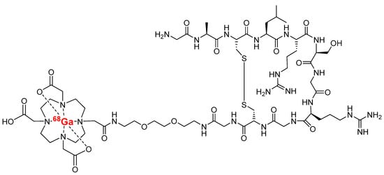
Evaluation of [68Ga]Ga-DOTA-TCTP-1 for the Detection of Metalloproteinase 2/9 Expression in Mouse Atherosclerotic Plaques
Abstract
1. Introduction
2. Results
2.1. Ex Vivo Biodistribution and Binding Specificity of MMP-2/9 Targeted Tracer
2.2. Autoradiography
2.3. In Vivo PET/CT
2.4. Histology and Immunohistochemistry
2.5. Zymography
3. Discussion
4. Materials and Methods
4.1. Animal Model and Other Materials
4.2. Radiochemistry
4.3. Ex Vivo Biodistribution
4.4. Autoradiography
4.5. In Vivo PET/CT
4.6. Histology and Immunohistochemistry
4.7. Zymography
4.8. Statistical Analysis
5. Conclusions
Supplementary Materials
Author Contributions
Funding
Acknowledgments
Conflicts of Interest
References
- Hansson, G.K.; Libby, P.; Tabas, I. Inflammation and plaque vulnerability. J. Intern. Med. 2015, 278, 483–493. [Google Scholar] [CrossRef] [PubMed]
- Tarkin, J.M.; Dweck, M.R.; Evans, N.R.; Takx, R.A.; Brown, A.J.; Tawakol, A.; Fayad, Z.A.; Rudd, J.H. Imaging Atherosclerosis. Circ. Res. 2016, 118, 750–769. [Google Scholar] [CrossRef] [PubMed]
- Hermann, S.; Starsichova, A.; Waschkau, B.; Edwards, D.S.; Zhou, J.; Yalamanchili, P.; Kuhlmann, M.; Wenning, C.; Schober, O.; Schäfers, M. Non-FDG imaging of atherosclerosis, will imaging of MMPs assess plaque vulnerability. J. Nucl. Cardiol. 2012, 19, 609–617. [Google Scholar] [CrossRef] [PubMed]
- Hopps, E.; Caimi, G. Matrix metalloproteinases in metabolic syndrome. Eur. J. Intern. Med. 2012, 23, 99–104. [Google Scholar] [CrossRef] [PubMed]
- Bourboulia, D.; Stetler-Stevenson, W.G. Matrix metalloproteinases (MMPs) and tissue inhibitors of metalloproteinases (TIMPs), Positive and negative regulators in tumor cell adhesion. Semin. Cancer Biol. 2010, 20, 161–168. [Google Scholar] [CrossRef] [PubMed]
- Newby, A.C. Matrix metalloproteinase inhibition therapy for vascular diseases. Vascul. Pharmacol. 2012, 56, 232–244. [Google Scholar] [CrossRef] [PubMed]
- Welgus, H.G.; Fliszar, C.J.; Seltzer, J.L.; Schmid, T.M.; Jeffrey, J.J. Differential susceptibility of type X collagen to cleavage by two mammalian interstitial collagenases and 72-kDa type IV collagenase. J. Biol. Chem. 1990, 265, 13521–13527. [Google Scholar] [PubMed]
- Newby, A.C. Matrix metalloproteinases regulate migration, proliferation, and death of vascular smooth muscle cells by degrading matrix and non-matrix substrates. Cardiovasc. Res. 2006, 69, 614–624. [Google Scholar] [CrossRef] [PubMed]
- De Nooijer, R.; Verkleij, C.J.; von der Thüsen, J.H.; Jukema, J.W.; van der Wall, E.E.; van Berkel, T.J.; Baker, A.H.; Biessen, E.A. Lesional overexpression of matrix metalloproteinase-9 promotes intraplaque hemorrhage in advanced lesions but not at earlier stages of atherogenesis. Arterioscler. Thromb. Vasc. Biol. 2006, 26, 340–346. [Google Scholar] [CrossRef] [PubMed]
- Johnson, J.L.; Fritsche-Danielson, R.; Behrendt, M.; Westin-Eriksson, A.; Wennbo, H.; Herslof, M.; Elebring, M.; George, S.J.; McPheat, W.L.; Jackson, C.L. Effect of broad-spectrum matrix metalloproteinase inhibition on atherosclerotic plaque stability. Cardiovasc. Res. 2006, 71, 586–595. [Google Scholar] [CrossRef] [PubMed][Green Version]
- Prescott, M.F.; Sawyer, W.K.; Von Linden-Reed, J.; Jeune, M.; Chou, M.; Caplan, S.L.; Jeng, A.Y. Effect of matrix metalloproteinase inhibition on progression of atherosclerosis and aneurysm in LDL receptor-deficient mice overexpressing MMP-3, MMP-12, and MMP-13 and on restenosis in rats after balloon injury. Ann. N. Y. Acad. Sci. 1999, 878, 179–190. [Google Scholar] [CrossRef] [PubMed]
- Tan, C.; Liu, Y.; Li, W.; Deng, F.; Liu, X.; Wang, X.; Gui, Y.; Qin, L.; Hu, C.; Chen, L. Associations of matrix metalloproteinase-9 and monocyte chemoattractant protein-1 concentrations with carotid atherosclerosis, based on measurements of plaque and intima-media thickness. Atherosclerosis 2014, 232, 199–203. [Google Scholar] [CrossRef] [PubMed]
- Silvello, D.; Narvaes, L.B.; Albuquerque, L.C.; Forgiarini, L.F.; Meurer, L.; Martinelli, N.C.; Andrades, M.E.; Clausell, N.; dos Santos, K.G.; Rohde, L.E. Serum levels and polymorphisms of matrix metalloproteinases (MMPs) in carotid artery atherosclerosis, higher MMP-9 levels are associated with plaque vulnerability. Biomarkers 2014, 19, 49–55. [Google Scholar] [CrossRef] [PubMed]
- Nenseter, M.S.; Narverud, I.; Græsdal, A.; Bogsrud, M.P.; Halvorsen, B.; Ose, L.; Aukrust, P.; Holven, K.B. Elevated serum MMP-9/TIMP-1 ratio in patients with homozygous familial hypercholesterolemia: Effects of LDL-apheresis. Cytokine 2013, 61, 194–198. [Google Scholar] [CrossRef] [PubMed]
- Hlatky, M.A.; Ashley, E.; Quertermous, T.; Boothroyd, D.B.; Ridker, P.; Southwick, A.; Myers, R.M.; Iribarren, C.; Fortmann, S.P.; Go, A.S.; et al. Atherosclerotic Disease, Vascular Function and Genetic Epidemiology (ADVANCE) Study. Matrix metalloproteinase circulating levels, genetic polymorphisms, and susceptibility to acute myocardial infarction among patients with coronary artery disease. Am. Heart J. 2007, 154, 1043–1051. [Google Scholar] [CrossRef] [PubMed]
- Heinonen, S.E.; Leppänen, P.; Kholová, I.; Lumivuori, H.; Häkkinen, S.K.; Bosch, F.; Laakso, M.; Ylä-Herttuala, S. Increased atherosclerotic lesion calcification in a novel mouse model combining insulin resistance, hyperglycemia, and hypercholesterolemia. Circ. Res. 2007, 101, 1058–1067. [Google Scholar] [CrossRef] [PubMed]
- Koivunen, E.; Arap, W.; Valtanen, H.; Rainisalo, A.; Medina, O.P.; Heikkilä, P.; Kantor, C.; Gahmberg, C.G.; Salo, T.; Konttinen, Y.T.; et al. Tumor targeting with a selective gelatinase inhibitor. Nat. Biotechnol. 1999, 17, 768–774. [Google Scholar] [CrossRef] [PubMed]
- Ujula, T.; Huttunen, M.; Luoto, P.; Peräkylä, H.; Simpura, I.; Wilson, I.; Bergman, M.; Roivainen, A. Matrix metalloproteinase 9 targeting peptides, syntheses, 68Ga-labeling, and preliminary evaluation in a rat melanoma xenograft model. Bioconjug Chem. 2010, 21, 1612–1621. [Google Scholar] [CrossRef] [PubMed]
- Kiugel, M.; Kytö, V.; Saanijoki, T.; Liljenbäck, H.; Metsälä, O.; Ståhle, M.; Tuomela, J.; Li, X.G.; Saukko, P.; Knuuti, J.; et al. Evaluation of 68Ga-labeled peptide tracer for detection of gelatinase expression after myocardial infarction in rat. J. Nucl. Cardiol. 2018, 25, 1114–1123. [Google Scholar] [CrossRef] [PubMed]
- Razavian, M.; Tavakoli, S.; Zhang, J.; Nie, L.; Dobrucki, L.W.; Sinusas, A.J.; Azure, M.; Robinson, S.; Sadeghi, M.M. Atherosclerosis plaque heterogeneity and response to therapy detected by in vivo molecular imaging of matrix metalloproteinase activation. J. Nucl. Med. 2011, 52, 1795–1802. [Google Scholar] [CrossRef] [PubMed]
- Schäfers, M.; Riemann, B.; Kopka, K.; Breyholz, H.J.; Wagner, S.; Schäfers, K.P.; Law, M.P.; Schober, O.; Levkau, B. Scintigraphic imaging of matrix metalloproteinase activity in the arterial wall in vivo. Circulation 2004, 109, 2554–2559. [Google Scholar] [CrossRef] [PubMed]
- Fujimoto, S.; Hartung, D.; Ohshima, S.; Edwards, D.S.; Zhou, J.; Yalamanchili, P.; Azure, M.; Fujimoto, A.; Isobe, S.; Matsumoto, Y.; et al. Molecular imaging of matrix metalloproteinase in atherosclerotic lesions, resolution with dietary modification and statin therapy. J. Am. Coll. Cardiol. 2008, 52, 1847–1857. [Google Scholar] [CrossRef] [PubMed]
- Breyholz, H.J.; Wagner, S.; Faust, A.; Riemann, B.; Höltke, C.; Hermann, S.; Schober, O.; Schäfers, M.; Kopka, K. Radiofluorinated pyrimidine-2,4,6-triones as molecular probes for noninvasive MMP-targeted imaging. ChemMedChem 2010, 5, 777–789. [Google Scholar] [CrossRef] [PubMed]
- Selivanova, S.V.; Stellfeld, T.; Heinrich, T.K.; Müller, A.; Krämer, S.D.; Schubiger, P.A.; Schibli, R.; Ametamey, S.M.; Vos, B.; Meding, J. Design, synthesis, and initial evaluation of a high affinity positron emission tomography probe for imaging matrix metalloproteinases 2 and 9. J. Med. Chem. 2013, 56, 4912–4920. [Google Scholar] [CrossRef] [PubMed]
- Faust, A.; Waschkau, B.; Waldeck, J.; Höltke, C.; Breyholz, H.J.; Wagner, S.; Kopka, K.; Schober, O.; Heindel, W.; Schäfers, M.; et al. Synthesis and evaluation of a novel hydroxamate based fluorescent photoprobe for imaging of matrix metalloproteinases. Bioconjug. Chem. 2009, 20, 904–912. [Google Scholar] [CrossRef] [PubMed]
- Jager, N.A.; BM, W.d.V.; Hillebrands, J.L.; Harlaar, N.J.; Tio, R.A.; Slart, R.H.; van Dam, G.M.; Boersma, H.H.; Zeebregts, C.J.; Westra, J.; et al. Distribution of matrix metalloproteinases in human atherosclerotic carotid plaques and their production by smooth muscle cells and macrophage subsets. Mol. Imaging Biol. 2016, 18, 283–291. [Google Scholar] [CrossRef] [PubMed]
- Deguchi, J.O.; Aikawa, M.; Tung, C.H.; Aikawa, E.; Kim, D.E.; Ntziachristos, V.; Weissleder, R.; Libby, P. Inflammation in atherosclerosis, visualizing matrix metalloproteinase action in macrophages in vivo. Circulation 2006, 114, 55–62. [Google Scholar] [CrossRef] [PubMed]
Sample Availability: Samples of the tracer precursor are available from the authors in limited amount. |




| Atherosclerotic LDLR-/- ApoB100/100 (n = 9) | Control C57BL/6N (n = 9) | P Atherosclerotic vs. Control | Inhibitor Pre-Treated Atherosclerotic (n = 4) | P Atherosclerotic vs. Inhibitor Pre-Treated | |
|---|---|---|---|---|---|
| Aorta | 0.43 ± 0.19 | 0.52 ± 0.25 | 0.61 | 0.19 ± 0.013 | 0.0020 |
| Blood | 1.3 ± 0.40 | 0.69 ± 0.21 | 0.017 | 0.60 ± 0.051 | 0.030 |
| Bone | 0.53 ± 0.37 | 0.63 ± 0.50 | 0.10 | 0.27 ± 0.080 | 0.030 |
| Heart | 0.23 ± 0.083 | 0.16 ± 0.066 | 0.54 | 0.12 ± 0.054 | 0.0050 |
| Intestine | 0.59 ± 0.22 | 0.43 ± 0.18 | 0.16 | 0.25 ± 0.15 | 0.093 |
| Kidneys | 8.0 ± 2.9 | 8.9 ± 3.6 | 0.96 | 7.3 ± 3.0 | 0.354 |
| Liver | 1.8 ± 0.48 | 3.2 ± 1.6 | 0.081 | 3.6 ± 2.4 | 0.0040 |
| Lungs | 2.8 ± 1.6 | 1.3 ± 0.74 | 0.038 | 2.0 ± 1.7 | 0.0020 |
| Lymph node | 0.49 ± 0.15 | 0.48 ± 0.19 | 0.88 | 0.30 ± 0.089 | 0.22 |
| Pancreas | 0.35 ± 0.17 | 0.17 ± 0.056 | 0.015 | 0.15 ± 0.062 | 0.019 |
| Plasma | 2.6 ± 1.4 | 1.5 ± 1.0 | 0.029 | 1.1 ± 0.10 | 0.048 |
| Salivary gland | 0.38 ± 0.15 | 0.23 ± 0.070 | 0.065 | 0.19 ± 0.033 | 0.17 |
| Skeletal muscle | 0.19 ± 0.077 | 0.17 ± 0.13 | 0.14 | 0.10 ± 0.027 | 0.029 |
| Spleen | 1.9 ± 1.6 | 1.7 ± 1.3 | 0.54 | 2.5 ± 1.7 | 0.018 |
| Thymus | 0.35 ± 0.29 | 0.23 ± 0.070 | 0.57 | 0.12 ± 0.033 | 0.020 |
| Urine | 440 ± 160 | 320 ± 150 | 0.28 | 210 ± 39 | 0.52 |
| WAT | 0.17 ± 0.21 | 0.17 ± 0.11 | 0.38 | 0.24 ± 0.21 | 0.0060 |
© 2018 by the authors. Licensee MDPI, Basel, Switzerland. This article is an open access article distributed under the terms and conditions of the Creative Commons Attribution (CC BY) license (http://creativecommons.org/licenses/by/4.0/).
Share and Cite
Kiugel, M.; Hellberg, S.; Käkelä, M.; Liljenbäck, H.; Saanijoki, T.; Li, X.-G.; Tuomela, J.; Knuuti, J.; Saraste, A.; Roivainen, A. Evaluation of [68Ga]Ga-DOTA-TCTP-1 for the Detection of Metalloproteinase 2/9 Expression in Mouse Atherosclerotic Plaques. Molecules 2018, 23, 3168. https://doi.org/10.3390/molecules23123168
Kiugel M, Hellberg S, Käkelä M, Liljenbäck H, Saanijoki T, Li X-G, Tuomela J, Knuuti J, Saraste A, Roivainen A. Evaluation of [68Ga]Ga-DOTA-TCTP-1 for the Detection of Metalloproteinase 2/9 Expression in Mouse Atherosclerotic Plaques. Molecules. 2018; 23(12):3168. https://doi.org/10.3390/molecules23123168
Chicago/Turabian StyleKiugel, Max, Sanna Hellberg, Meeri Käkelä, Heidi Liljenbäck, Tiina Saanijoki, Xiang-Guo Li, Johanna Tuomela, Juhani Knuuti, Antti Saraste, and Anne Roivainen. 2018. "Evaluation of [68Ga]Ga-DOTA-TCTP-1 for the Detection of Metalloproteinase 2/9 Expression in Mouse Atherosclerotic Plaques" Molecules 23, no. 12: 3168. https://doi.org/10.3390/molecules23123168
APA StyleKiugel, M., Hellberg, S., Käkelä, M., Liljenbäck, H., Saanijoki, T., Li, X.-G., Tuomela, J., Knuuti, J., Saraste, A., & Roivainen, A. (2018). Evaluation of [68Ga]Ga-DOTA-TCTP-1 for the Detection of Metalloproteinase 2/9 Expression in Mouse Atherosclerotic Plaques. Molecules, 23(12), 3168. https://doi.org/10.3390/molecules23123168

