Electrochemical Performance of ABNO for Oxidation of Secondary Alcohols in Acetonitrile Solution
Abstract
1. Introduction
2. Results and Discussion
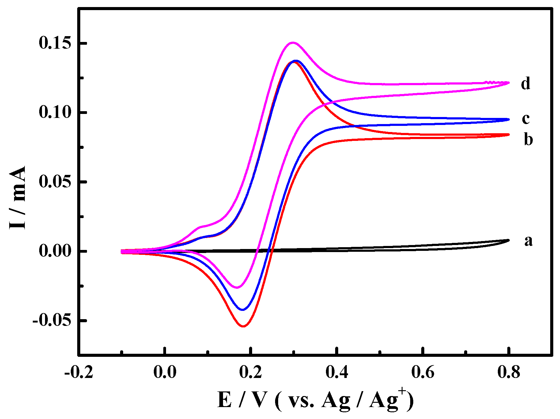
2.1. Cyclic Voltammetric Study for Oxidation of 1-Phenylethanol
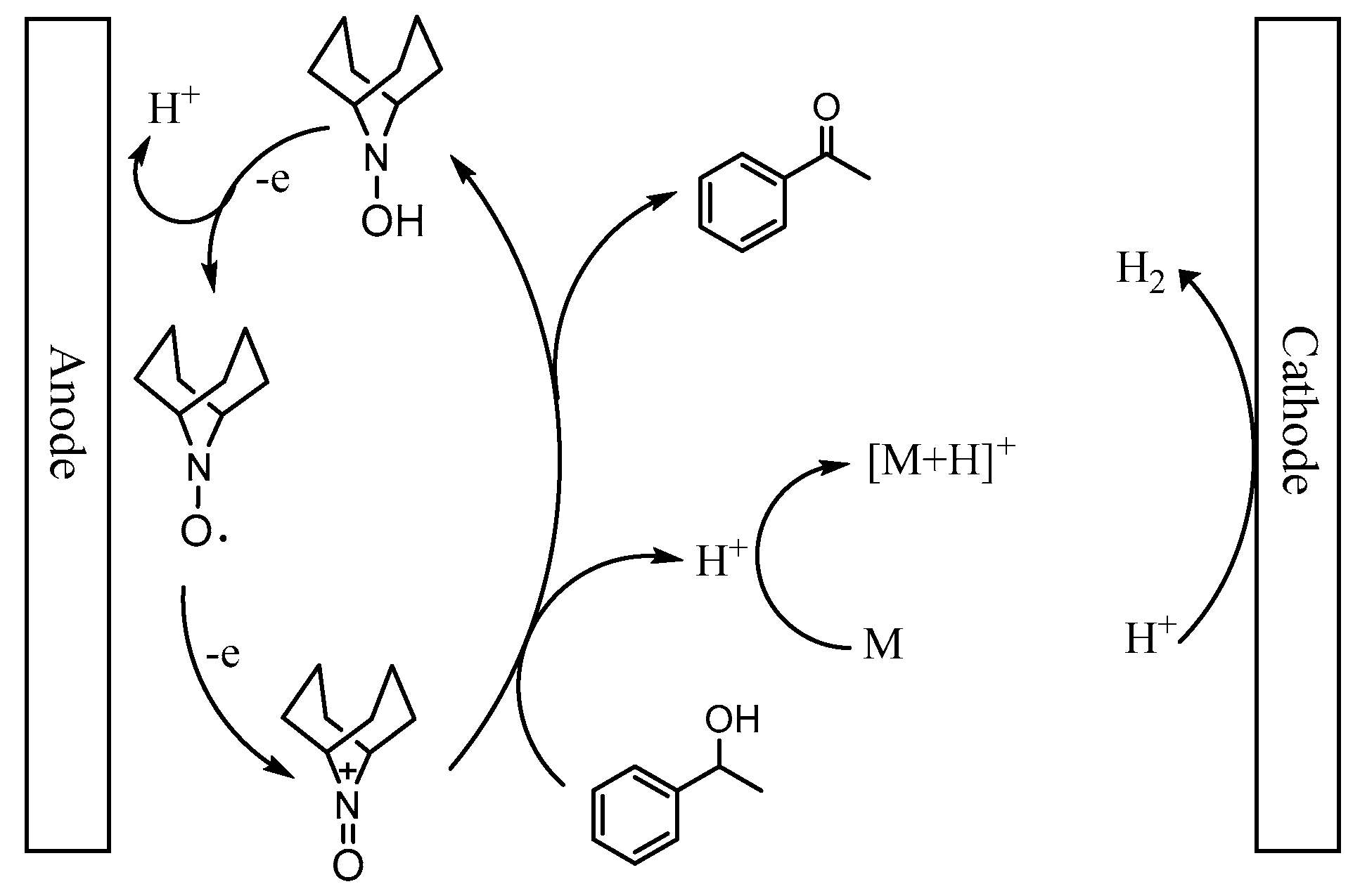
2.2. In situ FTIR Spectroscopic Analysis
2.3. Preparation Electrolysis
3. Materials and Methods
3.1. Catalyst Preparation and Reagents
3.2. Cyclic Voltammetry Study
3.3. In Situ FTIR Spectroscopic Study
3.4. Preparation Electrolysis Experiments
4. Conclusions
Author Contributions
Funding
Conflicts of Interest
References
- Musawir, M.; Davey, P.N.; Kelly, G.; Kozhevnikov, I.V. Highly efficient liquid-phase oxidation of primary alcohols to aldehydes with oxygen catalysed by Ru-Co oxide. Chem. Commun. 2003, 34, 1414–1415. [Google Scholar] [CrossRef]
- Gilhespy, M.; Lok, M.; Baucherel, X. Polymer-supported nitroxyl radical catalyst for selective aerobic oxidation of primary alcohols to aldehydes. Chem. Commun. 2005, 8, 1085–1086. [Google Scholar] [CrossRef] [PubMed]
- Zhan, B.Z.; Thompson, A. Recent developments in the aerobic oxidation of alcohols. Tetrahedron 2004, 60, 2917–2935. [Google Scholar] [CrossRef]
- Demizu, Y.; Shiigi, H.; Oda, T.; Matsumura, Y.; Onomura, O. Efficient oxidation of alcohols electrochemically mediated by azabicyclo-N-oxyls. Tetrahedron Lett. 2008, 49, 48–52. [Google Scholar] [CrossRef]
- Sheldon, R.A.; Arends, I.W.C.E.; Dijksman, A. New developments in catalytic alcohol oxidations for fine chemicals synthesis. Catal. Today 2000, 57, 157–166. [Google Scholar] [CrossRef]
- Lenze, M.; Bauer, E.B. Chemoselective, iron(II)-catalyzed oxidation of a variety of secondary alcohols over primary alcohols utilizing H2O2 as the oxidant. Chem. Commun. 2013, 49, 5889–5891. [Google Scholar] [CrossRef] [PubMed]
- Okimoto, M.; Yoshida, T.; Hoshi, M.; Chiba, T.; Maeo, K. Successful application of indirct electrooxidation for the transformation of biaryl methanols to the corresponding biaryl ketones. Synthetic Commun. 2011, 41, 3134–3139. [Google Scholar] [CrossRef]
- Jiang, N.; Ragauskas, A.J. TEMPO-catalyzed oxidation of benzylic alcohols to aldehydes with the H2O2/HBr/ionic liquid [bmim]PF6 system. Tetrahedron Lett. 2005, 46, 3323–3326. [Google Scholar] [CrossRef]
- Uyanik, M.; Ishihara, K. Hypervalent iodine-mediated oxidation of alcohols. Chem. Commun. 2009, 2086–2099. [Google Scholar] [CrossRef]
- Sharma, V.B.; Jain, S.L.; Sain, B. A New and Efficient Transition Metal-Free Oxidation of Secondary Alcohols to Ketones Using Aqueous HBr and H2O2. Synlett 2005, 1, 173–175. [Google Scholar] [CrossRef]
- Raju, T.; Manivasagan, S.; Revathy, B.; Kulangiappar, K.; Muthukumaran, A. A mild and efficient method for the oxidation of benzylic alcohols by two-phase electrolysis. Tetrahedron Lett. 2007, 48, 3681–3684. [Google Scholar] [CrossRef]
- Campestrini, S.; Carraro, M.; Ciriminna, R.; Pagliaro, M.; Tonellato, U. Alcohols oxidation with hydrogen peroxide promoted by TPAP-doped ormosils. Tetrahedron Lett. 2004, 45, 7283–7286. [Google Scholar] [CrossRef]
- Roschangar, F.; Sheldon, R.A.; Senanayake, C.H. Overcoming barriers to green chemistry in the pharmaceutical industry-the Green Aspiration LevelTM concept. Green Chem. 2015, 17, 752–768. [Google Scholar] [CrossRef]
- Sun, Y.B.; Cao, C.Y.; Wei, F.; Huang, P.P.; Yang, S.L.; Song, W.G. Nanocarbon-based TEMPO as stable heterogeneous catalysts for partial oxidation of alcohols. Sci. Bull. 2016, 61, 772–777. [Google Scholar] [CrossRef]
- Dornan, L.M.; Cao, Q.; Flanagan, J.C.A.; Crawford, J.J.; Cook, M.J.; Muldoon, M.J. Copper/TEMPO catalysed synthesis of nitriles from aldehydes or alcohols using aqueous ammonia and with air as the oxidant. Chem. Commun. 2013, 49, 6030–6032. [Google Scholar] [CrossRef] [PubMed]
- Sonobe, T.; Oisaki, K.; Kanai, M. Catalytic aerobic production of imines en route to mild, green, and concise derivatizations of amines. Chem. Sci. 2012, 3, 3249–3255. [Google Scholar] [CrossRef]
- Hoover, J.M.; Stahl, S.S. Highly Practical Copper(I)/TEMPO Catalyst System for Chemoselective Aerobic Oxidation of Primary Alcohols. J. Am. Chem. Soc. 2011, 133, 16901–16910. [Google Scholar] [CrossRef]
- Liu, L.; Ji, L.Y.; Wei, Y.Y. Base promoted aerobic oxidation of alcohols to corresponding aldehydes or ketones catalyzed by CuCl/TEMPO. Catal. Commun. 2008, 9, 1379–1382. [Google Scholar]
- Sand, H.; Weberskirch, R. Bipyridine copper functionalized polymer resins as support materials for the aerobic oxidation of alcohols. Polym. Int. 2017, 66, 428–435. [Google Scholar] [CrossRef]
- Kumpulainen, E.T.T.; Koskinen, A.M.P. Catalytic Activity Dependency on Catalyst Components in Aerobic Copper-TEMPO Oxidation. Chem. Eur. J. 2009, 15, 10901–10911. [Google Scholar] [CrossRef]
- Badalyan, A.; Stahl, S.S. Cooperative electrocatalytic alcohol oxidation with electron-proton-transfer mediators. Nature 2016, 535, 406–410. [Google Scholar] [CrossRef] [PubMed]
- Hoover, J.M.; Steves, J.E.; Stahl, S.S. Copper(I)/TEMPO-catalyzed aerobic oxidation of primary alcohols to aldehydes with ambient air. Nat. Protoc. 2012, 7, 1161–1166. [Google Scholar] [CrossRef] [PubMed]
- Hoover, J.M.; Ryland, B.L.; Stahl, S.S. Copper/TEMPO-Catalyzed Aerobic Alcohol Oxidation: Mechanistic Assessment of Different Catalyst Systems. ACS Catal. 2013, 3, 2599–2605. [Google Scholar] [CrossRef] [PubMed]
- Ryland, B.L.; McCann, S.D.; Brunold, T.C.; Stahl, S.S. Mechanism of Alcohol Oxidation Mediated by Copper(II) and Nitroxyl Radicals. J. Am. Chem. Soc. 2014, 136, 12166–12173. [Google Scholar] [CrossRef] [PubMed]
- Lagerblom, K.; Wrigstedt, P.; Keskivali, J.; Parviainen, A.; Repo, T. Iron-Catalysed Selective Aerobic Oxidation of Alcohols to Carbonyl and Carboxylic Compounds. ChemPlusChem 2016, 81, 1160–1165. [Google Scholar] [CrossRef]
- Gamez, P.; Arends, I.W.C.E.; Sheldon, R.A.; Reedijk, J. Room Temperature Aerobic Copper-Catalysed Selective Oxidation of Primary Alcohols to Aldehydes. Adv. Synth. Catal. 2004, 346, 805–811. [Google Scholar] [CrossRef]
- Steves, J.E.; Stahl, S.S. Stable TEMPO and ABNO Catalyst Solutions for User-Friendly (bpy)Cu/Nitroxyl-Catalyzed Aerobic Alcohol Oxidation. J. Org. Chem. 2015, 80, 11184–11188. [Google Scholar] [CrossRef]
- Hoover, J.M.; Ryland, B.L.; Stahl, S.S. Mechanism of Copper(I)/TEMPO-Catalyzed Aerobic Alcohol Oxidation. J. Am. Chem. Soc. 2013, 135, 2357–2367. [Google Scholar] [CrossRef]
- Hossain, M.M.; Shyu, S.G. Efficient and Selective Aerobic Alcohol Oxidation Catalyzed by Copper(II)/2,2,6,6,-Tetramethylpiperidine-1-oxyl at Room Temperature. Adv. Synth. Catal. 2010, 352, 3061–3068. [Google Scholar] [CrossRef]
- Xie, Y.; Mo, W.M.; Xu, D.; Shen, Z.L.; Sun, N.; Hu, B.X.; Hu, X.Q. Efficient NO Equivalent for Activation of Molecular Oxygen and Its Applications in Transition-Metal-Free Catalytic Aerobic Alcohol Oxidation. J. Org. Chem. 2007, 72, 4288–4291. [Google Scholar] [CrossRef]
- He, X.J.; Shen, Z.L.; Mo, W.M.; Sun, N.; Hu, B.X.; Hu, X.Q. TEMPO-tert-Butyl Nitrite: An Efficient Catalytic System for Aerobic Oxidation of Alcohols. Adv. Synth. Catal. 2009, 351, 89–92. [Google Scholar] [CrossRef]
- Shen, Z.L.; Chen, M.; Fang, T.T.; Li, M.C.; Mo, W.M.; Hu, B.X.; Sun, N.; Hu, X.Q. Transformation of ethers into aldehydes or ketones: A catalytic aerobic deprotection/oxidation pathway. Tetrahedron Lett. 2015, 56, 2768–2772. [Google Scholar] [CrossRef]
- Fey, T.; Fischer, H.; Bachmann, S.; Albert, K.; Bolm, C. Silica-Supported TEMPO Catalysts: Synthesis and Application in the Anelli Oxidation of Alcohols. J. Org. Chem. 2001, 66, 8154–8159. [Google Scholar] [CrossRef] [PubMed]
- Shakir, A.J.; Paraschivescu, C.; Matache, M.; Tudose, M.; Mischie, A.; Spafiu, F.; Ionita, P. A convenient alternative for the selective oxidation of alcohols by silica supported TEMPO using dioxygen as the final oxidant. Tetrahedron Lett. 2015, 56, 6878–6881. [Google Scholar] [CrossRef]
- Karimi, B.; Badreh, E. SBA-15-functionalized TEMPO confined ionic liquid: An efficient catalyst system for transition-metal-free aerobic oxidation of alcohols with improved selectivity. Org. Biomol. Chem. 2011, 9, 4194–4198. [Google Scholar] [CrossRef] [PubMed]
- Karimi, B.; Farhangi, E.; Vali, H.; Vahdati, S. SBA-15-Functionalized 3-Oxo-ABNO as Recyclable Catalyst for Aerobic Oxidation of Alcohols under Metal-Free Conditions. ChemSusChem 2014, 7, 2735–2741. [Google Scholar] [CrossRef] [PubMed]
- Shibuya, M.; Tomizawa, M.; Suzuki, I.; Iwabuchi, Y. 2-Azaadamantane N-Oxyl (AZADO) and 1-Me-AZADO: Highly Efficient Organocatalysts for Oxidation of Alcohols. J. Am. Chem. Soc. 2006, 128, 8412–8413. [Google Scholar] [CrossRef]
- Iwabuchi, Y. Discovery and Exploitation of AZADO: The Highly Active Catalyst for Alcohol Oxidation. Chem. Pharm. Bull. 2013, 61, 1197–1213. [Google Scholar] [CrossRef]
- Shibuya, M.; Osada, Y.; Sasano, Y.; Tomizawa, M.; Iwabuchi, Y. Highly Efficient, Organocatalytic Aerobic Alcohol Oxidation. J. Am. Chem. Soc. 2011, 133, 6497–6500. [Google Scholar] [CrossRef]
- Hamada, S.; Furuta, T.; Wada, Y.; Kawabata, T. Chemoselective Oxidation by Electronically Tuned Nitroxyl Radical Catalysts. Angew. Chem. Int. Ed. 2013, 52, 8093–8097. [Google Scholar] [CrossRef]
- Lauber, M.B.; Stahl, S.S. Efficient Aerobic Oxidation of Secondary Alcohols at Ambient Temperature with an ABNO/NOx Catalyst System. ACS Catal. 2013, 3, 2612–2616. [Google Scholar] [CrossRef]
- Ma, J.Q.; Hong, C.; Wan, Y.; Li, M.C.; Hu, X.Q.; Mo, W.M.; Hu, B.X.; Sun, N.; Jin, L.Q.; Shen, Z.L. Aerobic oxidation of secondary alcohols in water with ABNO/tert-butyl nitrite/KPF6 catalytic system. Tetrahedron Lett. 2017, 58, 652–657. [Google Scholar] [CrossRef]
- Yoshida, J.I.; Kataoka, K.; Horcajada, R.; Nagaki, A. Modern Strategies in Electroorganic Synthesis. Chem. Rev. 2008, 108, 2265–2299. [Google Scholar] [CrossRef] [PubMed]
- Francke, R.; Little, R.D. Redox catalysis in organic electrosynthesis: Basic principles and recent developments. Chem. Soc. Rev. 2014, 45, 2492–2521. [Google Scholar] [CrossRef] [PubMed]
- Qu, Q.H.; Gao, X.F.; Gao, J.; Yuan, G.Q. A highly efficient electrochemical route for the conversion of aldehydes to nitriles. Sci. China Chem. 2015, 58, 747–750. [Google Scholar] [CrossRef]
- Chen, C.; Niu, P.F.; Shen, Z.L.; Li, M.C. Electrochemical Sulfenylation of Indoles with Disulfides Mediated by Potassium Iodide. J. Electrochem. Soc. 2018, 165, 67–74. [Google Scholar] [CrossRef]
- Christopher, C.; Lawrence, S.; Kulandainathan, M.A.; Kulangiappar, K.; Raja, M.E.; Xavier, N.; Raja, S. Electrochemical selective oxidation of aromatic alcohols with sodium nitrate mediator in biphasic medium at ambient temperature. Tetrahedron Lett. 2012, 53, 2802–2804. [Google Scholar] [CrossRef]
- Lu, J.J.; Ma, J.Q.; Yi, J.M.; Shen, Z.L.; Zhong, Y.J.; Ma, C.A.; Li, M.C. Electrochemical Polymerization of Pyrrole Containing TEMPO Side Chain on Pt Electrode and Its Electrochemical Activity. Electrochim. Acta 2014, 130, 412–417. [Google Scholar] [CrossRef]
- Wang, X.; Ma, J.Q.; Song, D.D.; Shen, Z.L.; Li, M.C.; Ma, C.A. Characterization and Electrocatalytic Activity of Poly(4-thienylacetyl-oxy-2,2,6,6-tetramethylpiperidin-1-yloxy) Prepared by Electrochemical Polymerization. ECS Electrochem. Lett. 2014, 3, 12–15. [Google Scholar] [CrossRef]
- Tang, D.Y.; Yang, X.J.; Chen, Q.G.; Shen, Z.L.; Li, M.C. Efficient Electrooxidation of Alcohols Using TEMPO-Modified Polyaniline Electrode Prepared by Electrochemical Polymerization. J. Electrochem. Soc. 2016, 163, 321–326. [Google Scholar] [CrossRef]
- Rafiee, M.; Miles, K.C.; Stahl, S.S. Electrocatalytic Alcohol Oxidation with TEMPO and Bicyclic Nitroxyl Derivatives: Driving Force Trumps Steric Effects. J. Am. Chem. Soc. 2015, 137, 14751–14757. [Google Scholar] [CrossRef] [PubMed]
- Herath, A.C.; Becker, J.Y. 2,2,6,6-Tetramethyl piperidine-1-oxyl (TEMPO)-mediated catalytic oxidation of benzyl alcohol in acetonitrile and ionic liquid 1-butyl-3-methyl-imidazolium hexafluorophosphate [BMIm][PF6]: Kinetic analysis. Electrochim. Acta 2008, 53, 4324–4330. [Google Scholar] [CrossRef]
- Fan, Z.Q.; Yang, X.J.; Chen, C.; Shen, Z.L.; Li, M.C. One-Pot Electrochemical Oxidation of Alcohols to Nitriles Mediated by TEMPO. J. Electrochem. Soc. 2017, 164, 54–58. [Google Scholar] [CrossRef]
- Das, A.; Stahl, S.S. Noncovalent Immobilization of Molecular Electrocatalysts for Chemical Synthesis: Efficient Electrochemical Alcohol Oxidation with a Pyrene-TEMPO Conjugate. Angew. Chem. Int. Ed. 2017, 56, 8892–8897. [Google Scholar] [CrossRef] [PubMed]
- Lu, N.N.; Yoo, S.J.; Li, L.J.; Zeng, C.C.; Little, R.D. A comparative study of organic electron transfer redox mediators: Electron transfer kinetics for triarylimidazole and triarylamine mediators in the oxidation of 4-methoxybenzyl alcohol. Electrochim. Acta 2014, 142, 254–260. [Google Scholar] [CrossRef]
- Zhang, K.Y.; Lu, N.N.; Yoo, S.J.; Hu, L.M.; Little, R.D.; Zeng, C.C. Electrochemical analysis of the triarylimidazole-type organic redox catalysts: Chemical stability and homogeneous electron transfer kinetics for the oxidation of 4-methoxybenzyl alcohol. Electrochim. Acta 2016, 199, 357–365. [Google Scholar] [CrossRef]
- Yi, J.M.; Tang, D.Y.; Song, D.D.; Wu, X.H.; Shen, Z.L.; Li, M.C. Selective oxidation of benzyl alcohol on poly(4-(3-(pyrrol-1-yl)propionamido)-2,2,6,6-tetramethylpiperidin-1-yloxy) electrode. J. Solid State Electrochem. 2015, 19, 2291–2297. [Google Scholar] [CrossRef]
- Timmiati, S.N.; Jalil, A.A.; Triwahyono, S.; Setiabudi, H.D.; Annuar, N.H.R. Formation of acidic Brönsted (MoOx)-(Hy)+ evidenced by XRD and 2,6-lutidine FTIR spectroscopy for cumene cracking. Appl. Catal. A Gen. 2013, 459, 8–16. [Google Scholar] [CrossRef]
- Wang, M.L.; Zhang, Y.Y.; Xie, Q.J.; Yao, S.Z. In situ FT-IR spectroelectrochemical study of electrooxidation of pyridoxol on a gold electrode. Electrochim. Acta 2005, 51, 1059–1068. [Google Scholar] [CrossRef]
- Song, D.D.; Chen, Q.G.; Tang, D.Y.; Shen, Z.L.; Li, M.C.; Ma, C.A. Electropolymerization and Electrocatalytic Activity of Poly(4-thienylacetyl-amino-2,2,6,6-tetramethylpiperidinyl-1-yloxy)/(2,2-bithiophene) Copolymer. J. Electrochem. Soc. 2015, 162, 251–255. [Google Scholar] [CrossRef]
- Comminges, C.; Barhdadi, R.; Doherty, A.P.; O’Toole, S.; Troupel, M. Mechanism of 2,2′6,6′-Tetramethylpiperidin-N-oxyl-Mediated Oxidation of Alcohols in Ionic Liquids. J. Phys. Chem. A 2008, 112, 7848–7855. [Google Scholar] [CrossRef] [PubMed]
- Malyala, R.V.; Rode, C.V.; Arai, M.; Hegde, S.G.; Chaudhari, R.V. Activity, selectivity and stability of Ni and bimetallic Ni-Pt supported on zeolite Y catalysts for hydrogenation of acetophenone and its substituted derivatives. Appl. Catal. A Gen. 2000, 193, 71–86. [Google Scholar] [CrossRef]
- Yang, X.J.; Fan, Z.Q.; Shen, Z.L.; Li, M.C. Electrocatalytic synthesis of nitriles from aldehydes with ammonium acetate as the nitrogen source. Electrochim. Acta 2017, 226, 53–59. [Google Scholar] [CrossRef]
- Souto, R.M.; Rodriguez, J.L.; Pastor, E. Spectroscopic Investigation of the Adsorbates of Benzyl Alcohol on Palladium. Langmuir 2000, 16, 8456–8462. [Google Scholar] [CrossRef]
- Kim, M.J.; Jung, Y.E.; Lee, C.Y.; Kim, J. HKUST-1/ABNO-catalyzed aerobic oxidation of secondary benzyl alcohols at room temperature. Tetrahedron Lett. 2018, 59, 2722–2725. [Google Scholar] [CrossRef]
- Steves, J.E.; Stahl, S.S. Copper(I)/ABNO-Catalyzed Aerobic Alcohol Oxidation: Alleviating Steric and Electronic Constraints of Cu/TEMPO Catalyst Systems. J. Am. Chem. Soc. 2013, 135, 15742–15745. [Google Scholar] [CrossRef] [PubMed]
- Gerken, J.B.; Pang, Y.Q.; Lauber, M.B.; Stahl, S.S. Structural Effects on the pH-Dependent Redox Properties of Organic Nitroxyls: Pourbaix Diagrams for TEMPO, ABNO, and Three TEMPO Analogs. J. Org. Chem. 2018, 83, 7323–7330. [Google Scholar] [CrossRef]
- Walroth, R.C.; Miles, K.C.; Lukens, J.T.; MacMillan, S.N.; Stahl, S.S.; Lancaster, K.M. Electronic Structural Analysis of Copper(II)-TEMPO/ABNO Complexes Provides Evidence for Copper(I)-Oxoammonium Character. J. Am. Chem. Soc. 2017, 139, 13507–13517. [Google Scholar] [CrossRef]
- Kadoh, Y.; Tashiro, M.; Oisaki, K.; Kanai, M. Organocatalytic Aerobic Oxidation of α-Fluoroalkyl Alcohols to Fluoroalkyl Ketones at Room Temperature. Adv. Synth. Catal. 2015, 357, 2193–2198. [Google Scholar] [CrossRef]
- Zhou, Z.Y.; Wang, Q.; Lin, J.L.; Tian, N.; Sun, S.G. In situ FTIR spectroscopic studies of electrooxidation of ethanol on Pd electrode in alkaline media. Electrochim. Acta 2010, 55, 7995–7999. [Google Scholar] [CrossRef]
- Sun, S.G.; Lin, Y. Kinetics of isopropanol oxidation on Pt(111), Pt(110), Pt(100), Pt(610) and Pt(211) single crystal electrodes-Studies of in situ time-resolved FTIR spectroscopy. Electrochim. Acta 1998, 44, 1153–1162. [Google Scholar] [CrossRef]
- Chen, Q.G.; Fang, C.J.; Shen, Z.L.; Li, M.C. Electrochemical synthesis of nitriles from aldehydes using TEMPO as a mediator. Electrochem. Commun. 2016, 64, 51–55. [Google Scholar] [CrossRef]
Sample Availability: Not available. |








| Entry | Substrate | Product | Conversion b (%) | Selectivity b (%) | Yield c (%) |
|---|---|---|---|---|---|
| 1 | ![]() | ![]() | >99 | >99 | 80 (98) |
| 2 | ![]() | ![]() | >99 | 98 | 94 |
| 3 | ![]() | ![]() | >99 | 97 | 88 |
| 4 | ![]() | ![]() | >99 | 96 | 87 |
| 5 | ![]() | ![]() | >99 | 97 | 92 |
| 6 | ![]() | ![]() | >99 | 97 | 93 |
| 7 | ![]() | ![]() | >99 | 98 | 95 |
| 8 | ![]() | ![]() | >99 | 97 | 89 |
| 9 | ![]() | ![]() | >99 | 96 | 90 |
| 10 | ![]() | ![]() | >99 | 97 | 85 |
| 11 | ![]() | ![]() | >99 | 97 | 92 |
| 12 | ![]() | ![]() | 99 | 99 | 88 |
| 13 | ![]() | ![]() | 98 | 98 | 92 |
| 14 | ![]() | ![]() | >99 | 97 | 93 |
| 15 d | ![]() | ![]() | 98 | 92 | 89 |
| 16 | ![]() | ![]() | >99 | 99 | 90 |
| 17 | ![]() | ![]() | >99 | 99 | 95 |
| 18 | ![]() | ![]() | >99 | 99 | 80 |
| 19 | ![]() | ![]() | 99 | 99 | 98 e |
| 20 | ![]() | ![]() | 92 | 98 | 90 e |
© 2018 by the authors. Licensee MDPI, Basel, Switzerland. This article is an open access article distributed under the terms and conditions of the Creative Commons Attribution (CC BY) license (http://creativecommons.org/licenses/by/4.0/).
Share and Cite
Niu, P.; Liu, X.; Shen, Z.; Li, M. Electrochemical Performance of ABNO for Oxidation of Secondary Alcohols in Acetonitrile Solution. Molecules 2019, 24, 100. https://doi.org/10.3390/molecules24010100
Niu P, Liu X, Shen Z, Li M. Electrochemical Performance of ABNO for Oxidation of Secondary Alcohols in Acetonitrile Solution. Molecules. 2019; 24(1):100. https://doi.org/10.3390/molecules24010100
Chicago/Turabian StyleNiu, Pengfei, Xin Liu, Zhenlu Shen, and Meichao Li. 2019. "Electrochemical Performance of ABNO for Oxidation of Secondary Alcohols in Acetonitrile Solution" Molecules 24, no. 1: 100. https://doi.org/10.3390/molecules24010100
APA StyleNiu, P., Liu, X., Shen, Z., & Li, M. (2019). Electrochemical Performance of ABNO for Oxidation of Secondary Alcohols in Acetonitrile Solution. Molecules, 24(1), 100. https://doi.org/10.3390/molecules24010100









































