Acylphloroglucinol Derivatives from Garcinia multiflora with Anti-Inflammatory Effect in LPS-Induced RAW264.7 Macrophages
Abstract
1. Introduction
2. Results and Discussion
2.1. Isolation and Structural Elucidation
2.2. Structure Identification of the Known Isolates
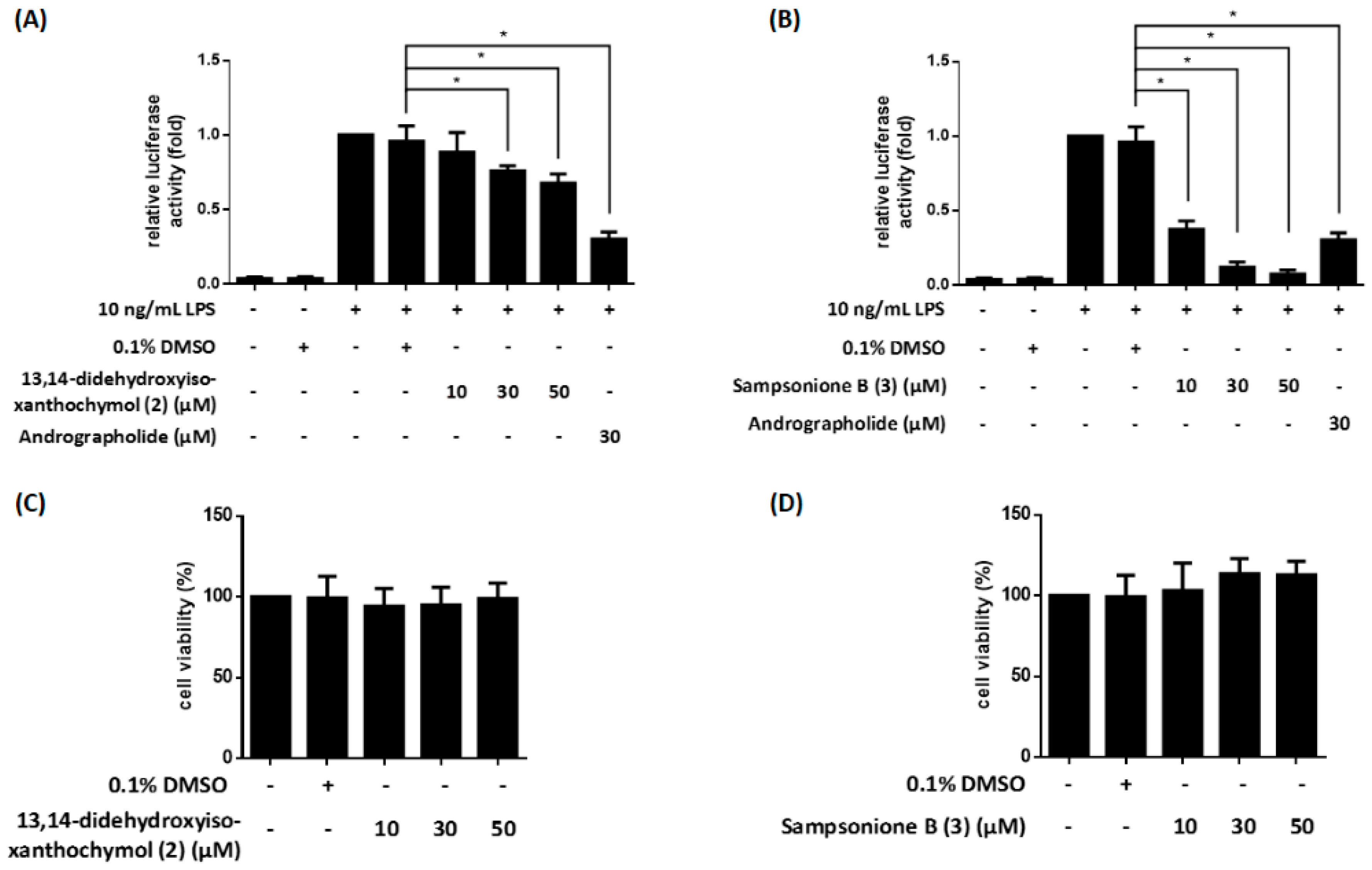
2.3. Biological Studies
3. Experimental Section
3.1. General Procedures
3.2. Plant Material
3.3. Extraction and Isolation
3.4. Biological Assay
3.4.1. Cells and Culture Medium
3.4.2. Luciferase Reporter Assay
3.4.3. 3-(4,5-Dimethylthiazol-2-yl)-2,5-diphenyltetrazolium Bromide (MTT) Assay
3.4.4. Nitric Oxide (NO) Production
3.4.5. Statistical Analysis
4. Conclusions
Supplementary Materials
Author Contributions
Funding
Acknowledgments
Conflicts of Interest
References
- Robson, N.K.B. ‘Guttiferae’ in ‘Flora of Taiwan’, 2nd ed.; Editorial Committee of the Flora of Taiwan: Taipei, Taiwan, 1996; Volume 2, pp. 694–714.
- Mohamed, G.A.; Ibrahim, S.R.M.; Shaaban, M.I.A.; Ross, S.A. Mangostanaxanthones I and II, new xanthones from the pericarp of Garcinia mangostana. Fitoterapia 2014, 98, 215–221. [Google Scholar] [CrossRef] [PubMed]
- Sukandar, E.R.; Ersam, T.; Fatmawati, S.; Siripong, P.; Aree, T.; Tip-pyang, S. Cylindroxanthones A–C, three xanthones and their cytotoxicity from the stem bark of Garcinia cylindrocarpa. Fitoterapia 2016, 108, 62–65. [Google Scholar] [CrossRef] [PubMed]
- Sukandar, E.R.; Siripong, P.; Khumkratok, S.; Tip-pyang, S. New depsidones and xanthone from the roots of Garcinia schomburgkiana. Fitoterapia 2016, 111, 73–77. [Google Scholar] [CrossRef] [PubMed]
- Tang, Z.Y.; Xia, Z.X.; Qiao, S.P.; Jiang, C.; Shen, G.R.; Cai, M.X.; Tang, X.Y. Four new cytotoxic xanthones from Garcinia nujiangensis. Fitoterapia 2015, 102, 109–114. [Google Scholar] [CrossRef] [PubMed]
- Chen, J.J.; Ting, C.W.; Hwang, T.L.; Chen, I.S. Benzophenone derivatives from the fruits of Garcinia multiflora and their anti-inflammatory activity. J. Nat. Prod. 2009, 72, 253–258. [Google Scholar] [CrossRef] [PubMed]
- Weng, J.R.; Tsao, L.T.; Wang, J.P.; Wu, R.R.; Lin, C.N. Anti-inflammatory phloroglucinols and terpenoids from Garcinia subelliptica. J. Nat. Prod. 2014, 67, 1796–1799. [Google Scholar] [CrossRef] [PubMed]
- Weng, J.R.; Lin, C.N.; Tsao, L.T.; Wang, J.P. Novel and anti-inflammatory constituents of Garcinia subelliptica. Chem. Eur. J. 2003, 9, 1958–1963. [Google Scholar] [CrossRef] [PubMed]
- Wu, C.C.; Lu, Y.H.; Wei, B.L.; Yang, S.C.; Won, S.J.; Lin, C.N. Phloroglucinols with prooxidant activity from Garcinia subelliptica. J. Nat. Prod. 2008, 71, 246–250. [Google Scholar] [CrossRef] [PubMed]
- Tan, W.N.; Khairuddean, M.; Wong, K.C.; Khaw, K.Y.; Vikneswaran, M. New cholinesterase inhibitors from Garcinia atroviridis. Fitoterapia 2014, 97, 261–267. [Google Scholar] [CrossRef] [PubMed]
- Killeen, M.J.; Linder, M.; Pontoniere, P.; Crea, R. NF-κB signaling and chronic inflammatory diseases: Exploring the potential of natural products to drive new therapeutic opportunities. Drug Discov. Today 2014, 19, 373–378. [Google Scholar] [CrossRef] [PubMed]
- Karin, M.; Clevers, H. Reparative inflammation takes charge of tissue regeneration. Nature 2016, 529, 307–315. [Google Scholar] [CrossRef] [PubMed]
- Riedel, C.U.; Foata, F.; Philippe, D.; Adolfsson, O.; Eikmanns, B.J.; Blum, S. Anti-inflammatory effects of bifidobacteria by inhibition of LPS-induced NF-κB activation. World J. Gastroenterol. 2006, 12, 3729–3735. [Google Scholar] [CrossRef] [PubMed]
- Xu, G.; Kan, W.L.T.; Zhou, Y.; Song, J.Z.; Han, Q.B.; Qiao, C.F.; Cho, C.H.; Rudd, J.A.; Lin, G.; Xu, H.X. Cytotoxic acylphloroglucinol derivatives from the twig of Garcinia cowa. J. Nat. Prod. 2010, 73, 104–108. [Google Scholar] [CrossRef] [PubMed]
- Stark, T.D.; Lӧsch, S.; Wakamatsu, J.; Balemba, O.B.; Frank, O.; Hofmann, T. UPLC-ESI-TOF MS-based metabolite profiling of the antioxidative food supplement Garcinia buchananii. J. Agric. Food Chem. 2015, 63, 7169–7179. [Google Scholar] [CrossRef] [PubMed]
- Socolsky, C.; Plietker, B. Total synthesis and absolute configuration assignment of MRSA active garcinol and isogarcinol. Chem. Eur. J. 2015, 21, 3053–3061. [Google Scholar] [CrossRef] [PubMed]
- Hu, L.H.; Sim, K.Y. Complex caged polyisoprenylated benzophenone derivatives, sampsonione A and B, from Hypericum sampsonii. Tetrahedron Lett. 1998, 39, 7999–8002. [Google Scholar] [CrossRef]
- Song, M.C.; Nigussie, F.; Jeong, T.S.; Lee, C.Y.; Regassa, F.; Markos, T.; Baek, N.I. Phenolic compounds from the roots of Lindera fruticosa. J. Nat. Prod. 2006, 69, 853–855. [Google Scholar] [CrossRef] [PubMed]
- Ma, C.Y.; Liu, W.K.; Che, C.T. Lignanamides and nonalkaloidal components of Hyoscyamus niger seeds. J. Nat. Prod. 2002, 65, 206–209. [Google Scholar] [CrossRef] [PubMed]
- Hisham, A.; Jaya Kumar, G.; Fujimoto, Y.; Hara, N. Salacianone and salacianol, two triterpenes from Salacia beddomei. Phytochemistry 1995, 40, 1227–1231. [Google Scholar] [CrossRef]
- Ibrahimm, S.R.M.; Elkhayat, E.S.; Mohamed, G.A.; Khedr, A.I.M.; Fouad, M.A.; Kotb, M.H.R.; Ross, S.A. Aspernolides F and G, new butyrolatones from the endophytic fungus Aspergillus terreus. Phytochemistry Lett. 2015, 14, 84–90. [Google Scholar] [CrossRef]
- Monção, N.B.N.; Araújo, B.Q.; do Nascimento Silva, J.; Lima, D.J.B.; Ferreira, P.M.P.; da Silva Airoldi, F.P.; Pessoa, C.; das, G.L.; Citó, A.M. Assessing chemical constituents of Mimosa caesalpiniifolia stem bark: Possible bioactive components accountable for the cytotoxic effect of M. caesalpiniifolia on human tumour cell lines. Molecules 2015, 20, 4204–4224. [Google Scholar] [CrossRef] [PubMed]
- Fu, S.L.; Hsu, H.Y.; Lee, P.Y.; Hou, W.C.; Hung, C.L.; Lin, C.H.; Chen, C.M.; Huang, Y.J. Dioscorin isolated from Dioscorea alata activates TLR4-signaling pathways and induces cytokine expression in macrophages. Biochem. Biophys. Res. Commun. 2006, 339, 137–144. [Google Scholar] [CrossRef] [PubMed]
- Liu, S.H.; Lin, C.H.; Hung, S.K.; Chou, J.H.; Chi, C.W.; Fu, S.L. Fisetin inhibits liopolysaccharide-induced macrophage activation and dendritic cell maturation. J. Agric. Food Chem. 2010, 58, 10831–10839. [Google Scholar] [CrossRef] [PubMed]
- Tsai, Y.C.; Chen, S.H.; Lin, L.C.; Fu, S.L. Anti-inflammatory principles from Sarcandra glabra. J. Agric. Food Chem. 2017, 65, 6497–6505. [Google Scholar] [CrossRef] [PubMed]
- MacMicking, J.; Xie, Q.W.; Nathan, C. Nitric oxide and macrophage function. Ann. Rev. Immunol. 1997, 15, 323–350. [Google Scholar] [CrossRef] [PubMed]
- Wang, S.L.; Tsai, Y.C.; Fu, S.L.; Cheng, M.J.; Chung, M.I.; Chen, J.J. 2-(2-Phenylethyl)-4H-chromen-4-one derivatives from the resinous wood of Aquilaria sinensis with anti-inflammatory effect in LPS-induced macrophages. Molecules 2018, 23, 289. [Google Scholar] [CrossRef] [PubMed]
Sample Availability: Samples of the compounds are available from the authors. |


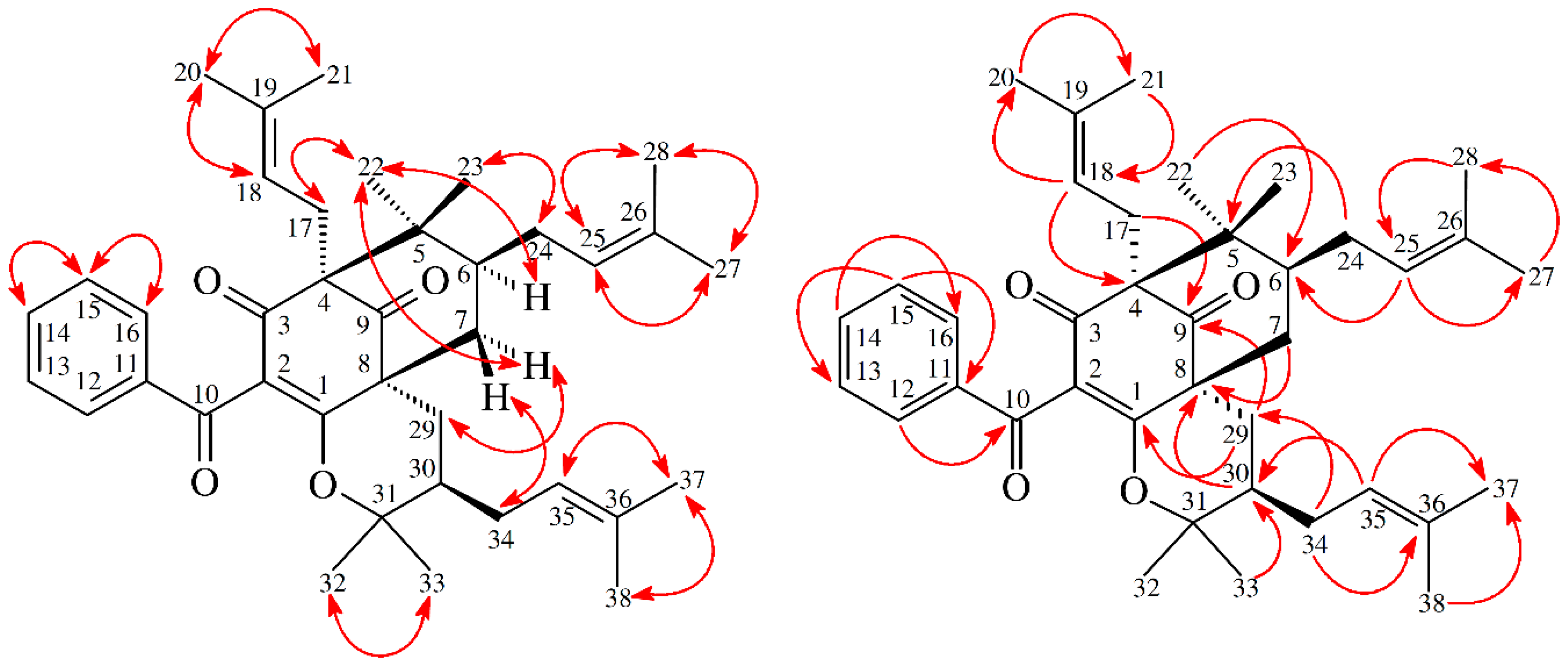
) and HMBC (
) correlations of 1.


) and HMBC (
) correlations of 2.



| Position | 1 | 2 | ||
|---|---|---|---|---|
| δC, type | δH (J in Hz) | δC, type | δH (J in Hz) | |
| 1 | 170.8, C | 171.5, C | ||
| 2 | 129.1, C | 125.3, C | ||
| 3 | 193.8, C | 193.7, C | ||
| 4 | 69.2, C | 68.3, C | ||
| 5 | 46.7, C | 46.3, C | ||
| 6 | 46.4, CH | 1.51, m | 46.2, CH | 1.45, m |
| 7 | 38.1, CH2 | 2.60, d (14.5) | 39.5, CH2 | 2.28, d (14.5) |
| 1.89, dd (14.5, 7.5) | 1.98, dd (14.5, 7.0) | |||
| 8 | 48.1, C | 51.2, C | ||
| 9 | 209.0, C | 207.1, C | ||
| 10 | 193.1, C | 193.8, C | ||
| 11 | 137.5, C | 137.5, C | ||
| 12 | 128.7, CH | 7.77, d (7.5) | 128.8, CH | 7.72, d (7.5) |
| 13 | 128.3, CH | 7.38, t (7.5) | 128.3, CH | 7.36, t (7.5) |
| 14 | 133.0, CH | 7.50, t (7.5) | 132.9, CH | 7.49, t (7.5) |
| 15 | 128.3, CH | 7.38, t (7.5) | 128.3, CH | 7.36, t (7.5) |
| 16 | 128.7, CH | 7.77, d (7.5) | 128.8, CH | 7.72, d (7.5) |
| 17 | 25.3, CH2 | 2.66, dd (13.5, 8.0) | 25.5, CH2 | 2.68, dd (14.0, 8.5) |
| 2.47, m | 2.43, dd (14.0, 5.0) | |||
| 18 | 119.8, CH | 4.91, br t (8.0) | 119.8, CH | 4.95, dd (8.5, 5.0) |
| 19 | 134.6, C | 134.7, C | ||
| 20 | 26.1, CH3 | 1.62, s | 26.2, CH3 | 1.62, s |
| 21 | 18.1, CH3 | 1.56, s | 18.0, CH3 | 1.58, s |
| 22 | 26.8, CH3 | 1.00, s | 26.8, CH3 | 0.98, s |
| 23 | 22.3, CH3 | 1.18, s | 22.5, CH3 | 1.17, s |
| 24 | 29.3, CH2 | 2.53, m | 29.3, CH2 | 2.65, m |
| 2.23, m | 2.19, m | |||
| 25 | 124.9, CH | 4.94, br t (7.5) | 124.9, CH | 4.90, br t (7.0) |
| 26 | 133.1, C | 133.1, C | ||
| 27 | 26.0, CH3 | 1.71, s | 26.0, CH3 | 1.70, s |
| 28 | 18.2, CH3 | 1.67, s | 18.1, CH3 | 1.69, s |
| 29 | 33.2, CH2 | 2.32, t (14.0) | 28.4, CH2 | 3.05, dd (14.0, 3.5) |
| 1.75, dd (14.0, 2.5) | 0.92, m | |||
| 30 | 42.8, CH | 2.46, m | 42.8, CH | 1.39, m |
| 31 | 143.5, C | 86.4, C | ||
| 32 | 113.9, CH2 | 4.80, s | 28.5, CH3 | 0.83, s |
| 4.84, s | ||||
| 33 | 20.3, CH3 | 1.66, s | 21.3, CH3 | 1.23, s |
| 34 | 79.7, CH | 4.20, t (9.0) | 29.6, CH2 | 2.03, m |
| 1.78, m | ||||
| 35 | 121.4, CH | 5.01, br d (9.0) | 121.4, CH | 5.19, br t (6.5) |
| 36 | 141.7, C | 133.7, C | ||
| 37 | 25.7, CH3 | 1.61 s | 25.8, CH3 | 1.77 s |
| 38 | 17.8, CH3 | 1.10 s | 18.1, CH3 | 1.60 s |
| Compounds a | Relative Luciferase Activity | Inhibition (%) e |
|---|---|---|
| Mean ± SD d | Mean ± SD d | |
| 13,14-Didehydroxygarcicowin C (1) | 0.78 ± 0.11 | 21 ± 11 |
| 13,14-Didehydroxyisoxanthochymol (2) | 0.75 ± 0.03 * | 24 ± 4 * |
| Sampsonione B (3) | 0.12 ± 0.03 * | 88 ± 4 * |
| Garcinol (4) | 1.23 ± 0.21 | |
| 3-Hydroxy-5-methoxybiphenyl (5) | 0.85 ± 0.06 | 14 ± 3 |
| 1,24-Tetracosanediol diferulate (6) | 0.96 ± 0.08 | 3 ± 10 |
| Friedelan-3-one (7) | 1.04 ± 0.20 | |
| LPS-treated vehicle control b | 0.94 ± 0.09 | 5 ± 9 |
| Andrographolide c | 0.31± 0.05 * | 70 ± 5 * |
© 2018 by the authors. Licensee MDPI, Basel, Switzerland. This article is an open access article distributed under the terms and conditions of the Creative Commons Attribution (CC BY) license (http://creativecommons.org/licenses/by/4.0/).
Share and Cite
Cheng, L.-Y.; Tsai, Y.-C.; Fu, S.-L.; Cheng, M.-J.; Sung, P.-J.; Chung, M.-I.; Chen, J.-J. Acylphloroglucinol Derivatives from Garcinia multiflora with Anti-Inflammatory Effect in LPS-Induced RAW264.7 Macrophages. Molecules 2018, 23, 2587. https://doi.org/10.3390/molecules23102587
Cheng L-Y, Tsai Y-C, Fu S-L, Cheng M-J, Sung P-J, Chung M-I, Chen J-J. Acylphloroglucinol Derivatives from Garcinia multiflora with Anti-Inflammatory Effect in LPS-Induced RAW264.7 Macrophages. Molecules. 2018; 23(10):2587. https://doi.org/10.3390/molecules23102587
Chicago/Turabian StyleCheng, Lin-Yang, Yun-Chen Tsai, Shu-Ling Fu, Ming-Jen Cheng, Ping-Jyun Sung, Mei-Ing Chung, and Jih-Jung Chen. 2018. "Acylphloroglucinol Derivatives from Garcinia multiflora with Anti-Inflammatory Effect in LPS-Induced RAW264.7 Macrophages" Molecules 23, no. 10: 2587. https://doi.org/10.3390/molecules23102587
APA StyleCheng, L.-Y., Tsai, Y.-C., Fu, S.-L., Cheng, M.-J., Sung, P.-J., Chung, M.-I., & Chen, J.-J. (2018). Acylphloroglucinol Derivatives from Garcinia multiflora with Anti-Inflammatory Effect in LPS-Induced RAW264.7 Macrophages. Molecules, 23(10), 2587. https://doi.org/10.3390/molecules23102587

