New Diterpenes from Arenga pinnata (Wurmb.) Merr. Fruits
Abstract
:1. Introduction
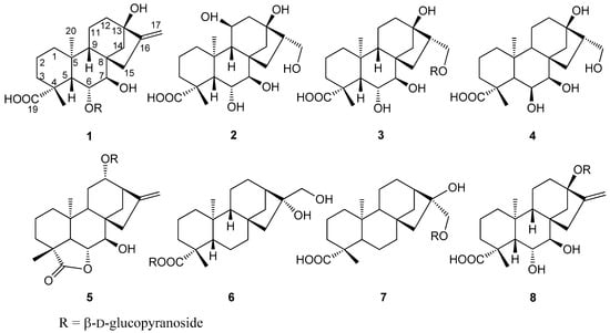
2. Results
3. Experimental Section
3.1. General Experimental Procedures
3.2. Plant Material
3.3. Extraction and Isolation
3.4. Acid Hydrolysis and HPLC Analysis
4. Conclusions
Supplementary Materials
Author Contributions
Funding
Conflicts of Interest
Abbreviations
| HR-ESI-MS | High-resolution electrospray ionization mass spectrometry |
| NMR | Nuclear magnetic resonance |
| DEPT | Distortionless Enhancement by Polarization Transfer |
| HMBC | Heteronuclear multiple bond correlation |
| NOESY | Nclear overhauser effect spectroscopy |
| 1H-1H COSY | Correlation spectroscopy |
| HSQC | Heteronuclear multiple quantum coherence |
| tR | Retention time |
| UV | Ultraviolet |
| TMS | Tetramethylsilane |
| HPLC | High performance liquid chromatography |
| ODS | Octadecylsilyl |
| EtOH | Ethyl alcohol |
| TLC | Thin Layer Chromatography |
| MeOH | Methanol |
| MeCN | Methyl cyanide |
| AcOEt | Ethyl acetate |
References
- Editorial Board of Chinese Academy of Sciences. Flora of China; Science and Technology Publishing House: Beijing, China, 1991; Volume 3, p. 108. [Google Scholar]
- Lu, D.X.; Shang, Z.J. Kai Bao Ben Cao; Anhui Science and Technology Publishing House: Anhui, China, 1998. [Google Scholar]
- Ni, Z.M.; Zheng, J.S.; Qi, X.Y. Ben Cao Hui Yan; Shanghai Science and Technology Publishing House: Shanghai, China, 2005. [Google Scholar]
- Su, S. Ben Cao Tu Jing; Anhui Science and Technology Publishing House: Anhui, China, 1994. [Google Scholar]
- Li, S.Z. Compendium of Materia Medica; People’s Health Publishing House: Beijing, China, 2005; p. 31. [Google Scholar]
- Lin, Q.; Fu, L.G. Higher Plants of China; Qingdao Publishing House: Qingdao, China, 2009. [Google Scholar]
- Mu, X.N.; Yang, W.Q.; Wang, W.J. Chemical constituents from the fruits of Areca catechu. Chin. Med. Mat. 2014, 35, 56–60. [Google Scholar]
- Chen, Q.M.; Deng, Z.; Guo, F.W. Constituent Analysis of Volatile Organic Compounds in Three Palmae. J. Anhui Agric. 2017, 45, 152–154. [Google Scholar]
- Zeng, Q. Chemical Constituents from the Fruits of Areca catechu. Master’s Thesis, Central South University of Forestry and Technology, Changsha, China, 2013. [Google Scholar]
- Gui, Y.M. Studies on Diterpenes Constituents and Anti Tumor Activity of Rabdosia excisa. Ph.D. Thesis, Jilin University, Changchun, China, 2013. [Google Scholar]
- Guan, Y.G.; Hu, W.Z.; Shi, Y.S. Research Progress in Terpene Constituents and Biological Activities of Pteris. Chin. J. Exp. Tradit. Med. Form. 2018, 24, 219–227. [Google Scholar]
- Zhao, X.Y.; Cai, X.; Hu, Z.H. Research progress on biology, chemical constituents in Euphorbia kansui, and their pharmacological effects. Chin. Tradit. Herbal. Drugs 2014, 45, 3029–3033. [Google Scholar]
- Gong, X.L.; Chen, Z.H.; Liang, N.C. Isolation and identification of glycoside of compound 5F from Pterissemi pinnata L. and their antitumor activity. Chin. Med. Mat. 2010, 32, 257–260. [Google Scholar]
- Toshiyuki, M.; Kentarou, K.; Hisashi, M. Medicinal foodstuffs. XXII. Structures of oleanane-type triterpene oligoglycosides, pisumsaponins I and II, and kaurane-type diterpene oligoglycosides, pisumosides A and B, from green peas, the immature seeds of Pisum sativum L. Chem. Pharm. Bull. 2001, 49, 73–77. [Google Scholar]
- Takashi, K.; Hiromi, A.; Ken-Ichiro, M. Two new ent-kaurane-type diterpene glycosides from zucchini (Cucurbita pepo L.) seeds. Fitoterapia 2015, 107, 69–76. [Google Scholar]
- Cai, X.F.; Shen, G.; Dat, N.T. Inhibitory Effect of Kaurane Type diterpenes from Acanthopanax koreanum on TNF-α Secretion from Trypsin-Stimulated HMC-1 Cells. Arch. Pharm. Res. 2003, 26, 731–734. [Google Scholar] [CrossRef] [PubMed]
- Yoshikawa, M.; Yoshizumi, S.; Murakami, T. Medicinal foodstuffs. II. On the bioactive constituents of the tuber of Sagittaria trifolia L. (Kuwai, Alismataceae): Absolute stereostructures of trifoliones A, B, C, and D, sagittariosides a and b, and arabinothalictoside. Chem. Pharm. Bull. 1996, 44, 492–499. [Google Scholar] [CrossRef] [PubMed]
- Ohkoshi, E.; Kamo, S.; Makino, M. Ent-kaurenoic acids from Mikania hirsutissima (compositae). Phytochemistry 2004, 65, 885–890. [Google Scholar] [CrossRef] [PubMed]
- Zhang, G.; Cui, H.; Liu, S.; Dong, J. A new triterpenoid saponin and a diterpene glucoside from the seeds of Orychophragmus violaceus. Nat. Prod. Res. 2018, 46, 1–7. [Google Scholar] [CrossRef] [PubMed]
- Murakami, T.; Kohno, K.; Kishi, A.; Matsuda, H. Medicinal foodstuffs. XIX. Absolute stereostructures of canavalioside, a new Ent-kaurane-type diterpene glycoside, and gladiatosides A1, A2, A3, B1, B2, B3, C1, and C2, new acylated flavonol glycosides, from sword bean, the seeds of Canavalia gladiata. Chem. Pharm. Bull. 2000, 48, 1673–1680. [Google Scholar] [CrossRef] [PubMed]
- Kim, K.H.; Choi, S.U.; Lee, K.R. Diterpene glycosides from the seeds of pharbitis nil. J. Nat. Prod. 2009, 72, 1121–1127. [Google Scholar] [CrossRef] [PubMed]
- Li, R.J.; Wang, S.; Li, G.; Zhou, J.C. Four new Kaurane diterpenoids from the Chinese liverwort Jungermannia comata Nees. Chem. Biodivers. 2016, 13, 1685–1690. [Google Scholar] [CrossRef] [PubMed]
- Zhang, D.Y.; Li, Z.Y.; Shi, L.Y. Advances in Research on Cytotoxinic Activity of ent-Kaurance Diterpenoids. Chin. J. Ore Chem. 2008, 1911–1917. [Google Scholar]
- Du, M.J.; Lei, X.G. Advanced in the Synthesis of Kaurane Diterpenoids. Chin. J. Ore Chem. 2015, 2447–2464. [Google Scholar]
Sample Availability: Samples of the compounds are available from the authors. |



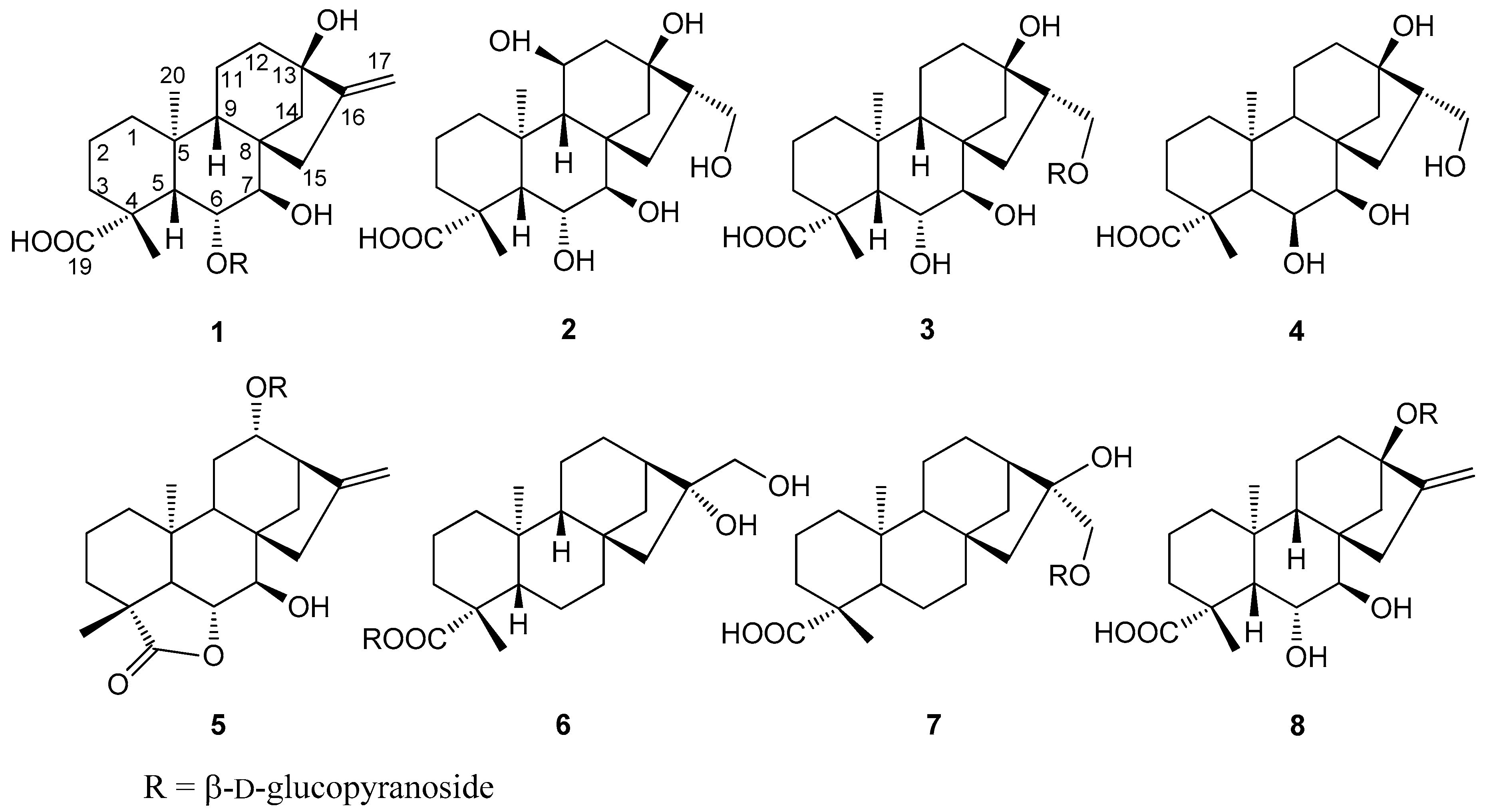
| NO. | 1 | 2 | 3 | |||
|---|---|---|---|---|---|---|
| δH (J, Hz) | δC | δH (J, Hz) | δC | δH (J, Hz) | δC | |
| 1 | 1.53 (m) | 38.4 | 1.88 (m) | 37.1 | 1.06 (m) | 38.4 |
| 1.04 (m) | 1.73 (m) | 1.55 (m) | ||||
| 2 | 1.53 (m) | 18.4 | 1.41 (m) | 18.6 | 1.54 (m) | 18.3 |
| 3 | 2.01 (m) | 29.2 | 1.83 (m) | 24.1 | 2.00 (m) | 29.2 |
| 1.40 (m) | 1.65 (m) | 1.42 (m) | ||||
| 4 | 43.0 | 43.2 | 43.1 | |||
| 5 | 1.88 (d, 6.5) | 52.7 | 1.85 (d, 7.3) | 51.4 | 1.82 (d, 6.5) | 52.8 |
| 6 | 4.62 (dd, 6.5, 6.5) | 84.9 | 4.54 (dd, 7.3, 7.3) | 85.2 | 4.56 (dd, 6.5, 6.5) | 85.2 |
| 7 | 4.26 (d, 6.5) | 72.2 | 4.14 (d, 7.3) | 72.3 | 4.23 (d, 6.5) | 72.1 |
| 8 | 44.6 | 48.2 | 48.0 | |||
| 9 | 1.17 (dd, 4.9, 12.1) | 56.2 | 1.17 (dd, 4.7, 12.1) | 59.7 | 1.17 (m) | 58.8 |
| 10 | 35.2 | 37.2 | 35.4 | |||
| 11 | 1.52 (m) | 19.8 | 3.95 (m) | 65.5 | 1.36 (m) | 18.3 |
| 12 | 2.31 (dd, 7.5, 13) | 39.2 | 1.76 (m) | 49.7 | 1.79 (m) | 24.4 |
| 1.37 (m) | 1.68 (m) | |||||
| 13 | 85.4 | 86.0 | 85.4 | |||
| 14 | 2.05 (d, 10.9) | 39.9 | 2.12 (d, 13.0) | 47.5 | 2.17 (d, 13.2) | 47.6 |
| 1.74 (m) | 1.16 (d, 13.0) | 1.16 (d, 13.2) | ||||
| 15 | 2.81 (br. d, 14.9) | 42.0 | 2.05 (m) | 33.5 | 2.09 (m) | 33.6 |
| 1.78 (m) | 1.49 (d, 12.6) | 1.53 (m) | ||||
| 16 | 158.0 | 2.03 (m) | 43.1 | 2.05 (m) | 43.8 | |
| 17 | 5.39 (br. s) | 109.7 | 3.75 (d, 11.5) | 68.1 | 4.27 (d, 10.4) | 76.2 |
| 5.00 (br. s) | 3.58 (d, 11.5) | 3.46 (d, 10.4) | ||||
| 18 | 1.28 (s) | 25.9 | 1.34 (s) | 24.7 | 1.27(s) | 25.8 |
| 19 | 184.8 | 185.1 | 185.0 | |||
| 20 | 0.86 (s) | 20.9 | 0.98 (s) | 23.4 | 0.85 (s) | 20.9 |
| 1′ | 4.40 (d, 7.8) | 100.1 | 4.28 (d, 7.7) | 100.1 | ||
| 2′ | 3.16 (m) | 75.2 | 3.21 (m) | 75.2 | ||
| 3′ | 3.37 (m) | 78.1 | 3.37 (m) | 78.1 | ||
| 4′ | 3.28 (m) | 71.7 | 3.28 (m) | 71.7 | ||
| 5′ | 3.28 (m) | 78.0 | 3.28 (m) | 78.0 | ||
| 6′ | 3.83 (dd, 2.1, 12.0) | 62.9 | 3.88 (dd, 2.1, 12.0) | 62.9 | ||
| 3.59 (m) | 3.65 (m) | |||||
© 2018 by the authors. Licensee MDPI, Basel, Switzerland. This article is an open access article distributed under the terms and conditions of the Creative Commons Attribution (CC BY) license (http://creativecommons.org/licenses/by/4.0/).
Share and Cite
Liu, J.-F.; Huo, J.-H.; Wang, C.; Li, F.-J.; Wang, W.-M.; Huang, L.-Q. New Diterpenes from Arenga pinnata (Wurmb.) Merr. Fruits. Molecules 2019, 24, 87. https://doi.org/10.3390/molecules24010087
Liu J-F, Huo J-H, Wang C, Li F-J, Wang W-M, Huang L-Q. New Diterpenes from Arenga pinnata (Wurmb.) Merr. Fruits. Molecules. 2019; 24(1):87. https://doi.org/10.3390/molecules24010087
Chicago/Turabian StyleLiu, Ji-Fei, Jin-Hai Huo, Chang Wang, Feng-Jin Li, Wei-Ming Wang, and Lu-Qi Huang. 2019. "New Diterpenes from Arenga pinnata (Wurmb.) Merr. Fruits" Molecules 24, no. 1: 87. https://doi.org/10.3390/molecules24010087
APA StyleLiu, J.-F., Huo, J.-H., Wang, C., Li, F.-J., Wang, W.-M., & Huang, L.-Q. (2019). New Diterpenes from Arenga pinnata (Wurmb.) Merr. Fruits. Molecules, 24(1), 87. https://doi.org/10.3390/molecules24010087
