Silica Aerogel Monoliths Derived from Silica Hydrosol with Various Surfactants
Abstract
:1. Introduction
2. Experimental Section
2.1. Materials
2.2. Preparation of Silica Aerogels with Surfactant
2.3. Characterization
3. Results and Discussion
3.1. Bulk Density and Room-Temperature Thermal Conductivity
3.2. Morphology of Silica Aerogels
3.3. Chemical Composition of Silica Aerogels
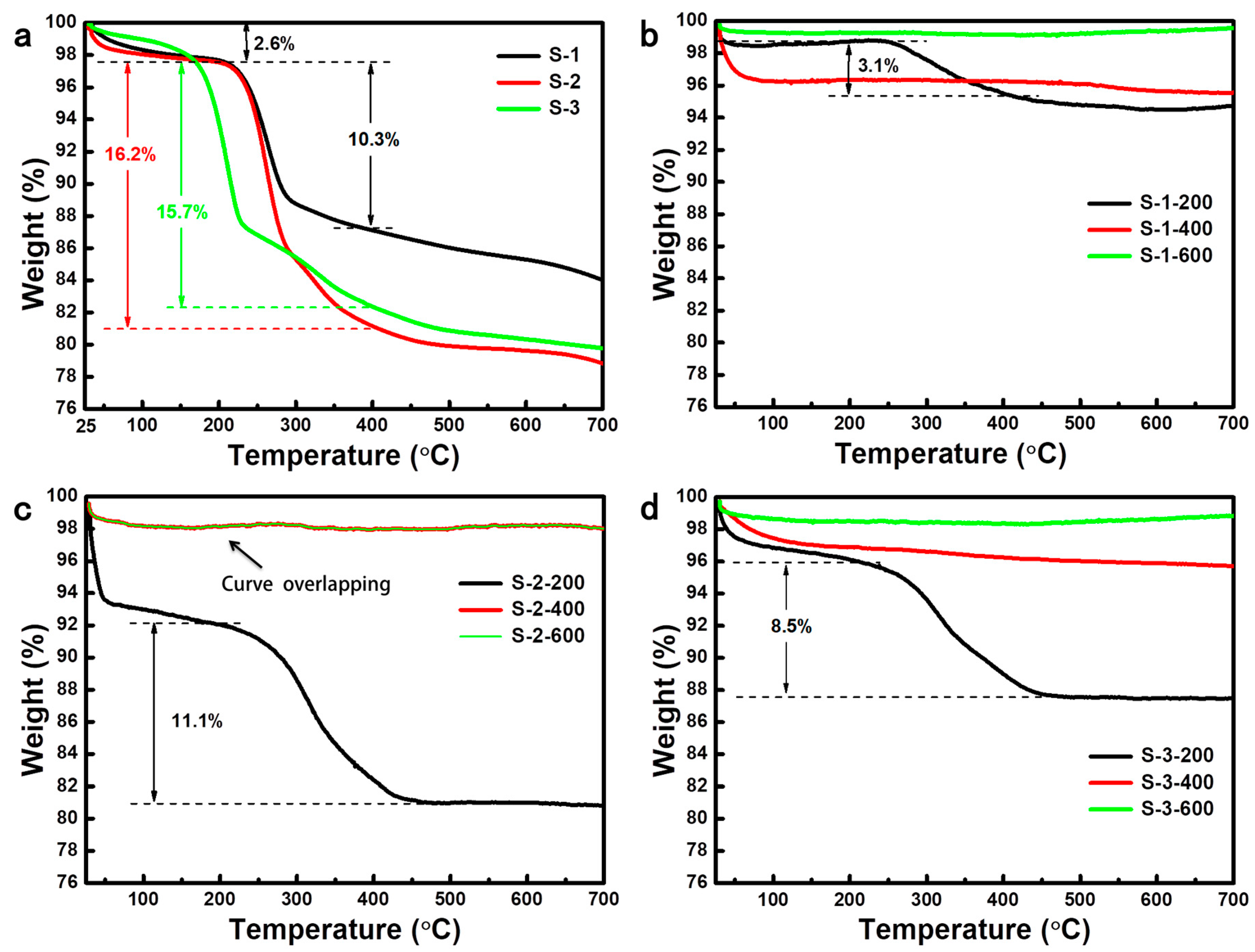
3.4. Thermogravimetric Analysis (TGA) of Silica Aerogels
3.5. Pore Structures of Silica Aerogels
4. Conclusions
Author Contributions
Funding
Acknowledgments
Conflicts of Interest
References
- Hüsing, N.; Schubert, U. Aerogels-airy materials: Chemistry, structure, and properties. Angew. Chem. Int. Ed. 2010, 37, 22–45. [Google Scholar] [CrossRef]
- Aegerter, M.A.; Leventis, N.; Koebel, M.M. Aerogels Handbook; Springer: New York, NY, USA, 2011. [Google Scholar]
- Lu, X.; Arduini-Schuster, M.C.; Kuhn, J.; Nilsson, O.; Fricke, J.; Pekala, R.W. Thermal conductivity of monolithic organic aerogels. Science 1992, 255, 971–972. [Google Scholar] [CrossRef]
- Fricke, J.; Emmerling, A. Aerogels. J. Am. Ceram. Soc. 2010, 75, 2027–2035. [Google Scholar] [CrossRef]
- Pierre, A.C.; Pajonk, G.M. Chemistry of aerogels and their applications. Chem. Rev. 2002, 34, 4243–4265. [Google Scholar] [CrossRef]
- Du, A.; Zhou, B.; Zhang, Z.H.; Shen, J. A special material or a new state of matter: A review and reconsideration of the aerogel. Materials 2013, 6, 941–968. [Google Scholar] [CrossRef] [PubMed]
- Rubin, M.; Lampert, C.M. Transparent silica aerogels for window insulation. Sol. Energy Mater. 1983, 7, 393–400. [Google Scholar] [CrossRef]
- Buratti, C.; Moretti, E. Glazing systems with silica aerogel for energy saving in buildings. Appl. Energy 2012, 98, 396–403. [Google Scholar] [CrossRef]
- Reim, M.; Körner, W.; Manara, J.; Korder, S.; Arduini-Schuster, M.; Ebert, H.-P.; Fricke, J. Silica aerogel granulate material for thermal insulation and daylighting. Sol. Energy 2005, 79, 131–139. [Google Scholar] [CrossRef]
- Kistler, S.S.; Caldwell, A.G. Thermal conductivity of silica aerogel. Ind. Eng. Chem. 1934, 26, 658–662. [Google Scholar] [CrossRef]
- Hrubesh, L.W. Silica aerogel: An intrinsically low dielectric constant material. MRS Proc. 1995, 381. [Google Scholar] [CrossRef]
- He, Y.L.; Xie, T. Advances of thermal conductivity models of nanoscale silica aerogel insulation material. Appl. Therm. Eng. 2015, 81, 28–50. [Google Scholar] [CrossRef]
- Rao, A.V.; Kulkarni, M.M.; Amalnerkar, D.P.; Seth, T. Superhydrophobic silica aerogels based on methyltrimethoxysilane precursor. J. Non-Cryst. Solids 2003, 330, 187–195. [Google Scholar]
- Rao, A.V.; Bhagat, S.D. Synthesis and physical properties of TEOS-based silica aerogels prepared by two step (acid-base) sol-gel process. Solid State Sci. 2004, 6, 945–952. [Google Scholar]
- Liu, P.; Geng, G.Q.; Wang, Y.J. Study on preparation of silica aerogels derived from silica sol. Adv. Mater. Res. 2012, 496, 7–11. [Google Scholar] [CrossRef]
- Lee, C.J.; Kim, G.S.; Hyun, S.H. Synthesis of silica aerogels from waterglass via new modified ambient drying. J. Mater. Sci. 2002, 37, 2237–2241. [Google Scholar] [CrossRef]
- Inoue, S.I.; Morita, K.; Asai, K.; Okamoto, H. Preparation and properties of elastic polyimide-silica composites using silanol sol from water glass. J. Appl. Polym. Sci. 2010, 92, 2211–2219. [Google Scholar] [CrossRef]
- Smith, D.M.; Stein, D.; Anderson, J.M.; Ackerman, W. Preparation of low-density xerogels at ambient pressure. MRS Proc. 1995, 381, 104–112. [Google Scholar] [CrossRef]
- Farn, R.J. Chemistry and Technology of Surfactants; Blackwell Publishing: Hoboken, NJ, USA, 2006. [Google Scholar]
- Karsa, D.R.; Houston, J. What Are Surfactants? Blackwell Publishing: Hoboken, NJ, USA, 2007; pp. 1–23. [Google Scholar]
- Vareda, J.P.; Maximiano, P.; Cunha, L.P.; Ferreira, A.F.; Simões, P.N.; Durães, L. Effect of different types of surfactants on the microstructure of methyltrimethoxysilane-derived silica aerogels: A combined experimental and computational approach. J. Colloid Interface Sci. 2018, 512, 64–76. [Google Scholar] [CrossRef] [PubMed]
- Li, W.; Li, F.Y.; Zhuo, F.L.; Cao, M.J.; Cai, Q.; Huang, J.; Zhang, W.J.; Mu, M.W. Preparation of silica aerogels using CTAB/SDS as template and their efficient adsorption. Appl. Surf. Sci. 2015, 353, 1031–1036. [Google Scholar]
- Chen, X.D.; Li, C.C.; Shi, X.J.; Li, Z.; Gong, L.L.; Zhang, H.P. Rapid synthesis of ambient pressure dried monolithic silica aerogels using water as the only solvent. Mater. Lett. 2017, 204, 157–160. [Google Scholar] [CrossRef]
- Yun, S.; Guo, T.; Zhang, J.D.; He, L.; Li, Y.X.; Li, H.J.; Zhu, X.F.; Gao, Y.F. Facile synthesis of large-sized monolithic methyltrimethoxysilane-based silica aerogel via ambient pressure drying. J. Sol-Gel Sci. Technol. 2017, 83, 53–63. [Google Scholar] [CrossRef]
- Rao, A.V.; Kulkarni, M.M.; Amalnerkar, D.P.; Seth, T. Surface chemical modification of silica aerogels using various alkyl-alkoxy/chorosilanes. Appl. Surf. Sci. 2003, 206, 262–270. [Google Scholar] [CrossRef]
- Shewale, P.M.; Rao, A.V.; Rao, A.P. Effect of different trimethyl silylating agents on the hydrophobic and physical properties of silica aerogels. Appl. Surf. Sci. 2008, 254, 6902–6907. [Google Scholar] [CrossRef]
- Sanli, D.; Erkey, C. Monolithic composites of silica aerogels by reactive supercritical deposition of hydroxy-terminated poly(dimethylsiloxane). ACS Appl. Mater. Interfaces 2013, 5, 11708–11717. [Google Scholar] [CrossRef] [PubMed]
- Yokogawa, H.; Yokoyama, M. Hydrophobic silica aerogels. J. Non-Cryst. Solids 1995, 186, 23–29. [Google Scholar] [CrossRef]
- Anappara, A.A.; Rajeshkumar, S.; Mukundan, P.; Warrier, P.R.S.; Ghosh, S.; Warrier, K.G.K. Impedance spectroscopic studied of sol-gel derived subcritically dried silica aerogels. Acta Mater. 2004, 52, 369–375. [Google Scholar] [CrossRef]
- Li, W.C.; Lu, A.H.; Guo, S.C. Control of mesoporous structure of aerogels derived from Cresol-Formaldehyde. J. Colloid Interface Sci. 2002, 254, 153–157. [Google Scholar] [CrossRef]
- Shi, F.; Wang, L.J.; Liu, J.X. Synthesis and characterization of silica aerogels by a novel fast ambient pressure drying process. Mater. Lett. 2006, 60, 3718–3722. [Google Scholar] [CrossRef]
Sample Availability: All samples are available from the authors. |







| Sample | Specific Surface Area (SSA) (m2·g−1) | Average Pore Size (nm) | Pore Volume (cm3·g−1) |
|---|---|---|---|
| S-1 | 141 | 24.7 | 1.07 |
| S-1-400 | 264 | 35.7 | 1.49 |
| S-1-600 | 131 | 36.1 | 1.02 |
| S-2 | 141 | 13 | 0.64 |
| S-2-400 | 378 | 9.6 | 1.6 |
| S-2-600 | 22 | 3.3 | 0.02 |
| S-3 | 134 | 14 | 0.69 |
| S-3-400 | 247 | 17.5 | 0.99 |
| S-3-600 | 107 | 25.1 | 0.99 |
© 2018 by the authors. Licensee MDPI, Basel, Switzerland. This article is an open access article distributed under the terms and conditions of the Creative Commons Attribution (CC BY) license (http://creativecommons.org/licenses/by/4.0/).
Share and Cite
Chen, D.; Wang, X.; Ding, W.; Zou, W.; Zhu, Q.; Shen, J. Silica Aerogel Monoliths Derived from Silica Hydrosol with Various Surfactants. Molecules 2018, 23, 3192. https://doi.org/10.3390/molecules23123192
Chen D, Wang X, Ding W, Zou W, Zhu Q, Shen J. Silica Aerogel Monoliths Derived from Silica Hydrosol with Various Surfactants. Molecules. 2018; 23(12):3192. https://doi.org/10.3390/molecules23123192
Chicago/Turabian StyleChen, Dong, Xiaodong Wang, Wenhui Ding, Wenbing Zou, Qiong Zhu, and Jun Shen. 2018. "Silica Aerogel Monoliths Derived from Silica Hydrosol with Various Surfactants" Molecules 23, no. 12: 3192. https://doi.org/10.3390/molecules23123192
APA StyleChen, D., Wang, X., Ding, W., Zou, W., Zhu, Q., & Shen, J. (2018). Silica Aerogel Monoliths Derived from Silica Hydrosol with Various Surfactants. Molecules, 23(12), 3192. https://doi.org/10.3390/molecules23123192

