 3.65–3.58 (m, 1H), 3.39–3.31 (m, 1H), 3.26–3.08 (m, 1H), 2.51–2.41 (m, 1H), 2.27–2.08 (m, 2H), 1.50 (s, 3H). 13C-NMR (150 MHz, CDCl3) δ 180.6, 177.2, 171.5, 159.6, 141.1, 139.0, 135.6, 133.8, 133.1, 133.1, 132.9, 132.4, 132.2, 131.0, 129.8, 129.7, 129.5, 128.8, 128.7, 127.5, 126.8, 126.5, 125.8, 124.6, 118.2, 74.5, 74.2, 57.0, 55.2, 55.0, 41.5, 21.0, 18.1. LRMS (ESI, m/z): 718.0 [M − H]. HRMS (ESI, m/z): calcd for C35H29Cl3N3NiO4, 718.0583 [M − H]; found 718.0602. The dr was determined by LC-MS using an Eclipse XDB-C18 column (250 × 4.6 mm, 5 µm) (CH3CN/H2O = 65:35, flow rate 1.0 mL/min, λ = 254 nm), tmajor = 16.728 min, tminor = 18.308, dr = 97:3.
Nickel(II)-(S)-N-(2-benzoyl-4-chlorophenyl)-1-(3,4-dichlorobenzyl)-2-methylpyrrolidine-2-carboxamide/(S)-2-(3-bromophenyl)glycine Schiff Base Complex (6k). Red solid (131 mg, yield 85%); mp 119–121 °C; [α]20D = +2543 (c = 1, CHCl3); 1H-NMR (400 MHz, CDCl3) δ 9.20 (d, J = 2.1 Hz, 1H), 8.24 (d, J = 9.3 Hz, 1H), 8.17 (t, J = 1.9 Hz, 1H), 7.81 (dd, J = 8.2, 2.2 Hz, 1H), 7.62–7.55 (m, 1H), 7.49–7.40 (m, 3H), 7.36 (d, J = 7.9 Hz, 1H), 7.32 (d, J = 7.6 Hz, 1H), 7.22–7.10 (m, 3H), 6.69 (d, J = 2.5 Hz, 1H), 6.17–6.12 (m, 1H), 4.72 (s, 1H), 4.11–4.01 (m, 1H), 3.86–3.81 (m, 1H), 3.67–3.61 (m, 1H), 3.41–3.35 (m, 1H), 3.22–3.10 (m, 1H), 2.57–2.46 (m, 1H), 2.28–2.16 (m, 2H), 1.52 (s, 3H). 13C-NMR (150 MHz, CDCl3) δ 180.6, 176.6, 171.9, 141.2, 139.7, 135.6, 133.8, 133.2, 132.7, 132.6, 132.2, 131.4, 131.1, 130.1, 130.0, 129.8, 129.1, 129.1, 128.9, 127.4, 126.7, 126.5, 125.9, 125.1, 124.7, 122.7, 74.3, 73.8, 57.1, 55.1, 41.6, 21.0, 18.1. LRMS (ESI, m/z): 765.9 [M − H]. HRMS (ESI, m/z): calcd for C34H26BrCl3N3NiO3, 765.9582 [M − H]; found 765.9579. The dr was determined by LC-MS using an Eclipse XDB-C18 column (250 × 4.6 mm, 5 µm) (CH3CN/ H2O = 65:35, flow rate 1.0 mL/min, λ = 254 nm), tmajor = 25.652 min, tminor = 28.939, dr = 98:2.
Nickel(II)-(S)-N-(2-benzoyl-4-chlorophenyl)-1-(3,4-dichlorobenzyl)-2-methylpyrrolidine-2-carboxamide/(S)-2-cyclobutylglycine Schiff Base Complex (6l). Red solid (118 mg, yield 89%); mp 307–308 °C; [α]20D = +3252 (c = 1, CHCl3); 1H-NMR (400 MHz, CDCl3) δ 9.12 (s, 1H), 8.23 (d, J = 9.3 Hz, 1H), 7.70 (d, J = 8.2 Hz, 1H), 7.60–7.38 (m, 3H), 7.29 (t, J = 6.9 Hz, 2H), 7.09 (dd, J = 9.3, 2.5 Hz, 1H), 6.87 (d, J = 7.4 Hz, 1H), 6.58 (d, J = 2.5 Hz, 1H), 4.21–3.95 (m, 1H), 3.82–3.69 (m, 2H), 3.51 (d, J = 13.0 Hz, 1H), 3.40 (t, J = 8.7 Hz, 1H), 3.17–2.88 (m, 1H), 2.67 (q, J = 17.3 Hz, 1H), 2.58–2.33 (m, 3H), 2.29–2.12 (m, 2H), 2.09–1.96 (m, 1H), 1.81 (dd, J = 18.1, 8.2 Hz, 1H), 1.70 (dd, J = 18.3, 9.0 Hz, 2H), 1.44 (s, 3H). 13C-NMR (125 MHz, CDCl3) δ 180.3, 177.2, 169.6, 140.9, 135.8, 133.9, 133.3, 133.1, 133.0, 132.5, 132.3, 131.1, 130.3, 129.8, 129.4, 129.1, 128.1, 128.0, 127.8, 125.8, 124.2, 74.5, 74.0, 57.2, 55.0, 41.9, 40.7, 26.0, 25.6, 20.7, 18.1, 17.5. LRMS (ESI, m/z): 668.0 [M + H]+. HRMS (ESI, m/z): calcd for C32H31Cl3N3NiO3, 668.0604 [M + H]+; found 668.0624. The dr was determined by LC-MS using an Eclipse XDB-C18 column (250 × 4.6 mm, 5 µm) (CH3CN/H2O = 65:35, flow rate 1.0 mL/min, λ = 254 nm), tmajor = 16.283 min, tminor = not found, dr > 99:1.
Nickel(II)-(S)-N-(2-benzoyl-4-chlorophenyl)-1-(3,4-dichlorobenzyl)-2-methylpyrrolidine-2-carboxamide/(S)-2-amino-4,4,4-trifluorobutyric acid Schiff Base Complex (6m). Red solid (121 mg, yield 87%); mp 244–246 °C; [α]20D = +2830 (c = 1, CHCl3); 1H-NMR (400 MHz, CDCl3) δ 9.17 (d, J = 1.8 Hz, 1H), 8.35 (d, J = 9.3 Hz, 1H), 7.66–7.55 (m, 3H), 7.55–7.50 (m, 1H), 7.36 (d, J = 8.1 Hz, 1H), 7.30 (d, J = 6.8 Hz, 1H), 7.17 (dd, J = 9.3, 2.5 Hz, 1H), 6.90 (d, J = 7.4 Hz, 1H), 6.61 (d, J = 2.5 Hz, 1H), 4.23–4.11 (m, 2H), 3.74–3.57 (m, 2H), 3.39 (t, J = 8.7 Hz, 1H), 3.06–2.92 (m, 1H), 2.63–2.37 (m, 2H), 2.21–2.10 (m, 2H), 2.05–1.93 (m, 1H), 1.44 (s, 3H). 13C-NMR (125 MHz, CDCl3) δ 180.4, 177.2, 172.4, 141.9, 135.8, 134.0, 133.2, 133.2, 133.2, 133.1, 132.5, 131.3, 130.8, 129.9, 129.8, 129.7, 127.6, 127.6, 126.8, 125.8, 124.6, 74.9, 64.5, 57.8, 54.8, 41.2, 35.6 (q, J = 28.9 Hz), 20.3, 17.4. LRMS (ESI, m/z): 694.0 [M − H]. HRMS (ESI, m/z): calcd for C30H24Cl3F3N3NiO3, 694.0194 [M − H]; found 694.0203. The dr was determined by LC-MS using an Eclipse XDB-C18 column (250 × 4.6 mm, 5 µm) (CH3CN/H2O = 65:35, flow rate 1.0 mL/min, λ = 254 nm), tmajor = 13.938 min, tminor = 15.440, dr = 99:1.
Nickel(II)-(S)-N-(2-benzoyl-4-chlorophenyl)-1-(3,4-dichlorobenzyl)-2-methylpyrrolidine-2-carboxamide/(S)-norvaline Schiff Base Complex (6n). Red solid (121 mg, yield 92%); mp 244–247 °C; [α]20D = +2842 (c = 1, CHCl3); 1H-NMR (400 MHz, CDCl3) δ 9.14–9.12 (m, 1H), 8.22 (d, J = 9.3 Hz, 1H), 7.75 (dd, J = 8.2, 2.0 Hz, 1H), 7.60–7.51 (m, 2H), 7.50–7.45 (m, 1H), 7.35 (d, J = 8.2 Hz, 1H), 7.33–7.29 (m, 1H), 7.13 (dd, J = 9.3, 2.6 Hz, 1H), 6.89–6.85 (m, 1H), 6.62 (d, J = 2.6 Hz, 1H), 4.09–3.99 (m, 1H), 3.89 (dd, J = 7.6, 3.6 Hz, 1H), 3.77 (d, J = 13.0 Hz, 1H), 3.57 (d, J = 13.1 Hz, 1H), 3.40 (t, J = 8.8 Hz, 1H), 3.22–3.10 (m, 1H), 2.50–2.38 (m, 1H), 2.29–2.16 (m, 2H), 2.15–1.99 (m, 1H), 1.95–1.82 (m, 1H), 1.71 (dd, J = 13.1, 6.3 Hz, 1H), 1.62–1.56 (m, 1H), 1.47 (s, 3H), 0.81 (t, J = 7.2 Hz, 3H). 13C-NMR (150 MHz, CDCl3) δ 180.2, 178.8, 169.6, 140.7, 135.6, 133.7, 133.0, 132.9, 132.8, 132.1, 131.0, 130.1, 129.7, 129.3, 129.1, 127.9, 127.3, 127.3, 125.7, 124.3, 74.3, 70.3, 57.0, 54.8, 41.4, 37.2, 20.8, 18.2, 17.7, 13.7. LRMS (ESI, m/z): 654.1 [M − H]. HRMS (ESI, m/z): calcd for C31H29Cl3N3NiO3, 654.0633 [M − H]; found 654.0643. The dr was determined by LC-MS using an Eclipse XDB-C18 column (250 × 4.6 mm, 5 µm) (CH3CN/H2O = 65:35, flow rate 1.0 mL/min, λ = 254 nm), tmajor = 14.871 min, tminor = not found, dr > 99:1.
Nickel(II)-(S)-N-(2-benzoyl-4-chlorophenyl)-1-(3,4-dichlorobenzyl)-2-methylpyrrolidine-2-carboxamide/(S)-valine Schiff Base Complex (6o). Red solid (122 mg, yield 93%); mp 267–269 °C; [α]20D = +3016 (c = 1, CHCl3); 1H-NMR (400 MHz, CDCl3) δ 9.17 (d, J = 2.1 Hz, 1H), 8.28 (d, J = 9.3 Hz, 1H), 7.65 (dd, J = 8.2, 2.1 Hz, 1H), 7.54 (dt, J = 16.1, 7.9 Hz, 2H), 7.45 (t, J = 6.9 Hz, 1H), 7.31 (dd, J = 7.7, 4.2 Hz, 2H), 7.10 (dd, J = 9.3, 2.6 Hz, 1H), 6.85 (d, J = 7.5 Hz, 1H), 6.61 (d, J = 2.6 Hz, 1H), 4.14–3.97 (m, 1H), 3.83–3.72 (m, 2H), 3.53 (d, J = 13.1 Hz, 1H), 3.40 (t, J = 9.0 Hz, 1H), 3.00 (td, J = 12.5, 4.0 Hz, 1H), 2.53–2.34 (m, 1H), 2.27–2.08 (m, 2H), 1.84 (d, J = 6.6 Hz, 3H), 1.80–1.67 (m, 1H), 1.45 (s, 3H), 0.73 (d, J = 6.8 Hz, 3H). 13C-NMR (125 MHz, CDCl3) δ 180.4, 177.4, 170.3, 141.0, 135.9, 134.0, 133.2, 133.2, 133.0, 132.5, 132.4, 131.2, 130.2, 129.8, 129.5, 129.1, 127.9, 127.9, 127.5, 125.8, 124.2, 75.6, 74.4, 57.3, 54.9, 41.7, 34.4, 20.5, 19.9, 17.8, 17.7. LRMS (ESI, m/z): 656.0 [M + H]+. HRMS (ESI, m/z): calcd for C31H31Cl3N3NiO3, 656.0604 [M + H]+; found 656.0606. The dr was determined by LC-MS with binary pump, photodiode array detector (DAD), using Eclipse XDB-C18 column (250 × 4.6 mm, 5 µm) (CH3CN/H2O = 65:35, flow rate 1.0 mL/min, λ = 254 nm), tmajor = 14.594 min, tminor = not found, dr > 99:1.
Nickel(II)-(S)-N-(2-benzoyl-4-chlorophenyl)-1-(3,4-dichlorobenzyl)-2-methylpyrrolidine-2-carboxamide/(S)-leucine Schiff Base Complex (6p). Red solid (127 mg, yield 95%); mp 156–159 °C; [α]20D = +2731 (c = 1, CHCl3); 1H-NMR (500 MHz, CDCl3) δ 9.14–9.11 (m, 1H), 8.16 (d, J = 9.3 Hz, 1H), 7.80 (dd, J = 8.2, 2.1 Hz, 1H), 7.59–7.55 (m, 1H), 7.53 (t, J = 7.4 Hz, 1H), 7.50–7.45 (m, 1H), 7.36–7.32 (m, 2H), 7.12 (dd, J = 9.3, 2.6 Hz, 1H), 6.88 (d, J = 7.6 Hz, 1H), 6.62 (d, J = 2.6 Hz, 1H), 4.06–3.97 (m, 1H), 3.85 (dd, J = 10.5, 4.1 Hz, 1H), 3.82 (d, J = 13.2 Hz, 1H), 3.54 (d, J = 13.1 Hz, 1H), 3.40 (t, J = 8.8 Hz, 1H), 3.34–3.17 (m, 1H), 2.48–2.34 (m, 2H), 2.28–2.18 (m, 2H), 1.97–1.86 (m, 1H), 1.47 (s, 3H), 1.39–1.32 (m, 1H), 0.83 (d, J = 6.7 Hz, 3H), 0.40 (d, J = 6.5 Hz, 3H). 13C-NMR (125 MHz, CDCl3) δ 180.2, 178.6, 169.0, 140.6, 135.6, 133.7, 133.1, 132.9, 132.7, 132.0, 130.9, 130.1, 129.7, 129.2, 129.1, 127.9, 127.6, 127.4, 125.7, 124.3, 74.1, 69.1, 56.7, 55.1, 46.0, 41.6, 24.3, 23.7, 21.2, 20.8, 17.9. LRMS (ESI, m/z): 668.0 [M − H]. HRMS (ESI, m/z): calcd for C32H31Cl3N3NiO3, 668.0955 [M − H]; found 668.0947. The dr was determined by LC-MS using an Eclipse XDB-C18 column (250 × 4.6 mm, 5 µm) (CH3CN/H2O = 65:35, flow rate 1.0 mL/min, λ = 254 nm), tmajor = 20.065 min, tminor = not found, dr > 99:1.
Nickel(II)-(S)-N-(2-benzoyl-4-chlorophenyl)-1-(3,4-dichlorobenzyl)-2-methylpyrrolidine-2-carboxamide/(S)-methionine Schiff Base Complex (6q). Red solid (127 mg, yield 93%); mp 143–145 °C; [α]20D = +1883 (c = 1, CHCl3); 1H-NMR (400 MHz, CDCl3) δ 9.15–9.11 (m, 1H), 8.23 (d, J = 9.3 Hz, 1H), 7.76–7.71 (m, 1H), 7.62–7.52 (m, 2H), 7.52–7.46 (m, 1H), 7.38–7.34 (m, 1H), 7.34–7.30 (m, 1H), 7.14 (dd, J = 9.3, 2.5 Hz, 1H), 6.90 (d, J = 7.5 Hz, 1H), 6.62 (d, J = 2.5 Hz, 1H), 4.07–3.98 (m, 1H), 3.97–3.92 (m, 1H), 3.81–3.72 (m, 1H), 3.61–3.54 (m, 1H), 3.39 (t, J = 8.9 Hz, 1H), 3.23–3.12 (m, 1H), 3.11–3.03 (m, 1H), 2.65–2.54 (m, 1H), 2.50–2.38 (m, 1H), 2.30–2.14 (m, 3H), 1.99 (s, 3H), 1.93–1.83 (m, 1H), 1.47 (s, 3H). 13C-NMR (150 MHz, CDCl3) δ 180.4, 178.3, 170.3, 141.1, 135.7, 133.9, 133.3, 133.1, 132.9, 132.5, 132.4, 131.2, 130.4, 129.9, 129.6, 129.6, 129.4, 127.9, 127.5, 127.4, 125.9, 124.6, 74.5, 69.8, 57.3, 55.0, 41.6, 35.1, 29.8, 21.2, 18.0, 15.8. LRMS (ESI, m/z): 686.0 [M − H]. HRMS (ESI, m/z): calcd for C31H29Cl3N3NiO3S, 686.0354 [M − H]; found 686.0371. The dr was determined by LC-MS using an Eclipse XDB-C18 column (250 × 4.6 mm, 5 µm) (CH3CN/H2O = 65:35, flow rate 1.0 mL/min, λ = 254 nm), tmajor = 13.877 min, tminor = 15.012, dr = 99:1.
Nickel(II)-(R)-N-(2-benzoyl-4-chlorophenyl)-1-(3,4-dichlorobenzyl)-2-methylpyrrolidine-2-carboxamide/(R)-phenylalanine Schiff Base Complex (6a). Red solid (128 mg, yield 91%); mp 121–124 °C; [α]20D = –1684 (c = 1, CHCl3); 1H-NMR (400 MHz, CDCl3) δ 9.09 (d, J = 2.1 Hz, 1H), 8.34 (d, J = 9.3 Hz, 1H), 7.62–7.56 (m, 2H), 7.56–7.51 (m, 1H), 7.43–7.32 (m, 5H), 7.31–7.29 (m, 1H), 7.16–7.09 (m, 3H), 6.68–6.64 (m, 1H), 6.62 (d, J = 2.6 Hz, 1H), 4.24 (t, J = 5.2 Hz, 1H), 3.65–3.60 (m, 1H), 3.51–3.45 (m, 1H), 3.36–3.26 (m, 1H), 3.20–3.09 (m, 2H), 2.83–2.76 (m, 1H), 2.41–2.27 (m, 1H), 2.16–2.05 (m, 1H), 2.05–1.95 (m, 1H), 1.88–1.77 (m, 1H), 1.35 (s, 3H). 13C-NMR (125 MHz, CDCl3) δ 180.3, 177.9, 170.6, 141.3, 135.6, 133.8, 133.2, 132.9, 132.8, 132.4, 132.4, 130.9, 130.3, 130.1, 129.6, 129.3, 129.1, 128.9, 127.7, 127.5, 127.3, 125.6, 124.1, 74.1, 71.6, 57.1, 54.5, 41.2, 39.6, 20.5, 17.6. LRMS (ESI, m/z): 702.0 [M − H]. HRMS (ESI, m/z): calcd for C35H29Cl3N3NiO3, 702.0633 [M − H]; found 702.0650. The dr was determined by LC-MS using an Eclipse XDB-C18 column (250 × 4.6 mm, 5 µm) (CH3CN/H2O = 65:35, flow rate 1.0 mL/min, λ = 254 nm), tmajor = 15.665 min, tminor = not found, dr > 99:1.
Nickel(II)-(R)-N-(2-benzoyl-4-chlorophenyl)-1-(3,4-dichlorobenzyl)-2-methylpyrrolidine-2-carboxamide/(R)-2-methoxyphenylalanine Schiff Base Complex (6b). Red solid (129 mg, yield 88%); mp 112–114 °C; [α]20D = –1818 (c = 1, CHCl3); 1H-NMR (500 MHz, CDCl3) δ 9.01 (d, J = 2.0 Hz, 1H), 8.37 (d, J = 9.3 Hz, 1H), 7.60–7.53 (m, 2H), 7.51 (t, J = 7.5 Hz, 1H), 7.39 (t, J = 7.4 Hz, 1H), 7.36–7.32 (m, 1H), 7.30 (d, J = 8.1 Hz, 2H), 7.21 (dd, J = 7.4, 1.3 Hz, 1H), 7.11 (dd, J = 9.3, 2.6 Hz, 1H), 6.97 (t, J = 7.4 Hz, 1H), 6.86 (dd, J = 11.1, 8.1 Hz, 2H), 6.63 (d, J = 2.6 Hz, 1H), 4.15 (t, J = 4.9 Hz, 1H), 3.52 (dd, J = 30.2, 13.0 Hz, 2H), 3.31–3.23 (m, 4H), 3.19 (dd, J = 13.6, 5.0 Hz, 1H), 3.09 (t, J = 8.9 Hz, 1H), 2.91 (dd, J = 13.6, 4.9 Hz, 1H), 2.33–2.20 (m, 1H), 2.10–2.02 (m, 1H), 1.95 (dd, J = 19.5, 9.9 Hz, 1H), 1.84–1.72 (m, 1H), 1.32 (s, 3H). 13C-NMR (125 MHz, CDCl3) δ 180.4, 178.4, 170.9, 158.3, 141.2, 135.8, 134.0, 133.5, 133.0, 132.9, 132.7, 132.6, 132.3, 131.0, 130.0, 129.8, 129.3, 129.2, 129.2, 128.3, 127.9, 127.6, 125.6, 124.3, 124.1, 121.3, 110.5, 74.5, 71.9, 57.5, 54.7, 54.5, 41.3, 34.6, 20.8, 17.9. LRMS (ESI, m/z): 734.0 [M + H]+. HRMS (ESI, m/z): calcd for C36H33Cl3N3NiO4, 734.0885, [M + H]+; found 734.0887. The dr was determined by LC-MS using an Eclipse XDB-C18 column (250 × 4.6 mm, 5 µm) (CH3CN/H2O = 65:35, flow rate 1.0 mL/min, λ = 254 nm), tmajor = 19.227 min, tminor = not found, dr > 99:1.
Nickel(II)-(R)-N-(2-benzoyl-4-chlorophenyl)-1-(3,4-dichlorobenzyl)-2-methylpyrrolidine-2-carboxamide/(R)-3-methoxyphenylalanine Schiff Base Complex (6c). Red solid (131 mg, yield 93%); mp 104–106 °C; [α]20D = –2923 (c = 1, CHCl3); 1H-NMR (400 MHz, CDCl3) δ 9.08 (d, J = 2.0 Hz, 1H), 8.33 (d, J = 9.3 Hz, 1H), 7.62–7.47 (m, 3H), 7.40–7.28 (m, 3H), 7.26–7.18 (m, 1H), 7.12 (dd, J = 9.3, 2.6 Hz, 1H), 6.88 (dd, J = 8.3, 2.3 Hz, 1H), 6.67 (d, J = 7.5 Hz, 1H), 6.60 (d, J = 2.6 Hz, 2H), 6.55 (d, J = 7.9 Hz, 1H), 4.21 (t, J = 5.3 Hz, 1H), 3.65 (s, 3H), 3.55 (dd, J = 59.3, 13.1 Hz, 2H), 3.45–3.31 (m, 1H), 3.26–3.03 (m, 2H), 2.81 (dd, J = 13.8, 5.1 Hz, 1H), 2.46 (dq, J = 14.1, 7.2 Hz, 1H), 2.25–2.11 (m, 1H), 2.07–1.96 (m, 1H), 1.95–1.78 (m, 1H), 1.35 (s, 3H). 13C-NMR (125 MHz, CDCl3) δ 180.6, 178.3, 170.9, 141.5, 135.8, 135.7, 134.0, 133.4, 133.1, 133.0, 132.7, 132.6, 131.1, 130.3, 129.8, 129.6, 129.5, 129.3, 127.7, 127.4, 126.4, 125.8, 124.3, 124.3, 74.4, 71.3, 57.4, 54.8, 41.5, 34.1, 20.9, 17.9. LRMS (ESI, m/z): 734.0 [M + H]+. HRMS (ESI, m/z): calcd for C36H33Cl3N3NiO4, 734.0711 [M + H]+; found 734.0718. The dr was determined by LC-MS using an Eclipse XDB-C18 column (250 × 4.6 mm, 5 µm) (CH3CN/H2O = 65:35, flow rate 1.0 mL/min, λ = 254 nm), tmajor = 16.492 min, tminor = not found, dr > 99:1.
Nickel(II)-(R)-N-(2-benzoyl-4-chlorophenyl)-1-(3,4-dichlorobenzyl)-2-methylpyrrolidine-2-carboxamide/(R)-3-methylphenylalanine Schiff Base Complex (6d). Red solid (129 mg, yield 90%); mp 105–107 °C; [α]20D = –1898 (c = 1, CHCl3); 1H-NMR (400 MHz, CDCl3) δ 9.06 (d, J = 1.5 Hz, 1H), 8.34 (d, J = 9.3 Hz, 1H), 7.55 (dt, J = 17.5, 7.4 Hz, 3H), 7.38 (t, J = 7.5 Hz, 1H), 7.31 (t, J = 6.7 Hz, 2H), 7.23 (t, J = 7.5 Hz, 1H), 7.17–7.09 (m, 2H), 6.87 (d, J = 7.8 Hz, 2H), 6.63 (dd, J = 12.2, 5.1 Hz, 2H), 4.21 (t, J = 5.1 Hz, 1H), 3.53 (dd, J = 47.7, 13.1 Hz, 2H), 3.31 (td, J = 12.6, 5.8 Hz, 1H), 3.11 (dd, J = 13.7, 4.7 Hz, 2H), 2.75 (dd, J = 13.7, 5.4 Hz, 1H), 2.47–2.31 (m, 1H), 2.27 (s, 3H), 2.13–2.06 (m, 1H), 1.99 (dd, J = 19.4, 9.7 Hz, 1H), 1.84 (dt, J = 14.9, 6.7 Hz, 1H), 1.33 (s, 3H). 13C-NMR (125 MHz, CDCl3) δ 180.4, 178.2, 170.7, 141.5, 138.7, 135.8, 135.6, 134.0, 133.3, 133.1, 133.0, 132.6, 132.6, 131.3, 131.1, 130.2, 129.8, 129.5, 129.2, 128.9, 128.4, 127.9, 127.7, 127.5, 127.5, 125.7, 124.2, 74.3, 71.8, 57.3, 54.7, 41.2, 39.8, 21.6, 20.6, 17.8. LRMS (ESI, m/z): 718.0 [M + H]+. HRMS (ESI, m/z): calcd for C36H33Cl3N3NiO3, 718.0762 [M + H]+; found 718.0773. The dr was determined by LC-MS using an Eclipse XDB-C18 column (250 × 4.6 mm, 5 µm) (CH3CN/H2O = 65:35, flow rate 1.0 mL/min, λ = 254 nm), tmajor = 21.866 min, tminor = not found, dr > 99:1.
Nickel(II)-(R)-N-(2-benzoyl-4-chlorophenyl)-1-(3,4-dichlorobenzyl)-2-methylpyrrolidine-2-carboxamide/(R)-4-fluorophenylalanine Schiff Base Complex (6e). Red solid (129 mg, yield 89%); mp 235–237 °C; [α]20D = −2300 (c = 1, CHCl3); 1H-NMR (400 MHz, CDCl3) δ 9.06 (d, J = 1.5 Hz, 1H), 8.32 (d, J = 9.3 Hz, 1H), 7.56 (p, J = 7.5 Hz, 3H), 7.43 (t, J = 7.3 Hz, 1H), 7.37–7.28 (m, 2H), 7.13 (dd, J = 9.3, 2.5 Hz, 1H), 7.05 (d, J = 7.0 Hz, 4H), 6.73 (d, J = 7.5 Hz, 1H), 6.62 (d, J = 2.5 Hz, 1H), 4.21 (t, J = 5.0 Hz, 1H), 3.54 (dd, J = 47.7, 13.0 Hz, 2H), 3.34 (td, J = 12.6, 6.0 Hz, 1H), 3.20–3.01 (m, 2H), 2.74 (dd, J = 14.0, 5.4 Hz, 1H), 2.45–2.26 (m, 1H), 2.26–2.12 (m, 1H), 2.00 (dd, J = 19.3, 9.6 Hz, 1H), 1.90–1.83 (m, 1H), 1.35 (s, 3H). 13C-NMR (125 MHz, CDCl3) δ 180.5, 177.9, 170.9, 163.4, 161.8, 141.5, 135.7, 133.9, 133.3, 133.1, 133.0, 132.7, 132.6, 131.9, 131.9, 131.5, 131.5, 131.1, 130.4, 129.8, 129.6, 129.3, 127.7, 127.6, 127.4, 125.9, 124.3, 116.0, 115.8, 74.3, 71.6, 57.4, 54.6, 41.2, 38.8, 20.7, 17.8. LRMS (ESI, m/z): 722.0 [M + H]+. HRMS (ESI, m/z): calcd for C35H30Cl3FN3NiO3, 722.0511 [M + H]+; found 722.0517. The dr was determined by LC-MS using an Eclipse XDB-C18 column (250 × 4.6 mm, 5 µm) (CH3CN/H2O = 65:35, flow rate 1.0 mL/min, λ = 254 nm), tmajor = 18.447 min, tminor = not found, dr > 99:1.
Nickel(II)-(R)-N-(2-benzoyl-4-chlorophenyl)-1-(3,4-dichlorobenzyl)-2-methylpyrrolidine-2-carboxamide/(R)-3,5-diiodotyrosine Schiff Base Complex (6f): red solid (169 mg, yield 87%); mp 233–235 °C; [α]20D = –1774 (c = 1, CHCl3); 1H-NMR (400 MHz, CDCl3) δ 9.08–9.05 (m, 1H), 8.47–8.42 (m, 1H), 7.63–7.59 (m, 2H), 7.59–7.55 (m, 1H), 7.52–7.46 (m, 1H), 7.37–7.32 (m, 2H), 7.29–7.27 (m, 2H), 7.20–7.15 (m, 1H), 6.79 (d, J = 7.4 Hz, 1H), 6.67 (d, J = 2.5 Hz, 1H), 5.83 (s, 1H), 4.14–4.10 (m, 1H), 3.57 (q, J = 13.8 Hz,2H), 3.48–3.38 (m, 1H), 3.23–3.16 (m, 1H), 2.94–2.87 (m, 1H), 2.73–2.65 (m, 1H), 2.56–2.46 (m, 1H), 2.31–2.19 (m, 1H), 2.10–1.96 (m, 2H), 1.38 (s, 3H). 13C-NMR (150 MHz, CDCl3) δ 180.4, 177.6, 171.0, 153.4, 141.7, 140.6, 135.6, 134.0, 133.2, 133.1, 133.0, 132.6, 131.8, 131.1, 130.6, 129.8, 129.7, 129.4, 127.6, 127.5, 127.4, 125.8, 124.4, 82.8, 74.5, 71.2, 57.5, 54.6, 41.0, 38.0, 21.0, 17.9. LRMS (ESI, m/z): 969.8 [M − H]. HRMS (ESI, m/z): calcd for C35H28Cl3I2N3NiO4, 969.8515 [M − H]; found 969.8511. The dr was determined by LC-MS using an Eclipse XDB-C18 column (250 × 4.6 mm, 5 µm) (CH3CN/H2O = 65:35, flow rate 1.0 mL/min, λ = 254 nm), tmajor = 17.454 min, tminor = not found, dr > 99:1.
Nickel(II)-(R)-N-(2-benzoyl-4-chlorophenyl)-1-(3,4-dichlorobenzyl)-2-methylpyrrolidine-2-carboxamide/(R)-3-(1-naphthyl)alanine Schiff Base Complex (6g). Red solid (142 mg, yield 94%); mp 114–116 °C; [α]20D = −1812 (c = 1, CHCl3); 1H-NMR (400 MHz, CDCl3) δ 9.09 (d, J = 2.0 Hz, 1H), 8.30 (d, J = 9.3 Hz, 1H), 7.78 (t, J = 8.0 Hz, 2H), 7.68 (dd, J = 8.2, 2.0 Hz, 1H), 7.57 (d, J = 8.6 Hz, 1H), 7.43–7.35 (m, 1H), 7.30 (dd, J = 15.6, 7.6 Hz, 4H), 7.23–7.11 (m, 3H), 7.08 (dd, J = 9.3, 2.6 Hz, 1H), 6.68 (t, J = 7.6 Hz, 1H), 6.44 (d, J = 2.6 Hz, 1H), 5.64 (d, J = 7.7 Hz, 1H), 4.41 (dd, J = 8.3, 4.3 Hz, 1H), 4.07 (dd, J = 14.2, 8.5 Hz, 1H), 3.79 (dd, J = 14.1, 4.3 Hz, 1H), 3.70 (d, J = 13.2 Hz, 1H), 3.61 (td, J = 13.1, 5.9 Hz, 1H), 3.46 (d, J = 13.2 Hz, 1H), 3.24 (t, J = 9.1 Hz, 1H), 2.83–2.53 (m, 1H), 2.39–2.22 (m, 1H), 2.12 (dd, J = 19.8, 9.6 Hz, 1H), 2.00 (dt, J = 15.0, 8.9 Hz, 1H), 1.40 (s, 3H). 13C-NMR (125 MHz, CDCl3) δ 180.3, 178.3, 170.5, 141.3, 135.8, 134.2, 133.8, 133.3, 133.0, 132.8, 132.6, 132.5, 132.3, 131.7, 131.2, 129.8, 129.6, 128.8, 128.7, 128.6, 128.6, 128.5, 127.7, 127.5, 127.4, 126.5, 126.1, 125.7, 125.6, 124.1, 123.4, 74.4, 71.6, 56.9, 55.1, 41.6, 40.2, 20.9, 17.9. LRMS (ESI, m/z): 754.0 [M + H]+. HRMS (ESI, m/z): calcd for C39H33Cl3N3NiO3, 754.0763 [M + H]+; found 754.0779. The dr was determined by LC-MS using an Eclipse XDB-C18 column (250 × 4.6 mm, 5 µm) (CH3CN/H2O = 65:35, flow rate 1.0 mL/min, λ = 254 nm), tmajor = 23.723 min, tminor = not found, dr > 99:1.
Nickel(II)-(R)-N-(2-benzoyl-4-chlorophenyl)-1-(3,4-dichlorobenzyl)-2-methylpyrrolidine-2-carboxamide/(R)-3-(3-benzothienyl)alanine Schiff Base Complex (6h). Red solid (148 mg, yield 98%); mp 127–129 °C; [α]20D = –1836 (c = 1, CHCl3); 1H-NMR (400 MHz, CDCl3) δ 9.06 (d, J = 2.0 Hz, 1H), 8.34 (d, J = 9.3 Hz, 1H), 7.86 (d, J = 8.0 Hz, 1H), 7.57 (dd, J = 8.2, 2.0 Hz, 1H), 7.49 (t, J = 7.5 Hz, 1H), 7.45–7.34 (m, 2H), 7.30 (dd, J = 11.9, 6.2 Hz, 3H), 7.19–7.08 (m, 4H), 6.59 (d, J = 2.6 Hz, 1H), 6.48 (d, J = 7.5 Hz, 1H), 4.31 (t, J = 5.5 Hz, 1H), 3.71–3.59 (m, 1H), 3.51 (dd, J = 57.6, 9.8 Hz, 2H), 3.18 (dd, J = 14.5, 4.7 Hz, 1H), 3.11–2.97 (m, 2H), 2.12–1.90 (m, 3H), 1.81–1.69 (m, 1H), 1.30 (s, 3H). 13C-NMR (125 MHz, CDCl3) δ 180.3, 178.3, 170.8, 141.5, 140.6, 139.3, 135.7, 133.9, 133.2, 133.0, 132.9, 132.7, 131.1, 130.5, 130.1, 129.8, 129.3, 129.0, 127.5, 127.5, 125.9, 125.8, 124.8, 124.5, 124.3, 122.9, 122.1, 74.3, 70.9, 57.2, 54.8, 41.0, 34.0, 20.4, 17.8. LRMS (ESI, m/z): 760.0 [M + H]+. HRMS (ESI, m/z): calcd for C37H31Cl3N3NiO3S, 760.0326 [M + H]+; found 760.0333. The dr was determined by LC-MS using an Eclipse XDB-C18 column (250 × 4.6 mm, 5 µm) (CH3CN/H2O = 65:35, flow rate 1.0 mL/min, λ = 254 nm), tmajor = 27.103 min, tminor = not dound, dr > 99:1.
Nickel(II)-(R)-N-(2-benzoyl-4-chlorophenyl)-1-(3,4-dichlorobenzyl)-2-methylpyrrolidine-2-carboxamide/(R)-3-(3-thienyl)alanine Schiff Base Complex (6i). Red solid (128 mg, yield 92%); mp 208–210 °C; [α]20D = −2419 (c = 1, CHCl3); 1H-NMR (400 MHz, CDCl3) δ 9.09 (d, J = 2.1 Hz, 1H), 8.34 (d, J = 9.3 Hz, 1H), 7.63–7.49 (m, 3H), 7.46–7.39 (m, 1H), 7.38–7.28 (m, 3H), 7.13 (dd, J = 9.3, 2.6 Hz, 1H), 7.04 (d, J = 1.8 Hz, 1H), 6.86 (dd, J = 4.9, 1.2 Hz, 1H), 6.70 (d, J = 7.7 Hz, 1H), 6.62 (d, J = 2.6 Hz, 1H), 4.18 (t, J = 5.1 Hz, 1H), 3.63 (d, J = 13.1 Hz, 1H), 3.50 (dq, J = 11.9, 5.9 Hz, 2H), 3.25–3.05 (m, 2H), 2.77 (dd, J = 14.3, 5.4 Hz, 1H), 2.62–2.41 (m, 1H), 2.29–2.12 (m, 1H), 2.09–1.98 (m, 1H), 1.96–1.84 (m, 1H), 1.36 (s, 3H). 13C-NMR (125 MHz, CDCl3) δ 180.6, 178.3, 170.9, 141.5, 135.8, 135.7, 134.0, 133.4, 133.1, 133.0, 132.7, 132.6, 131.1, 130.3, 129.8, 129.6, 129.5, 129.3, 127.7, 127.4, 126.4, 125.8, 124.3, 124.3, 74.4, 71.3, 57.4, 54.8, 41.5, 34.1, 20.9, 17.9. LRMS (ESI, m/z): 710.0 [M + H]+. HRMS (ESI, m/z): calcd for C33H29Cl3N3NiO3S, 710.0168 [M + H]+; found 710.0175. The dr was determined by LC-MS using an Eclipse XDB-C18 column (250 × 4.6 mm, 5 µm) (CH3CN/H2O = 65:35, flow rate 1.0 mL/min, λ = 254 nm), tmajor = 16.027 min, tminor = not found, dr > 99:1.
Nickel(II)-(R)-N-(2-benzoyl-4-chlorophenyl)-1-(3,4-dichlorobenzyl)-2-methylpyrrolidine-2-carboxamide/(R)-2-(3-methoxyphenyl)glycine Schiff Base Complex (6j). Red solid (99 mg, yield 70%); mp 135–137 °C; [α]20D = –2183 (c = 1, CHCl3); 1H-NMR (400 MHz, CDCl3) δ 9.18 (d, J = 1.6 Hz, 1H), 8.23 (d, J = 9.3 Hz, 1H), 7.79 (d, J = 8.2 Hz, 1H), 7.54 (t, J = 7.6 Hz, 1H), 7.39 (dd, J = 15.2, 7.2 Hz, 3H), 7.29 (d, J = 7.5 Hz, 1H), 7.22 (t, J = 7.9 Hz, 1H), 7.16 (dd, J = 9.3, 2.5 Hz, 1H), 7.11–7.02 (m, 2H), 6.80 (dd, J = 8.2, 2.3 Hz, 1H), 6.66 (d, J = 2.5 Hz, 1H), 6.14 (d, J = 7.9 Hz, 1H), 4.71 (s, 1H), 4.08–3.95 (m, 1H), 3.80 (d, J = 13.0 Hz, 1H), 3.71 (s, 3H), 3.61 (d, J = 13.0 Hz, 1H), 3.34 (t, J = 8.9 Hz, 1H), 3.14 (dd, J = 18.8, 9.9 Hz, 1H), 2.46 (dd, J = 14.1, 9.9 Hz, 1H), 2.19 (dd, J = 17.6, 7.9 Hz, 2H), 1.49 (s, 3H). 13C-NMR (125 MHz, CDCl3) δ 180.80, 177.4, 171.7, 159.8, 141.3, 139.2, 135.8, 134.0, 133.3, 133.3, 133.1, 132.6, 132.4, 131.2, 130.0, 129.9, 129.7, 129.0, 128.9, 127.7, 127.1, 126.7, 126.0, 124.9, 118.4, 113.8, 112.6, 74.7, 74.4, 57.3, 55.4, 55.3, 41.7, 21.2, 18.3. LRMS (ESI, m/z): 720.0 [M + H]+. HRMS (ESI, m/z): calcd for C35H31Cl3N3NiO4, 720.0554 [M + H]+; found 720.0574. The dr was determined by LC-MS using an Eclipse XDB-C18 column (250 × 4.6 mm, 5 µm) (CH3CN/H2O = 65:35, flow rate 1.0 mL/min, λ = 254 nm), tmajor = 16.851 min, tminor = 18.454, dr = 98:2.
Nickel(II)-(R)-N-(2-benzoyl-4-chlorophenyl)-1-(3,4-dichlorobenzyl)-2-methylpyrrolidine-2-carboxamide/(R)-2-(3-bromophenyl)glycine Schiff Base Complex (6k). Red solid (134 mg, yield 87%); mp 102–104 °C; [α]20D = –2069 (c = 1, CHCl3); 1H-NMR (400 MHz, CDCl3) δ 9.18 (d, J = 2.1 Hz, 1H), 8.22 (d, J = 9.3 Hz, 1H), 8.15 (s, 1H), 7.80 (dd, J = 8.2, 2.2 Hz, 1H), 7.57 (t, J = 7.6 Hz, 1H), 7.50–7.38 (m, 3H), 7.32 (dd, J = 18.2, 7.8 Hz, 2H), 7.20–7.08 (m, 3H), 6.67 (d, J = 2.5 Hz, 1H), 6.13 (d, J = 7.8 Hz, 1H), 4.71 (s, 1H), 4.04 (t, J = 10.9 Hz, 1H), 3.72 (dd, J = 78.9, 13.1 Hz, 2H), 3.41–3.29 (m, 1H), 3.14 (dd, J = 21.0, 13.1 Hz, 1H), 2.50 (dd, J = 13.7, 10.0 Hz, 1H), 2.30–2.04 (m, 2H), 1.50 (s, 3H), 13C-NMR (125 MHz, CDCl3) δ 180.8, 176.8, 172.1, 141.4, 139.9, 135.8, 134.0, 133.4, 132.9, 132.9, 132.4, 131.6, 131.3, 130.3, 130.2, 130.0, 129.3, 129.3, 129.1, 127.6, 127.0, 126.7, 126.1, 125.3, 125.0, 122.9, 74.5, 74.1, 57.3, 55.3, 41.8, 21.2, 18.3. LRMS (ESI, m/z): 767.9 [M + H]+. HRMS (ESI, m/z): calcd for C34H28BrCl3N3NiO3, 767.9557 [M + H]+; found 767.9561. The dr was determined by LC-MS using an Eclipse XDB-C18 column (250 × 4.6 mm, 5 µm) (CH3CN/H2O = 65:35, flow rate 1.0 mL/min, λ = 254 nm), tmajor = 25.867 min, tminor = 29.203, dr = 97:3.
Nickel(II)-(R)-N-(2-benzoyl-4-chlorophenyl)-1-(3,4-dichlorobenzyl)-2-methylpyrrolidine-2-carboxamide/(R)-2-cyclobutylglycine Schiff Base Complex (6l). Red solid (121 mg, yield 91%); mp 266–269 °C; [α]20D = –2560 (c = 1, CHCl3); 1H-NMR (400 MHz, CDCl3) δ 9.14 (s, 1H), 8.24 (d, J = 9.3 Hz, 1H), 7.74–7.69 (m, 1H), 7.58–7.49 (m, 2H), 7.49–7.43 (m, 1H), 7.34–7.27 (m, 2H), 7.10 (dd, J = 9.3, 2.5 Hz, 1H), 6.88 (d, J = 7.4 Hz, 1H), 6.60 (d, J = 2.5 Hz, 1H), 4.21–4.05 (m, 1H), 3.84–3.75 (m, 2H), 3.52 (d, J = 13.0 Hz, 1H), 3.45–3.38 (m, 1H), 3.17–3.00 (m, 1H), 2.78–2.60 (m, 1H), 2.59–2.34 (m, 3H), 2.31–2.14 (m, 2H), 2.11–2.09 (m, 1H), 1.91–1.77 (m, 1H), 1.75–1.62 (m, 2H), 1.46 (s, 3H). 13C-NMR (125 MHz, CDCl3) δ 180.1, 177.0, 169.4, 140.7, 135.6, 133.7, 133.1, 132.9, 132.8, 132.3, 132.1, 130.9, 130.0, 129.6, 129.2, 128.9, 127.9, 127.8, 127.5, 125.6, 124.0, 74.3, 73.8, 57.0, 54.8, 41.7, 40.5, 25.8, 25.4, 20.5, 17.9, 17.3. LRMS (ESI, m/z): 666.0 [M − H]. HRMS (ESI, m/z): calcd for C32H29Cl3N3NiO3, 666.0633 [M − H]; found 666.0632. The dr was determined by LC-MS using Eclipse XDB-C18 column (250 × 4.6 mm, 5 µm) (CH3CN/H2O = 65:35, flow rate 1.0 mL/min, λ = 254 nm), tmajor = 16.198 min, tminor = not found, dr > 99:1.
Nickel(II)-(R)-N-(2-benzoyl-4-chlorophenyl)-1-(3,4-dichlorobenzyl)-2-methylpyrrolidine-2-carboxamide/(R)-2-amino-4,4,4-trifluorobutyric acid Schiff Base Complex (6m). Red solid (129 mg, yield 93%); mp 274–276 °C; [α]20D = –3150 (c = 1, CHCl3); 1H-NMR (400 MHz, CDCl3) δ 9.16 (d, J = 1.8 Hz, 1H), 8.35 (d, J = 9.3 Hz, 1H), 7.68–7.47 (m, 4H), 7.36 (d, J = 8.1 Hz, 1H), 7.30 (d, J = 6.8 Hz, 1H), 7.16 (dd, J = 9.3, 2.5 Hz, 1H), 6.90 (d, J = 7.4 Hz, 1H), 6.60 (d, J = 2.5 Hz, 1H), 4.22–4.10 (m, 2H), 3.74–3.49 (m, 2H), 3.38 (t, J = 8.7 Hz, 1H), 3.09–2.80 (m, 1H), 2.63–2.46 (m, 1H), 2.42 (dd, J = 13.7, 9.8 Hz, 1H), 2.23–2.09 (m, 2H), 2.06–1.90 (m, 1H), 1.44 (s, 3H). 13C-NMR (125 MHz, CDCl3) δ 180.5, 177.2, 172.4, 141.9, 135.8, 134.0, 133.2, 133.2, 133.2, 133.1, 132.5, 131.3, 130.8, 129.9, 129.8, 129.7, 127.6, 127.6, 126.8, 125.8, 124.6, 74.9, 64.5, 57.8, 54.8, 41.2, 35.6 (d, J = 29.2 Hz), 20.3, 17.4. LRMS (ESI, m/z): 696.0 [M + H]+. HRMS (ESI, m/z): calcd for C30H26Cl3F3N3NiO3, 696.0164 [M + H]+; found 696.0171. The dr was determined by LC-MS using an Eclipse XDB-C18 column (250 × 4.6 mm, 5 µm) (CH3CN/H2O = 65:35, flow rate 1.0 mL/min, λ = 254 nm), tmajor = 13.464 min, tminor = not found, dr > 99:1.
Nickel(II)-(R)-N-(2-benzoyl-4-chlorophenyl)-1-(3,4-dichlorobenzyl)-2-methylpyrrolidine-2-carboxamide/(R)-norvaline Schiff Base Complex (6n). Red solid (118 mg, yield 90%); mp 227–228 °C; [α]20D = –2430 (c = 1, CHCl3); 1H-NMR (400 MHz, CDCl3) δ 9.11 (d, J = 2.0 Hz, 1H), 8.21 (d, J = 9.3 Hz, 1H), 7.73 (dd, J = 8.2, 2.0 Hz, 1H), 7.61–7.49 (m, 2H), 7.46 (t, J = 7.4 Hz, 1H), 7.31 (dd, J = 15.9, 7.6 Hz, 2H), 7.12 (dd, J = 9.3, 2.6 Hz, 1H), 6.86 (d, J = 7.5 Hz, 1H), 6.60 (d, J = 2.6 Hz, 1H), 4.11–3.98 (m, 1H), 3.87 (dd, J = 7.6, 3.6 Hz, 1H), 3.65 (dd, J = 82.3, 13.0 Hz, 2H), 3.38 (t, J = 8.8 Hz, 1H), 3.25–3.02 (m, 1H), 2.48–2.37 (m, 1H), 2.27–2.14 (m, 2H), 2.13–1.97 (m, 1H), 1.84 (dt, J = 13.1, 8.4 Hz, 1H), 1.69 (dd, J = 13.1, 6.3 Hz, 1H), 1.59–1.49 (m, 1H), 1.45 (s, 3H), 0.79 (t, J = 7.2 Hz, 3H). 13C-NMR (125 MHz, CDCl3) δ 180.4, 179.0, 169.8, 140.9, 135.8, 133.9, 133.3, 133.1, 133.1, 132.4, 131.2, 130.3, 129.9, 129.5, 129.3, 128.1, 127.5, 127.5, 125.9, 124.5, 74.5, 70.5, 57.2, 55.0, 41.6, 37.4, 21.0, 18.4, 17.9, 13.9. LRMS (ESI, m/z): 656.1 [M + H]+. HRMS (ESI, m/z): calcd for C31H31Cl3N3NiO3, 656.0604 [M + H]+; found 656.0601. The dr was determined by LC-MS using an Eclipse XDB-C18 column (250 × 4.6 mm, 5 µm) (CH3CN/H2O = 65:35, flow rate 1.0 mL/min, λ = 254 nm), tmajor = 14.850 min, tminor = 17.260, dr = 98:2.
Nickel(II)-(R)-N-(2-benzoyl-4-chlorophenyl)-1-(3,4-dichlorobenzyl)-2-methylpyrrolidine-2-carboxamide/(R)-valine Schiff Base Complex (6o). Red solid (126 mg, yield 96%); mp 224–226 °C; [α]20D = −2566 (c = 1, CHCl3); 1H-NMR (400 MHz, CDCl3) δ 9.18 (d, J = 2.1 Hz, 1H), 8.29 (d, J = 9.3 Hz, 1H), 7.68–7.64 (m, 1H), 7.60–7.50 (m, 2H), 7.49–7.43 (m, 1H), 7.35–7.30 (m, 2H), 7.12 (dd, J = 9.3, 2.6 Hz, 1H), 6.88–6.84 (m, 1H), 6.62 (d, J = 2.6 Hz, 1H), 4.13–4.01 (m, 1H), 3.82–3.76 (m, 2H), 3.58–3.52 (m, 1H), 3.45–3.38 (m, 1H), 3.07–2.87 (m, 1H), 2.49–2.39 (m, 1H), 2.25–2.10 (m, 2H), 1.86 (d, J = 6.6 Hz, 3H), 1.81–1.70 (m, 1H), 1.46 (s, 3H), 0.75 (d, J = 6.8 Hz, 3H). 13C-NMR (150 MHz, CDCl3) δ 180.2, 177.1, 170.1, 140.8, 135.7, 133.8, 133.0, 133.0, 132.8, 132.3, 132.2, 130.9, 130.0, 129.6, 129.3, 128.9, 127.7, 127.6, 127.3, 125.6, 124.0, 75.4, 74.2, 57.1, 54.7, 41.5, 34.2, 20.3, 19.7, 17.6, 17.5. LRMS (ESI, m/z): 656.0 [M − H]. HRMS (ESI, m/z): calcd for C31H29Cl3N3NiO3, 656.0633 [M − H]; found 656.0629. The dr was determined by LC-MS using an Eclipse XDB-C18 column (250 × 4.6 mm, 5 µm) (CH3CN/H2O = 65:35, flow rate 1.0 mL/min, λ = 254 nm), tmajor = 14.706 min, tminor = not found, dr > 99:1.
Nickel(II)-(R)-N-(2-benzoyl-4-chlorophenyl)-1-(3,4-dichlorobenzyl)-2-methylpyrrolidine-2-carboxamide/(R)-leucine Schiff Base Complex (6p). Red solid (127 mg, yield 95%); mp 126–127 °C; [α]20D = −1898 (c = 1, CHCl3); 1H-NMR (500 MHz, CDCl3) δ 9.11 (d, J = 2.0 Hz, 1H), 8.15 (d, J = 9.3 Hz, 1H), 7.78 (dd, J = 8.2, 2.1 Hz, 1H), 7.60–7.49 (m, 2H), 7.46 (td, J = 7.5, 1.0 Hz, 1H), 7.32 (t, J = 6.8 Hz, 2H), 7.10 (dd, J = 9.3, 2.6 Hz, 1H), 6.87 (d, J = 7.6 Hz, 1H), 6.60 (d, J = 2.6 Hz, 1H), 4.06–3.98 (m, 1H), 3.83 (dd, J = 10.5, 4.1 Hz, 1H), 3.80 (d, J = 13.2 Hz, 1H), 3.53 (d, J = 13.1 Hz, 1H), 3.39 (t, J = 8.8 Hz, 1H), 3.32–3.15 (m, 1H), 2.49–2.31 (m, 2H), 2.29–2.16 (m, 2H), 1.99–1.81 (m, 1H), 1.45 (s, 3H), 1.38–1.32 (m, 1H), 0.81 (d, J = 6.7 Hz, 3H), 0.38 (d, J = 6.5 Hz, 3H). 13C-NMR (125 MHz, CDCl3) δ 180.4, 178.8, 169.2, 140.8, 135.8, 133.9, 133.3, 133.1, 132.9, 132.2, 131.1, 130.3, 129.9, 129.4, 129.3, 128.1, 127.8, 127.6, 125.9, 124.5, 74.4, 69.3, 56.9, 55.3, 46.2, 41.8, 24.5, 23.9, 21.4, 21.0, 18.1. LRMS (ESI, m/z): 669.9 [M + H]+. HRMS (ESI, m/z): calcd for C32H33Cl3N3NiO3, 670.0935 [M + H]+; found 670.0935. The dr was determined by LC-MS using an Eclipse XDB-C18 column (250 × 4.6 mm, 5 µm) (CH3CN/H2O = 65:35, flow rate 1.0 mL/min, λ = 254 nm), tmajor = 19.979 min, tminor = not found, dr > 99:1.
Nickel(II)-(R)-N-(2-benzoyl-4-chlorophenyl)-1-(3,4-dichlorobenzyl)-2-methylpyrrolidine-2-carboxamide/(R)-methionine Schiff Base Complex (6q). Red solid (120 mg, yield 88%); mp 123–125 °C; [α]20D = −2202 (c = 1, CHCl3); 1H-NMR (400 MHz, CDCl3) δ 9.11 (d, J = 1.5 Hz, 1H), 8.21 (d, J = 9.3 Hz, 1H), 7.72 (d, J = 6.7 Hz, 1H), 7.60–7.51 (m, 2H), 7.47 (t, J = 7.4 Hz, 1H), 7.32 (dd, J = 14.6, 7.6 Hz, 2H), 7.13 (dd, J = 9.3, 2.5 Hz, 1H), 6.88 (d, J = 7.5 Hz, 1H), 6.60 (d, J = 2.5 Hz, 1H), 4.09–3.96 (m, 1H), 3.93 (dd, J = 8.3, 3.6 Hz, 1H), 3.66 (dd, J = 74.8, 13.0 Hz, 2H), 3.37 (t, J = 8.9 Hz, 1H), 3.17 (dd, J = 16.5, 10.3 Hz, 1H), 3.09–3.01 (m, 1H), 2.67–2.53 (m, 1H), 2.49–2.37 (m, 1H), 2.19 (dd, J = 15.7, 6.7 Hz, 3H), 1.97 (s, 3H), 1.91–1.77 (m, 1H), 1.45 (s, 3H). 13C-NMR (125 MHz, CDCl3) δ 180.4, 178.3, 170.3, 141.1, 135.7, 133.9, 133.3, 133.2, 132.9, 132.6, 132.4, 131.2, 130.4, 129.9, 129.6, 129.4, 127.9, 127.5, 127.4, 125.9, 124.6, 74.5, 69.8, 57.3, 55.0, 41.6, 35.1, 29.8, 21.3, 18.0, 15.8. LRMS (ESI, m/z): 688.0 [M − H]. HRMS (ESI, m/z): calcd for C31H31Cl3N3NiO3S, 688.0324 [M − H]; found 688.0339. The dr was determined by LC-MS using an Eclipse XDB-C18 column (250 × 4.6 mm, 5 µm) (CH3CN/H2O = 65:35, flow rate 1.0 mL/min, λ = 254 nm), tmajor = 13.870 min, tminor = 14.997, dr = 98:2.
(S)-Phenylalanine (5a). White solid (16.5 mg, yield 88%); mp 273–275 °C; [α]20D = – 38 (c = 1, MeOH); 1H-NMR (500 MHz, D2O) δ 7.41 (m, J = 14.6, 7.2 Hz, 3H), 7.33 (d, J = 7.1 Hz, 2H), 4.00 (dd, J = 7.9, 5.2 Hz, 1H), 3.30 (dd, J = 14.5, 5.2 Hz, 1H), 3.13 (dd, J = 14.5, 8.0 Hz, 1H), 2.00 (s, 1H), 1.96 (s, 2H). 13C-NMR (125 MHz, D2O) δ 173.4, 134.6, 128.8, 128.6, 127.2, 55.5, 35.8, 22.1, 20.7. LRMS (ESI, m/z): 166.0 [M + H]+. HRMS (ESI, m/z): calcd for C9H11NO2, 166.0863 [M + H]+; found 166.0865. The ee was determined by HPLC using an Astec CHIROBIOTIC™ T chiral HPLC column (4.6 mm × 25 cm, 5 μm) (MeOH/H2O = 90/10, λ = 210 nm, 1 mL/min). tS = 7.472 min, tR = not found, ee > 99 %.
X-ray Single Crystal Structure Analysis of (S,2S)-6a: (S,2S)-6a (100 mg) was dissolved in DCM (10 mL) and crystals suitable for X-ray single crystal structure determination were obtained after all the solvent had evaporated at room temperature. The X-ray structure of (S,2S)-6a was resolved at T = 293(2) K: C35H30Cl3N3NiO3, Mr = 705.68, monoclinic. Space group P2 (1), a = 10.1494 (12) Å, b = 15.7644 (19) Å, c = 22.968 (3) Å, α = 90°, β = 90°, γ = 90°, V = 3674.9 (8) Å3, Z = 4. These data can be obtained free of charge from the Cambridge Crystallographic Data Centre via www.ccdc.cam.ac.uk/data_request/cif, the CCDC number is 1472366.

4. Conclusions

In conclusion, we have developed a generalized method for DKR of C,N-unprotected racemic α-amino acids with a novel, stable, and recyclable α-methylproline-derived chiral ligand under operationally convenient conditions. Compared to the reported methods, we realized good to excellent yields and diastereoselectivities of phenyl-substituted glycines. In addition, the substrates scope range includes compounds such as cyclobutyl- and trifluoroethyl-substituted glycine, also with excellent yields and diastereoselectivities. This new approach offers versatile access to various chiral α-amino acids in high yields (up to 98%) with excellent ee values (ee >99%). Particularly noteworthy is that the novel designed α-methylproline-derived chiral ligand is more stable than the previous reported proline-derived chiral ligand.

Supplementary Materials

The Supporting Information contains characterization data Figures S1–S15: HPLC Spectra for dr Determination of (S, 2S)-6; Figures S16–S32: HPLC Spectra for dr Determination of (R, 2R)-6; Figures S33–S34: HPLC Spectra for ee determination; Figures S35–S69: copies of the 1H-NMR, 13C-NMR spectra.

Author Contributions

Conceptualization, S.J.S. and S.B.Z.; methodology, S.J.S.; validation, S.J.S., L.Z.; investigation, S.J.S. and L.Z.; data curation, S.J.S.; writing—original draft preparation, S.J.S.; writing—review and editing, C.L.W. and J.W.; supervision, H.L.; project administration, J.W. and H.L.; funding acquisition, H.L.

Funding

This work is supported the National Natural Science Foundation of China (nos. 21632008, 21602234, 21672231, 21877118, and 81620108027), the Major Project of Chinese National Programs for Fundamental Research and Development (2015CB910304).

Acknowledgments

We gratefully acknowledge financial support from the National Natural Science Foundation of China and the Major Project of Chinese National Programs for Fundamental Research and Development. We would like to thank all the reviewers for their great comments.

Conflicts of Interest

The authors declare no conflict of interest.

References

  1. Ingrid, W.; Hans, M. New naturally occurring amino acids. Angew. Chem. Int. Ed. 1983, 22, 816–828. [Google Scholar]
  2. Victor, J.H.; Guigen, L.; Carrie, H.-L.; Mark, S. Design of peptides, proteins, and peptidomimetics in chi space. Biopolymers 1997, 43, 219–266. [Google Scholar]
  3. Hruby, V.J.; Balse, P.M. Conformational and Topographical Considerations in Designing Agonist Peptidomimetics from Peptide Leads. Curr. Med. Chem. 2000, 7, 945–970. [Google Scholar] [CrossRef] [PubMed]
  4. Vadim, A.S.; Chaozhong, C.; Victor, J.H.; Luc, V.M. Asymmetric synthesis of novel highly sterically constrained (2S,3S)-3-methyl-3-trifluoromethyl- and (2S,3S,4R)-3-trifluoromethyl-4-methylpyroglutamic acids. Tetrahedron 1999, 55, 12045–12058. [Google Scholar]
  5. Cowell, S.M.; Lee, Y.S.; Cain, J.P.; Hruby, V.J. Exploring Ramachandran and Chi Space: Conformationally constrained amino acids and peptides in the design of bioactive polypeptide ligands. Curr. Med. Chem. 2004, 11, 2785–2798. [Google Scholar] [CrossRef]
  6. Yoshiharu, I.; Ichiro, C.; Tamio, I. Production and utilization of amino acids. Angew. Chem. Int. Ed. Engl. 1978, 17, 176–183. [Google Scholar]
  7. Janusz, J.; Adam, G. Optically active N-protected α-amino aldehydes in organic synthesis. Chem. Rev. 1989, 89, 149–164. [Google Scholar]
  8. Gary, M.C.; Herbert, F.S. Asymmetric Synthesis: Construction of Chiral Molecules Using Amino Acids; Wiley: New York, NY, USA, 1987; p. 393. [Google Scholar]
  9. Shengbin, Z.; Jiang, W.; Daizong, L.; Fei, Z.; Hong, L. Enantioselective synthesis of 2-substitued-tetrahydroisoquinolin-1-yl glycine derivatives via oxidative cross-dehydrogenative coupling of tertiary amines and chiral nickel(II) glycinate. J. Org. Chem. 2013, 78, 11204–11212. [Google Scholar]
  10. Lijun, Z.; Guiheng, W.; Can, X.; Lei, Z.; Jianbo, H.; Yunsheng, D.; Hongbo, L.; Guobing, Z.; Kilwon, C.; Longzhen, Q. Chirality detection of amino acid enantiomers by organic electrochemical transistor. Arabian J. Chem. 2016, 9, 960–965. [Google Scholar]
  11. Pravin, G.I.; Kripal, S.; Hari, C.B. Enantioselective polymeric composite membrane for optical resolution of racemic mixtures of α-amino acids. Sep. Sci. Tech. 2011, 46, 1898–1907. [Google Scholar]
  12. Pravin, G.I.; Hari, C.B.; Srivastava, D.N.; Babulal, R.; Kripal, S. Preparation of thin film polymer composite membranes for optical resolution of racemic mixture of α-amino acids. Sep. Sci. Tech. 2013, 48, 1777–1787. [Google Scholar]
  13. Kripal, S.; Pravin, G.I.; Jayesh, C.; Harshad, B.; Amit, B.; Hari, C.B. Resolution of racemic mixture of α-amino acid derivative through composite membrane. J. Memb. Sci. 2011, 378, 531–540. [Google Scholar]
  14. Kripal, S.; Pravin, G.I.; Hari, C.B.; Amit, B.; Harshad, B. Optical resolution of α-amino acids by reverse osmosis using enantioselective polymer membrane containing chiral metal-schiff base complex. Sep. Sci. Tech. 2010, 45, 1374–1384. [Google Scholar]
  15. Hu, H.; WenJun, X.; Jing-Yu, J.; JoonHee, H.; Hyun-Jae, S.; Wonjae, L. A convenient method for the enantiomeric separation of α-amino acid esters as benzophenone imine schiff base derivatives. Arch. Pharm. Res. 2012, 35, 1015–1019. [Google Scholar]
  16. Sonia, K.; Juan, M.P.; Javier, G.; Angel, M.N.; Cecilia, B.C. Synthesis and evaluation of a chiral stationary phase based on quinine: Enantioresolution of dinitrophenyl derivatives of α-amino acids. J. Chrom. A. 2011, 1218, 3660–3668. [Google Scholar]
  17. Sonia, K.; Carlos, A.F.; Leonardo, G.G.; Cecilia, B.C. Enantioseparation of α-amino acids by means of Cinchona alkaloids as selectors in chiral ligand-exchange chromatography. J. Chrom. A. 2013, 1298, 103–108. [Google Scholar]
  18. Michael, B.; Klaus, D.; Tilo, H.; Bernhard, H.; Maria, K.; Rainer, S.; Thomas, Z. Industrial methods for the production of optically active intermediates. Angew. Chem. Int. Ed. 2004, 43, 788–824. [Google Scholar]
  19. Dean, B.; Doug, E.F.; Erick, M.C. Efficient enantioselective additions of terminal alkynes and aldehydes under operationally convenient conditions. Org. Lett. 2002, 4, 2605–2606. [Google Scholar]
  20. Vadim, A.S.; Gerus, I.I.; Yagupolskii, Y.L.; Kukhar, V.P. Fluorine-containing amino-acids. 3. alpha-trifluoromethylamino-acids. Zh. Org. Khim. 1987, 23, 2308–2313. [Google Scholar]
  21. Alexander, S.; Natalia, V.; Andrey, M.; Michael, B.; Nobuhiro, Y.; Hidehiro, U.; Taizo, O.; Dmitrii, O.B.; Vadim, A.S. Convenient asymmetric synthesis of β-substituted α,α-difluoro-β-amino acids via Reformatsky reaction between Davis’ N-sulfinylimines and ethyl bromodifluoroacetate. J. Org. Chem. 2003, 68, 7448–7454. [Google Scholar]
  22. Manabu, Y.; Hisanori, U.; Vadim, A.S. Thermal 1,3-proton shift reaction and its application for operationally convenient and improved synthesis of α-(trifluoromethyl)benzylamine. J. Fluo. Chem. 2007, 128, 736–739. [Google Scholar]
  23. Xing, Y.; Guojian, L.; Vladimir, B.B. Benzotetramisole-catalyzed dynamic kinetic resolution of azlactones. Org. Lett. 2010, 12, 892–895. [Google Scholar]
  24. Jianfeng, H.; Li, D. Asymmetric synthesis of β,γ-unsaturated α-amino acids via efficient kinetic resolution with cinchona alkaloids. Bioor. Med. Chem. Lett. 2009, 19, 3856–3858. [Google Scholar]
  25. D’Arrigo, P.; Cerioli, L.; Fiorati, A.; Servi, S.; Viani, F.; Tessaro, D. Naphthyl-l-α-amino acids via chemo-enzymatic dynamic kinetic resolution. Tetrahedron 2012, 23, 938–944. [Google Scholar] [CrossRef]
  26. Joong-Suk, O.; Ji-Woong, L.; Tae, H.R.; Jae, H.L.; Choong, E.S. Self-association free bifunctional thiourea organocatalysts: Synthesis of chiral α-amino acids via dynamic kinetic resolution of racemic azlactones. Org. Biomol. Chem. 2012, 10, 1052. [Google Scholar]
  27. Divya, K.; Prasun, B.; Suryaprakash, N. Discrimination of α-amino acids using green tea flavonoid (−)-epigallocatechin gallate as a chiral solvating agent. J. Org. Chem. 2013, 78, 2373–2378. [Google Scholar]
  28. Yun, S.C.; SeHee, P.; Yong, S.P. Stereoselective substitution of configurationally labile α-bromo aryl­acetates with amines and az­lactones by L-threonine-mediated crystallization-induced dynamic resolution. Bull. Korean Chem. Soc. 2014, 35, 265–268. [Google Scholar]
  29. Eri, T.; Atsushi, T.; Takayoshi, N.; Isamu, S. Nonenzymatic, enantioconvergent dynamic kinetic resolution (DKR) of racemic 2-(1H-Pyrrol-1-yl)alkanoic acids as α-amino acid equivalents. Chem. Lett. 2015, 44, 1768–1770. [Google Scholar]
  30. Nicholas, J.T. Deracemisation methods. Curr. Opin. Chem. Biol. 2010, 14, 115–121. [Google Scholar]
  31. Hélène, P. Organocatalyzed dynamic kinetic resolution. Adv. Synth. Catal. 2011, 353, 659–676. [Google Scholar]
  32. Barbara, S.; Kurt, F.; Wolfgang, K. Enzymatic racemisation and its application to synthetic biotransformations. Adv. Synth. Catal. 2003, 345, 653–666. [Google Scholar]
  33. Oliver, M.; Stefan, V.; Andreas, B.; Karlheinz, D. Development of dynamic kinetic resolution processes for biocatalytic production of natural and nonnatural L-amino acids. Org. Process. Res. Dev. 2002, 6, 452–457. [Google Scholar]
  34. Vadim, A.S.; Trevor, K.E.; Hisanori, U.; Taizo, O. Resolution/deracemization of chiral α-amino acids using resolving reagents with flexible stereogenic centers. J. Am. Chem. Soc. 2009, 131, 7208–7209. [Google Scholar]
  35. Vadim, A.S.; Hisanori, U.; Manabu, Y.; Shekar, M.; Jennifer, S.H.; Daniel, A.S. Phenomenon of optical self-purification of chiral non-racemic compounds. J. Am. Chem. Soc. 2007, 129, 12112–12113. [Google Scholar]
  36. José, L.A.; Alexander, E.S.; Hiroki, M.; Tatsunori, S.; Vadim, A.S. Synthesis of fluorine-containing α-amino acids in enantiomerically pure form via homologation of Ni(II) complexes of glycine and alanine Schiff bases. J. Fluo. Chem. 2013, 155, 21–38. [Google Scholar]
  37. Manuel, J.; Xia, C.; José, L.A.; Carina, M.; Carsten, B.; Hong, L.; Vadim, A.S. Asymmetric synthesis of α-amino acids under operationally convenient conditions. Adv. Synth. Catal. 2014, 356, 2203–2208. [Google Scholar]
  38. Ryosuke, T.; Akie, K.; Aki, K.; Tatsunori, S.; Hiroki, M.; Kunisuke, I.; Kenichi, A.; Shuni, W.; José, L.A.; Vadim, A.S. Chemical dynamic kinetic resolution and S/R interconversion of unprotected α-amino acids. Angew. Chem. Int. Ed. Engl. 2014, 53, 12214–12217. [Google Scholar]
  39. Jia, L.; Shengbin, Z.; Jiang, W.; Aki, K.; Hiroki, M.; Vadim, A.S.; Hong, L. Asymmetric synthesis of aromatic and heteroaromatic α-amino acids using a recyclable axially chiral ligand. Eur. J. Org. Chem. 2016, 2016, 999–1006. [Google Scholar]
  40. Soon, M.S.; Kimia, M.; Alan, J.L.; Jik, C. Highly stereoselective recognition and deracemization of amino acids by supramolecular self-assembly. Angew. Chem. Int. Ed. Engl. 2014, 53, 829–832. [Google Scholar]
  41. Jian, H.; Suhua, L.; Youqian, D.; Haiyan, F.; Brian, N.L.; Jillian, E.S.; Anna, H.; Jin-Quan, Y. Ligand-controlled C(sp3)–H arylation and olefination in synthesis of unnatural chiral α–amino acids. Science 2014, 343, 1216–1220. [Google Scholar]
  42. Hyunjung, P.; Kwan, M.K.; Areum, L.; Sihyun, H.; Wonwoo, N.; Jik, C. Bioinspired chemical inversion of L-amino acids to D-amino acids. J. Am. Chem. Soc. 2007, 129, 1518–1519. [Google Scholar]
  43. Shuni, W.; Shengbin, Z.; Jiang, W.; Yong, N.; Aki, K.; Hiroki, M.; José, L.A.; Vadim, A.S.; Hong, L. Chemical dynamic thermodynamic resolution and S/R interconversion of unprotected unnatural tailor-made α-amino acids. J. Org. Chem. 2015, 80, 9817–9830. [Google Scholar]
  44. Yong, N.; Jiang, W.; Shengbin, Z.; Shuni, W.; Hiroki, M.; Aki, K.; Vadim, A.S.; Hong, L. Recyclable ligands for the non-enzymatic dynamic kinetic resolution of challenging α-amino acids. Angew. Chem. Int. Ed. 2015, 54, 12918–12922. [Google Scholar]
  45. Shengbin, Z.; Jiang, W.; Xia, C.; José, L.A.; Vadim, A.S.; Hong, L. Chemical kinetic resolution of unprotected β-substituted β-amino acids using recyclable chiral ligands. Angew. Chem. Int. Ed. 2014, 53, 7883–7886. [Google Scholar]
  46. Yong, N.; Jiang, W.; Shengbin, Z.; Wentao, D.; Shuni, W.; Hiroki, M.; Aki, K.; Vadim, A.S.; Hong, L. Purely chemical approach for preparation of D-α-amino acids via (S)-to-(R)-interconversion of unprotected tailor-made α-amino acids. J. Org. Chem. 2016, 81, 3501–3508. [Google Scholar]
  47. Shengbin, Z.; Shuni, W.; Jiang, W.; Yong, N.; Panfeng, P.; Vadim, A.S.; Hong, L. Configurationally stable (S)- and (R)-α-methylproline-derived ligands for the direct chemical resolution of free unprotected β3-amino acids. Eur. J. Org. Chem. 2018, 15, 1821–1832. [Google Scholar]
  48. Shuni, W.; Yong, N.; Shengbin, Z.; Jiang, W.; Hong, L. Chemical resolution of C,N-unprotected α-substituted β-amino acids using stable and recyclable proline-derived chiral ligands. J. Org. Chem. 2018, 83, 9870–9878. [Google Scholar]
Sample Availability: Samples of the compounds are not available from the authors.
Scheme 1. Reported chemical resolution methods and chiral ligands used to obtain chiral α-amino acids or their derivatives. Previous work cited from Oh et al. [26], and Tokumaru et al. [29].
Scheme 1. Reported chemical resolution methods and chiral ligands used to obtain chiral α-amino acids or their derivatives. Previous work cited from Oh et al. [26], and Tokumaru et al. [29].
Molecules 24 02218 sch001
Figure 1. DKR process and stereochemistry outcome of (R)-4 with (rac)-5j (ligand (R)-4 (black), product (R,2R)-6j (red), and product (R,2S)-6j (blue)).
Figure 1. DKR process and stereochemistry outcome of (R)-4 with (rac)-5j (ligand (R)-4 (black), product (R,2R)-6j (red), and product (R,2S)-6j (blue)).
Molecules 24 02218 g001
Figure 2. Decomposition of Ni(II) complex (S,2S)-6a and isolation of the target amino acid (S)-5a.
Figure 2. Decomposition of Ni(II) complex (S,2S)-6a and isolation of the target amino acid (S)-5a.
Molecules 24 02218 g002
Table 1. Optimization of reaction conditions for the DKR of racemic phenylalanine 5a using (S)-4. a
Table 1. Optimization of reaction conditions for the DKR of racemic phenylalanine 5a using (S)-4. a
Molecules 24 02218 i001
Entry aBaseSolventTemp (°C)Yield (%) bdr c
1K2CO3EtOH6066>99:1
2K2CO3MeOH6098>99:1
3t-BuONaMeOH6020>99:1
4NaHMeOH6028>99:1
5DBUMeOH6015>99:1
6 dK2CO3MeOHrt75>99:1
a Reaction conditions: (S)-4 (0.2 mmol), (rac)-5a (0.2 mmol), Ni(OAc)2 (0.2 mmol) and base (1.0 mmol) were run in solvent (4 mL) for 8 h. b Combined yield of isolated (S,2S)-6a and (S,2R)-6a. c Determined by LC-MS. d 72 h.
Table 2. DKR of unprotected racemic α-amino acids using (S)-4. a
Table 2. DKR of unprotected racemic α-amino acids using (S)-4. a
Molecules 24 02218 i002
Entry aR6t (h)Yield (%) bdr c
1benzyl(S,2S)-6a898>99:1
22-MeO-benzyl(S,2S)-6b2490>99:1
33-MeO-benzyl(S,2S)-6c2490>99:1
43-Me-benzyl(S,2S)-6d888>99:1
54-F-benzyl(S,2S)-6e1291>99:1
6 Molecules 24 02218 i003(S,2S)-6f3290>99:1
7 Molecules 24 02218 i004(S,2S)-6g89299:1
8 Molecules 24 02218 i005(S,2S)-6h894>99:1
9 Molecules 24 02218 i006(S,2S)-6i1289>99:1
103-MeO-phenyl(S,2S)-6j128797:3
113-Br-phenyl(S,2S)-6k208598:2
12cyclobutyl(S,2S)-6l1689>99:1
13CH2CF3(S,2S)-6m268799:1
14CH2CH2CH3(S,2S)-6n1292>99:1
15iPr(S,2S)-6o893>99:1
16iBu(S,2S)-6p895>99:1
17CH2CH2SCH3(S,2S)-6q129399:1
a Reaction conditions: (S)-4 (0.2 mmol), (rac)-5 (0.2 mmol), Ni(OAc)2 (0.2 mmol) and K2CO3 (1.0 mmol) were run in methanol (4 mL). b Combined yield of isolated (S,2S)-6 and (S,2R)-6. c Determined by LC-MS.
Table 3. DKR of unprotected racemic α-amino acids using (R)-4. a
Table 3. DKR of unprotected racemic α-amino acids using (R)-4. a
Molecules 24 02218 i007
Entry aR6t (h)Yield (%) bdr c
1benzyl(R,2R)-6a891>99:1
22-MeO-benzyl(R,2R)-6b2488>99:1
33-MeO-benzyl(R,2R)-6c2493>99:1
43-Me-benzyl(R,2R)-6d890>99:1
54-F-benzyl(R,2R)-6e1289>99:1
6 Molecules 24 02218 i008(R,2R)-6f3287>99:1
7 Molecules 24 02218 i009(R,2R)-6g894>99:1
8 Molecules 24 02218 i010(R,2R)-6h898>99:1
9 Molecules 24 02218 i011(R,2R)-6i1292>99:1
103-MeO-phenyl(R,2R)-6j127098:2
113-Br-phenyl(R,2R)-6k208797:3
12cyclobutyl(R,2R)-6l1691>99:1
13CH2CF3(R,2R)-6m2693>99:1
14CH2CH2CH3(R,2R)-6n129098:2
15iPr(R,2R)-6o896>99:1
16iBu(R,2R)-6p895>99:1
17CH2CH2SCH3(R,2R)-6q128898:2
a Reaction conditions: (R)-4 (0.2 mmol), (rac)-5 (0.2 mmol), Ni(OAc)2 (0.2 mmol) and K2CO3 (1.0 mmol) were run in methanol (4 mL). b Combined yield of isolated (R,2R)-6 and (R,2S)-6. c Determined by LC-MS.

Share and Cite

MDPI and ACS Style

Shu, S.; Zhao, L.; Zhou, S.; Wu, C.; Liu, H.; Wang, J. Recyclable and Stable α-Methylproline-Derived Chiral Ligands for the Chemical Dynamic Kinetic Resolution of free C,N-Unprotected α-Amino Acids. Molecules 2019, 24, 2218. https://doi.org/10.3390/molecules24122218

AMA Style

Shu S, Zhao L, Zhou S, Wu C, Liu H, Wang J. Recyclable and Stable α-Methylproline-Derived Chiral Ligands for the Chemical Dynamic Kinetic Resolution of free C,N-Unprotected α-Amino Acids. Molecules. 2019; 24(12):2218. https://doi.org/10.3390/molecules24122218

Chicago/Turabian Style

Shu, Shuangjie, Liang Zhao, Shengbin Zhou, Chenglin Wu, Hong Liu, and Jiang Wang. 2019. "Recyclable and Stable α-Methylproline-Derived Chiral Ligands for the Chemical Dynamic Kinetic Resolution of free C,N-Unprotected α-Amino Acids" Molecules 24, no. 12: 2218. https://doi.org/10.3390/molecules24122218

APA Style

Shu, S., Zhao, L., Zhou, S., Wu, C., Liu, H., & Wang, J. (2019). Recyclable and Stable α-Methylproline-Derived Chiral Ligands for the Chemical Dynamic Kinetic Resolution of free C,N-Unprotected α-Amino Acids. Molecules, 24(12), 2218. https://doi.org/10.3390/molecules24122218

Article Metrics

Back to TopTop