Recent Advances in the Development of Mammalian Geranylgeranyl Diphosphate Synthase Inhibitors
Abstract
:1. Introduction
2. Statins and Nitrogenous Bisphosphonates
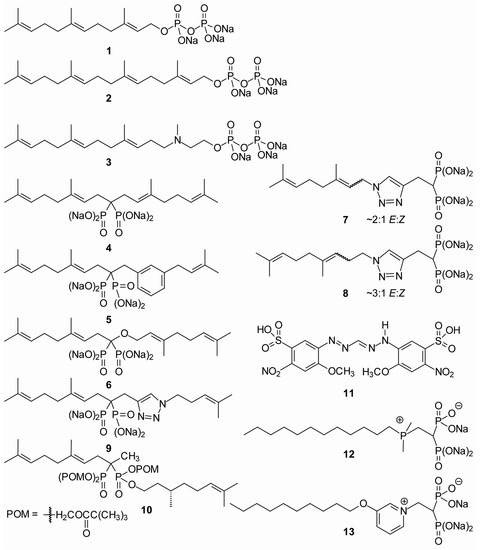
3. GGDPS Inhibitors
4. Cellular Effects of GGDPS Inhibition
5. In Vivo Studies Using GGDPS Inhibitors
6. GGDPS Expression
7. Conclusions
Acknowledgments
Author Contributions
Conflicts of Interest
References
- Guo, Z.; Wu, Y.W.; Das, D.; Delon, C.; Cramer, J.; Yu, S.; Thuns, S.; Lupilova, N.; Waldmann, H.; Brunsveld, L.; et al. Structures of RabGGTase-substrate/product complexes provide insights into the evolution of protein prenylation. EMBO J. 2008, 27, 2444–2456. [Google Scholar] [CrossRef] [PubMed]
- Gomes, A.Q.; Ali, B.R.; Ramalho, J.S.; Godfrey, R.F.; Barral, D.C.; Hume, A.N.; Seabra, M.C. Membrane targeting of Rab GTPases is influenced by the prenylation motif. Mol. Biol. Cell 2003, 14, 1882–1899. [Google Scholar] [CrossRef] [PubMed]
- Chao, Y.S.; Kroon, P.A.; Yamin, T.T.; Thompson, G.M.; Alberts, A.W. Regulation of hepatic receptor-dependent degradation of LDL by mevinolin in rabbits with hypercholesterolemia induced by a wheat starch-casein diet. Biochim. Biophys. Acta 1983, 754, 134–141. [Google Scholar] [CrossRef]
- Bilheimer, D.W.; Grundy, S.M.; Brown, M.S.; Goldstein, J.L. Mevinolin and colestipol stimulate receptor-mediated clearance of low density lipoprotein from plasma in familial hypercholesterolemia heterozygotes. Proc. Natl. Acad. Sci. USA 1983, 80, 4124–4128. [Google Scholar] [CrossRef] [PubMed]
- Zhou, Q.; Liao, J.K. Pleiotropic effects of statins.—Basic research and clinical perspectives. Circ. J. 2010, 74, 818–826. [Google Scholar] [CrossRef] [PubMed]
- Hindler, K.; Cleeland, C.S.; Rivera, E.; Collard, C.D. The role of statins in cancer therapy. Oncologist 2006, 11, 306–315. [Google Scholar] [CrossRef] [PubMed]
- Willey, J.Z.; Elkind, M.S. 3-Hydroxy-3-methylglutaryl-coenzyme A reductase inhibitors in the treatment of central nervous system diseases. Arch. Neurol. 2010, 67, 1062–1067. [Google Scholar] [CrossRef] [PubMed]
- Tang, Q.O.; Tran, G.T.; Gamie, Z.; Graham, S.; Tsialogiannis, E.; Tsiridis, E.; Linder, T.; Tsiridis, E. Statins: Under investigation for increasing bone mineral density and augmenting fracture healing. Expert Opin. Investig. Drugs 2008, 17, 1435–1463. [Google Scholar] [CrossRef] [PubMed]
- Zeki, A.A.; Kenyon, N.J.; Goldkorn, T. Statin drugs, metabolic pathways, and asthma: A therapeutic opportunity needing further research. Drug. Metab. Lett. 2011, 5, 40–44. [Google Scholar] [CrossRef] [PubMed]
- Krysiak, R.; Okopien, B.; Herman, Z. Effects of HMG-CoA reductase inhibitors on coagulation and fibrinolysis processes. Drugs 2003, 63, 1821–1854. [Google Scholar] [CrossRef] [PubMed]
- Mitsios, J.V.; Papathanasiou, A.I.; Goudevenos, J.A.; Tselepis, A.D. The antiplatelet and antithrombotic actions of statins. Curr. Pharm. Des. 2010, 16, 3808–3814. [Google Scholar] [CrossRef] [PubMed]
- Thurnher, M.; Nussbaumer, O.; Gruenbacher, G. Novel aspects of mevalonate pathway inhibitors as antitumor agents. Clin. Cancer Res. 2012, 18, 3524–3531. [Google Scholar] [CrossRef] [PubMed]
- Sinensky, M.; Beck, L.A.; Leonard, S.; Evans, R. Differential inhibitory effects of lovastatin on protein isoprenylation and sterol synthesis. J. Biol. Chem. 1990, 265, 19937–19941. [Google Scholar] [PubMed]
- Pan, H.Y.; DeVault, A.R.; Wang-Iverson, D.; Ivashkiv, E.; Swanson, B.N.; Sugerman, A.A. Comparative pharmacokinetics and pharmacodynamics of pravastatin and lovastatin. J. Clin. Pharmacol. 1990, 30, 1128–1135. [Google Scholar] [CrossRef] [PubMed]
- Thibault, A.; Samid, D.; Tompkins, A.C.; Figg, W.D.; Cooper, M.R.; Hohl, R.J.; Trepel, J.; Liang, B.; Patronas, N.; Venzon, D.J.; et al. Phase I study of lovastatin, an inhibitor of the mevalonate pathway, in patients with cancer. Clin. Cancer Res. 1996, 2, 483–491. [Google Scholar] [PubMed]
- Holstein, S.A.; Knapp, H.R.; Clamon, G.H.; Murry, D.J.; Hohl, R.J. Pharmacodynamic effects of high dose lovastatin in subjects with advanced malignancies. Cancer Chemother. Pharmacol. 2006, 57, 155–164. [Google Scholar] [CrossRef] [PubMed]
- Luckman, S.P.; Coxon, F.P.; Ebetino, F.H.; Russell, R.G.; Rogers, M.J. Heterocycle-containing bisphosphonates cause apoptosis and inhibit bone resorption by preventing protein prenylation: Evidence from structure-activity relationships in J774 macrophages. J. Bone Miner. Res. 1998, 13, 1668–1678. [Google Scholar] [CrossRef] [PubMed]
- Luckman, S.P.; Hughes, D.E.; Coxon, F.P.; Graham, R.; Russell, G.; Rogers, M.J. Nitrogen-containing bisphosphonates inhibit the mevalonate pathway and prevent post-translational prenylation of GTP-binding proteins, including Ras. J. Bone Miner. Res. 1998, 13, 581–589. [Google Scholar] [CrossRef] [PubMed]
- van Beek, E.; Pieterman, E.; Cohen, L.; Lowik, C.; Papapoulos, S. Farnesyl pyrophosphate synthase is the molecular target of nitrogen-containing bisphosphonates. Biochem. Biophys. Res. Commun. 1999, 264, 108–111. [Google Scholar] [CrossRef] [PubMed]
- Bergstrom, J.D.; Bostedor, R.G.; Masarachia, P.J.; Reszka, A.A.; Rodan, G. Alendronate is a specific, nanomolar inhibitor of farnesyl diphosphate synthase. Arch. Biochem. Biophys. 2000, 373, 231–241. [Google Scholar] [CrossRef] [PubMed]
- Van Acker, H.H.; Anguille, S.; Willemen, Y.; Smits, E.L.; Van Tendeloo, V.F. Bisphosphonates for cancer treatment: Mechanisms of action and lessons from clinical trials. Pharmacol. Ther. 2016, 158, 24–40. [Google Scholar] [CrossRef] [PubMed]
- Lin, J.H. Bisphosphonates: A review of their pharmacokinetic properties. Bone 1996, 18, 75–85. [Google Scholar] [CrossRef]
- Cremers, S.C.; Pillai, G.; Papapoulos, S.E. Pharmacokinetics/pharmacodynamics of bisphosphonates: Use for optimisation of intermittent therapy for osteoporosis. Clin. Pharmacokinet. 2005, 44, 551–570. [Google Scholar] [CrossRef] [PubMed]
- Dunford, J.E.; Thompson, K.; Coxon, F.P.; Luckman, S.P.; Hahn, F.M.; Poulter, C.D.; Ebetino, F.H.; Rogers, M.J. Structure-activity relationships for inhibition of farnesyl diphosphate synthase in vitro and inhibition of bone resorption in vivo by nitrogen-containing bisphosphonates. J. Pharmacol. Exp. Ther. 2001, 296, 235–242. [Google Scholar] [PubMed]
- Foroni, C.; Milan, M.; Strina, C.; Cappelletti, M.; Fumarola, C.; Bonelli, M.; Bertoni, R.; Ferrero, G.; Maldotti, M.; Takano, E.; et al. Pure anti-tumor effect of zoledronic acid in naive bone-only metastatic and locally advanced breast cancer: Proof from the “biological window therapy”. Breast Cancer Res. Treat. 2014, 144, 113–121. [Google Scholar] [CrossRef] [PubMed]
- Morgan, G.J.; Davies, F.E.; Gregory, W.M.; Cocks, K.; Bell, S.E.; Szubert, A.J.; Navarro-Coy, N.; Drayson, M.T.; Owen, R.G.; Feyler, S.; et al. First-line treatment with zoledronic acid as compared with clodronic acid in multiple myeloma (MRC Myeloma IX): A randomised controlled trial. Lancet 2010, 376, 1989–1999. [Google Scholar] [CrossRef]
- Sagami, H.; Korenaga, T.; Ogura, K.; Steiger, A.; Pyun, H.J.; Coates, R.M. Studies on geranylgeranyl diphosphate synthase from rat liver: Specific inhibition by 3-azageranylgeranyl diphosphate. Arch. Biochem. Biophys. 1992, 297, 314–320. [Google Scholar] [CrossRef]
- Kuzuguchi, T.; Morita, Y.; Sagami, I.; Sagami, H.; Ogura, K. Human geranylgeranyl diphosphate synthase. cDNA cloning and expression. J. Biol. Chem. 1999, 274, 5888–5894. [Google Scholar] [CrossRef] [PubMed]
- Szabo, C.M.; Matsumura, Y.; Fukura, S.; Martin, M.B.; Sanders, J.M.; Sengupta, S.; Cieslak, J.A.; Loftus, T.C.; Lea, C.R.; Lee, H.J.; et al. Inhibition of geranylgeranyl diphosphate synthase by bisphosphonates and diphosphates: A potential route to new bone antiresorption and antiparasitic agents. J. Med. Chem. 2002, 45, 2185–2196. [Google Scholar] [CrossRef] [PubMed]
- Shull, L.W.; Wiemer, A.J.; Hohl, R.J.; Wiemer, D.F. Synthesis and biological activity of isoprenoid bisphosphonates. Bioorg. Med. Chem. 2006, 14, 4130–4136. [Google Scholar] [CrossRef] [PubMed]
- Wiemer, A.J.; Tong, H.; Swanson, K.M.; Hohl, R.J. Digeranyl bisphosphonate inhibits geranylgeranyl pyrophosphate synthase. Biochem. Biophys. Res. Commun. 2007, 353, 921–925. [Google Scholar] [CrossRef] [PubMed]
- K. M. Chen, C.; Hudock, M.P.; Zhang, Y.; Guo, R.T.; Cao, R.; No, J.H.; Liang, P.H.; Ko, T.P.; Chang, T.H.; Chang, S.C.; et al. Inhibition of geranylgeranyl diphosphate synthase by bisphosphonates: A crystallographic and computational investigation. J. Med. Chem. 2008, 51, 5594–5607. [Google Scholar]
- Wiemer, A.J.; Yu, J.S.; Lamb, K.M.; Hohl, R.J.; Wiemer, D.F. Mono- and dialkyl isoprenoid bisphosphonates as geranylgeranyl diphosphate synthase inhibitors. Bioorg. Med. Chem. 2008, 16, 390–399. [Google Scholar] [CrossRef]
- Barney, R.J.; Wasko, B.M.; Dudakovic, A.; Hohl, R.J.; Wiemer, D.F. Synthesis and biological evaluation of a series of aromatic bisphosphonates. Bioorg. Med. Chem. 2010, 18, 7212–7220. [Google Scholar] [CrossRef] [PubMed]
- Zhou, X.; Reilly, J.E.; Loerch, K.A.; Hohl, R.J.; Wiemer, D.F. Synthesis of isoprenoid bisphosphonate ethers through C-P bond formations: Potential inhibitors of geranylgeranyl diphosphate synthase. Beilstein J. Org. Chem. 2014, 10, 1645–1650. [Google Scholar] [CrossRef] [PubMed]
- Wills, V.S.; Allen, C.; Born, E.J.; Zhou, X.; Wiemer, D.F.; Holstein, S.A. A Novel Class of Geranylgeranyl Diphosphate Synthase Inhibitors: Structure-Activity Relationships of Homoisoprenoid Triazoles in Myeloma Cells. Blood 2014, 124, 2156. [Google Scholar]
- Wills, V.S.; Allen, C.; Holstein, S.A.; Wiemer, D.F. Potent Triazole Bisphosphonate Inhibitor of Geranylgeranyl Diphosphate Synthase. ACS Med. Chem. Lett. 2015, 6, 1195–1198. [Google Scholar] [CrossRef]
- Wills, V.S.; Metzger, J.I.; Allen, C.; Varney, M.L.; Wiemer, D.F.; Holstein, S.A. Bishomoisoprenoid triazole bisphosphonates as inhibitors of geranylgeranyl diphosphate synthase. Bioorg. Med. Chem. 2017, 25, 2437–2444. [Google Scholar] [CrossRef] [PubMed]
- Zhou, X.; Ferree, S.D.; Wills, V.S.; Born, E.J.; Tong, H.; Wiemer, D.F.; Holstein, S.A. Geranyl and neryl triazole bisphosphonates as inhibitors of geranylgeranyl diphosphate synthase. Bioorg. Med. Chem. 2014, 22, 2791–2798. [Google Scholar] [CrossRef] [PubMed]
- Allen, C.; Kortagere, S.; Tong, H.; Matthiesen, R.A.; Metzger, J.I.; Wiemer, D.F.; Holstein, S.A. Olefin Isomers of a Triazole Bisphosphonate Synergistically Inhibit Geranylgeranyl Diphosphate Synthase. Mol. Pharmacol. 2017, 91, 229–236. [Google Scholar] [CrossRef] [PubMed]
- Wills, V.S.; Zhou, X.; Allen, C.; Holstein, S.A.; Wiemer, D.F. Stereocontrolled regeneration of olefins from epoxides. Tetrahedron. Lett. 2016, 57, 1335–1337. [Google Scholar] [CrossRef] [PubMed]
- Skarpos, H.; Osipov, S.N.; Vorob’eva, D.V.; Odinets, I.L.; Lork, E.; Roschenthaler, G.V. Synthesis of functionalized bisphosphonates via click chemistry. Org. Biomol. Chem. 2007, 5, 2361–2367. [Google Scholar] [CrossRef] [PubMed]
- Feldman, A.K.; Colasson, B.; Sharpless, K.B.; Fokin, V.V. The allylic azide rearrangement: Achieving selectivity. J. Am. Chem. Soc. 2005, 127, 13444–13445. [Google Scholar] [CrossRef] [PubMed]
- Zhou, X.; Hartman, S.V.; Born, E.J.; Smits, J.P.; Holstein, S.A.; Wiemer, D.F. Triazole-based inhibitors of geranylgeranyltransferase II. Bioorg. Med. Chem. Lett. 2013, 23, 764–766. [Google Scholar] [CrossRef] [PubMed]
- Matthiesen, R.A.; Wills, V.S.; Metzger, J.I.; Holstein, S.A.; Wiemer, D.F. Stereoselective Synthesis of Homoneryl and Homogeranyl Triazole Bisphosphonates. J. Org. Chem. 2016, 81, 9438–9442. [Google Scholar] [CrossRef] [PubMed]
- Kavanagh, K.L.; Dunford, J.E.; Bunkoczi, G.; Russell, R.G.; Oppermann, U. The crystal structure of human geranylgeranyl pyrophosphate synthase reveals a novel hexameric arrangement and inhibitory product binding. J. Biol. Chem. 2006, 281, 22004–22012. [Google Scholar] [CrossRef] [PubMed]
- Wiemer, A.J.; Wiemer, D.F. Prodrugs of phosphonates and phosphates: Crossing the membrane barrier. Top. Curr. Chem. 2015, 360, 115–160. [Google Scholar] [PubMed]
- Wiemer, A.J.; Yu, J.S.; Shull, L.W.; Barney, R.J.; Wasko, B.M.; Lamb, K.M.; Hohl, R.J.; Wiemer, D.F. Pivaloyloxymethyl-modified isoprenoid bisphosphonates display enhanced inhibition of cellular geranylgeranylation. Bioorg. Med. Chem. 2008, 16, 3652–3660. [Google Scholar] [CrossRef] [PubMed]
- Foust, B.J.; Allen, C.; Holstein, S.A.; Wiemer, D.F. A new motif for inhibitors of geranylgeranyl diphosphate synthase. Bioorg. Med. Chem. 2016, 24, 3734–3741. [Google Scholar] [CrossRef] [PubMed]
- Chen, S.H.; Lin, S.W.; Lin, S.R.; Liang, P.H.; Yang, J.M. Moiety-linkage map reveals selective nonbisphosphonate inhibitors of human geranylgeranyl diphosphate synthase. J. Chem. Inf. Model. 2013, 53, 2299–2311. [Google Scholar] [CrossRef] [PubMed]
- Zhang, Y.; Cao, R.; Yin, F.; Hudock, M.P.; Guo, R.T.; Krysiak, K.; Mukherjee, S.; Gao, Y.G.; Robinson, H.; Song, Y.; et al. Lipophilic bisphosphonates as dual farnesyl/geranylgeranyl diphosphate synthase inhibitors: An X-ray and NMR investigation. J. Am. Chem. Soc. 2009, 131, 5153–5162. [Google Scholar] [CrossRef] [PubMed]
- Holstein, S.A.; Hohl, R.J. Isoprenoid biosynthetic pathway inhibition disrupts monoclonal protein secretion and induces the unfolded protein response pathway in multiple myeloma cells. Leuk. Res. 2011, 35, 551–559. [Google Scholar] [CrossRef] [PubMed]
- Agabiti, S.S.; Liang, Y.; Wiemer, A.J. Molecular mechanisms linking geranylgeranyl diphosphate synthase to cell survival and proliferation. Mol. Membr. Biol. 2016, 33, 1–11. [Google Scholar] [CrossRef] [PubMed]
- Blanco-Colio, L.M.; Villa, A.; Ortego, M.; Hernandez-Presa, M.A.; Pascual, A.; Plaza, J.J.; Egido, J. 3-Hydroxy-3-methyl-glutaryl coenzyme A reductase inhibitors, atorvastatin and simvastatin, induce apoptosis of vascular smooth muscle cells by downregulation of Bcl-2 expression and Rho A prenylation. Atherosclerosis 2002, 161, 17–26. [Google Scholar] [CrossRef]
- Fromigue, O.; Hay, E.; Modrowski, D.; Bouvet, S.; Jacquel, A.; Auberger, P.; Marie, P.J. RhoA GTPase inactivation by statins induces osteosarcoma cell apoptosis by inhibiting p42/p44-MAPKs-Bcl-2 signaling independently of BMP-2 and cell differentiation. Cell Death Differ. 2006, 13, 1845–1856. [Google Scholar] [CrossRef] [PubMed]
- Tang, D.; Park, H.J.; Georgescu, S.P.; Sebti, S.M.; Hamilton, A.D.; Galper, J.B. Simvastatin potentiates tumor necrosis factor alpha-mediated apoptosis of human vascular endothelial cells via the inhibition of the geranylgeranylation of RhoA. Life Sci. 2006, 79, 1484–1492. [Google Scholar] [CrossRef] [PubMed]
- Hendrix, A.; Maynard, D.; Pauwels, P.; Braems, G.; Denys, H.; Van den Broecke, R.; Lambert, J.; Van Belle, S.; Cocquyt, V.; Gespach, C.; et al. Effect of the secretory small GTPase Rab27B on breast cancer growth, invasion, and metastasis. J. Natl. Cancer Inst. 2010, 102, 866–880. [Google Scholar] [CrossRef] [PubMed]
- Okamoto, S.; Jiang, Y.; Kawamura, K.; Shingyoji, M.; Tada, Y.; Sekine, I.; Takiguchi, Y.; Tatsumi, K.; Kobayashi, H.; Shimada, H.; et al. Zoledronic acid induces apoptosis and S-phase arrest in mesothelioma through inhibiting Rab family proteins and topoisomerase II actions. Cell Death Dis. 2014, 5, e1517. [Google Scholar] [CrossRef] [PubMed]
- Wasko, B.M.; Dudakovic, A.; Hohl, R.J. Bisphosphonates induce autophagy by depleting geranylgeranyl diphosphate. J. Pharmacol. Exp. Ther. 2011, 337, 540–546. [Google Scholar] [CrossRef] [PubMed]
- Dykstra, K.M.; Allen, C.; Born, E.J.; Tong, H.; Holstein, S.A. Mechanisms for autophagy modulation by isoprenoid biosynthetic pathway inhibitors in multiple myeloma cells. Oncotarget 2015, 6, 41535–41549. [Google Scholar] [PubMed]
- Vishnuvardhan, D.; Beinfeld, M.C. Lovastatin is a potent inhibitor of cholecystokinin secretion in endocrine tumor cells in culture. Peptides 2000, 21, 553–557. [Google Scholar] [CrossRef]
- Moreau, A.S.; Jia, X.; Patterson, C.J.; Roccaro, A.M.; Xu, L.; Sacco, A.; O’Connor, K.; Soumerai, J.; Ngo, H.T.; Hatjiharissi, E.; et al. The HMG-CoA inhibitor, simvastatin, triggers in vitro anti-tumour effect and decreases IgM secretion in Waldenstrom macroglobulinaemia. Br. J. Haematol. 2008, 142, 775–785. [Google Scholar] [CrossRef] [PubMed]
- Obeng, E.A.; Carlson, L.M.; Gutman, D.M.; Harrington, W.J., Jr.; Lee, K.P.; Boise, L.H. Proteasome inhibitors induce a terminal unfolded protein response in multiple myeloma cells. Blood 2006, 107, 4907–4916. [Google Scholar] [CrossRef] [PubMed]
- Reilly, J.E.; Neighbors, J.D.; Tong, H.; Henry, M.D.; Hohl, R.J. Targeting geranylgeranylation reduces adrenal gland tumor burden in a murine model of prostate cancer metastasis. Clin. Exp. Metastasis 2015, 32, 555–566. [Google Scholar] [CrossRef] [PubMed]
- Reilly, J.E.; Neighbors, J.D.; Hohl, R.J. Targeting protein geranylgeranylation slows tumor development in a murine model of prostate cancer metastasis. Cancer Biol. Ther. 2016. [Google Scholar] [CrossRef] [PubMed]
- Osborn-Heaford, H.L.; Murthy, S.; Gu, L.; Larson-Casey, J.L.; Ryan, A.J.; Shi, L.; Glogauer, M.; Neighbors, J.D.; Hohl, R.; et al. Targeting the isoprenoid pathway to abrogate progression of pulmonary fibrosis. Free Radic. Biol. Med. 2015, 86, 47–56. [Google Scholar] [CrossRef] [PubMed]
- Yu, D.C.; Liu, J.; Chen, J.; Shao, J.J.; Shen, X.; Xia, H.G.; Li, C.J.; Xue, B.; Ding, Y.T. GGPPS1 predicts the biological character of hepatocellular carcinoma in patients with cirrhosis. BMC Cancer 2014, 14, 248. [Google Scholar] [CrossRef] [PubMed]
- Shen, N.; Gong, T.; Wang, J.D.; Meng, F.L.; Qiao, L.; Yang, R.L.; Xue, B.; Pan, F.Y.; Zhou, X.J.; Chen, H.Q.; et al. Cigarette smoke-induced pulmonary inflammatory responses are mediated by EGR-1/GGPPS/MAPK signaling. Am. J. Pathol. 2011, 178, 110–118. [Google Scholar] [CrossRef] [PubMed]
- Shen, N.; Shao, Y.; Lai, S.S.; Qiao, L.; Yang, R.L.; Xue, B.; Pan, F.Y.; Chen, H.Q.; Li, C.J. GGPPS, a new EGR-1 target gene, reactivates ERK 1/2 signaling through increasing Ras prenylation. Am. J. Pathol. 2011, 179, 2740–2750. [Google Scholar] [CrossRef] [PubMed]
- Shen, N.; Yu, X.; Pan, F.Y.; Gao, X.; Xue, B.; Li, C.J. An early response transcription factor, Egr-1, enhances insulin resistance in type 2 diabetes with chronic hyperinsulinism. J. Biol. Chem. 2011, 286, 14508–14515. [Google Scholar] [CrossRef] [PubMed]





| Alkyl Group | GGDPS IC50 (μM) | FDPS IC50 (μM) | Cell Activity (μM) |
|---|---|---|---|
| prenyl [36] | 38 | >100 | none |
| homoprenyl [37] | 0.43 | 6.6 | ≥1 |
| bishomoprenyl [38] | 3.6 | >100 | ≥5 |
| geranyl/neryl (2:1) (7) [39] | 2.2 | 84 | ≥10 |
| geranyl (32) [39] | 17 | 57 | ≥10 |
| neryl (33) [39] | 0.38 | 79 | ≥1 |
| geranyl epoxide [39] | 23 | 33 | none |
| neryl epoxide [39] | 17 | 47 | none |
| homogeranyl/homoneryl (3:1) (8) [37] | 0.045 | 28 | ≥0.03 |
| homogeranyl [40] | 0.17 | 8.2 | ≥0.09 |
| homoneryl [40] | 0.075 | 5.6 | ≥0.03 |
| bishomogeranyl [38] | 2.6 | 33 | ≥5 |
| bishomoneryl [38] | 1.3 | 30 | ≥0.5 |
| farnesyl [41] | 40 | 58 | none |
| homofarnesyl [36] | 0.82 | 43 | ≥1 |
| geranylgeranyl [41] | 120 | 100 | none |
| homogeranylgeranyl [36] | 56 | 63 | ≥100 |
© 2017 by the authors. Licensee MDPI, Basel, Switzerland. This article is an open access article distributed under the terms and conditions of the Creative Commons Attribution (CC BY) license (http://creativecommons.org/licenses/by/4.0/).
Share and Cite
Haney, S.L.; Wills, V.S.; Wiemer, D.F.; Holstein, S.A. Recent Advances in the Development of Mammalian Geranylgeranyl Diphosphate Synthase Inhibitors. Molecules 2017, 22, 886. https://doi.org/10.3390/molecules22060886
Haney SL, Wills VS, Wiemer DF, Holstein SA. Recent Advances in the Development of Mammalian Geranylgeranyl Diphosphate Synthase Inhibitors. Molecules. 2017; 22(6):886. https://doi.org/10.3390/molecules22060886
Chicago/Turabian StyleHaney, Staci L., Veronica S. Wills, David F. Wiemer, and Sarah A. Holstein. 2017. "Recent Advances in the Development of Mammalian Geranylgeranyl Diphosphate Synthase Inhibitors" Molecules 22, no. 6: 886. https://doi.org/10.3390/molecules22060886
APA StyleHaney, S. L., Wills, V. S., Wiemer, D. F., & Holstein, S. A. (2017). Recent Advances in the Development of Mammalian Geranylgeranyl Diphosphate Synthase Inhibitors. Molecules, 22(6), 886. https://doi.org/10.3390/molecules22060886

