Abstract
A rapid and efficient total synthesis of ficuseptamines A and B by a cross metathesis strategy is described.
1. Introduction
Ficuseptamines A, B, and C (1a–c) were isolated from the leaves of Ficus septica and reported by Shin-ya and co-workers in 2009 (Figure 1) [1]. Ficuseptamines A and B possess an aminocaprophenone structure, while ficuseptamine C contains a pyrrolidine moiety in its structure. After their isolation, these alkaloids were evaluated for cytotoxicity against HeLa (human cervical carcinoma) and ACC-MESO-1 (malignant pleural mesothelioma) cancer cell lines. Ficuseptamine A displayed IC50 values of 57 μM and 160 μM against HeLa and ACC-MESO-1 cells lines, respectively. Ficuseptamine B showed better cytotoxicity against the same cell lines (IC50: 23 μM for HeLa; 72 μM for ACC-MESO-1), while ficuseptamine C showed no activity against either cell line. The aryl ketone motif, which is present in ficuseptamines A and B, is frequently found in natural products [2,3] and biologically active molecules [4]. We were interested in devising a novel strategy targeting ficuseptamines A and B for their first total synthesis. We thought that designing an efficient and facile strategy for their rapid total synthesis would offer the possibility of synthesizing ficuseptamine A and B analogues for biological evaluation, given the commercial availability of a wide variety of functionalized terminal olefins, which could be utilized in library design and synthesis. In addition, the incorporation of fluorine atom(s) into ficuseptamines A and B to synthesize fluorinated analogues could also significantly improve their biological activity [5,6].
Figure 1.
Structures of ficuseptamine A, B, and C (1a–c).
Olefin metathesis is one of the most useful carbon–carbon bond-forming reactions, and it has found tremendous use in organic chemistry for the construction of a myriad of organic molecules [7,8,9,10]. This highly powerful transformation has also been elegantly utilized in the total synthesis of numerous natural products [11,12]. Olefin metathesis catalysts that promote this transformation are displayed in Figure 2. Cross metathesis (CM) is one of the most popular transformations for connecting two independent olefins together to form a more complex olefinic product, which could require several steps to synthesize if a different methodology was employed. Although ring-closing metathesis (RCM) has found extensive use in the total synthesis of numerous natural products, CM has become increasingly popular in the field of total synthesis [13,14,15], particularly after the discovery of Z-selective olefin metathesis catalysts [16]. As part of our interest in the power of olefin metathesis to facilitate useful transformations [17], we report herein a highly efficient methodology for the total synthesis of ficuseptamines A and B, utilizing a cross metathesis approach.
Figure 2.
Ruthenium-based olefin metathesis catalysts.
2. Results and Discussion
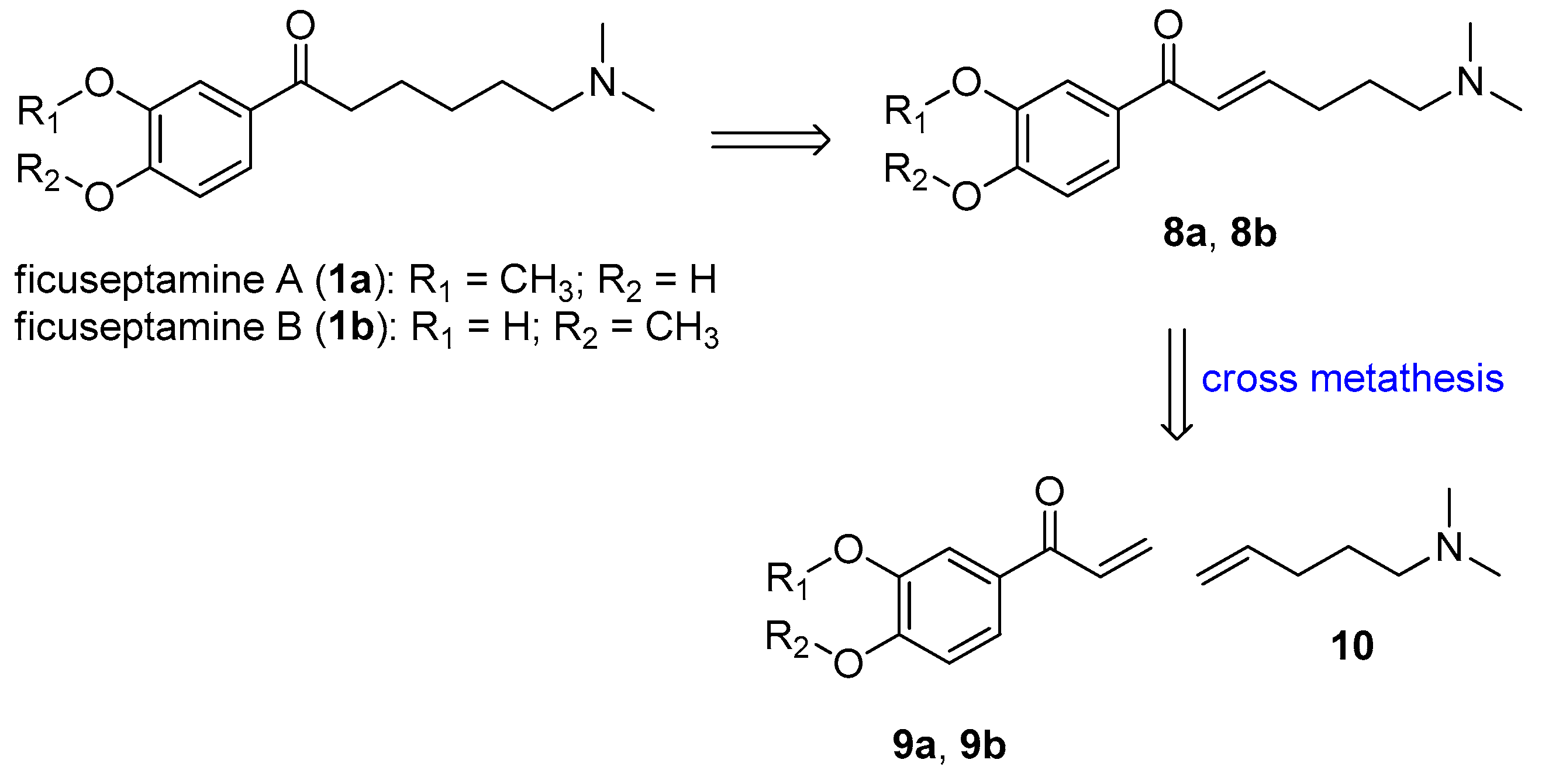
A retrosynthetic analysis of ficuseptamines A and B is depicted in Scheme 1. We commenced the synthetic work by first targeting ficuseptamine A for total synthesis. Aryl ketone 9a was prepared in two sequential steps from commercially available alcohol 11 via halogenation and dehydrohalogenation reactions (Scheme 2).
Scheme 1.
Retrosynthetic analysis of ficuseptamines A and B.
Scheme 2.
Bromination of 11 followed by dehydrobromination with DBU to give CM precursor 9a.
Thus, primary alcohol 11 was transformed into its bromo counterpart (i.e., 12), under the influence of hydrobromic acid to furnish 12 in high yield (93%). Subsequent treatment of the brominated product 12 with DBU (1,8-diazabicyclo[5.4.0]undec-7-ene) delivered CM precursor 9a in 69% yield through dehydrobromination.
Next, we explored the key CM reaction between 9a and N,N-dimethyl-4-pentene-1-amine 10 to afford the α,β-unsaturated CM product 8a. We initially performed the CM reaction using Grubbs I catalyst 4 (5 mol %) with CH2Cl2 as a solvent to afford CM product 8a in 22% yield (entry 1, Table 1). Increasing the Grubbs I catalyst 4 loading (10 mol %) provided 8a in a disappointing 15% yield (entry 2, Table 1). We then turned our attention to Grubbs II catalyst 5, which gave the CM product 8a in modest 37 and 41% yields using 5 mol % and 10 mol % catalyst loading in CH2Cl2, respectively (entries 3 and 4, Table 1). Switching the solvent from CH2Cl2 to toluene and performing the reaction with Grubbs II catalyst 5 (10 mol %) at 80 °C improved the yield to 47% (entry 5, Table 1).
Table 1.
Optimization of the CM reaction.
A report by Grubbs and co-workers described how the presence of the phosphine ligand (PCy3) in olefin metathesis catalysts can attack the carbine through its dissociation from the metal complex via decomposition [18]. This fact turned our attention to Hoveyda-Grubbs II 7, which lacks the PCy3 ligand. Pleasingly, the use of Hoveyda-Grubbs II 7 (5 mol %) increased the yield significantly, to afford 8a in a 68% yield using CH2Cl2 as the solvent (entry 6, Table 1). Treating 9a and 10 with an increased Hoveyda-Grubbs II 7 loading (10 mol %) in CH2Cl2 provided 8a in an excellent 76% yield (entry 7, Table 1). In contrast, increasing the temperature to 80 °C and changing the solvent from CH2Cl2 to toluene diminished the yield to 52% (compare entry 7 vs. 8, Table 1). The double bond geometry of the CM product 8a was identified as the (E)-configured isomer, indicating that CM proceeded selectively to give the thermodynamically stable (E)-isomer exclusively. A change in molar ratio of the coupling partners 9a and 10, and performing the reaction using 10 mol % of Hoveyda-Grubbs II 7 in CH2Cl2, resulted in a reduction of the yield to 42%, with formation of the homodimer of 10 as a competing side-product (entry 9, Table 1). Grubbs and co-workers categorized olefin metathesis substrates as Type I, Type II, Type III, or Type IV [19]. According to Grubbs’ selectivity model, terminal olefin 10 is a Type I olefin substrate, which usually undergoes fast homodimerization, while olefin 9a is a Type II olefin, which undergoes slow homodimerization. Thus, such a change in the ratio of the coupling partners 9a and 10 has promoted homodimerization of 10 to occur.
With synthesis of compound 8a accomplished through CM, saturation of the newly formed double bond (Pd/C, H2, CH3OH, r.t., 16 h) proceeded smoothly to provide ficuseptamine A in 62% isolated yield. We then envisioned performing one-pot CM/hydrogenation reactions for the synthesis of ficuseptamine A without isolation of the unsaturated CM product 8a. In fact, a literature screen revealed that such a CM/hydrogenation maneuver had been reported by Cossy and co-workers in their total synthesis of (‒)-centrolobine [20]. One-pot sequential reactions are increasingly being utilized in organic synthesis to accelerate the synthesis of target molecules [21]. Motivated by Cossy’s work, we subjected aryl ketone 9a and terminal olefin 10 to our optimized CM conditions, followed by hydrogenation in a one-pot fashion, to afford ficuspetamine A in 65% yield directly from the starting materials 9a and 10 (Scheme 3). This one-pot CM/hydrogenation sequence proved to be fruitful, thus improving the efficiency of the synthesis of ficuseptamine A.
Scheme 3.
Improving ficuseptamine A (1a) synthesis by a one-pot CM/hydrogentation sequence.
With ficuseptamine A (1a) synthesis accomplished, we moved forward to target ficuseptamine B (1b). We imagined employing a dual ethenolysis [22] and CM approach for its total synthesis. We envisaged that aryl ketone 9b, which is a different regioisomer to aryl ketone 9a, could be achieved by ethenolysis of the Claisen-Schmidt product 17, using a suitable olefin metathesis catalyst to dissect the internal alkene of 17 to give the desired terminal olefin 9b (Scheme 4). We also thought that this method would allow access to styrene derivatives (e.g., compounds such as 18), which are important building blocks in organic chemistry.
Scheme 4.
Synthetic plan for the synthesis of aryl ketone 9b via a Claisen-Schmidt reaction followed by ethenolysis.
We began the synthesis towards ficuseptamine B by first preparing the Claisen-Schmidt product 17. We initially combined 3-hydroxy-4-methoxyacetophenone 15 and 3-hydroxy-4-methoxybenzaldehyde 16 under aqueous NaOH conditions in EtOH, which provided chalcone 17 in 46% yield (entry 1, Table 2). The use of cesium carbonate (Cs2CO3) as the base in EtOH led to 17 in 41% yield (entry 2, Table 2). However, efficient synthesis of 17 was achieved using SOCl2/EtOH as a catalyst system (acid catalysis) [23] to afford 17 in 83% yield (entry 3, Table 2).
Table 2.
Synthesis of Claisen-Schmidt product 17 under various catalysis conditions. a All reactions were carried out using ketone 15 (1 equiv.), aldehyde 16 (1 equiv.), and catalyst in EtOH at 23 °C. b NaOH (10% w/v).
With the Claisen-Schmidt product 17 in hand, we employed the conditions reported by Diver and co-workers with slight modification for its ethenolysis [24]. Exposing 17 to ethylene gas (60 psi pressure) with Hoveyda-Grubbs II 7 and using 1,2-DCE (1,2-dichloroethane) as a solvent at 40 °C delivered aryl ketone 9b in 71% yield (Scheme 5).
Scheme 5.
Ethenolysis of chalcone 17 to deliver aryl ketone 9b.
To the best of our knowledge, this is the first time ethenolysis has been applied to cleave a chalcone compound (i.e., structure such as 17). Importantly, no isomerization [25] of the double bond is possible, given the structure of chalcone 17, which lacks any methylene groups adjacent to the double bond. Having accomplished the synthesis of aryl ketone 9a through ethenolysis, we employed the one-pot, two-step CM/hydrogenation protocol previously used in ficuseptamine A synthesis. Gratifyingly, subjecting aryl ketone 9b and terminal olefin 10 to our optimized CM conditions (Hoveyda-Grubbs II 7 (10 mol %), CH2Cl2, 40 °C) followed by one-pot hydrogenation delivered ficuseptamine B in 69% yield (Scheme 6).
Scheme 6.
Synthesis of ficuseptamine B (1b) by one-pot CM/hydrogenation sequence.
The spectroscopic data of the synthetic ficuseptamines A and B were identical to those reported by Shin-ya and co-workers [1]. The described chemistry for the synthesis of ficuseptamines A and B through CM allows the generation of various analogues of these natural products in a straightforward manner, which could have other biological activities, such as potential ligands for the 5-HT7 receptor [26].
3. Conclusions
In summary, we have reported a highly efficient methodology for the first total synthesis of ficuseptamines A and B through a CM strategy. A sequential one-pot, two-step CM/hydrogenation procedure was employed to expediently accomplish their total synthesis.
4. Materials and Methods
4.1. General Chemistry Experimental
Chemical reactions were performed in over-dried glassware under nitrogen and anhydrous conditions, unless otherwise stated. Reactions were magnetically stirred using a Teflon-coated stir bar and monitored by pre-coated silica gel aluminum plates (0.25 mm thickness) with a fluorescent indicator (254 nm), using UV light as the visualizing agent. Alternatively, oxidative staining using an aqueous basic solution of KMnO4 and heat was carried out for visualization. Silica gel (60 Å, 200–425 mesh) was used for flash column chromatography. Nuclear magnetic resonance (NMR) spectra were recorded on a Bruker 400 MHz spectrometer (Bruker, Billerica, MA, USA) in acetone-d6, CDCl3, or DMSO-d6 as the solvent. Chemical shifts are reported in parts per million (ppm) with reference to the hydrogenated residues of the deuterated solvent as the internal standard. Coupling constants (J values) are recorded in Hertz (Hz), and signal patterns are expressed as follows: singlet (s), doublet (d), dd (doublet of doublets), triplet (t), quintet (quint), and multiplet (m). Elemental analyses were performed on a 2400 Perkin Elmer Series II analyzer (PerkinElmer, Inc., Waltham, MA, USA). High-resolution mass spectrometry was conducted using a Micromass Q-ToF mass spectrometer (Waters Corporation, Milford, MA, USA).
4.2. Experimental Procedures for Chemical Synthesis and Characterization Data of Compounds
4.2.1. Synthesis of 1-(4-Hydroxy-3-methoxyphenyl)prop-2-en-1-one (9a)
A round-bottom flask equipped with a magnetic stir bar was charged with 3-hydroxy-1-(4-hydroxy-3-methoxyphenyl)propan-1-one 11 (2.52 g, 12.8 mmol) and conc. HBr (30 mL) was then added. The reaction mixture was then stirred at 95 °C for 2 h. The reaction mixture was cooled to room temperature and the resulting precipitate was filtered, washed with ice-cold H2O, and dried to afford 3-bromo-1-(4-hydroxy-3-methoxyphenyl)propan-1-one 12 (quantitative yield, 3.09 g, 93%) as a white solid, which was judged to be of good purity by TLC analysis and mass spectrometry, and carried forward in crude form to the next step. To a stirred solution of 3-bromo-1-(4-hydroxy-3-methoxyphenyl)propan-1-one 12 (3 g, 11.6 mmol) in dry benzene (50 mL), was added, dropwise, a solution of DBU (2.08 mL, 13.9 mmol) in dry benzene (5 mL). A condenser was attached, and the reaction mixture was stirred at 70 °C for 3 h. The solvent was removed in vacuo, and the crude product was extracted with EtOAc (three times). The combined organic layers were washed with H2O, brine, dried over MgSO4, filtered, and concentrated in vacuo. The crude product was then purified by silica gel column chromatography to afford 9a (1.42 g, 69%) as a white solid. 1H-NMR (400 MHz, acetone-d6): δ 7.66 (dd, J = 8.4, 2.0 Hz, 1H), 7.61 (d, J = 2.0 Hz, 1H), 7.40 (dd, J = 17.0, 10.4 Hz, 1H), 6.95 (d, J = 8.4 Hz, 1H), 6.36 (dd, J = 17.0, 2.0 Hz, 1H), 5.86 (dd, J = 10.4, 2.0 Hz, 1H), 3.93 (s, 3H); HRMS calcd. for C10H11O3 [M + H]+ 179.0708, found 179.0713. Anal. calcd. for C10H10O3: C, 67.41; H, 5.66. Found: C, 67.31; H, 5.55.
4.2.2. Synthesis of Ficuseptamine A by a One-Pot Cross Metathesis/Hydrogenation Procedure (1a)
To a stirred solution of aryl ketone 9a (315 mg, 1.77 mmol) and N,N-dimethyl-4-pentene-1-amine 10 (100 mg, 0.885 mmol) in dry and degassed CH2Cl2 (5 mL), was added Hoveyda-Grubbs second generation catalyst 7 (55 mg, 0.0885 mmol, 10 mol %). The reaction mixture was then deoxygentated by performing vacuum/N2 cycles four times and stirred at 40 °C for 10 h. After the completion of the reaction, Pd/C (10 wt %) was added, and the N2 atmosphere was substituted with H2 by performing vacuum/H2 cycles four times. The reaction mixture was then stirred under a double layer H2 balloon at 23 °C for 16 h. The Pd/C catalyst was removed by filtration through a pad of Celite®, followed by washing of the filter cake with CH2Cl2 (10 mL), and the filtrate was evaporated in vacuo. The crude product was purified directly by silica gel column chromatography to afford ficuseptamine A (1a) as a white solid (153 mg, 65%). Spectroscopic data for synthetic ficuseptamine A matched literature data of natural ficuseptamine A [1]. 1H-NMR (400 MHz, acetone-d6): δ 7.57 (dd, J = 8.4, 2.0 Hz, 1H), 7.54 (d, J = 2.0 Hz, 1H), 6.89 (d, J = 8.4 Hz, 1H), 3.89 (s, 3H), 2.93 (t, J = 7.2 Hz, 2H), 2.21 (t, J = 7.2 Hz, 2H), 2.13 (s, 2 × 3H), 1.68 (quint, J = 7.2 Hz, 2H), 1.47 (quint, J = 7.2 Hz, 2H), 1.37 (quint, J = 7.2 Hz, 2H); 13C-NMR (100 MHz, acetone-d6) δ: 198.6, 152.1, 148.3, 130.6, 123.8, 115.3, 111.5, 60.2, 56.2, 45.6, 38.4, 28.3, 27.8, 25.3; HRMS calcd. for C15H24NO3 [M + H]+ 266.1756, found 266.1767. Anal. calcd. for C15H23NO3: C, 67.90; H, 8.74; N, 5.18. Found: C, 67.76; H, 8.70; N, 5.07.
4.2.3. Synthesis of (2E)-1,3-Bis(3-Hydroxy-4-methoxyphenyl)prop-2-en-1-one (17)
Compound 17 was synthesized using a previously reported method, except that it required purification [23]. To a stirred solution of 3-hydroxy-4-methoxyacetophenone 15 (1.20 g, 7.89 mmol) and 3-hydroxy-4-methoxybenzaldehyde 16 (1.31 g, 7.89 mmol) in absolute EtOH (5 mL), was added thionyl chloride (0.58 mL, 7.89 mmol) dropwise and the reaction mixture was stirred at 23 °C for 4 h. The reaction mixture was precipitated by the addition of H2O (~5 mL), and the resulting precipitate was filtered, washed with ice-cold H2O, and ice-cold EtOH. After the crude product was allowed to air dry, purification by recrystallization from EtOH afforded 17 (1.97 g, 83%) as a yellow solid. Analytical data were in accordance with literature data [27]. 1H-NMR (400 MHz, CDCl3): δ 7.72 (d, J = 16.2 Hz, 1H), 7.63-7.60 (m, 2H), 7.40 (d, J = 16.2 Hz, 1H), 7.28-7.27 (m, 1H), 7.12 (dd, J = 10.4, 2.0 Hz, 1H), 6.93 (d, J = 8.2 Hz, 1H), 6.85 (d, J = 8.2 Hz, 1H), 3.98 (s, 3H), 3.94 (s, 3H); 13C NMR (100 MHz, DMSO-d6): δ 188.5, 152.7, 150.7, 147.0, 146.9, 144.3, 131.3, 128.1, 122.8, 122.4, 119.8, 115.2, 114.8, 112.5, 111.8, 56.3, 56.2; HRMS calcd. for C17H17O5 [M + H]+ 301.1076, found 301.1065. Anal. calcd. for C17H16O5: C, 67.99; H, 5.37. Found: C, 67.80; H, 5.41.
4.2.4. Synthesis of 1-(3-Hydroxy-4-methoxyphenyl)prop-2-en-1-one (9b)
Compound 9b was synthesized using the slightly modified reaction conditions of Diver et al. [24]. To an inert and oven-dried high-pressure flask, was added compound 17 (800 mg, 2.67 mmol), dry and degassed 1,2-dichloroethane (35 mL), and Hoveyda-Grubbs second generation catalyst 7 (42 mg, 0.067 mmol). The flask was purged with ethylene for 5 min, pressurized to 60 psi, and stirred at 40 °C for 12 h, after which time TLC analysis indicated consumption of the internal alkene 17. The pressure was then slowly vented, and the solvent was evaporated in vacuo. The crude product was then purified directly by silica gel column chromatography, to afford 9b (337 mg, 71%) as a white solid. 1H-NMR (400 MHz, acetone-d6): δ 7.59 (dd, J = 8.4, 2.0 Hz, 1H), 7.50 (d, J = 2.0 Hz, 1H), 7.33 (dd, J = 17.0, 10.4 Hz, 1H), 7.07 (d, J = 8.4 Hz, 1H), 6.33 (dd, J = 17.0, 2.0 Hz, 1H), 5.84 (dd, J = 10.4, 2.0 Hz, 1H), 3.94 (s, 3H); 13C NMR (100 MHz, acetone-d6): δ 188.9, 153.0, 147.7, 133.2, 131.8 128.9, 122.8, 115.7, 111.8, 56.5; HRMS calcd. for C10H11O3 [M + H]+ 179.0708, found 179.0719. Anal. calcd. for C10H10O3: C, 67.41; H, 5.66. Found: C, 67.35; H, 5.59.
4.2.5. Synthesis of Ficuseptamine B by a One-Pot Cross Metathesis/Hydrogenation Procedure (1b)
The experimental procedure for the synthesis of ficuseptamine A (1a) was followed, except that aryl ketone 9b was used as the cross metathesis partner with N,N-dimethyl-4-pentene-1-amine 10 to afford ficuspetamine B (1b) (162 mg, 69%) as a white solid. Spectroscopic data for synthetic ficuseptamine B matched literature data of natural ficuseptamine B [1]. 1H-NMR (400 MHz, acetone-d6): δ 7.52 (dd, J = 8.5, 2.0 Hz, 1H), 7.46 (d, J = 2.0 Hz, 1H), 7.01 (d, J = 8.5 Hz, 1H), 3.90 (s, 3H), 2.90 (t, J = 7.2 Hz, 2H), 2.24 (t, J = 7.2 Hz, 2H), 2.15 (s, 2 × 3H), 1.66 (quint, J = 7.2 Hz, 2H), 1.48 (quint, J = 7.2 Hz, 2H), 1.37 (quint, J = 7.2 Hz, 2H); 13C-NMR (100 MHz, acetone-d6): δ 198.9, 152.4, 147.3, 131.7, 121.7, 115.2, 111.5, 60.1, 56.3, 45.5, 38.5, 28.1, 27.7, 25.2; HRMS calcd. for C15H24NO3 [M + H]+ 266.1756, found 266.1741. Anal. calcd. for C15H23NO3: C, 67.90; H, 8.74; N, 5.28. Found: C, 67.78; H, 8.66; N, 5.19.
Author Contributions
Conceived of and designed the experiments: H.M.A.H. Performed the experiments: H.M.A.H. Analyzed the data: H.M.A.H. Wrote the paper: H.M.A.H.
Acknowledgments
This work was funded by the Deanship of Scientific Research (DSR), King Abdulaziz University, under grant number G-1436-141-202. The author, therefore, would like to thank DSR for financial support.
Conflicts of Interest
The author declares no conflict of interest.
References
- Ueda, J.-Y.; Takagi, M.; Shin-ya, K. Aminocaprophenone- and pyrrolidine-type alkaloids from the leaves of Ficus septica. J. Nat. Prod. 2009, 72, 2181–2183. [Google Scholar] [CrossRef] [PubMed]
- Battaglia, U.; Moody, C.J. A short synthesis of the triazolopyrimidine antibiotic essramycin. J. Nat. Prod. 2010, 73, 1938–1939. [Google Scholar] [CrossRef] [PubMed]
- Wang, W.; Zeng, Y.H.; Osman, K.; Shinde, K.; Rahman, M.; Gibbons, S.; Mu, Q. Norlignans, acylphloroglucinols, and a dimeric xanthone from Hypericum chinense. J. Nat. Prod. 2010, 73, 1815–1820. [Google Scholar] [CrossRef] [PubMed]
- Pais, G.C.G.; Zhang, X.; Marchand, C.; Neamati, N.; Cowansage, K.; Svarovskaia, E.S.; Pathak, V.K.; Tang, Y.; Nicklaus, M.; Pommier, Y.; et al. Structure activity of 3-aryl-1,3-diketo-containing compounds as HIV-1 integrase inhibitors. J. Med. Chem. 2002, 45, 3184–3194. [Google Scholar] [CrossRef] [PubMed]
- Purser, S.; Moore, P.R.; Swallow, S.; Gouverneur, V. Fluorine in medicinal chemistry. Chem. Soc. Rev. 2008, 37, 320–330. [Google Scholar] [CrossRef] [PubMed]
- Han, C.; Salyer, A.E.; Kim, E.H.; Jiang, X.; Jarrad, R.E.; Powers, M.S.; Kirchhoff, A.M.; Salvador, T.K.; Chester, J.A.; Hockerman, G.H.; et al. Evaluation of difluoromethyl ketones as agonists of the γ-aminobutyric acid type B (GABAB) receptor. J. Med. Chem. 2013, 56, 2456–2465. [Google Scholar] [CrossRef] [PubMed]
- Vougioukalakis, G.C.; Grubbs, R.H. Ruthenium-based heterocyclic carbene-coordinated olefin metathesis catalysts. Chem. Rev. 2010, 110, 1746–1787. [Google Scholar] [CrossRef] [PubMed]
- Hassan, H.M.A. Recent applications of ring-closing metathesis in the synthesis of lactams and macrolactams. Chem. Commun. 2010, 46, 9100–9106. [Google Scholar] [CrossRef] [PubMed]
- Connon, S.J.; Blechert, S. Recent developments in olefin cross-metathesis. Angew. Chem. Int. Ed. 2003, 42, 1900–1923. [Google Scholar] [CrossRef] [PubMed]
- Hoveyda, A.H.; Zhugralin, A.R. The remarkable metal-catalysed olefin metathesis reaction. Nature 2007, 450, 243–251. [Google Scholar] [CrossRef] [PubMed]
- Nicolaou, K.C.; Bulger, P.G.; Sarlah, D. Metathesis reactions in total synthesis. Angew. Chem. Int. Ed. 2005, 44, 4490–4527. [Google Scholar] [CrossRef] [PubMed]
- Fürstner, A. Metathesis in total synthesis. Chem. Commun. 2011, 47, 6505–6511. [Google Scholar] [CrossRef] [PubMed]
- Chatare, V.K.; Andrade, R.B. Total synthesis of (−)-albocycline. Angew. Chem. Int. Ed. 2017, 56, 5909–5911. [Google Scholar] [CrossRef] [PubMed]
- Herbert, M.B.; Marx, V.M.; Pederson, R.L.; Grubbs, R.H. Concise syntheses of insect pheromones using Z-selective cross metathesis. Angew. Chem. Int. Ed. 2013, 52, 310–314. [Google Scholar] [CrossRef] [PubMed]
- Mann, T.J.; Speed, A.W.H.; Schrock, R.R.; Amir, H.; Hoveyda, A.H. Catalytic Z-selective cross-metathesis with secondary silyl- and benzyl-protected allylic ethers: Mechanistic aspects and applications to natural product synthesis. Angew. Chem. Int. Ed. 2013, 52, 8395–8400. [Google Scholar] [CrossRef] [PubMed]
- Herbert, M.B.; Grubbs, R.H. Z-selective cross metathesis with ruthenium catalysts: Synthetic applications and mechanistic implications. Angew. Chem. Int. Ed. 2015, 54, 5018–5024. [Google Scholar] [CrossRef] [PubMed]
- Hassan, H.M.A.; Brown, F.K. A convenient approach to acyclic unsaturated amino acids via ring-closing metathesis. Chem. Commun. 2010, 46, 3013–3015. [Google Scholar] [CrossRef] [PubMed]
- Hong, S.H.; Wenzel, A.G.; Salguero, T.T.; Day, M.W.; Grubbs, R.H. Decomposition of ruthenium olefin metathesis catalysts. J. Am. Chem. Soc. 2007, 129, 7961–7968. [Google Scholar] [CrossRef] [PubMed]
- Chatterjee, A.K.; Choi, T.-L.; Sanders, D.P.; Grubbs, R.H. A general model for selectivity in olefin cross metathesis. J. Am. Chem. Soc. 2003, 125, 11360–11370. [Google Scholar] [CrossRef] [PubMed]
- Boulard, L.; BouzBouz, S.; Cossy, J.; Franck, X.; Figadère, B. Two successive one-pot reactions leading to the expeditious synthesis of (−)-centrolobine. Tetrahedron Lett. 2004, 45, 6603–6605. [Google Scholar] [CrossRef]
- Hayashi, Y. Pot economy and one-pot synthesis. Chem. Sci. 2016, 7, 866–880. [Google Scholar] [CrossRef] [PubMed]
- Bidange, J.; Fischmeister, C.; Bruneau, C. Ethenolysis: A green catalytic tool to cleave carbon—Carbon double bonds. Chem. Eur. J. 2016, 22, 12226–12244. [Google Scholar] [CrossRef] [PubMed]
- Petrov, O.; Ivanova, Y.; Gerova, M. SOCl2/EtOH: Catalytic system for synthesis of chalcones. Catal. Commun. 2008, 9, 315–316. [Google Scholar] [CrossRef]
- Clark, J.R.; French, J.M.; Diver, S.T. Alkene metathesis approach to β-unsubstituted anti-allylic alcohols and their use in ene-yne metathesis. J. Org. Chem. 2012, 77, 1599–1604. [Google Scholar] [CrossRef] [PubMed]
- Hong, S.H.; Sanders, D.P.; Lee, C.W.; Grubbs, R.H. Prevention of undesirable isomerization during olefin metathesis. J. Am. Chem. Soc. 2005, 127, 17160–17161. [Google Scholar] [CrossRef] [PubMed]
- Perrone, R.; Berardi, F.; Colabufo, N.A.; Lacivita, E.; Leopoldo, M.; Tortorella, V. Synthesis and structure-affinity relationships of 1-[ω-(4-aryl-1-piperazinyl) alkyl]-1-aryl ketones as 5-HT7 receptor ligands. J. Med. Chem. 2003, 46, 646–649. [Google Scholar] [CrossRef] [PubMed]
- Leow, P.-C.; Bahety, P.; Boon, C.P.; Lee, C.Y.; Tan, K.L.; Yang, T.; Ee, P.-L.R. Functionalized curcumin analogs as potent modulators of the Wnt/β-catenin signaling pathway. Eur. J. Med. Chem. 2014, 71, 67–80. [Google Scholar] [CrossRef] [PubMed]
Sample Availability: Samples of the compounds are not available from the author. |
© 2018 by the author. Licensee MDPI, Basel, Switzerland. This article is an open access article distributed under the terms and conditions of the Creative Commons Attribution (CC BY) license (http://creativecommons.org/licenses/by/4.0/).









