Two New Triterpenoids from the Roots of Codonopsis pilosula
Abstract
:1. Introduction
2. Results and Discussion
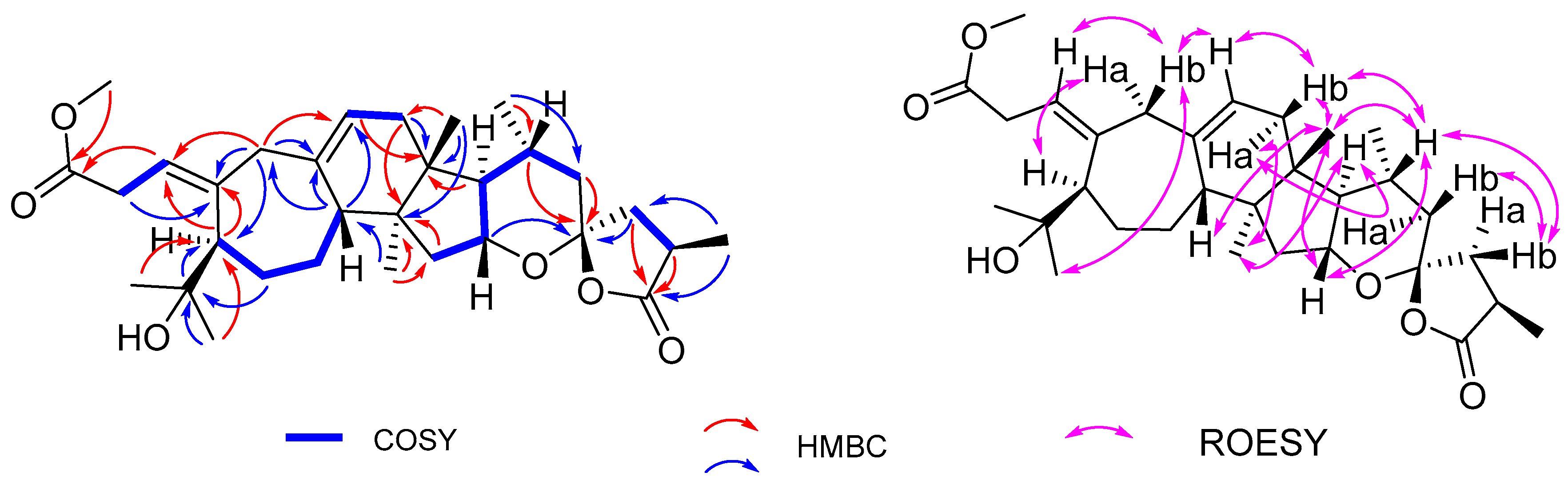
2.1. Elucidation of the Compounds
2.2. Biological Evaluation
3. Experimental Section
3.1. General Procedures
3.2. Plant Material
3.3. Extraction and Isolation
3.4. Compound Characterization Data
3.5. SIRT1 Inhibition
4. Conclusions
Supplementary Materials
Acknowledgments
Author Contributions
Conflicts of Interest
References
- Xie, M.; Yan, Z.Q.; Ren, X.; Li, X.Z.; Qin, B. Codonopilate A, a triterpenyl ester as main autotoxin in cultivated soil of Codonopsis pilosula (Franch.) Nannf. J. Agric. Food Chem. 2017, 65, 2032–2038. [Google Scholar] [CrossRef] [PubMed]
- Chao, C.H.; Juang, S.H.; Chan, H.H.; Shen, D.Y.; Liao, Y.R.; Shih, H.C.; Huang, C.H.; Cheng, J.C.; Chen, F.A.; Hung, H.Y.; et al. UV-guided isolation of polyynes and polyenes from the roots of Codonopsis pilosula. RSC Adv. 2015, 5, 41324–42331. [Google Scholar] [CrossRef]
- Tsai, K.H.; Lee, N.H.; Chen, G.Y.; Hu, W.S.; Tsai, C.Y.; Chang, M.H.; Jong, G.P.; Kuo, C.H.; Tzang, B.S.; Tsai, F.J.; et al. Dung-shen (Codonopsis pilosula) attenuated the cardiac-impaired insulin-like growth factor II receptor pathway on myocardial cells. Food Chem. 2013, 138, 1856–1867. [Google Scholar] [CrossRef] [PubMed]
- Wakana, D.; Kawahara, N.; Goda, Y. Two new pyrrolidine alkaloids, codonopsinol C and codonopiloside A, isolated from Codonopsis pilosula. Chem. Pharm. Bull. 2013, 61, 1315–1317. [Google Scholar] [CrossRef] [PubMed]
- Yang, C.X.; Gou, Y.Q.; Chen, J.Y.; An, J.; Chen, W.X.; Hu, F.D. Structural characterization and antitumor activity of a pecticpolysaccharide from Codonopsis pilosula. Carbohydr. Polym. 2013, 98, 886–895. [Google Scholar] [CrossRef] [PubMed]
- He, J.Y.; Zhu, S.; Komatsu, K. HPLC/UV analysis of polyacetylenes, phenylpropanoid and pyrrolidine alkaloids in medicinally used Codonopsis species. Phytochem. Anal. 2014, 25, 213–219. [Google Scholar] [CrossRef] [PubMed]
- Jiang, Y.P.; Liu, Y.F.; Gao, Q.L.; Jiang, Z.B.; Xu, C.B.; Zhu, C.G.; Yang, Y.C.; Lin, S.; Shi, J.G. Acetylenes and fatty acids from Codonopsis pilosula. Acta Pham. Sin. B 2015, 5, 215–222. [Google Scholar] [CrossRef] [PubMed]
- Jiang, Y.P.; Liu, Y.F.; Guo, Q.L.; Xu, C.B.; Zhu, C.G.; Shi, J.G. Sesquiterpene glycosides from the roots of Codonopsis pilosula. Acta Pharm. Sin. B 2016, 6, 46–54. [Google Scholar] [CrossRef] [PubMed]
- Chen, G.F.; Li, Z.L.; Pan, D.J.; Jiang, S.H.; Zhu, D.Y. A Novel eleven-membered-ring Triterpene dilactone, pseudolarolide F and a related compound, pseudolarolide E, from Pseudolarix kaempferi. J. Asian Nat. Prod. Res. 2001, 3, 321–333. [Google Scholar] [CrossRef] [PubMed]
- Chen, G.F.; Tan, C.H.; Li, Z.L.; Jiang, S.H.; Zhu, D.Y. Pseudolarolides O and P, two novel triterpene dilactones from Pseudolarix kaempferi. Helv. Chim. Acta 2003, 86, 78–792. [Google Scholar] [CrossRef]
- Chen, K.; Shi, Q.; Li, Z.L.; Poon, C.D.; Tang, R.J.; Lee, K.H. Structures and stereochemistry of pseudolarolides K and L, novel triterpene dilactones from Pseudolarix kaempferi. J. Asian Nat. Prod. Res. 1999, 1, 207–214. [Google Scholar] [CrossRef] [PubMed]
- Li, X.Z.; Cheng, L.Z.; Yan, Y.M.; Liu, B.H.; Cheng, Y.X. SIRT1 inhibitory compounds from the roots of Codonopsis pilosula. J. Asian Nat. Prod. Res. 2018, 10, 1–8. [Google Scholar] [CrossRef] [PubMed]
- Qin, F.Y.; Cheng, L.Z.; Yan, Y.M.; Liu, B.H.; Cheng, Y.X. Two novel proline-containing catechin glucoside from water-soluble extract of Codonopsis pilosula. Molecules 2018, 23, 180. [Google Scholar] [CrossRef] [PubMed]
- Tan, J.M.; Qiu, Y.H.; Tan, X.Q.; Tan, C.H. Three new peroxy triterpene lactones from Pseudolarix kaempferi. Helv. Chim. Acta 2011, 94, 1697–1702. [Google Scholar] [CrossRef]
- Chen, G.F.; Li, Z.L.; Pan, D.J.; Tang, C.M.; He, X.; Xu, G.Y.; Chen, K.; Lee, K.H. The isolation and structural elucidation of four novel triterpene lactones, pseudolarolides A, B, C, and D, from Pseudolarix kaempferi. J. Nat. Prod. 1993, 56, 1114–1122. [Google Scholar] [CrossRef] [PubMed]
- Chen, G.F.; Li, Z.L.; Chen, K.; Tang, C.M.; He, X.; Pan, D.J.; Hu, C.Q.; McPhail, D.R.; McPhail, A.T.; Lee, K.H. Structure and stereochemistry of pseudolarolide H, a novel peroxy triterpene dilactone from Pseudolarix kaempferi. Tetrahedron Lett. 1990, 31, 3413–3416. [Google Scholar] [CrossRef]
- Chen, K.; Zhang, Y.L.; Li, Z.L.; Shi, Q.; Poon, C.D.; Tang, R.J.; McPhail, A.T.; Lee, K.H. Structure and stereochemistry of pseudolarolide J, a novel nortriterpene lactone from Pseudolarix kaempferi. J. Nat. Prod. 1996, 59, 1200–1202. [Google Scholar] [CrossRef] [PubMed]
- Zhou, T.; Zhang, H.; Zhu, N.; Chiu, P. New triterpene peroxides from Pseudolarix kaempferi. Tetrahedron 2004, 60, 4931–4936. [Google Scholar] [CrossRef]
- Araki, T.; Sasaki, Y.; Milbrandt, J. Increased nuclear NAD biosynthesis and SIRT1 activation prevent axonal degeneration. Science 2004, 305, 1010–1013. [Google Scholar] [CrossRef] [PubMed]
- Bordone, L.; Motta, M.C.; Picard, F.; Robinson, A.; Jhala, U.S.; Apfeld, J.; McDonagh, T.; Lemieux, M.; McBurney, M.; Szilvasi, A.; Easlon, E.J.; Lin, S.J.; Guarente, L. Sirt1 regulates insulin secretion by repressing UCP2 in pancreatic β cells. PLoS Biol. 2006, 4, 210–220. [Google Scholar] [CrossRef]
- Karbasforooshana, H.; Karimib, G. The role of SIRT1 in diabetic cardiomyopathy. Biomed. Pharmacother. 2017, 90, 386–392. [Google Scholar] [CrossRef] [PubMed]
Sample Availability: Samples of the compounds 1 and 2 are available from the authors. |



| No. | 1 | No. | 2 | ||
|---|---|---|---|---|---|
| δH | δC | δH | δC | ||
| 1 | 5.63 (t-like, 7.7) | 123.6 | 1 | 7.41 (d, 9.7) | 141.0 |
| 2 | Ha: 3.20 (dd, 16.6, 8.4) | 34.0 | 2 | 6.24 (d, 9.7) | 112.9 |
| Hb: 3.08 (dd, 16.6, 6.9) | 3 | 172.8 | |||
| 3 | 173.0 | 4 | 73.2 | ||
| 4 | 73.2 | 5 | 2.89 (overlap) | 51.6 | |
| 5 | 2.58 (dd, 11.9, 5.8) | 51.2 | 6 | Ha: 2.02 (m) | 27.6 |
| 6 | Ha: 1.97 (m) | 25.7 a | Hb: 1.43 (m) | ||
| Hb: 1.47 (m) | 7 | Ha: 1.56 (m) | 25.0 | ||
| 7 | Ha: 1.16 (overlap) | 25.8 a | Hb: 1.32 (m) | ||
| Hb: 1.10 (overlap) | 8 | Ha: 1.29 (m) | 34.6 | ||
| 8 | 1.91 (m) | 48.2 | Hb: 0.70 (m) | ||
| 9 | 140.8 | 9 | 201.2 | ||
| 10 | 141.7 | 10 | 120.5 | ||
| 11 | 5.19 (t-like, 5.3) | 120.4 | 11 | Ha: 3.05 (dd, 15.6, 11.9) | 36.5 |
| 12 | Ha: 2.02 (m) | 35.5 | Hb: 2.43 (dd, 15.6, 8.8) | ||
| Hb: 1.71 (m) | 12 | Ha: 2.35 (m) | 28.1 | ||
| 13 | 43.0 | Hb: 1.85 (m) | |||
| 14 | 46.5 | 13 | 44.2 | ||
| 15 | Ha: 1.20 (overlap) | 38.3 | 14 | 48.6 | |
| Hb: 1.81 (dd, 14.1, 10.9) | 15 | Ha: 1.77 (dd, 13.8, 11.0) | 42.4 | ||
| 16 | 4.06 (td-like, 10.7, 5.3) | 77.1 | Hb: 1.23 (overlap) | ||
| 17 | 1.44 (t-like, 10.7) | 53.7 | 16 | 4.05 (td, 10.4, 7.1) | 76.5 |
| 18 | 0.70 (s) | 16.1 | 17 | 1.45 (overlap) | 55.0 |
| 19 | Ha: 2.90 (overlap) | 42.9 | 18 | 0.78 (s) | 15.6 |
| Hb: 2.70 (d, 13.4) | 19 | 159,9 | |||
| 20 | 2.05 (m) | 30.0 | 20 | 2.11, (m) | 30.4 |
| 21 | 0.88 (d, 6.2) | 19.1 | 21 | 1.01, (d, 6.5) | 20.3 |
| 22 | Ha: 1.86 (m) | 44.0 | 22 | Ha: 1.84 (m) | 44.6 |
| Hb: 1.37 (dd, 14.0, 11.5) | Hb: 1.47 (overlap) | ||||
| 23 | 107.3 | 23 | 106.7 | ||
| 24 | Ha: 2.37 (dd, 12.9, 8.5) | 42.6 | 24 | Ha: 2.39 (dd, 12.9, 8.5) | 42.4 |
| Hb: 1.68 (dd, 12.9, 11.5) | Hb: 1.71 (dd, 12.9, 11.5) | ||||
| 25 | 2.89 (overlap) | 34.1 | 25 | 2.91 (overlap) | 34.1 |
| 26 | 179.7 | 26 | 179.6 | ||
| 27 | 1.22 (d, 7.3) | 14.8 | 27 | 1.23 (d, 7.2) | 15.0 |
| 28 | 1.12, (s) | 26.4 | 28 | 1.05 (s) | 25.5 |
| 29 | 1.18 (s) | 28.9 | 29 | 1.29 (s) | 29.2 |
| 30 | 0.83 (s) | 21.4 | 30 | 1.31 (s) | 26.9 |
| OCH3 | 3.61 (s) | 51.7 | |||
© 2018 by the authors. Licensee MDPI, Basel, Switzerland. This article is an open access article distributed under the terms and conditions of the Creative Commons Attribution (CC BY) license (http://creativecommons.org/licenses/by/4.0/).
Share and Cite
Zheng, T.; Cheng, L.-Z.; Yan, Y.-M.; Liu, B.-H.; Qin, F.-Y.; Xu, F.-R.; Cheng, Y.-X. Two New Triterpenoids from the Roots of Codonopsis pilosula. Molecules 2018, 23, 383. https://doi.org/10.3390/molecules23020383
Zheng T, Cheng L-Z, Yan Y-M, Liu B-H, Qin F-Y, Xu F-R, Cheng Y-X. Two New Triterpenoids from the Roots of Codonopsis pilosula. Molecules. 2018; 23(2):383. https://doi.org/10.3390/molecules23020383
Chicago/Turabian StyleZheng, Tao, Li-Zhi Cheng, Yong-Ming Yan, Bao-Hua Liu, Fu-Ying Qin, Fu-Rong Xu, and Yong-Xian Cheng. 2018. "Two New Triterpenoids from the Roots of Codonopsis pilosula" Molecules 23, no. 2: 383. https://doi.org/10.3390/molecules23020383
APA StyleZheng, T., Cheng, L.-Z., Yan, Y.-M., Liu, B.-H., Qin, F.-Y., Xu, F.-R., & Cheng, Y.-X. (2018). Two New Triterpenoids from the Roots of Codonopsis pilosula. Molecules, 23(2), 383. https://doi.org/10.3390/molecules23020383

