The Effect of Absorption-Enhancement and the Mechanism of the PAMAM Dendrimer on Poorly Absorbable Drugs
Abstract
1. Introduction
2. Results
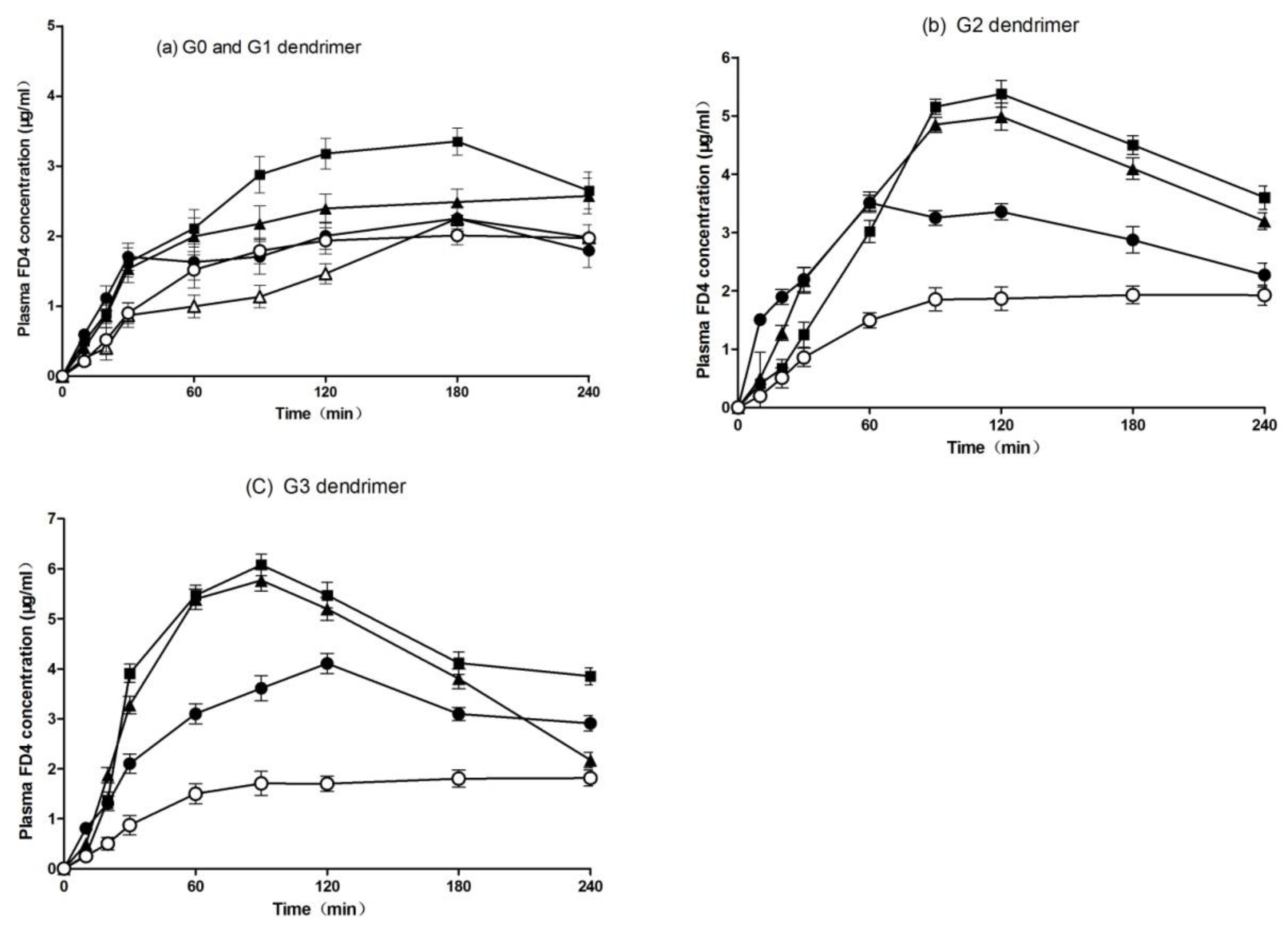
2.1. Absorption-Enhancing Effects of PAMAM Dendrimers on the Pulmonary Absorption of Fluorescein Isothiocyanate-Labeled Dextrans (FDs)
2.2. In Vitro Toxicity
2.3. Absorption-Enhancing Effects of PAMAM Dendrimer on Cell Experiments of FD4
2.4. Microarray Mechanical Testing
2.5. Mechanism Analysis of Absorption-Enhancing Effects
3. Discussion
4. Materials and Methods
4.1. Materials
4.2. Preparation of Drug Solution
4.3. Analytical Methods
4.4. Absorption-Enhancing Effects of PAMAM Dendrimers on the Pulmonary Absorption of FDs
4.5. In Vitro Toxicity
4.5.1. Cell Culture and Cell Lines
4.5.2. MTT Assay
4.6. Effects of 0.1% G3 PAMAM Dendrimers on Cell Experiments of FD4
4.6.1. FD4 Transport Study
4.6.2. Calculation of Apparent Permeability
4.7. Microarray
4.7.1. RNA Isolation and cDNA Labeling
4.7.2. GeneChip Hybridization and Scanning
4.8. Western Blotting Analysis
4.8.1. Protein Extraction
4.8.2. Protein Quantitation
4.8.3. Polyacrylamide Gel Electrophoresis
4.8.4. Gel Imaging
4.9. Quantitative RT-PCR
4.10. Statistical Analysis
5. Conclusions
Author Contributions
Funding
Conflicts of Interest
References
- Dong, Z.Q.; Katsumi, H.; Sakane, T.; Yamamoto, A. Effects of polyamidoamine (PAMAM) dendrimers on the nasal absorption of poorly absorbable drugs in rats. Int. J. Pharm. 2010, 393, 244–252. [Google Scholar] [CrossRef] [PubMed]
- Lin, Y.L.; Fujimori, T.; Kawaguchi, N.; Tsujimoto, Y.; Nishimi, M.; Dong, Z.Q.; Katsumi, H.; Sakane, T.; Yamamoto, A. Polyamidoamine dendrimers as novel potential absorption enhancers for improving the small intestinal absorption of poorly absorbable drugs in rats. J. Control. Release 2011, 149, 21–28. [Google Scholar] [CrossRef] [PubMed]
- Uram, L.; Szuster, M.; Misiorek, M.; Filipowicz, A.; Wolowiec, S.; Rode, E.W. The effect of G3 PAMAMdendrimer conjugatedwith B-group vitamins on cell morphology, motility and ATP level in normal and cancer cells. Eur. J. Pharm. Sci. 2017, 102, 275–283. [Google Scholar] [CrossRef] [PubMed]
- Gillies, E.R.; Frechet, J.M. Dendrimers and dendritic polymers in drug delivery. Drug Discov. Today 2005, 10, 35–43. [Google Scholar] [CrossRef]
- Dong, Z.Q.; Hamid, K.A.; Gao, Y.; Lin, Y.L.; Katsumi, H.; Sakane, T.; Yamamoto, A. Polyamidoamine dendrimers can improve the pulmonary absorption of insulin and calcitonin in rats. J. Pharm. Sci. 2011, 100, 1866–1878. [Google Scholar] [CrossRef] [PubMed]
- Yamamoto, A.; Fujita, T.; Muranishi, S. Pulmonary absorption enhancement of peptides by absorption enhancers and protease inhibitors. J. Control. Release 1996, 41, 57–67. [Google Scholar] [CrossRef]
- Shadrack, D.M.; Swai, H.S.; Munissi, J.J.E.; Mubofu, E.B.; Nyandoro, S.S. Polyamidoamine Dendrimers for Enhanced Solubility of Small Molecules and Other Desirable Properties for Site Specific Delivery: Insights from Experimental and Computational Studies. Molecules 2018, 23, 1419. [Google Scholar] [CrossRef] [PubMed]
- Al-Jamal, K.T.; Ramaswamy, C.; Florence, A.T. Supramolecular structures from dendrons and dendrimers. Adv. Drug Deliv. Rev. 2005, 57, 2238–2270. [Google Scholar] [CrossRef] [PubMed]
- Castriciano, M.A.; Romeo, A.; Baratto, M.C.; Pogni, R.; Scolaro, L.M. Supramolecular mimetic peroxidase based on hemin and PAMAM dendrimers. Chem. Commun. 2008, 14, 688–690. [Google Scholar] [CrossRef]
- Credi, A.; Ribera, B.F.; Venturi, M. From supramolecular electrochemistry to molecular-level devices. Electrochim. Acta 2004, 49, 3865–3872. [Google Scholar] [CrossRef]
- Momotake, A.; Arai, T. Photochemistry and photophysics of stilbene dendrimers and related compounds. J. Photochem. Photobiol. C 2004, 5, 1–25. [Google Scholar] [CrossRef]
- Love, C.S.; Ashworth, I.; Brennan, C.; Chechik, V.; Smith, D.K. Dendron-protected Au nanoparticles-Effect of dendritic structure on chemical stability. J. Colloid Interface Sci. 2006, 302, 178–186. [Google Scholar] [CrossRef] [PubMed]
- García-Gallego, S.; Franci, G.; Falanga, A.; Gómez, R.; Folliero, V.; Galdiero, S.; de la Mata, F.J.; Galdiero, M. Function Oriented Molecular Design: Dendrimers as Novel Antimicrobials. Molecules 2017, 22, 1581. [Google Scholar] [CrossRef] [PubMed]
- Sayed-Sweet, Y.; Hedstrand, D.M.; Spinder, R.; Tomalia, D.A. Hydrophobically modified poly(amidoamine) (PAMAM) dendrimers: Their properties at the air-water interface and use as nanoscopic container molecules. J. Mater. Chem. 1997, 7, 1199–1205. [Google Scholar] [CrossRef]
- Cheng, Y.Y.; Xu, T.W.; He, P.S. Polyamidoamine (PAMAM) dendrimers as curing agents: The optimum PAMAM concentration selected by dynamic torsional vibration method and thermogravimetric analyses. J. Appl. Polym. Sci. 2007, 103, 1430–1434. [Google Scholar] [CrossRef]
- Chauhan, A.S. Dendrimers for drug delivery. Molecules 2018, 23, 938. [Google Scholar] [CrossRef] [PubMed]
- Esfand, R.; Tomalia, D.A. Poly(amidoamine) (PAMAM) dendrimers: from biomimicry to drug delivery and biomedical applications. Drug Discov. Today 2001, 6, 427–436. [Google Scholar] [CrossRef]
- Palmerston Mendes, L.; Pan, J.; Torchilin, V.P. Dendrimers as Nanocarriers for Nucleic Acid and Drug Delivery in Cancer Therapy. Molecules 2017, 22, 1401. [Google Scholar] [CrossRef] [PubMed]
- Cheng, Y.; Xu, Z.; Ma, M.; Xu, T. Dendrimers as drug carriers: applications in different routes of drug administration. J. Pharm. Sci. 2008, 97, 123–143. [Google Scholar] [CrossRef] [PubMed]
- Zhao, Z.; Lou, S.; Hu, Y.; Zhu, J.; Zhang, C. A Nano-in-Nano Polymer-Dendrimer Nanoparticle-Based Nanosystem for Controlled Multidrug Delivery. Mol. Pharm. 2017, 14, 2697–2710. [Google Scholar] [CrossRef] [PubMed]
- Radu, D.R.; Lai, C.Y.; Jeftinija, K.; Rowe, E.W.; Jeftinija, S.; Lin, V.S.Y. A Polyamidoamine Dendrimer-Capped Mesoporous Silica Nanosphere-Based Gene Transfection Reagent. J. Am. Chem. Soc. 2004, 126, 13216–13217. [Google Scholar] [CrossRef] [PubMed]
- Bielinska, A.U.; Yen, A.; Wu, H.L.; Zahos, K.M.; Sun, R.; Weiner, N.D.; Baker, J.R.Jr.; Roessler, B.J. Application of membrane-based dendrimer/DNA complexes for solid phase transfection in vitro and in vivo. Biomaterials 2000, 21, 877–887. [Google Scholar] [CrossRef]
- Cheng, Y.Y.; Qu, H.O.; Ma, M.L.; Xu, Z.H.; Xu, P.; Fang, Y.J.; Xu, T.W. Polyamidoamine (PAMAM) dendrimers as biocompatible carriers of quinolone antimicrobials: An in vitro study. Eur. J. Med. Chem. 2007, 42, 1032–1038. [Google Scholar] [CrossRef] [PubMed]
- Jones, C.F.; Campbell, R.A.; Franks, Z.; Gibson, C.C.; Thiagarajan, G.; Vieira-de-Abreu, A.; Sukavaneshvar, S.; Mohammad, S.F.; Li, D.Y.; Ghandehari, H.; et al. Cationic PAMAM dendrimers disrupt key platelet functions. Mol. Pharm. 2012, 9, 1599–1611. [Google Scholar] [CrossRef] [PubMed]
- Vidal, F.; Vásquez, P.; Cayumán, F.R.; Díaz, C.; Fuentealba, J.; Aguayo, L.G.; Yévenes, G.E.; Alderete, J.; Guzmán, L. Prevention of Synaptic Alterations and Neurotoxic Effects of PAMAM Dendrimers by Surface Functionalization. Nanomaterials 2018, 8, 7. [Google Scholar] [CrossRef] [PubMed]
- Otto, D.P.; de Villiers, M.M. Poly (amidoamine) Dendrimers as a Pharmaceutical Excipient. Are We There yet? J. Pharm. Sci. 2018, 107, 75–83. [Google Scholar] [CrossRef] [PubMed]
- Enciso, A.E.; Neun, B.; Rodriguez, J.; Ranjan, A.P.; Dobrovolskaia, M.A.; Simanek, E.E. Nanoparticle effects on human platelets in vitro: A comparison between PAMAM and triazine dendrimers. Molecules 2016, 21, 428. [Google Scholar] [CrossRef] [PubMed]
- Zeng, Y.; Kurokawa, Y.; Win-Shwe, T.T.; Zeng, Q.; Hirano, S.; Zhang, Z.; Sone, H. Effects of PAMAM dendrimers with various surface functional groups and multiple generations on cytotoxicity and neuronal differentiation using human neural progenitor cells. J. Toxicol. Sci. 2016, 41, 351–370. [Google Scholar] [CrossRef] [PubMed]
- Wang, S.; Li, Y.; Fan, J.; Wang, Z.; Zeng, X.; Sun, Y.; Song, P.; Ju, D. The role of autophagy in the neurotoxicity of cationic PAMAM dendrimers. Biomaterials 2014, 35, 7588–7597. [Google Scholar] [CrossRef] [PubMed]
- Spyropoulos-Antonakakis, N.; Sarantopoulou, E.; Trohopoulos, P.N.; Stefi, A.L.; Kollia, Z.; Gavriil, V.E.; Bourkoula, A.; Petrou, P.S.; Kakabakos, S.; Semashko, V.V.; et al. Selective aggregation of PAMAM dendrimer nanocarriers and PAMAM/ZnPc nanodrugs on human atheromatous carotid tissues: A photodynamic therapy for atherosclerosis. Nanoscale Res. Lett. 2015, 10, 210. [Google Scholar] [CrossRef] [PubMed]
- Nigam, S.K.; Bhatnagar, V. How much do we know about drug handling by SLC and ABC drug transporters in children? Clin. Pharmacol. Ther. 2013, 94, 27–29. [Google Scholar] [CrossRef] [PubMed]
- Miyake, M.; Minami, T.; Hirota, M.; Toguchi, H.; Odomi, M.; Ogawara, K.; Higaki, K.; Kimura, T. Novel oral formulation safely improving intestinal absorption of poorly absorbable drugs: Utilization of polyamines and bile acids. J. Control. Release 2006, 111, 27–34. [Google Scholar] [CrossRef] [PubMed]
- Miyake, M.; Minami, T.; Toguchi, H.; Odomi, M.; Ogawara, K.; Higaki, K.; Kimura, T. Importance of bile acids for novel oral absorption system containing polyamines to improve intestinal absorption. J. Control. Release 2006, 115, 130–133. [Google Scholar] [CrossRef] [PubMed]
- He, L.; Gao, Y.; Lin, Y.L.; Katsumia, H.; Fujita, T.; Yamamoto, A. Improvement of pulmonary absorption of insulin and other water-soluble compounds by polyamines in rats. J. Control. Release 2007, 122, 94–101. [Google Scholar] [CrossRef] [PubMed]
- Hussain, A.; Arnold, J.J.; Khan, M.A.; Ahsan, F. Absorption enhancers in pulmonary protein delivery. J. Control. Release 2004, 94, 15–24. [Google Scholar] [CrossRef] [PubMed]
- Januchowski, R.; Zawierucha, P.; Andrzejewska, M.; Rucinski, M.; Zabel, M. Microarray-based detection and expression analysis of ABC and SLC transporters in drug-resistant ovarian cancer cell lines. Biomed. Pharmacot. 2013, 67, 240–245. [Google Scholar] [CrossRef] [PubMed]
- Montesinos, R.N.; Béduneau, A.; Pellequer, Y.; Lamprecht, A. Delivery of P-glycoprotein substrates using chemosensitizers and nanotechnology for selective and efficient therapeutic outcomes. J. Control. Release 2012, 161, 50–61. [Google Scholar] [CrossRef] [PubMed]
- Yang, T.Z.; Hussain, A.; Bai, S.H.; Khalil, I.A.; Harashima, H.; Ahsan, F. Positively charged polyethylenimines enhance nasal absorption of the negatively charged drug, low molecular weight heparin. J. Control. Release 2006, 115, 289–297. [Google Scholar] [CrossRef] [PubMed]
- Fox, L.J.; Richardson, R.M.; Briscoe, W.H. PAMAM dendrimer—Cell membrane interactions. Adv. Colloid Interface Sci. 2018, 257, 1–18. [Google Scholar] [CrossRef] [PubMed]
- Enna, S.J.; Schanker, L.S. Absorption of saccharides and urea from the rat lung. Am. J. Physiol. 1972, 222, 409–414. [Google Scholar] [CrossRef] [PubMed]
- Enna, S.J.; Schanker, L.S. Absorption of drugs from the rat lung. Am. J. Physiol. 1972, 223, 1227–1231. [Google Scholar] [CrossRef] [PubMed]
Sample Availability: Samples of the compounds (PAMAM and FDs) are not available from the authors. |









| Cmax (μg/mL) | Tmax (min) | AUC0–120 (μg∙min/mL) | E. Ratio | |
|---|---|---|---|---|
| Control | 2.1 ± 0.2 | 170.0 ± 43.6 | 374.3 ± 36.3 | 1.0 |
| 0.5% G0 | 2.2 ± 0.2 | 170.0 ± 43.6 | 327.5 ± 23.2 | 0.9 |
| 0.1% G1 | 2.4 ± 0.3 | 120.0 ± 34.6 | 398.0 ± 62.3 | 1.1 |
| 0.5% G1 | 2.9 ± 0.4 * | 127.5 ± 18.9 | 503.8 ± 51.8 * | 1.3 |
| 1% G1 | 3.6 ± 0.4 * | 135.0 ± 26.0 | 611.3 ± 68.3 ** | 1.6 |
| 0.1% G2 | 3.6 ± 0.3 * | 80.0 ± 20.0 | 73.7 ± 30.1 ** | 1.8 |
| 0.5% G2 | 5.0 ± 0.4 ** | 90.0 ± 17.3 | 894.2 ± 55.7 ** | 2.4 |
| 1% G2 | 5.5 ± 0.5 ** | 120.0 ± 0.0 | 921.8 ± 106.6 ** | 2.5 |
| 0.1% G3 | 4.4 ± 0.2 ** | 100.0 ± 10.0 | 728.5 ± 43.6 ** | 2.0 |
| 0.5% G3 | 6.0 ± 0.4 ** | 90.0 ± 13.5 * | 996.2 ± 74.4 ** | 2.7 |
| 1% G3 | 7.0 ± 0.5 ** | 102.0 ± 12.0 | 1103.0 ± 55.9 ** | 2.9 |
| Cmax (μg/mL) | Tmax (min) | AUC0→12 (μg·min/mL) | E. Ratio | |
|---|---|---|---|---|
| FD10 | ||||
| Control | 1.1 ± 0.1 | 150.0 ± 26.9 | 160.8 ± 16.9 | 1.0 |
| 0.5% G2 | 2.3 ± 0.3 | 130.0 ± 26.5 | 422.5 ± 46.4 ** | 2.6 |
| 0.5% G3 | 4.8 ± 0.2 | 130.0 ± 26.5 | 777.7 ± 11.0 ** | 4.8 |
| FD70 | ||||
| Control | 0.2 ± 0.0 | 22.2 ± 2.4 | 1.0 | |
| 0.5% G2 | 1.8 ± 0.2 | 200.0 ± 20.0 | 247.0 ± 13.7 ** | 11.1 |
| 0.5% G3 | 1.8 ± 0.1 | 180.0 ± 0.0 | 309.1 ± 22.8 ** | 13.9 |
| Gene Symbol | Up/Downregulation | Gene Symbol | Up/Downregulation |
|---|---|---|---|
| SLC1A1 | NS | ABCA3 | 5.5290 |
| SLC1A4 | 2.0397 | ABCA8 | 3.6258 |
| SLC1A5 | −1.5712 | ABCB4 | 2.7293 |
| SLC2A8 | 5.6435 | ABCB6 | −3.2718 |
| SLC2A10 | −4.7236 | ABCG2 | 4.2827 |
| SLC2A14 | 2.9663 | ||
| SLC3A2 | 7.8088 | ||
| SLC6A1 | 0.5 | ||
| SLC7A2 | 4.1319 | ||
| SLC7A3 | 3.6651 | ||
| SLC7A8 | 4.7563 | ||
| SLC7A11 | NS | ||
| SLC12A1 | 6.9684 | ||
| SLC12A9 | −0.4557 | ||
| SLC16A4 | −3.0071 | ||
| SLC16A10 | 8.7864 | ||
| SLC20A2 | 3.3255 | ||
| SLC22A1 | 19.3628 | ||
| SLC22A2 | 23.4791 | ||
| SLC22A3 | 16.7368 | ||
| SLC35F2 | 8.5638 | ||
| SLC40A1 | 4.3789 |
| Gene | Forward/Reverse Primer | Conditions | Product Size |
|---|---|---|---|
| LC22A1 | F:CTGAGGGAGACATTGCACCT | 95 °C 30 s | 161 bp |
| R:CGACAGCAGGCATAAGATGA | 55 °C 30 s | ||
| 72 °C 1 min | |||
| LC22A2 | F:CCGGATGTGGAACCTTATTGT | 95 °C 30 s | 179 bp |
| R:CGGTGGTCTGTTGGATGGT | 58 °C 30 s | ||
| 72 °C 1 min | |||
| SLC22A3 | F:GTCACCTTCGCCTTCCTCTT | 95 °C 30 s | 242 bp |
| R:CAGCTGAGAGCGCTAGTGG | 60 °C 30 s | ||
| 72 °C 1 min | |||
| ACTB | F:AAACTGGAACGGTGAAGGTG | 95 °C 30 s | 171 bp |
| R:AGAGAAGTGGGGTGGCTTTT | 60 °C 30 s | ||
| 72 °C 1 min |
© 2018 by the authors. Licensee MDPI, Basel, Switzerland. This article is an open access article distributed under the terms and conditions of the Creative Commons Attribution (CC BY) license (http://creativecommons.org/licenses/by/4.0/).
Share and Cite
Lu, J.; Li, N.; Gao, Y.; Li, N.; Guo, Y.; Liu, H.; Chen, X.; Zhu, C.; Dong, Z.; Yamamoto, A. The Effect of Absorption-Enhancement and the Mechanism of the PAMAM Dendrimer on Poorly Absorbable Drugs. Molecules 2018, 23, 2001. https://doi.org/10.3390/molecules23082001
Lu J, Li N, Gao Y, Li N, Guo Y, Liu H, Chen X, Zhu C, Dong Z, Yamamoto A. The Effect of Absorption-Enhancement and the Mechanism of the PAMAM Dendrimer on Poorly Absorbable Drugs. Molecules. 2018; 23(8):2001. https://doi.org/10.3390/molecules23082001
Chicago/Turabian StyleLu, Juan, Nannan Li, Yaochun Gao, Nan Li, Yifei Guo, Haitao Liu, Xi Chen, Chunyan Zhu, Zhengqi Dong, and Akira Yamamoto. 2018. "The Effect of Absorption-Enhancement and the Mechanism of the PAMAM Dendrimer on Poorly Absorbable Drugs" Molecules 23, no. 8: 2001. https://doi.org/10.3390/molecules23082001
APA StyleLu, J., Li, N., Gao, Y., Li, N., Guo, Y., Liu, H., Chen, X., Zhu, C., Dong, Z., & Yamamoto, A. (2018). The Effect of Absorption-Enhancement and the Mechanism of the PAMAM Dendrimer on Poorly Absorbable Drugs. Molecules, 23(8), 2001. https://doi.org/10.3390/molecules23082001
