Abstract
A library of bidentate diols, as well as tridentate triols and aminodiols, derived from (+)-sabinol, was synthesized in a stereoselective manner. Sabinol was transformed into allylic trichloroacetamide via Overman rearrangement of the corresponding trichloroacetimidate. After changing the protecting group to Boc, the enamine was subjected to stereospecific dihydroxylation with OsO4/NMO, resulting in the (1R,2R,3R,5R)-aminodiol diastereomer. The obtained primary aminodiol was transformed to a secondary analogue. The ring closure of the N-benzyl-substituted aminodiol with formaldehyde was investigated and regioselective formation of the spiro-oxazolidine ring was observed. Hydroboration or dihydroxylation of sabinol or its benzyl ether with OsO4/NMO resulted in the formation of sabinane-based diols and triols following a highly stereospecific reaction. Treatment of sabinol with m-CPBA afforded O-benzoyl triol as a diastereoisomer of the directly dihydroxylated product, instead of the expected epoxy alcohol. The resulting aminodiols, diol, and triols were applied as chiral catalysts in the reaction of diethylzinc and benzaldehyde from moderate to good selectivity.
1. Introduction
In recent years, the discovery and application of new chiral auxiliaries and catalysts have become a crucial question in stereoselective syntheses [1,2,3,4]. To achieve new, efficient, and commercially available chiral catalysts, natural chiral terpenes [5], including (+)-pulegone [6,7,8], α- and β-pinene [9,10,11,12,13,14], and fenchone-camphor [15,16,17,18,19] have proved to be excellent sources. Starting from these readily available natural sources, several powerful chiral catalysts, including various di- and trifunctional synthons, such as 1,3-aminoalcohols and aminodiols, have been applied in stereoselective syntheses [5,20].
Besides their importance in enantioselective catalysis, 3-amino-1,2-diols are good starting materials for the synthesis of various heterocyclic ring systems, such as 1,3-oxazines or oxazolidines [8,11,21,22,23,24,25]. Several mono- or bicyclic aminodiol derivatives possess remarkable biological activity. The Abbott aminodiol was also found to be a useful building block for the synthesis of the potent renin inhibitor Zankiren [26]. Some 3-amino-1,2-diols have been investigated as selective antagonists on receptor P2X1 [27]. Cytoxazone is a naturally occurring heterocyclic aminodiol derivative isolated from Streptomyces species [28,29], and expresses cytokine modulator activity by inhibiting the signaling pathway of Th2 cells [30,31]. Some bicyclic aminodiol-based carbocyclic nucleoside analogues exert antiviral activity [32].
Monoterpene-based diols or triols have also proved to be easily available, good chiral auxiliaries and catalysts [33,34]. Some of the terpenoid diols also possess marked biological, e.g., antimicrobial, antifungal or enzyme inhibitor activities [35,36,37].
Similar to pinane- and carane-based allylic alcohols, (+)-sabinol and its acetate are available from the essential oil of several plants e.g., Juniperus sabina L. in a large scale [38,39,40]. Although this interesting monoterpene derivative has been intensively studied from the biological point of view, it was scarcely investigated for its chemical transformations [41].
Our present aim was to synthesize a library of sabinane-based chiral di- and trifunctional synthons, such as 3-amino-1,2-diols, diols, and triols starting from (+)-sabinol, achieved from a natural source. We also decided to evaluate the resulting synthons as catalysts in the asymmetric addition of Et2Zn to benzaldehyde. The planned aminodiols, diols, and triols may serve as useful building blocks for the synthesis of new heterocyclic ring systems and biologically active compounds.
2. Results
2.1. Synthesis and Transformations of Sabinol-Based 3-Amino-1,2-Diols
(+)-Sabinol 1, the key starting material, was isolated from the essential oil of Juniperus sabina L. according to the literature procedure, and its purity was found to be >98% based on GC analysis [38,39,40].
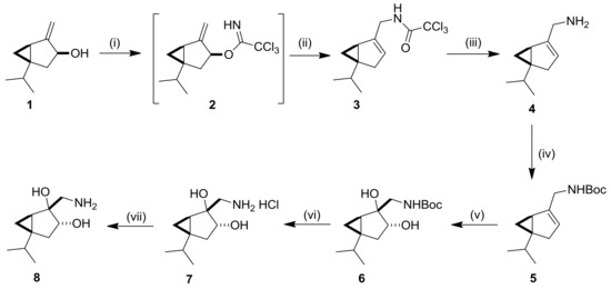
Sabinol was transformed into trichloroacetimidate 2 in the presence of trichloroacetonitrile and DBU as a strong base (Scheme 1) [8,11]. 2 underwent Overman rearrangement by heating in the presence of K2CO3, resulting in protected allylamine 3 [42]. Since we have found difficulties during the deprotection of N-trichloroacetyl aminodiols in our recent studies [8], we have changed the protecting group to Boc in a two-step process via enamine 4. Stereospecific dihydroxylation of 5, applying OsO4 as the catalyst and NMO as the oxidant, produced protected (1R,2R,3R,5R)-aminodiol 6 as a single diastereomer (based on the 1H NMR study of the crude product). Acid-catalyzed removal of the protecting group resulted in primary aminodiol hydrochloride 7 with 41% overall yield.
Scheme 1.
Reagents and conditions: (i) CCl3CN, DBU, dry CH2Cl2, rt, 2 h; (ii) anhydrous K2CO3, dry xylene, reflux, 12 h, 77%; (iii) 2 N aq NaOH, EtOH, rt, 2 h, 72%; (iv) Boc2O, TEA, DMAP, THF, rt, 22 h, 95%; (v) OsO4, NMO, acetone/H2O, rt, 12 h, 93%; (vi) 5% aq HCl, Et2O, rt, 24 h, 77%; (vii) 15% aq KOH, CH2Cl2, rt, 83%.
The relative configuration of 6 was determined by NOESY spectral analysis. Clear NOE correlations were observed between Me of the isopropyl group at position 5 and H-1, OH-2, as well as between H-6 and H-3, CH2NHBoc. Therefore, the structure of 6 was assigned as shown in Figure 1.
Figure 1.
Determination of the relative configuration of 6 by NOESY.
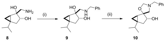
Aminodiol 8 was transformed to N-benzyl derivative 9 by reductive alkylation via condensation with benzaldehyde, followed by subsequent reduction with sodium borohydride (Scheme 2). Next, the regioselectivity of the ring closure of 9 with formaldehyde was investigated. The reaction has proved to be highly regioselective, resulting only in spiro-oxazolidine 10, while the fused 1,3-oxazine structure could not be detected from the crude product by means of 1H NMR spectroscopy. This observation shows similarity with earlier results we have obtained after ring closure of pinane-based 3-amino-1,2-diols [23], and it is in contrast with those of carane-based analogues [24,25].
Scheme 2.
Reagents and conditions: (i) PhCHO, dry EtOH, 2 h, then NaBH4, EtOH, 48 h, rt, 56%; (ii) 35% aq CH2O, Et2O, rt, 1 h, 90%.
2.2. Synthesis and Transformations of Sabinol-Based Diols and Triols
Since monoterpenic diols and triols might serve as chiral catalysts or could be used as excellent starting materials for the synthesis of more complex 1,3-heterocycles [34,43], we decided to explore the preparation and some transformations of sabinane-based diols and triols starting from (+)-sabinol 1.
Hydroboration reaction of 1 with BH3∙THF or BH3∙Me2S followed by treatment with H2O2 resulted in cis bicyclic diol 11 in a highly stereospecific reaction (Scheme 3). Beside the NOESY spectral structural analysis, the relative configuration of 11 was determined by X-ray crystallography (Figure 2).
Scheme 3.
(i) BH3∙THF, THF, 0 °C to rt, 2.5 h, then NaOH/H2O2/H2O, THF, rt, 30 min, 47%; (ii) BH3·Me2S, THF, 0 °C to rt, 18 h, then NaOH/H2O2/H2O, THF, rt, 30 min, 70%.
Figure 2.
Crystal structure of compound 11. Thermal ellipsoids are drawn at the 50% probability level.
The planes of the two rings in 11 make an angle of 76.90(14)°. The cyclopentane ring has an envelope conformation with atom C1 as the tip. The substituent O6–H6 occupies an axial position on the envelope tip, whereas the isopropyl and O8–H8 substituents are in equatorial positions. In the crystal packing, both hydroxyl groups are involved in hydrogen bonds [O6…O8(−1/2 + x, −1/2 − y, 1 − z) = 2.6796(18) Å, O8…O6(1 + x, y, z) = 2.7223(16) Å], resulting in a double chain of molecules running in the a-axis direction (Figure S1).
The synthesis of sabinane-based triols also started from 1. (+)-Sabinol was treated with the OsO4/NMO system providing triol 13 in a highly stereospecific reaction. In order to compare the catalytic importance of hydroxyl functions, O-benzyl derivative 14 was also prepared via benzylation of 1 with benzyl bromide, followed by stereospecific dihydroxylation (Scheme 4).
Scheme 4.
(i) BnBr, NaH, THF, reflux, 1 h, 92%; (ii) OsO4, NMO, acetone/H2O, rt, 12 h, 44%; (ii) OsO4, NMO, acetone/H2O, rt, 12 h, 81%.
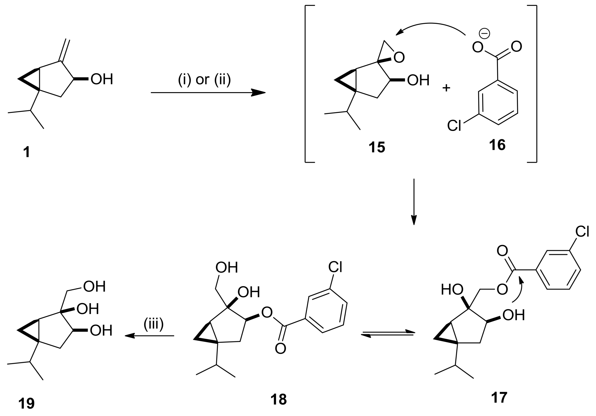
Treatment of sabinol 1 with m-CPBA did not yield the desired epoxide 15. Rather, the generated epoxide underwent an in situ ring-opening process after the electrophilic attack of the formed m-chlorobenzoic acid, resulting in ester 17 (Scheme 5) [44,45,46]. The intermediate epoxide could not be isolated even after applying miscellaneous conditions, such as varying temperature, NaHCO3 or Na2CO3, or buffer solutions. 17 easily underwent acyl migration under the applied conditions, affording its structural isomer 18. Interesting to note that while under slightly alkaline work up conditions (sat. NaHCO3 solution) only isomer 18 was isolated, applying strong alkaline conditions (10% NaOH solution), the mixture of two regioisomers was isolated. Acyl migration of the pure products could also be observed during 13C NMR analysis in CDCl3 solution. It must be mentioned that Garside et al. reported a similar reaction of sabinol with peracetic acid; however, they observed ring rearrangement and formation of acetyl p-menthane-1,2,4-triol [47].
Scheme 5.
(i) m-CPBA, CH2Cl2, Na2HPO4 buffer sol., (pH = 9.2), rt, 1 h, work up with 10% NaOH/H2O, 37% (mixture of 17 and 18); (ii) m-CPBA, CH2Cl2, Na2HPO4. buffer sol. (pH = 9.2), rt, 1 h, work up with sat. NaHCO3/H2O, 38% (18); (iii) 10% NaOH/H2O, EtOH, rt, 30 min, 91%.
The regioisomeric relation of 17 and 18 was determined by their hydrolysis under alkaline conditions, which furnished stereohomogenic compound 19, whereas the relative configuration of 19 was assigned by NOESY spectral structural analysis and 19 was found to be a diastereoisomer of triol 13.
2.3. Application of Sabinol-Based Aminodiol, Diol and Triol Derivatives as Chiral Ligands in the Enantioselective Addition of Diethylzinc to Benzaldehyde
Application of the prepared 3-amino-1,2-diols (8–10), 1,3-diol (11), and triols (13,14 and 17–19) as catalysts in the ethylation of benzaldehyde resulted in 1-phenyl-1-propanol enantiomers 21 and 22 (Scheme 6).
Scheme 6.
Catalyzed addition of diethylzinc to benzaldehyde.
The enantiomeric purity of the secondary alcohol obtained was determined by HPLC analysis [7]. Catalysts were applied in 10% molar ratio and reactions were carried out in n-hexane at room temperature. The results are presented in Table 1.
Table 1.
Addition of diethylzinc to benzaldehyde, catalyzed by various types of diol, triols, and aminodiols at room temperature.
In the addition of Et2Zn in n-hexane solution to benzaldehyde, diol 11, or triols 13, 14, and 17–19 afforded the corresponding alcohols with low enantioselectivities. The stereoselectivity could not be improved either by changing the solvent to toluene or lowering the reaction temperature. Increased, but still moderate asymmetric induction was observed when aminodiol derivatives 8–10 were used. The formation of S enantiomer 22 was predominant in all cases.
3. Experimental Section
3.1. Materials and Methods
1H and 13C NMR spectra were recorded on a Bruker Avance DRX 300 and 500 spectrometer [δ = 0 (TMS)] (Bruker Corp., Billerica, MA, USA) in the solvents indicated. Chemical shifts are expressed in ppm (δ) relative to TMS as internal reference. J values are given in Hz. Elemental analyses were performed on a Perkin-Elmer 2400 Elemental Analyzer (PerkinElmer Inc., Waltham, MA, USA). Chiral HPLC analysis was performed without derivatization by JASCO LC-4000 system on a Chiralcel OD-H column (250 × 4.6 mm, Jasco Europe S.R.L., Cremella, Italy). UV detection was monitored at 215 nm. Optical rotations were obtained with a Perkin-Elmer 341 polarimeter (PerkinElmer Inc., Shelton, CT, USA). Melting points were determined on a Kofler apparatus (Nagema, Dresden, Germany) and are uncorrected. Chromatographic separations were carried out on Merck Kieselgel 60 (230–400 mesh ASTM, Merck Ltd., Budapest, Hungary). Reactions were monitored with Merck Kieselgel 60 F254-precoated TLC plates (0.25 mm thickness). All chemicals and solvents were used as supplied.
Sabinol 1 was isolated from the essential oil of Juniperus sabina L. according to a literature process [38,39,40].
Synthesis of 2,2,2-trichloro-N-(((1R,5S)-5-isopropylbicyclo[3.1.0]hex-2-en-2-yl)methyl)acetamide (3). To a solution of sabinol 1 (4.00 g, 26.27 mmoL) in dry CH2Cl2 (50 mL) 1,8-diazabicycloundec-7-ene (2 mL, 13.39 mmoL) and CCl3CN (4.68 mL, 46.67 mmoL) were added at 0 °C. The reaction mixture was then allowed to warm to room temperature and stirred for 2 h. When the reaction was completed (monitored by means of TLC), the mixture was concentrated to a volume of 20 mL and then filtered through a short pad of silica gel, washing with CH2Cl2. Evaporation of the solvent in vacuum gave a brown oil, which was immediately dissolved in dry xylene (200 mL). To this solution, anhydrous K2CO3 (1.00 g, 7.23 mmoL) was added, and the mixture was treated at reflux temperature overnight. The obtained solution was then filtered through a Celite pad, washed, and concentrated under reduced pressure. The obtained crude product was purified by column chromatography on silica gel (Rf = 0.52; n-hexane/EtOAc = 9/1).
Compound 3: 6.03 g (77%); pale-yellow crystalline powder; mp: 45–47 °C; = +7 (c = 0.250; MeOH). 1H NMR (300 MHz, CDCl3) δ (ppm): 0.08 (1H, t, J = 3.4 Hz), 0.84 (1H, dd, J = 3.8, 7.5 Hz), 0.90 (3H, d, J = 6.9 Hz), 0.95 (3H, d, J = 6.8 Hz), 1.39–1.52 (2H, m), 2.25 (1H, d, J = 17.7 Hz), 2.45 (1H, dd, J = 2.2, 17.7 Hz), 3.98–4.16 (2H, m), 5.26 (1H, s), 6.79 (1H, br s). 13C NMR (75 MHz, CDCl3) δ (ppm): 19.9, 20.2, 21.8, 28.4, 32.8, 34.0, 36.4, 41.8, 92.9, 124.0, 144.1, 161.8. Anal. Calcd for C12H16Cl3NO: C 48.59; H 5.44; Cl 35.86; N 4.72. Found: C 48.65; H 5.52; Cl 35.63; N 4.68.
Synthesis of ((1R,5S)-5-isopropylbicyclo[3.1.0]hex-2-en-2-yl)methanamine (4). A solution of acetamide 3 (5.95 g, 20 mmoL) in ethanol (30 mL) was stirred with 2 N aqueous NaOH solution (30 mL) at room temperature for 2 h. The reaction mixture was then concentrated to an aqueous residue which was extracted with CH2Cl2 (3 × 30 mL). The organic layer was dried (Na2SO4) and evaporated to dryness. Compound 4 was used without further purification.
Compound 4: 2.18 g (72%); yellow oil; = −5 (c = 0.250; MeOH). 1H NMR (500 MHz, CDCl3) δ (ppm): 0.05 (1H, t, J = 3.2 Hz), 0.80 (1H, dd, J = 3.5, 7.5 Hz), 0.90 (3H, d, J = 6.8 Hz), 0.95 (3H, d, J = 6.8 Hz), 1.41–1.47 (4H, m), 2.22 (1H, d, J = 17.3 Hz), 2.41 (1H, dd, J = 2.0, 17.3 Hz), 3.37 (2H, dd, J = 15.4, 15.6 Hz), 5.13 (1H, s). 13C NMR (125.8 MHz, CDCl3) δ (ppm): 19.8, 20.1, 21.7, 28.7, 32.8, 33.7, 36.4, 42.7, 120.0, 151.2. Anal. Calcd for C10H17N: C 79.41; H 11.33; N 9.26. Found: C 79.63; H 11.45; N 9.01.
Synthesis of tert-butyl (((1R,5S)-5-isopropylbicyclo[3.1.0]hex-2-en-2-yl)methyl)carbamate (5). To a solution of 4 (2.00 g, 13.22 mmoL) TEA (3.34 g, 33.05 mmoL), DMAP (0.16 g, 1.32 mmoL) in THF (100 mL) and Boc2O (3.17 g, 14.54 mmoL) were added at room temperature. The reaction mixture was stirred for 22 h and then concentrated under reduced pressure. The crude product was purified by column chromatography on silica gel (Rf = 0.50; n-hexane/EtOAc = 9/1).
Compound 5: 3.16 g (95%); pale-yellow oil; = +6 (c = 0.250; MeOH). 1H NMR (500 MHz, CDCl3) δ (ppm): 0.04 (1H, t, J = 3.1 Hz), 0.80 (1H, dd, J = 3.7, 7.5 Hz), 0.89 (3H, d, J = 6.8 Hz), 0.94 (3H, d, J = 6.7 Hz), 1.44–1.47 (2H, m), 1.45 (9H, s), 2.21 (1H, d, J = 17.5 Hz), 2.40 (1H, dd, J = 2.0, 17.4 Hz), 3.81 (2H, s), 4.59 (1H, br s), 5.15 (1H, s). 13C NMR (125.8 MHz, CDCl3) δ (ppm): 19.8, 20.1, 21.6, 28.4, 28.4, 32.7, 33.7, 36.3, 41.1, 79.2, 122.1, 146.3, 155.9. Anal. Calcd for C15H25NO2: C 71.67; H 10.02; N 5.57. Found: C 71.88; H 10.20; N 5.41.
Synthesis of tert-butyl (((1R,2R,3R,5R)-2,3-dihydroxy-5-isopropylbicyclo[3.1.0]hexan-2-yl)methyl)carbamate (6). To 5 (3.00 g, 11.93 mmoL) in acetone (50 mL) 4-methylmorpholine N-oxide (10 mL, 50% aqueous solution) and OsO4 (4 mL, 2% tert-BuOH solution) were added. The reaction mixture was stirred for 12 h at room temperature. The reaction was then quenched by the addition of saturated aqueous Na2SO3 (50 mL) and extracted with EtOAc (3 × 50 mL). The combined organic phase was dried (Na2SO4) and evaporated, then the crude residue was purified by column chromatography (Rf = 0.43; n-hexane/EtOAc = 1:1).
Compound 6: 3.16 g (93%); off-white crystalline powder; mp: 68–70 °C; = +38 (c = 0.250; MeOH). 1H NMR (500 MHz, CDCl3) δ (ppm): 0.30 (1H, dd, J = 3.9, 5.4 Hz), 0.38–0.44 (1H, m), 0.88 (3H, d, J = 6.9 Hz), 0.97 (3H, d, J = 6.8 Hz), 1.19 (1H, dd, J = 3.6, 8.5 Hz), 1.34 (1H, quint, J = 6.8 Hz), 1.45 (9H, s), 1.66 (1H, dd, J = 9.6, 11.5 Hz), 2.05 (1H, dd, J = 7.3, 12.2 Hz), 3.22 (1H, dd, J = 6.8, 14.2 Hz), 3.30 (1H, dd, J = 5.2, 14.3 Hz), 3.58 (1H, t, J = 8.1 Hz), 5.03 (1H, br s). 13C NMR (125.8 MHz, CDCl3) δ (ppm): 13.3, 19.7, 19.8, 28.4, 28.9, 31.3, 32.6, 34.4, 47.0, 73.3, 79.1, 80.0. Anal. calcd for C15H27NO4: C 63.13; H 9.54; N 4.91. Found: C 63.29; H 9.65; N 4.73.
Synthesis of (1R,2R,3R,5R)-2-aminomethyl-5-isopropylbicyclo[3.1.0]hexane-2,3-diol hydrochloride (7). A solution of 6 (1.20 g, 4.20 mmoL) in Et2O (30 mL) was stirred with 30 mL of 5% aqueous HCl at room temperature. After 24 h, the two phases were separated, the aqueous phase was washed with Et2O (3 × 30 mL) and then evaporated to dryness. Crystals formed were thoroughly washed with Et2O.
Compound 7: 0.72 g (77%); colorless crystals; mp: 146–148 °C; = +42 (c = 0.250; MeOH). 1H NMR (500 MHz, D2O) δ (ppm): 0.41 (1H, dd, J = 3.9, 5.6 Hz), 0.54–0.59 (1H, m), 0.85 (3H, d, J = 6.9 Hz), 0.97 (3H, d, J = 6.8 Hz), 1.30 (1H, dd, J = 3.6, 8.5 Hz), 1.47 (1H, septet, J = 6.8 Hz), 1.75 (1H, dd, J = 10.0, 11.71 Hz), 2.15 (1H, dd, J = 7.4, 12.3 Hz), 3.10 (2H, s), 3.66 (1H, dd, J = 7.9, 8.7 Hz). 13C NMR (125.8 MHz, D2O) δ (ppm): 11.8, 18.6, 19.1, 26.7, 31.6, 32.0, 33.2, 45.0, 72.8, 77.0. Anal. calcd for C10H20ClNO2: C 54.17; H 9.09; N 6.32. Found: C 54.28; H 9.29; N 6.01.
Synthesis of (1R,2R,3R,5R)-2-((benzylamino)methyl)-5-isopropylbicyclo[3.1.0]hexane-2,3-diol (9). To a solution of aminodiol 8 liberated from 7 (0.37 g, 2 mmoL) in dry ethanol (20 mL) benzaldehyde (0.32 g, 3 mmoL) was added in one portion, and the solution was stirred at room temperature for 1 h and then evaporated to dryness. The residual product was dissolved again in dry ethanol (20 mL) and stirred for a further 1 h. Next NaBH4 (0.23 g, 6 mmoL) was added in small portions to the mixture under ice cooling. After stirring for 48 h, the mixture was evaporated to dryness and the residue was dissolved in H2O and extracted with CH2Cl2 (3 × 30 mL). The combined organic layer was dried (Na2SO4), filtered and evaporated to dryness. The obtained crude product was purified by column chromatography on silica gel (Rf = 0.21; toluene/ethanol = 4/1).
Compound 9: 0.31 g (56%); colorless crystals; mp: 111–113 °C; = +41 (c = 0.250; MeOH). 1H NMR (500 MHz, CDCl3) δ (ppm): 0.22 (1H, dd, J = 4.0, 5.3 Hz), 0.32–0.36 (1H, m), 0.87 (3H, d, J = 6.9 Hz), 0.97 (3H, d, J = 6.8 Hz), 1.14 (1H, dd, J = 3.7, 8.5 Hz), 1.32 (1H, septet, J = 6.8 Hz), 1.63 (1H, dd, J = 9.8, 11.5 Hz), 2.02 (1H, dd, J = 7.3, 12.3 Hz), 2.62 (1H, d, J = 11.9 Hz), 2.91 (1H, d, J = 11.9 Hz), 3.52 (1H, t, J = 7.8 Hz), 3.79 (1H, d, J = 13.2 Hz), 3.85 (1H, d, J = 13.2 Hz), 7.26–7.36 (5H, m). 13C NMR (125.8 MHz, CDCl3) δ (ppm): 13.1, 19.6, 19.7, 29.5, 31.7, 32.8, 34.1, 54.2, 55.0, 75.0, 77.6, 127.2, 128.2, 128.5, 139.7. Anal. calcd for C17H25NO2: C 74.14; H 9.15; N 5.09. Found: C 74.25; H 9.10; N 5.15.
Synthesis of (1R,2R,3R,5R)-3′-benzyl-5-isopropylspiro[bicyclo[3.1.0]hexane-2,5′-oxazolidin]-3-ol (10). To the solution of 9 (0.15 g, 0.54 mmoL) in Et2O (5 mL) 35% aqueous formaldehyde solution (2 mL) was added. The reaction mixture was stirred for 1 h at room temperature, followed by making it alkaline with 10% cold aqueous KOH solution and extracted with Et2O (3 × 20 mL). The organic layers were combined, washed with saturated NaCl solution (3 × 20 mL) then dried (Na2SO4), filtered, and evaporated to dryness. The crude product was purified by column chromatography on silica gel (Rf = 0.64; toluene/ethanol = 4/1).
Compound 10: 0.14 g (90%); pale-yellow oil; = +63 (c = 0.250; MeOH). 1H NMR (500 MHz, (CD3)2SO) δ (ppm): 0.27–0.32 (2H, m), 0.84 (3H, d, J = 6.8 Hz), 0.93 (3H, d, J = 6.8 Hz), 1.17–1.21 (1H, m), 1.24–1.32 (1H, m), 1.56 (1H, dd, J = 10.1, 11.2 Hz), 1.78 (1H, dd, J = 7.1, 11.7 Hz), 2.68 (1H, d, J = 11.0 Hz), 2.93 (1H, d, J = 11.0 Hz), 3.41 (1H, dd, J = 9.4, 16.8 Hz), 3.75 (2H, s), 4.13 (1H, d, J = 4.5 Hz), 4.25 (1H, d, J = 9.5 Hz), 4.41 (1H, d, J = 4.4 Hz), 7.22–7.37 (5H, m). 13C NMR (125.8 MHz, (CD3)2SO) δ (ppm): 13.5, 20.2, 20.2, 30.5, 31.9, 32.9, 34.2, 57.9, 58.0, 74.2, 86.7, 87.3, 127.4, 128.7, 129.0, 139.8. Anal. calcd for C18H25NO2: C 75.22; H 8.77; N 4.87. Found: C 75.31; H 8.91; N 4.70.
Synthesis of (1R,3S,4S,5S)-4-hydroxymethyl-1-isopropylbicyclo[3.1.0]hexan-3-ol (11). Method A: to a cooled (0 °C) solution of sabinol 1 (0.15 g, 1 mmoL) in 3 mL dry THF under nitrogen atmosphere, a solution of 1 M borane THF complex (2 mL) was injected dropwise. After completing the addition, the mixture was allowed to warm to room temperature and stirred for 2.5 h. After completion of hydroboration 0.5 mL of cold water was added and the mixture was stirred for 10 min. This was followed by adding 0.3 mL of 3 N aqueous solution of NaOH and then 0.3 mL of 35% H2O2. The mixture was stirred for an additional 30 min, then quenched by the addition of 5 mL ice-cold water and extracted with EtOAc (3 × 10 mL). The organic phases were collected, washed with brine, dried over Na2SO4 and evaporated. The residue was subjected to chromatography on silica gel (Rf = 0.21; n-hexane/EtOAc = 3/2).
Method B: to a cooled (0 °C) solution of sabinol 1 (0.15 g, 1 mmoL) in 5 mL dry THF under argon atmosphere 0.21 mL of 95% solution of borane dimethyl sulfide complex (BMS) in DMS was injected, then the reaction mixture was allowed to warm up to room temperature and stirred for 18 h. The work up of the reaction mixture was the same as for Method A.
Compound 11: Method A: 0.08 g, (47%); Method B: 0.12 g (70%); colorless crystals; mp: 66–68 °C; = +35 (c = 0.250; MeOH). 1H NMR (500 MHz, CDCl3) δ (ppm): 0.31–0.35 (1H, m), 0.85–0.89 (4H, m), 0.93 (3H, d, J = 6.8 Hz), 0.95–0.99 (1H, m), 1.37 (1H, septet, J = 6.8 Hz), 1.75 (1H, d, J = 14.1 Hz), 2.08 (1H, ddd, J = 1.4, 6.8, 14.2 Hz), 2.10 (1H, s), 2.46–2.53 (1H, m), 3.83 (1H, dd, J = 9.0, 10.6 Hz), 3.90 (1H, dd, J = 5.5, 10.7 Hz), 4.41 (1H, t, J = 6.5 Hz). 13C NMR (125.8 MHz, CDCl3) δ (ppm): 13.9, 19.8, 19.9, 24.2, 32.7, 33.0, 38.5, 47.7, 62.5, 73.3. Anal. calcd for C10H18O2: C 70.55; H 10.66. Found: C 70.48; H 10.79.
Synthesis of (1R,3S,5R)-3-benzyloxy-1-isopropyl-4-methylenebicyclo[3.1.0]hexane (12). To a stirred suspension of NaH (6 mmoL) in dry, freshly distilled THF (10 mL), a THF solution (3 mL) of 1 (0.30 g, 2 mmoL) was added at room temperature under argon atmosphere. After 30 min stirring, a solution of benzyl bromide (0.34 g, 2 mmoL) in THF (3 mL) was added dropwise at room temperature, and the reaction mixture was kept at boiling temperature for 1 h. The reaction was quenched by the addition of H2O (2 mL), and then THF was removed under reduced pressure to about 10% of the initial volume. After adding ice-cold water (25 mL) to the obtained residue, the aqueous phase was extracted with CH2Cl2 (4 × 20 mL), then the organic phase was dried (Na2SO4), filtered and evaporated to dryness. The crude residue was purified by flash column chromatography on silica gel (Rf = 0.80; n-hexane/EtOAc = 19:1).
Compound 12: 0.45 g (92%); pale-yellow oil; = +7 (c = 0.250; MeOH). 1H NMR (500 MHz, CDCl3) δ (ppm): 0.69–0.73 (1H, m), 0.87 (3H, d, J = 6.9 Hz), 0.93 (3H, d, J = 6.8 Hz), 1.18–1.21 (1H, m), 1.46 (1H, septet, J = 6.8 Hz), 1.64 (1H, dd, J = 2.4, 8.5 Hz), 1.89 (1H, d, J = 13.9 Hz), 2.05 (1H, ddd, J = 1.4, 7.3, 13.8 Hz), 4.08 (1H, d, J = 7.2 Hz), 4.32 (1H, d, J = 11.8 Hz), 4.57 (1H, d, J = 11.7 Hz), 4.88 (1H, s), 5.11 (1H, s), 7.27–7.39 (5H, m). 13C NMR (125.8 MHz, CDCl3) δ (ppm): 18.6, 19.7, 19.8, 29.1, 32.6, 35.7, 36.7, 69.8, 81.3, 108.4, 127.3, 127.7, 128.3, 138.7, 152.3. Anal. calcd for C17H22O: C 84.25; H 9.15. Found: C 84.43; H 9.33.
3.2. General Procedure for the Preparation of 13 and 14
To a solution of 1 or 12 (0.66 mmoL) in acetone (5 mL) 4-methylmorpholine N-oxide (0.33 mL, 50% aqueous solution) and OsO4 (0.25 mL, 2% tert-BuOH solution) were added, and the reaction mixture was stirred for 24 h at room temperature. Then, the reaction was quenched by the addition of saturated aqueous Na2SO3 (5 mL) and extracted with EtOAc (3 × 10 mL). The organic layer was dried (Na2SO4) and evaporated. The purification of the crude product was accomplished by column chromatography on silica gel (13: Rf = 0.15, 14: Rf = 0.40; n-hexane/EtOAc = 3/2).
(1R,2R,3S,5R)-2-Hydroxymethyl-5-isopropylbicyclo[3.1.0]hexane-2,3-diol (13): 0.10 g (81%); white crystalline powder; mp: 148–150 °C; = +4 (c = 0.250; MeOH). 1H NMR (500 MHz, (CD3)2SO) δ (ppm): 0.18–0.24 (1H, m), 0.82 (3H, d, J = 6.8 Hz), 0.84 (1H, t, J = 4.1 Hz), 0.90 (3H, d, J = 6.8 Hz), 0.96–1.01 (1H, m), 1.34 (1H, septet, J = 6.8 Hz), 1.46 (1H, d, J = 13.2 Hz), 2.09 (1H, ddd, J = 1.0, 6.6, 13.0 Hz), 3.42 (1H, dd, J = 6.3, 11.0 Hz), 3.55 (1H, dd, J = 5.4, 11.0 Hz), 3.69–3.73 (1H, m), 4.08 (1H, t, J = 5.8 Hz), 4.12 (1H, s), 4.42 (1H, d, J = 4.1 Hz). 13C NMR (125.8 MHz, (CD3)2SO) δ (ppm): 12.5, 19.8, 20.0, 30.0, 31.8, 32.3, 36.1, 63.8, 76.9, 83.4. Anal. calcd for C10H18O3: C 64.49; H 9.74. Found: C 64.60; H 9.88.
(1R,2R,3S,5R)-3-Benzyloxy-2-hydroxymethyl-5-isopropylbicyclo[3.1.0]hexan-2-ol (14): 0.08 g (44%); colorless semi-solid; = +4 (c = 0.250; MeOH). 1H NMR (500 MHz, CDCl3) δ (ppm): 0.41–0.46 (1H, m), 0.90 (3H, d, J = 6.9 Hz), 0.94–0.97 (1H, m), 0.98 (3H, d, J = 6.8 Hz), 1.04–1.08 (1H, m), 1.44 (1H, septet, J = 6.8 Hz), 1.88 (1H, d, J = 13.9 Hz), 2.11 (1H, ddd, J = 1.6, 6.6, 13.9 Hz), 3.66 (1H, d, J = 11.4 Hz), 3.73 (1H, d, J = 6.5 Hz), 3.94 (1H, d, J = 11.4 Hz), 4.27 (1H, d, J = 11.8 Hz), 4.57 (1H, d, J = 11.8 Hz), 7.26–7.37 (5H, m). 13C NMR (125.8 MHz, CDCl3) δ (ppm): 13.2, 19.9, 20.1, 29.3, 31.7, 32.2, 33.3, 65.2, 71.4, 85.1, 85.8, 127.5, 127.7, 128.5, 138.2. Anal. calcd for C17H24O3: C 73.88; H 8.75. Found: C 73.99; H 8.84.
3.3. General Procedure for the Preparation of 17 and 18
Method A: to a mixture of 1 (1.00 g, 6.57 mmoL) dissolved in 50 mL CH2Cl2 and Na2HPO4·12H2O (3.40 g, 9.49 mmoL) dissolved in 100 mL water (pH = 9.2), m-chloroperbenzoic acid (75% purity, 7.47 mmoL) was added in one portion at 0 °C, and the mixture was stirred at room temperature. When the reaction was complete, as indicated by TLC (1 h), the mixture was separated, and the aqueous phase was extracted with CH2Cl2 (100 mL). The organic layer was washed with 10% NaOH solution (3 × 50 mL), dried (Na2SO4), and evaporated. The residue was purified by column chromatography on silica gel to afford a mixture of 17 and 18 (0.78 g, 37%, 17:18 = 2:1). Product 17 (0.30 g) was isolated in pure form by recrystallization from CH2Cl2/n-hexane.
Method B: to a solution of 1 (0.50 g, 3.28 mmoL) in 25 mL CH2Cl2 and Na2HPO4·12H2O (1.70 g, 4.74 mmoL) in 50 mL water (pH = 9.2), a solution of m-chloroperbenzoic acid (75% purity, 3.74 mmoL) in CH2Cl2 (25 mL) was added dropwise over 10 min at 0 °C, and the mixture was stirred at room temperature. When the reaction was complete, as indicated by TLC (1 h), the mixture was separated, and the aqueous phase was extracted with CH2Cl2 (50 mL). The organic layer was washed with saturated aqueous solution of NaHCO3 (3 × 50 mL), dried (Na2SO4), and evaporated to afford 18 as the single product.
((1R,2S,3S,5R)-2,3-dihydroxy-5-isopropylbicyclo[3.1.0]hexan-2-yl)methyl 3-chlorobenzoate (17). Method A, 0.30 g (14%, in isolated pure form); white crystals; mp: 93–96 °C; = +22 (c = 0.250; MeOH). 1H NMR (500 MHz, CDCl3) δ (ppm): 0.48–0.52 (1H, m), 0.87 (3H, d, J = 6.9 Hz), 0.92 (3H, d, J = 6.8 Hz), 1.16 (1H, t, J = 4.2 Hz), 1.30–1.37 (2H, m), 1.89 (1H, d, J = 14.3 Hz), 2.10 (1H, ddd, J = 1.1, 7.0, 14.2 Hz), 2.54 (1H, br s), 2.81 (1H, br s), 3.95 (1H, d, J = 7.0 Hz), 4.30 (1H, d, J = 11.6 Hz), 4.39 (1H, d, J = 11.6 Hz), 7.40 (1H, t, J = 7.9 Hz), 7.55 (1H, d, J = 8.0 Hz), 7.96 (1H, d, J = 7.9 Hz), 8.04 (1H, s). 13C NMR (125.8 MHz, CDCl3) δ (ppm): 13.7, 19.5, 19.7, 29.5, 32.4, 32.8, 35.2, 69.4, 72.9, 80.7, 127.9, 129.8, 129.8, 131.5, 133.3, 134.7, 165.6. Anal. calcd for C17H21ClO4: C 62.86; H 6.52. Found: C 63.01; H 6.60.
(1R,3S,4S,5R)-4-hydroxy-4-hydroxymethyl-1-isopropylbicyclo[3.1.0]hexan-3-yl 3-chlorobenzoate (18). Method B, 0.40 g (38%); white crystalline powder; mp: 110–112 °C; = +12 (c = 0.250; MeOH). 1H NMR (400 MHz, CDCl3) δ (ppm): 0.55–0.61 (1H, m), 0.91 (3H, d, J = 6.9 Hz), 0.95 (3H, d, J = 6.8 Hz), 1.23 (1H, t, J = 4.4 Hz), 1.38 (1H, septet, J = 6.8 Hz), 1.75 (1H, dd, J = 3.7, 8.6 Hz), 1.87 (1H, d, J = 14.1 Hz), 2.16 (1H, ddd, J = 1.5, 7.2, 14.2 Hz), 2.19 (1H, br s), 3.03 (1H, br s), 3.83 (1H, d, J = 12.6 Hz), 3.96 (1H, d, J = 12.6 Hz), 4.37 (1H, d, J = 7.0 Hz), 7.40 (1H, t, J = 7.9 Hz), 7.55 (1H, d, J = 8.0 Hz), 7.91 (1H, d, J = 7.8 Hz), 8.00 (1H, s). 13C NMR (125.8 MHz, CDCl3) δ (ppm): 15.1, 19.9, 20.0, 27.7, 32.9, 33.2, 35.2, 66.9, 73.7, 94.0, 128.3, 130.2, 132.6, 133.8, 134.3, 135.1, 166.8. Anal. calcd for C17H21ClO4: C 62.86; H 6.52. Found: C 62.97; H 6.75.
Synthesis of (1R,2S,3S,5R)-2-hydroxymethyl-5-isopropylbicyclo[3.1.0]hexane-2,3-diol (19). To a solution of 17 or 18 (33 mg, 0.10 mmoL) in EtOH (2 mL), a 10% cold aqueous solution of NaOH (1 mL) was added at room temperature. The reaction mixture was stirred for 30 min, then concentrated under reduced pressure to evaporate ethanol, and the aqueous residue was extracted with CH2Cl2 (3 × 3 mL). The combined organic extract was washed with brine, dried (Na2SO4) and evaporated.
Compound 19: 17 mg (91%); white crystalline powder; mp: 90–92 °C; = +45 (c = 0.250; MeOH). 1H NMR (500 MHz, (CD3)2SO) δ (ppm): 0.22–0.26 (1H, m), 0.80 (3H, d, J = 6.8 Hz), 0.85 (3H, d, J = 6.8 Hz), 0.94 (1H, t, J = 3.9 Hz), 1.03 (1H, dd, J = 3.5, 8.5 Hz), 1.23 (1H, septet, J = 6.8 Hz), 1.55 (1H, d, J = 13.6 Hz), 1.89 (1H, ddd, J = 1.0, 7.1, 13.6 Hz), 3.21 (1H, dd, J = 6.4, 11.1 Hz), 3.33 (1H, dd, J = 5.6, 11.1 Hz), 3.64–3.68 (1H, m), 3.95 (1H, s), 4.44 (1H, d, J = 3.8), 4.55 (1H, t, J = 5.9 Hz). 13C NMR (125.8 MHz, (CD3)2SO) δ (ppm): 13.2, 19.4, 19.5, 29.2, 31.2, 32.0, 35.0, 66.8, 71.1, 80.8. Anal. calcd for C10H18O3: C 64.49; H 9.74. Found: C 64.69; H 9.83.
3.4. General Procedure for the Reaction of Aldehydes with Diethylzinc in the Presence of Chiral Catalyst
To the respective catalyst (0.1 mmoL), 1 M Et2Zn in n-hexane solution (3 mL, 3 mmoL) was added under an Ar atmosphere at room temperature. The reaction was stirred for 25 min at room temperature (see Table 1), and benzaldehyde (1 mmoL) was then added to the solution with subsequent stirring at room temperature (see Table 1) for a further 20 h. The reaction was quenched with a saturated NH4Cl solution (15 mL), and the mixture was extracted with EtOAc (2 × 20 mL). The combined organic phase was washed with H2O (10 mL), dried (Na2SO4), and evaporated under vacuum. The crude secondary alcohols obtained were purified by flash column chromatography (Rf = 0.54; n-hexane/EtOAc = 4/1). The ee and absolute configuration of the resulting material were determined by chiral HPLC analysis on a Chiralcel OD-H column and the data are as follows: 1-phenyl-1-propanol; V(n-hexane)/V(2-propanol) = 95: 5, 0.7 mL/min, 215 nm, tR1 = 6.29 min for R-isomer, tR2 = 6.73 min for S-isomer [7].
3.5. X-ray Structure Determination of 11
Single crystals of 11 were grown by warming up 11 in heptane until almost full dissolution, and then the solution was abruptly cooled in an ice bath. X-ray intensity data were collected at –123 °C on a Rigaku UltraX 18S generator (Xenocs mirrors, Mo Kα radiation, λ = 0.71073 Å) using a MAR345 image plate. The images were interpreted and integrated with CrysAlisPRO [48], and the implemented absorption correction was applied. Using Olex2 [49], the structures were solved with the ShelXS [50] structure solution program by Direct Methods, and refined with the ShelXL [51] refinement package using full-matrix least-squares minimization on F2. Non-hydrogen atoms were refined anisotropically, and hydrogen atoms in the riding mode with isotropic temperature factors fixed at 1.2 times Ueq of the parent atoms (1.5 for the –CH3 and the –OH groups). Because compound 11 is composed of only light atoms (C, H, O), it was not possible to determine its absolute configuration. CCDC number 1814013 contains the supplementary crystallographic data.
Crystal Data for C10H18O2 (M = 170.24 g/moL): orthorhombic, space group P212121 (no. 19), a = 6.1474(2) Å, b = 8.1525(3) Å, c = 19.6783(6) Å, V = 986.21(6) Å3, Z = 4, T = 150.15 K, μ(MoKα) = 0.078 mm−1, Dcalc = 1.147 g/cm3, 8206 reflections measured (10.216° ≤ 2θ ≤ 52.006°), 1915 unique (Rint = 0.0310, Rsigma = 0.0189) which were used in all calculations. The final R1 was 0.0328 (I > 2σ(I)) and wR2 was 0.0848 (all data).
4. Conclusions
In conclusion, we have developed a library of new chiral sabinol-based aminodiol, diol, and triol derivatives (6–19). Our results revealed that functionalization of (+)-sabinol occurred with high stereoselectivity, affording only a single diastereomeric product in each case. Stereoselectivities, however, were found to be lower as compared with other monoterpene-based trifunctional catalysts. It is surmised that, because of the appreciable steric influence of the bicyclic ring system and the freely rotating hydroxymethyl or aminomethyl group, a stable transition state could not be formed in the reactions of the applied catalysts and Et2Zn. From this point of view, aminodiols have proven to be more efficient catalysts compared to diol or triol derivatives.
On the other hand, because of the observed different reactivity of the functional groups (caused by the steric hindrance of the bicyclic system of sabinane skeleton), the obtained aminodiols, diols, and triols may serve as useful building blocks for the synthesis of new heterocyclic ring systems and biologically active compounds.
Supplementary Materials
The following are available online at http://www.mdpi.com/1420-3049/23/4/771/s1, 1H, 13C NMR, HSQC, HMBC, COSY, and NOESY spectra of new compounds (S3–S24) and crystal structure of diol 11 (S25).
Acknowledgments
Z.S. is grateful for financial support from the Hungarian Research Foundation (OTKA K112442) and for the EU-funded Hungarian grant GINOP-2.3.2-15-2016-00012.
Author Contributions
The listed authors contributed to this work as described in the following. Zsolt Szakonyi, Wim Dehaen and Yerlan M. Suleimen designed, planed research, interpreted the results. Yerbolat Tashenov and Mathias Daniels planed research, interpreted the results and carried out of the synthetic work. Koen Robeyns and Luc Van Meervelt performed X-ray experiments. All authors discussed the results, prepared and commented on the manuscript.
Conflicts of Interest
The authors declare no conflict of interest.
References
- Berkessel, A.; Gröger, H. Asymmetric Organocatalysis: From Biomimetic Concepts to Applications in Asymmetric Synthesis; Wiley-VCH: Weinheim, Germany, 2005; ISBN 978-3-527-30517-9. [Google Scholar]
- Dalko, P.I. (Ed.) Enantioselective Organocatalysis; Wiley-VCH Verlag GmbH & Co. KGaA: Weinheim, Germany, 2007; ISBN 978-3-527-61094-5. [Google Scholar]
- Lin, G.-Q.; You, Q.-D.; Cheng, J.-F. (Eds.) Chiral Drugs: Chemistry and Biological Action; Wiley: Hoboken, NJ, USA, 2011; ISBN 978-0-470-58720-1. [Google Scholar]
- Carreira, E.M.; Yamamoto, H. Comprehensive Chirality; Elsevier: Oxford, UK, 2012; ISBN 978-0-08-095168-3. [Google Scholar]
- El Alami, M.S.I.; El Amrani, M.A.; Agbossou-Niedercorn, F.; Suisse, I.; Mortreux, A. Chiral Ligands Derived from Monoterpenes: Application in the Synthesis of Optically Pure Secondary Alcohols via Asymmetric Catalysis. Chem. Eur. J. 2015, 21, 1398–1413. [Google Scholar] [CrossRef] [PubMed]
- Andrés, C.; González, I.; Nieto, J.; Rosón, C.D. Lewis acid mediated diastereoselective keto-ene cyclization on chiral perhydro-1,3-benzoxazines: Synthesis of enantiopure cis-3,4-disubstituted 3-hydroxypyrrolidines. Tetrahedron 2009, 65, 9728–9736. [Google Scholar] [CrossRef]
- Andrés, C.; Infante, R.; Nieto, J. Perhydro-1,3-benzoxazines derived from (−)-8-aminomenthol as ligands for the catalytic enantioselective addition of diethylzinc to aldehydes. Tetrahedron Asymmetry 2010, 21, 2230–2237. [Google Scholar] [CrossRef]
- Gonda, T.; Szakonyi, Z.; Csámpai, A.; Haukka, M.; Fülöp, F. Stereoselective synthesis and application of tridentate aminodiols derived from (+)-pulegone. Tetrahedron Asymmetry 2016, 27, 480–486. [Google Scholar] [CrossRef]
- Hobuß, D.; Hasenjäger, J.; Driessen-Hölscher, B.; Baro, A.; Axenov, K.V.; Laschat, S.; Frey, W. Novel α-pinene-derived mono- and bisphosphinite ligands: Synthesis and application in catalytic hydrogenation. Inorg. Chim. Acta 2011, 374, 94–103. [Google Scholar] [CrossRef]
- Szakonyi, Z.; Balázs, Á.; Martinek, T.A.; Fülöp, F. Enantioselective addition of diethylzinc to aldehydes catalyzed by γ-amino alcohols derived from (+)- and (−)-α-pinene. Tetrahedron Asymmetry 2006, 17, 199–204. [Google Scholar] [CrossRef]
- Csillag, K.; Németh, L.; Martinek, T.A.; Szakonyi, Z.; Fülöp, F. Stereoselective synthesis of pinane-type tridentate aminodiols and their application in the enantioselective addition of diethylzinc to benzaldehyde. Tetrahedron Asymmetry 2012, 23, 144–150. [Google Scholar] [CrossRef]
- Zielińska-Błajet, M.; Rewucki, P.; Walenczak, S. Sulfur-containing derivatives from (1R)-(−)-myrtenal designed as chiral ligands. Tetrahedron 2016, 72, 3851–3857. [Google Scholar] [CrossRef]
- Yang, J.; Xu, H.; Xu, X.; Rui, J.; Fang, X.; Cao, X.; Wang, S. Synthesis, optical properties, and cellular imaging of novel quinazolin-2-amine nopinone derivatives. Dyes Pigment. 2016, 128, 75–83. [Google Scholar] [CrossRef]
- Yang, J.; Xu, X.; Rui, J.; Wang, Z.; Zhang, Y.; Wang, S.; Wu, L. Synthesis, optical properties and application of a set of novel pyrazole nopinone derivatives. Spectrochim. Acta Part A Mol. Biomol. Spectrosc. 2017, 183, 60–67. [Google Scholar] [CrossRef] [PubMed]
- Dickmu, G.C.; Smoliakova, I.P. Preparation and characterization of cyclopalladated complexes derived from l-(−)-fenchone. J. Organomet. Chem. 2014, 772–773, 42–48. [Google Scholar] [CrossRef]
- De las Casas Engel, T.; Maroto, B.L.; Martínez, A.G.; de la Moya Cerero, S. N/N/O versus N/O/O and N/O amino isoborneols in the enantioselective ethylation of benzaldehyde. Tetrahedron Asymmetry 2008, 19, 269–272. [Google Scholar] [CrossRef]
- Sánchez-Carnerero, E.M.; de las Casas Engel, T.; Maroto, B.L.; de la Moya Cerero, S. Polyoxygenated ketopinic-acid-derived γ-amino alcohols in the enantioselective diethylzinc addition to benzaldehyde. Tetrahedron Asymmetry 2009, 20, 2655–2657. [Google Scholar] [CrossRef]
- García Martínez, A.; Teso Vilar, E.; García Fraile, A.; de la Moya Cerero, S.; Lora Maroto, B. Synthesis and catalytic activity of 10-(aminomethyl)isoborneol-based catalysts: The role of the C(2)-group on the asymmetric induction. Tetrahedron Asymmetry 2003, 14, 1959–1963. [Google Scholar] [CrossRef]
- Stoyanova, M.P.; Shivachev, B.L.; Nikolova, R.P.; Dimitrov, V. Highly efficient synthesis of chiral aminoalcohols and aminodiols with camphane skeleton. Tetrahedron Asymmetry 2013, 24, 1426–1434. [Google Scholar] [CrossRef]
- Lait, S.M.; Rankic, D.A.; Keay, B.A. 1,3-Aminoalcohols and Their Derivatives in Asymmetric Organic Synthesis. Chem. Rev. 2007, 107, 767–796. [Google Scholar] [CrossRef] [PubMed]
- Fülöp, F.; Bernáth, G.; Pihlaja, K. Synthesis, Stereochemistry and Transformations of Cyclopentane-, Cyclohexane-, Cycloheptane-, and Cyclooctane-Fused 1,3-Oxazines, 1,3-Thiazines, and Pyrimidines. Adv. Heterocycl. Chem. 1997, 69, 349–477. [Google Scholar]
- Lázár, L.; Fülöp, F. 1,3-Oxazines and their Benzo Derivatives. Compr. Heterocycl. Chem. III 2008, 373–459. [Google Scholar] [CrossRef]
- Szakonyi, Z.; Hetényi, A.; Fülöp, F. Synthesis of enantiomeric spirooxazolines and spirooxazolidines by the regioselective ring closure of (–)-α-pinene-based aminodiols. Arkivoc 2007, 33–42. [Google Scholar] [CrossRef]
- Szakonyi, Z.; Csillag, K.; Fülöp, F. Stereoselective synthesis of carane-based aminodiols as chiral ligands for the catalytic addition of diethylzinc to aldehydes. Tetrahedron Asymmetry 2011, 22, 1021–1027. [Google Scholar] [CrossRef]
- Szakonyi, Z.; Csőr, Á.; Csámpai, A.; Fülöp, F. Stereoselective Synthesis and Modelling-Driven Optimisation of Carane-Based Aminodiols and 1,3-Oxazines as Catalysts for the Enantioselective Addition of Diethylzinc to Benzaldehyde. Chem. Eur. J. 2016, 22, 7163–7173. [Google Scholar] [CrossRef] [PubMed]
- Kleinert, H.; Rosenberg, S.; Baker, W.; Stein, H.; Klinghofer, V.; Barlow, J.; Spina, K.; Polakowski, J.; Kovar, P.; Cohen, J.; et al. Discovery of a peptide-based renin inhibitor with oral bioavailability and efficacy. Science 1992, 257, 1940–1943. [Google Scholar] [CrossRef] [PubMed]
- Jaime-Figueroa, S.; Greenhouse, R.; Padilla, F.; Dillon, M.P.; Gever, J.R.; Ford, A.P.D.W. Discovery and synthesis of a novel and selective drug-like P2X1 antagonist. Bioorg. Med. Chem. Lett. 2005, 15, 3292–3295. [Google Scholar] [CrossRef] [PubMed]
- Grajewska, A.; Rozwadowska, M.D. Stereoselective synthesis of cytoxazone and its analogues. Tetrahedron Asymmetry 2007, 18, 803–813. [Google Scholar] [CrossRef]
- Narina, S.V.; Kumar, T.S.; George, S.; Sudalai, A. Enantioselective synthesis of (−)-cytoxazone and (+)-epi-cytoxazone via Rh-catalyzed diastereoselective oxidative C–H aminations. Tetrahedron Lett. 2007, 48, 65–68. [Google Scholar] [CrossRef]
- Kakeya, H.; Morishita, M.; Koshino, H.; Morita, T.; Kobayashi, K.; Osada, H. Cytoxazone: A Novel Cytokine Modulator Containing a 2-Oxazolidinone Ring Produced by Streptomyces sp. J. Org. Chem. 1999, 64, 1052–1053. [Google Scholar] [CrossRef]
- Paraskar, A.S.; Sudalai, A. Enantioselective synthesis of (−)-cytoxazone and (+)-epi-cytoxazone, novel cytokine modulators via Sharpless asymmetric epoxidation and l-proline catalyzed Mannich reaction. Tetrahedron 2006, 62, 5756–5762. [Google Scholar] [CrossRef]
- Zhu, W.; Burnette, A.; Dorjsuren, D.; Roberts, P.E.; Huleihel, M.; Shoemaker, R.H.; Marquez, V.E.; Agbaria, R.; Sei, S. Potent Antiviral Activity of North-Methanocarbathymidine against Kaposi’s Sarcoma-Associated Herpesvirus. Antimicrob. Agents Chemother. 2005, 49, 4965–4973. [Google Scholar] [CrossRef] [PubMed][Green Version]
- Roy, C.D.; Brown, H.C. A Study of Transesterification of Chiral (−)-Pinanediol Methylboronic Ester with Various Structurally Modified Diols. Monatshefte Für Chem. Chem. Mon. 2007, 138, 747–753. [Google Scholar] [CrossRef]
- Cherng, Y.-J.; Fang, J.-M.; Lu, T.-J. Pinane-Type Tridentate Reagents for Enantioselective Reactions: Reduction of Ketones and Addition of Diethylzinc to Aldehydes. J. Org. Chem. 1999, 64, 3207–3212. [Google Scholar] [CrossRef] [PubMed]
- Ardashov, O.V.; Pavlova, A.V.; Il’ina, I.V.; Morozova, E.A.; Korchagina, D.V.; Karpova, E.V.; Volcho, K.P.; Tolstikova, T.G.; Salakhutdinov, N.F. Highly Potent Activity of (1R,2R,6S)-3-Methyl-6-(prop-1-en-2-yl)cyclohex-3-ene-1,2-diol in Animal Models of Parkinson’s Disease. J. Med. Chem. 2011, 54, 3866–3874. [Google Scholar] [CrossRef] [PubMed]
- Radulović, N.S.; Mladenović, M.Z.; Randjelovic, P.J.; Stojanović, N.M.; Dekić, M.S.; Blagojević, P.D. Toxic essential oils. Part IV: The essential oil of Achillea falcata L. as a source of biologically/pharmacologically active trans-sabinyl esters. Food Chem. Toxicol. 2015, 80, 114–129. [Google Scholar] [CrossRef]
- Tuberoso, C.I.G.; Kowalczyk, A.; Coroneo, V.; Russo, M.T.; Dessì, S.; Cabras, P. Chemical Composition and Antioxidant, Antimicrobial, and Antifungal Activities of the Essential Oil of Achillea ligustica All. J. Agric. Food Chem. 2005, 53, 10148–10153. [Google Scholar] [CrossRef] [PubMed]
- Rudloff, E.V. Gas–Liquid Chromatography of Terpenes: Part ix. the Volatile Oil of the Leaves of Juniperus Sabina L. Can. J. Chem. 1963, 41, 2876–2881. [Google Scholar] [CrossRef]
- Banthorpe, D.; Davies, H.; Gatford, C.; Williams, S. Monoterpene Patterns in Juniperus and Thuja Species. Planta Med. 1973, 23, 64–69. [Google Scholar] [CrossRef] [PubMed]
- Fournier, G.; Pages, N.; Fournier, C.; Callen, G. Contribution to the Study of the Essential Oil of Various Cultivars of Juniperus sabina. Planta Med. 1991, 57, 392–393. [Google Scholar] [CrossRef] [PubMed]
- Suleimenov, E.M.; Raldugin, V.A.; Shakirov, M.M.; Bagryanskaya, I.Y.; Gatilov, Y.V.; Kulyjiasov, A.T.; Adekenov, S.M. [4+2]-Cyclodimer of sabinone: Formation, crystal structure, and NMR spectra. Russ. Chem. Bull. 2003, 52, 1210–1212. [Google Scholar] [CrossRef]
- Fernandes, R.A.; Kattanguru, P.; Gholap, S.P.; Chaudhari, D.A. Recent advances in the Overman rearrangement: Synthesis of natural products and valuable compounds. Org. Biomol. Chem. 2017, 15, 2672–2710. [Google Scholar] [CrossRef] [PubMed]
- Becerra-Martínez, E.; Ayala-Mata, F.; Velázquez-Ponce, P.; Medina, M.E.; Jiménez-Vazquez, H.A.; Joseph-Nathan, P.; Zepeda, L.G. Nucleophilic additions on acetyldioxanes derived from (−)-(1R)-myrtenal used as chiral auxiliaries: Substituent effects on the stereochemical outcome. Tetrahedron Asymmetry 2017, 28, 1350–1358. [Google Scholar] [CrossRef]
- Chen, X.; Gu, W.; Jing, X.; Pan, X. A New Approach for Synthesis of Erythro 8-O-4′ Neolignans. Synth. Commun. 2002, 32, 557–564. [Google Scholar] [CrossRef]
- Fang, W.; Wei, Y.; Tang, X.-Y.; Shi, M. Gold(I)-Catalyzed Cycloisomerization of ortho-(Propargyloxy)arenemethylenecyclopropanes Controlled by Adjacent Substituents at Aromatic Rings. Chem. Eur. J. 2017, 23, 6845–6852. [Google Scholar] [CrossRef] [PubMed]
- Hurlocker, B.; Hu, C.; Woerpel, K.A. Structure and Reactivity of an Isolable Seven-Membered-Ring trans-Alkene. Angew. Chem. Int. Ed. 2015, 54, 4295–4298. [Google Scholar] [CrossRef] [PubMed]
- Garside, P.; Halsall, T.G.; Hornby, G.M. Action of peracetic acid on (+)-sabinol. J. Chem. Soc. C Org. 1969, 716–721. [Google Scholar] [CrossRef]
- CrysAlis PRO, Agilent Technologies UK Ltd.: Oxfordshire, UK, 2012.
- Dolomanov, O.V.; Bourhis, L.J.; Gildea, R.J.; Howard, J.A.K.; Puschmann, H. OLEX2: A complete structure solution, refinement and analysis program. J. Appl. Crystallogr. 2009, 42, 339–341. [Google Scholar] [CrossRef]
- Sheldrick, G.M. A short history of SHELX. Acta Crystallogr. A 2008, 64, 112–122. [Google Scholar] [CrossRef] [PubMed]
- Sheldrick, G.M. Crystal structure refinement with SHELXL. Acta Crystallogr. Sect. C Struct. Chem. 2015, 71, 3–8. [Google Scholar] [CrossRef] [PubMed]
Sample Availability: Samples of the compounds 3–17 are available from the authors. |
© 2018 by the authors. Licensee MDPI, Basel, Switzerland. This article is an open access article distributed under the terms and conditions of the Creative Commons Attribution (CC BY) license (http://creativecommons.org/licenses/by/4.0/).







