The Impact of Halloysite on the Thermo-Mechanical Properties of Polymer Composites
Abstract
:1. Introduction
2. Structure of HNTs
3. Advantages of Halloysite Nanotubes
4. Applications of Halloysite Nanotubes
5. Halloysite-Polymer Nanocomposites
6. Microstructure, Mechanical and Thermal Properties of Halloysite Nanotubes
6.1. Microstructure
6.1.1. Halloysite Nanotube and Polylactide-Based Nanocomposites
6.1.2. Halloysite Nanotube and Poly(Butylene Succinate) Based Nanocomposites
6.2. Fourier Transform Infrared Spectroscopy
6.3. Mechanical Properties
6.3.1. Halloysite Nanotube and Polypropylene-Based Nanocomposites
6.3.2. Halloysite Nanotube and Epoxy-Based Nanocomposites
6.4. Thermal Properties
6.4.1. Halloysite Nanotube and Polypropylene-Based Nanocomposites
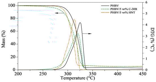
6.4.2. HNTs and Poly(hydroxybutyrate-co-hydroxyvalerate)-Based Nanocomposites
7. Technological Processes for Fabrication of HNTs-Polymer Nanocomposites and the Enhanced Properties
8. Conclusions
Acknowledgments
Conflicts of Interest
Nomenclature
| TGA | Thermogravimetric Analysis |
| DSC | Differential Scanning Calorimeter |
| DMA | Dynamic Mechanical Analysis |
| TEM | Transmission Electron Microscope |
| SEM | Scanning Electron Microscope |
| FTIR | Fourier Transform Infrared Spectroscopy |
| PP | Polypropylene |
| xSBR | Carboxylated Butadiene-Styrene Rubber |
| PA6 | Polyamide 6 |
| EPDM | Ethylene Propylene Diene Monomer |
| PS | Polystyrene |
| PSt | Potato Starch |
| EP | Epoxy |
| PA12 | Polyamide 12 |
| PHBV | Poly(hydroxybutyrate-co-hydroxyvalerate) |
| PBS | Poly(Butylene Succinate) |
| PVA | Polyvinyl Alcohol |
| Tp | Peak temperature |
| Tm | Melting temperature |
| Tc | Crystallization temperature |
| Tg | Glass transition temperature |
| σb | Tensile strength |
| E | Young modulus |
| E' | Storage modulus |
| G' | Storage modulus |
| η* | Viscosity |
| HDTMA | Hexadecyltrimethylammonium bromide |
| HEDA | Hexadecyl-tri-methyl-ammonium-bromide |
| DBMI | 4,4′-diphenylmethylene dimaleinimide |
| M100 | Modulus at 100% elongation |
| TS | Tensile strength |
| EB | Elongation at break |
| E′ | Storage modulus |
| tan δ | Loss tangent |
| XC | Crystallinity |
References
- Gaaz, T.S.; Sulong, A.B.; Kadhum, A.A.H. Effect of HNTs addition in the injection moulded thermoplastic polyurethane matrix on the mechanical and thermal properties. Sains Malays. 2016, 45, 1235–1242. [Google Scholar]
- Gaaz, T.S.; Sulong, A.B.; Kadhum, A.A.H.; Ba-Abbad, M.; Al-Amiery, A.A. Enhancement of physical and chemical properties of halloysite nanotubes using sulfuric acid. Wulfenia 2015, 22, 264–284. [Google Scholar]
- Gaaz, T.S.; Sulong, A.B.; Kadhum, A.A.H.; Nassir, M.H.; Al-Amiery, A.A. Optimizing physio-mechanical properties of halloysite reinforced polyurethane nanocomposites by Taguchi approach. Sci. Adv. Mater. 2017, 9, 949–961. [Google Scholar] [CrossRef]
- Sulong, A.B.; Gaaz, T.S.; Sahari, J. Mechanical and physical properties of injection molded halloysite nanotubes-thermoplastic polyurethane nanocomposites. Proced.-Soc. Behav. Sci. 2015, 195, 2748–2752. [Google Scholar] [CrossRef]
- Gaaz, T.S.; Sulong, A.B.; Akhtar, M.N.; Raza, M.R. Morphology and tensile properties of thermoplastic polyurethane-halloysite nanotube nanocomposites. Int. J. Automot. Mech. Eng. 2015, 12, 2845. [Google Scholar]
- Gaaz, T.S.; Sulong, A.B.; Kadhum, A.A.H.; Nassir, M.H.; Al-Amiery, A.A. Impact of sulfuric acid treatment of halloysite on physico-chemic property modification. Materials 2016, 9, 620. [Google Scholar] [CrossRef]
- Gaaz, T.S.; Sulong, A.B.; Akhtar, M.N.; Kadhum, A.A.H.; Mohamad, A.B.; Al-Amiery, A.A. Properties and applications of polyvinyl alcohol, halloysite nanotubes and their nanocomposites. Molecules 2015, 20, 22833–22847. [Google Scholar] [CrossRef] [PubMed]
- Rooj, S.; Das, A.; Heinrich, G. Tube-like natural halloysite/fluoroelastomer nanocomposites with simultaneous enhanced mechanical, dynamic mechanical and thermal properties. Eur. Polym. J. 2011, 47, 1746–1755. [Google Scholar] [CrossRef]
- Du, M.; Guo, B.; Jia, D. Thermal stability and flame retardant effects of halloysite nanotubes on poly(propylene). Eur. Polym. J. 2006, 42, 1362–1369. [Google Scholar] [CrossRef]
- Gaaz, T.S.; Sulong, A.B.; Ansari, M.N.M.; Kadhum, A.A.H.; Al-Amiery, A.A.; Al-Furjan, M.S.H. Effect of halloysite nanotubes loading on thermo-mechanical and morphological properties of polyurethane nanocomposites. Mater. Technol. 2017, 32, 430–442. [Google Scholar] [CrossRef]
- Gaaz, T.S.; Sulong, A.B.; Kadhum, A.A.H.; Nassir, M.H.; Al-Amiery, A.A. Optimizing injection molding parameters of different halloysites type-reinforced thermoplastic polyurethane nanocomposites via Taguchi complemented with ANOVA. Materials 2016, 9, 947. [Google Scholar] [CrossRef]
- Wang, J.H.; Zhang, X.G.; Zhang, B.; Zhao, Y.F.; Zhai, R.; Liu, J.D.; Chen, R.F. Rapid adsorption of Cr (VI) on modified halloysite nanotubes. Desalination 2010, 259, 22–28. [Google Scholar]
- Du, M.; Guo, B.; Lei, Y.; Liu, M.; Jia, D. Carboxylated butadiene-styrene rubber/halloysite nanotube nanocomposites: Interfacial interaction and performance. Polymer 2008, 49, 4871–4876. [Google Scholar] [CrossRef]
- Gaaz, T.S.; Sulong, A.B.; Kadhum, A.A.H.; Nassir, M.H.; Al-Amiery, A.A. Surface improvement of halloysite nanotubes. Appl. Sci. 2017, 7, 291. [Google Scholar] [CrossRef]
- Liu, M.; Guo, B.; Du, M.; Chen, F.; Jia, D. Halloysite nanotubes as a novel β-nucleating agent for isotactic polypropylene. Polymer 2009, 50, 3022–3030. [Google Scholar] [CrossRef]
- Mei, D.; Zhang, B.; Liu, R.; Zhang, Y.; Liu, J. Preparation of capric acid/halloysite nanotube composite as form-stable phase change material for thermal energy storage. Sol. Energy Mater. Sol. Cells 2011, 95, 2772–2777. [Google Scholar] [CrossRef]
- Marney, D.C.O.; Russell, L.J.; Wu, D.Y.; Nguyen, T.; Cramm, D.; Rigopoulos, N.; Wright, N.; Greaves, M. The suitability of halloysite nanotubes as a fire retardant for nylon 6. Polym. Degrad. Stab. 2008, 93, 1971–1978. [Google Scholar] [CrossRef]
- Tierrablanca, E.; Romero-García, J.; Roman, P.; Cruz-Silva, R. Biomimetic polymerization of aniline using hematin supported on halloysite nanotubes. Appl. Catal. A Gen. 2010, 381, 267–273. [Google Scholar] [CrossRef]
- Guo, B.; Zou, Q.; Lei, Y.; Du, M.; Liu, M.; Jia, D. Crystallization behavior of polyamide 6/halloysite nanotubes nanocomposites. Thermochim. Acta 2009, 484, 48–56. [Google Scholar] [CrossRef]
- Pasbakhsh, P.; Ismail, H.; Fauzi, M.N.A.; Bakar, A.A. Influence of maleic anhydride grafted ethylene propylene diene monomer (MAH-g-EPDM) on the properties of EPDM nanocomposites reinforced by halloysite nanotubes. Polym. Test. 2009, 28, 548–559. [Google Scholar] [CrossRef]
- Ismail, H.; Pasbakhsh, P.; Fauzi, M.A.; Bakar, A.A. Morphological, thermal and tensile properties of halloysite nanotubes filled ethylene propylene diene monomer (EPDM) nanocomposites. Polym. Test. 2008, 27, 841–850. [Google Scholar] [CrossRef]
- Ning, N.Y.; Yin, Q.J.; Luo, F.; Zhang, Q.; Du, R.; Fu, Q. Crystallization behavior and mechanical properties of polypropylene/halloysite composites. Polymer 2007, 48, 7374–7384. [Google Scholar] [CrossRef]
- Lecouvet, B.; Sclavons, M.; Bourbigot, S.; Devaux, J.; Bailly, C. Water-assisted extrusion as a novel processing route to prepare polypropylene/halloysite nanotube nanocomposites: Structure and properties. Polymer 2011, 52, 4284–4295. [Google Scholar] [CrossRef]
- Barrientos-Ramírez, S.; de Oca-Ramírez, G.M.; Ramos-Fernández, E.V.; Sepúlveda-Escribano, A.; Pastor-Blas, M.M.; González-Montiel, A. Surface modification of natural halloysite clay nanotubes with aminosilanes. Application as catalyst supports in the atom transfer radical polymerization of methyl methacrylate. Appl. Catal. A Gen. 2011, 406, 22–33. [Google Scholar] [CrossRef]
- Liu, L.; Wan, Y.; Xie, Y.; Zhai, R.; Zhang, B.; Liu, J. The removal of dye from aqueous solution using alginate-halloysite nanotube beads. Chem. Eng. J. 2012, 187, 210–216. [Google Scholar] [CrossRef]
- Handge, U.A.; Hedicke-Höchstötter, K.; Altstädt, V. Composites of polyamide 6 and silicate nanotubes of the mineral halloysite: Influence of molecular weight on thermal, mechanical and rheological properties. Polymer 2010, 51, 2690–2699. [Google Scholar] [CrossRef]
- Zhao, M.; Liu, P. Adsorption behavior of methylene blue on halloysite nanotubes. Microporous Mesoporous Mater. 2008, 112, 419–424. [Google Scholar] [CrossRef]
- Luo, P.; Zhao, Y.; Zhang, B.; Liu, J.; Yang, Y.; Liu, J. Study on the adsorption of Neutral Red from aqueous solution onto halloysite nanotubes. Water Res. 2010, 44, 1489–1497. [Google Scholar] [CrossRef] [PubMed]
- Xie, Y.; Qian, D.; Wu, D.; Ma, X. Magnetic halloysite nanotubes/iron oxide composites for the adsorption of dyes. Chem. Eng. J. 2011, 168, 959–963. [Google Scholar] [CrossRef]
- Liu, R.; Zhang, B.; Mei, D.; Zhang, H.; Liu, J. Adsorption of methyl violet from aqueous solution by halloysite nanotubes. Desalination 2011, 268, 111–116. [Google Scholar] [CrossRef]
- Rooj, S.; Das, A.; Thakur, V.; Mahaling, R.N.; Bhowmick, A.K.; Heinrich, G. Preparation and properties of natural nanocomposites based on natural rubber and naturally occurring halloysite nanotubes. Mater. Des. 2010, 31, 2151–2156. [Google Scholar] [CrossRef]
- Hashemifard, S.A.; Ismail, A.F.; Matsuura, T. Mixed matrix membrane incorporated with large pore size halloysite nanotubes (HNTs) as filler for gas separation: Morphological diagram. Chem. Eng. J. 2011, 172, 581–590. [Google Scholar] [CrossRef]
- Lin, Y.; Ng, K.M.; Chan, C.M.; Sun, G.; Wu, J. High-impact polystyrene/halloysite nanocomposites prepared by emulsion polymerization using sodium dodecyl sulfate as surfactant. J. Colloid Interface Sci. 2011, 358, 423–429. [Google Scholar] [CrossRef] [PubMed]
- Tang, Y.; Deng, S.; Ye, L.; Yang, C.; Yuan, Q.; Zhang, J.; Zhao, C. Effects of unfolded and intercalated halloysites on mechanical properties of halloysite-epoxy nanocomposites. Compos. Part A Appl. Sci. Manuf. 2011, 42, 345–354. [Google Scholar] [CrossRef]
- Zhang, Y.; Fu, L.; Yang, H. Insights into the physicochemical aspects from natural halloysite to silica nanotubes. Colloids Surf. A Physicochem. Eng. Asp. 2012, 414, 115–119. [Google Scholar] [CrossRef]
- Duan, J.; Liu, R.; Chen, T.; Zhang, B.; Liu, J. Halloysite nanotube-Fe3O4 composite for removal of methyl violet from aqueous solutions. Desalination 2012, 293, 46–52. [Google Scholar] [CrossRef]
- Xing, W.; Ni, L.; Huo, P.; Lu, Z.; Liu, X.; Luo, Y.; Yan, Y. Preparation high photocatalytic activity of CdS/halloysite nanotubes (HNTs) nanocomposites with hydrothermal method. Appl. Surf. Sci. 2012, 259, 698–704. [Google Scholar] [CrossRef]
- Li, R.; He, Q.; Hu, Z.; Zhang, S.; Zhang, L.; Chang, X. Highly selective solid-phase extraction of trace Pd(II) by murexide functionalized halloysite nanotubes. Anal. Chim. Acta 2012, 713, 136–144. [Google Scholar] [CrossRef] [PubMed]
- Zhai, R.; Zhang, B.; Wan, Y.; Li, C.; Wang, J.; Liu, J. Chitosan-halloysite hybrid-nanotubes: Horseradish peroxidase immobilization and applications in phenol removal. Chem. Eng. J. 2013, 214, 304–309. [Google Scholar] [CrossRef]
- Chen, S.; Li, J.; Zhang, Y.; Zhang, D.; Zhu, J. Effect of preparation method on halloysite supported cobalt catalysts for Fischer-Tropsch synthesis. J. Nat. Gas Chem. 2012, 21, 426–430. [Google Scholar] [CrossRef]
- He, Y.; Kong, W.; Wang, W.; Liu, T.; Liu, Y.; Gong, Q.; Gao, J. Modified natural halloysite/potato starch composite films. Carbohydr. Polym. 2012, 87, 2706–2711. [Google Scholar] [CrossRef]
- Liu, M.; Zhang, Y.; Wu, C.; Xiong, S.; Zhou, C. Chitosan/halloysite nanotubes bionanocomposites: Structure, mechanical properties and biocompatibility. Int. J. Biol. Macromol. 2012, 51, 566–575. [Google Scholar] [CrossRef] [PubMed]
- Cavallaro, G.; Donato, D.I.; Lazzara, G.; Milioto, S. Films of halloysite nanotubes sandwiched between two layers of biopolymer: From the morphology to the dielectric, thermal, transparency, and wettability properties. J. Phys. Chem. C 2011, 115, 20491–20498. [Google Scholar] [CrossRef]
- Cavallaro, G.; De Lisi, R.; Lazzara, G.; Milioto, S. Polyethylene glycol/clay nanotubes composites. J. Therm. Anal. Calorim. 2013, 112, 383–389. [Google Scholar] [CrossRef]
- Biddeci, G.; Cavallaro, G.; Di Blasi, F.; Lazzara, G.; Massaro, M.; Milioto, S.; Parisi, F.; Riela, S.; Spinelli, G. Halloysite nanotubes loaded with peppermint essential oil as filler for functional biopolymer film. Carbohydr. Polym. 2016, 152, 548–557. [Google Scholar] [CrossRef] [PubMed]
- Lecouvet, B.; Bourbigot, S.; Sclavons, M.; Bailly, C. Kinetics of the thermal and thermo-oxidative degradation of polypropylene/halloysite nanocomposites. Polym. Degrad. Stab. 2012, 97, 1745–1754. [Google Scholar] [CrossRef]
- Tang, Y.; Ye, L.; Deng, S.; Yang, C.; Yuan, W. Influences of processing methods and chemical treatments on fracture toughness of halloysite–epoxy composites. Mater. Des. 2012, 42, 471–477. [Google Scholar] [CrossRef]
- Jiang, J.; Zhang, Y.; Cao, D.; Jiang, P. Controlled immobilization of methyltrioxorhenium (VII) based on SI-ATRP of 4-vinyl pyridine from halloysite nanotubes for epoxidation of soybean oil. Chem. Eng. J. 2013, 215, 222–226. [Google Scholar] [CrossRef]
- Prashantha, K.; Lacrampe, M.F.; Krawczak, P. Processing and characterization of halloysite nanotubes filled polypropylene nanocomposites based on a masterbatch route: Effect of halloysites treatment on structural and mechanical properties. Express Polym. Lett. 2011, 5, 295–307. [Google Scholar] [CrossRef]
- Cavallaro, G.; Lazzara, G.; Milioto, S. Dispersions of nanoclays of different shapes into aqueous and solid biopolymeric matrices. Extended physicochemical study. Langmuir 2010, 27, 1158–1167. [Google Scholar] [CrossRef] [PubMed]
- Kamble, R.; Ghag, M.; Gaikawad, S.; Panda, B.K. Halloysite nanotubes and applications: A review. J. Adv. Sci. Res. 2012, 3, 25–29. [Google Scholar]
- Lvov, Y.; Abdullayev, E. Functional polymer–clay nanotube composites with sustained release of chemical agents. Prog. Polym. Sci. 2013, 38, 1690–1719. [Google Scholar] [CrossRef]
- Albdiry, M.T.; Yousif, B.F. Role of silanized halloysite nanotubes on structural, mechanical properties and fracture toughness of thermoset nanocomposites. Mater. Des. 2014, 57, 279–288. [Google Scholar] [CrossRef]
- Ferrante, F.; Armata, N.; Lazzara, G. Modeling of the Halloysite Spiral Nanotube. J. Phys. Chem. C 2015, 119, 16700–16707. [Google Scholar] [CrossRef]
- Chang, P.R.; Xie, Y.; Wu, D.; Ma, X. Amylose wrapped halloysite nanotubes. Carbohydr. Polym. 2011, 84, 1426–1429. [Google Scholar] [CrossRef]
- Zhai, R.; Zhang, B.; Liu, L.; Xie, Y.; Zhang, H.; Liu, J. Immobilization of enzyme biocatalyst on natural halloysite nanotubes. Catal. Commun. 2010, 12, 259–263. [Google Scholar] [CrossRef]
- Chen, Y.; Zhang, Y.; Liu, J.; Zhang, H.; Wang, K. Preparation and antibacterial property of polyethersulfone ultrafiltration hybrid membrane containing halloysite nanotubes loaded with copper ions. Chem. Eng. J. 2012, 210, 298–308. [Google Scholar] [CrossRef]
- Zhang, L.; Wang, T.; Liu, P. Polyaniline-coated halloysite nanotubes via in-situ chemical polymerization. Appl. Surf. Sci. 2008, 255, 2091–2097. [Google Scholar] [CrossRef]
- Liu, M.; Guo, B.; Lei, Y.; Du, M.; Jia, D. Benzothiazole sulfide compatibilized polypropylene/halloysite nanotubes composites. Appl. Surf. Sci. 2009, 255, 4961–4969. [Google Scholar] [CrossRef]
- Hashemifard, S.A.; Ismail, A.F.; Matsuura, T. Mixed matrix membrane incorporated with large pore size halloysite nanotubes (HNT) as filler for gas separation: Experimental. J. Colloid Interface Sci. 2011, 359, 359–370. [Google Scholar] [CrossRef] [PubMed]
- Chen, Q.Z.; Liang, S.L.; Wang, J.; Simon, G.P. Manipulation of mechanical compliance of elastomeric PGS by incorporation of halloysite nanotubes for soft tissue engineering applications. J. Mech. Behav. Biomed. Mater. 2011, 4, 1805–1818. [Google Scholar] [CrossRef] [PubMed]
- Ye, Y.; Chen, H.; Wu, J.; Chan, C.M. Evaluation on the thermal and mechanical properties of HNT-toughened epoxy/carbon fibre composites. Compos. Part B Eng. 2011, 42, 2145–2150. [Google Scholar] [CrossRef]
- Lei, Y.; Tang, Z.; Zhu, L.; Guo, B.; Jia, D. Functional thiol ionic liquids as novel interfacial modifiers in SBR/HNTs composites. Polymer 2011, 52, 1337–1344. [Google Scholar] [CrossRef]
- Albdiry, M.T.; Yousif, B.F. Morphological structures and tribological performance of unsaturated polyester based untreated/silane-treated halloysite nanotubes. Mater. Des. 2013, 48, 68–76. [Google Scholar] [CrossRef]
- Deen, I.; Pang, X.; Zhitomirsky, I. Electrophoretic deposition of composite chitosan-halloysite nanotube-hydroxyapatite films. Colloids Surf. A Physicochem. Eng. Asp. 2012, 410, 38–44. [Google Scholar] [CrossRef]
- Chen, Q.; Zhao, Y.; Wu, W.; Xu, T.; Fong, H. Fabrication and evaluation of Bis-GMA/TEGDMA dental resins/composites containing halloysite nanotubes. Dent. Mater. 2012, 28, 1071–1079. [Google Scholar] [CrossRef] [PubMed]
- Rawtani, D.; Agrawal, Y.K. Multifarious applications of halloysite nanotubes: A review. Rev. Adv. Mater. Sci. 2012, 30, 282–295. [Google Scholar]
- Cavallaro, G.; Gianguzza, A.; Lazzara, G.; Milioto, S.; Piazzese, D. Alginate gel beads filled with halloysite nanotubes. Appl. Clay Sci. 2013, 72, 132–137. [Google Scholar] [CrossRef]
- Liu, M.; Jia, Z.; Liu, F.; Jia, D.; Guo, B. Tailoring the wettability of polypropylene surfaces with halloysite nanotubes. J. Colloid Interface Sci. 2010, 350, 186–193. [Google Scholar] [CrossRef] [PubMed]
- Lecouvet, B.; Gutierrez, J.G.; Sclavons, M.; Bailly, C. Structure-property relationships in polyamide 12/halloysite nanotube nanocomposites. Polym. Degrad. Stab. 2011, 96, 226–235. [Google Scholar] [CrossRef]
- De Silva, R.T.; Pasbakhsh, P.; Goh, K.L.; Chai, S.-P.; Ismail, H. Physico-chemical characterisation of chitosan/halloysite composite membranes. Polym. Test. 2013, 32, 265–271. [Google Scholar] [CrossRef]
- Ismail, A.F.; Hashemifard, S.A.; Matsuura, T. Facilitated transport effect of Ag+ ion exchanged halloysite nanotubes on the performance of polyetherimide mixed matrix membrane for gas separation. J. Membr. Sci. 2011, 379, 378–385. [Google Scholar] [CrossRef]
- Prashantha, K.; Schmitt, H.; Lacrampe, M.F.; Krawczak, P. Mechanical behaviour and essential work of fracture of halloysite nanotubes filled polyamide 6 nanocomposites. Compos. Sci. Technol. 2011, 71, 1859–1866. [Google Scholar] [CrossRef]
- Carli, L.N.; Crespo, J.S.; Mauler, R.S. PHBV nanocomposites based on organomodified montmorillonite and halloysite: The effect of clay type on the morphology and thermal and mechanical properties. Compos. Part A Appl. Sci. Manuf. 2011, 42, 1601–1608. [Google Scholar] [CrossRef]
- Cavallaro, G.; Lazzara, G.; Milioto, S.; Parisi, F. Halloysite nanotubes with fluorinated cavity: An innovative consolidant for paper treatment. Clay Miner. 2016, 51, 445–455. [Google Scholar] [CrossRef]
- Cavallaro, G.; Lazzara, G.; Massaro, M.; Milioto, S.; Noto, R.; Parisi, F.; Riela, S. Biocompatible poly(N-isopropylacrylamide)-halloysite nanotubes for thermoresponsive curcumin release. J. Phys. Chem. C 2015, 119, 8944–8951. [Google Scholar] [CrossRef]
- Massaro, M.; Amorati, R.; Cavallaro, G.; Guernelli, S.; Lazzara, G.; Milioto, S.; Noto, R.; Poma, P.; Riela, S. Direct chemical grafted curcumin on halloysite nanotubes as dual-responsive prodrug for pharmacological applications. Coll. Surf. B Biointerfaces 2016, 140, 505–513. [Google Scholar] [CrossRef] [PubMed]
- Massaro, M.; Riela, S.; Baiamonte, C.; Blanco, J.L.J.; Giordano, C.; Meo, P.L.; Milioto, S.; Noto, R.; Parisi, F.; Pizzolanti, G.; et al. Dual drug-loaded halloysite hybrid-based glycocluster for sustained release of hydrophobic molecules. RSC Adv. 2016, 6, 87935–87944. [Google Scholar] [CrossRef]
- Raquez, J.-M.; Habibi, Y.; Murariu, M.; Dubois, P. Polylactide (PLA)-based nanocomposites. Prog. Polym. Sci. 2013, 38, 1504–1542. [Google Scholar] [CrossRef]
- Wu, W.; Cao, X.; Luo, J.; He, G.; Zhang, Y. Poly(butylene succinate)/halloysite nanotube nanocomposites. Soc. Plast. Eng. 2014, 00524. [Google Scholar]
- Arcudi, F.; Cavallaro, G.; Lazzara, G.; Massaro, M.; Milioto, S.; Noto, R.; Riela, S. Selective functionalization of halloysite cavity by click reaction: Structured filler for enhancing mechanical properties of bionanocomposite films. J. Phys. Chem. C 2014, 118, 15095–15101. [Google Scholar] [CrossRef]
- Khunova, V. The effect of halloysite modification combined with in situ matrix modifications on the structure and properties of polypropylene/halloysite nanocomposites. Express Polym. Lett. 2013, 7, 471–479. [Google Scholar] [CrossRef]
- Wan, X.; Zhan, Y.; Zeng, G.; He, Y. Nitrile functionalized halloysite nanotubes/poly(arylene ether nitrile) nanocomposites: Interface control, characterization, and improved properties. Appl. Surf. Sci. 2017, 393, 1–10. [Google Scholar] [CrossRef]
- Deng, S.; Zhang, J.; Ye, L.; Wu, J. Toughening epoxies with halloysite nanotubes. Polymer 2008, 49, 5119–5127. [Google Scholar] [CrossRef]
- Wang, B.; Huang, H.-X. Effects of halloysite nanotube orientation on crystallization and thermal stability of polypropylene nanocomposites. Polym. Degrad. Stab. 2013, 98, 1601–1608. [Google Scholar] [CrossRef]
- Cavallaro, G.; Lazzara, G.; Milioto, S.; Parisi, F.; Sparacino, V. Thermal and dynamic mechanical properties of beeswax-halloysite nanocomposites for consolidating waterlogged archaeological woods. Polym. Degrad. Stab. 2015, 120, 220–225. [Google Scholar] [CrossRef]
- Massaro, M.; Riela, S.; Guernelli, S.; Parisi, F.; Lazzara, G.; Valgimigli, L.; Amorati, R. A synergic nanoantioxidant based on covalently modified halloysite–trolox nanotubes with intra-lumen loaded quercetin. J. Mater. Chem. B 2016, 4, 2229–2241. [Google Scholar] [CrossRef]
- Liu, P.; Zhao, M. Silver nanoparticle supported on halloysite nanotubes catalyzed reduction of 4-nitrophenol. Appl. Surf. Sci. 2009, 255, 3989–3993. [Google Scholar] [CrossRef]












| No. | Property | Advantageous Features | Applications |
|---|---|---|---|
| 1 | Natural, nontoxic | Maintaining uniformly controlled release rate combined with initial over dosage prevention | Controlled and sustained release medicine |
| 2 | Fine particle size and superb dispersion | Realizable regardless of their forms such as; powders, creams, gels, or lotions, finally sprays form | Providing natural protection environment within the internal cavity ‘lumens’ of the nanotubes for the active agent during inharmonious and harsh material processing |
| 3 | High cation exchange capacity | Regeneration ability and increased efficacy | - |
| 4 | High aspect ratio | Trigger-capable release mode with adjustable release rate | Inhibiter, controlled medicine delivery |
| 5 | High porosity | Capable of loading multiple active agents simultaneously | Multiple active agents loading |
| 6 | High surface area | Reduces the volume of costly active agents | Pharmaceutical Industries |
| 7 | Non-swelling | Superior loading rates to other carriers, Fast adsorption rate and high adsorption capacity | Drug delivery, mechanical property enhancer |
| 8 | Biocompatible EPA 4A listed material | Biocompatibility: HNT has no cytotoxic effects which makes it suitable in drug delivery system. Tunable release: Incorporation HNT in drug delivery system enable them to sustainably release bioactive agents for various duration ranging from ten hours to months | 1. Medical implants devices 2. Skin care products 3. Prolonged treatment drugs |
| 9 | Processability: Markedly impressive in comparison to other nanoclays | Easily dispersible: The surface of HNT is lightly loaded with hydroxyl groups that limit its capability of developing hydrogen bonding between particles ‘intra-particles’. This can help meet the full range of processing requirements by the appropriate industry. In contrast to the surface of platy clay that are heavily stacked with hydroxyls group | 1. Can be used for manufacturing of interior and exterior parts 2. Enables the production of larger and/or thinner finished parts |
| 10 | Compatibility: Polymers oriented | The surface interaction between nanoclays and the following polymers is; powerful and robust: Polar biopolymers: like; polyacrylates and polyelectrolytes. Medium polarity polymers: like polyvinylchloride. | Polymers with enhanced mechanical properties, thermal stability and fire retardant composites |
| 11 | Controllability of release (Sustainable) | The internal cavity of the HNT called ‘lumen’ has the capability to store molecules and controllably releasing them. HNT mechanical and chemical stability is considerably higher compared to other nanoparticles classified as conventional, like alumina and porous silica | 1. Smart materials (Polymeric composites with self-healing capability) 2. Regenerative medicine 3. Drug delivery system 4. Polymeric biocides materials (antimicrobial) |
| No. | Name of the Method | Method Outline to Obtain the Composites | Reaction/Notes/Results in Such Composites |
|---|---|---|---|
| 1 | In situ polymerization | Dispersing fine halloysite tubes in a monomer | Monomers interact with the halloysite surface and form a uniform suspension |
| 2 | Solution casting | 1. Halloysite dispersal in the polymer solution
2. Solvent evaporation | Sandwiched multilayer structures
Forming of halloysite-rich layers Polymer polarity-based results |
| 3 | Direct addition/extruder blending | 1. Addition of halloysite directly into the melted polymer
2. Blending either by (mechanical mixer and extruder) | Target: to obtain uniform distribution of the nanotubes in a polymer matrix |
| 4 | Deposition by layer | Layer-by-layer deposition in rotation of halloysite, polycations | Sequential substrate dipping in clay and polycation solutions was adopted to make the coating |
| Blend Composition | σb (MPa) | E (MPa) |
|---|---|---|
| Neat PP | 36.3 ± 0.4 | 1340 ± 45 |
| PP + 5 wt % untreated HNT | 36.5 ± 0.4 | 1440 ± 84 |
| PP + 5 wt % HNT modified HEDA | 36.5 ± 0.3 | 1547 ± 35 |
| PP + 5 wt % HNT modified silane | 36.2 ± 0.6 | 1495 ± 65 |
| PP + 5 wt % HNT modified urea | 36.5 ± 0.8 | 1449 ± 30 |
| Sample | Tm | Crystallinity (%) |
|---|---|---|
| Neat PP | 166.0 | 46.1 |
| PP + 5 wt % untreated HNT | 163.0 | 41.0 |
| PP + 5 wt % untreated HNT + 1 wt % DBMI | 164. 4 | 42.2 |
| PP + 5 wt % untreated HNT + 2 wt % DBMI | 159.9 | 40.3 |
| PP + 5 wt % untreated HNT + 3 wt % DBMI | 162.9 | 43.2 |
| PP + 5 wt % HNT modified HEDA | 162.7 | 43.5 |
| PP + 5 wt % HNT modified HEDA + 1 wt % DBMI | 159.7 | 37.3 |
| PP + 5 wt % HNT modified silane | 166.1 | 56.3 |
| PP + 5 wt % HNT modified silane + 1 wt % DBMI | 165.0 | 35.8 |
| PP + 5 wt % HNT modified urea | 170.0 | 22.3 |
| PP + 5 wt % HNT modified urea + 1 wt % DBMI | 170.0 | 25.5 |
| Reference | Matrix | HNTs (wt %) | Process | Results of Nanocomposites | ||
|---|---|---|---|---|---|---|
| HNTs’ Modification | Property | ±% | ||||
| [82] | PP | 5 | Injection molding (internal) | Untreated HNTs | Tm | −2 |
| HNTs modified DBMI | −1 | |||||
| HNTs modified HEDA | −2 | |||||
| HNTs modified Silane | +0.06 | |||||
| HNTs modified urea | +2 | |||||
| Untreated HNTs | XC | −11 | ||||
| HNTs modified DBMI | −6 | |||||
| HNTs modified HEDA | −6 | |||||
| HNTs modified Silane | +22 | |||||
| HNTs modified urea | −51 | |||||
| Untreated HNTs | Tensile strength | +1 | ||||
| HNTs modified HEDA | +1 | |||||
| HNTs modified Silane | −2 | |||||
| HNTs modified urea | +1 | |||||
| Untreated HNTs | Young′s modulus | +7 | ||||
| HNTs modified HEDA | +15 | |||||
| HNTs modified Silane | +12 | |||||
| HNTs modified urea | +8 | |||||
| [85] | PP | 0–8 | Injection molding (extruder) | TC | +6 | |
| DSC (cooling) | +5 | |||||
| DSC (melting) | +3 | |||||
| XC | +23 | |||||
| TGA (weight loss) | +1 | |||||
| [88] | PP | 1–10 phr | Injection molding (extruder) | Tensile strength | +23 | |
| [9] | PP | 0–30 phr | Injection molding (extruder) | TGA (weight loss) | +8 | |
| [20] | EPDM | 0–100 phr | Compound mold | M459 | Tensile strength | +809 |
| M63 | Elongation at break | +306 | ||||
| [21] | EPDM | 0–100 phr | Compound mold | Tensile strength | +874 | |
| Elongation at break | +306 | |||||
| [13] | xSBR | 0–30 phr | Compound mold (co-coagulated) | Tensile strength | +53 | |
| Elongation at break | −33 | |||||
| Shore hardness | +45 | |||||
| [33] | EP | 0–10 | Casting | Tg | +11 | |
| Tensile strength | −3 | |||||
| [84] | EP | 0–10 | Tg | −1 | ||
| Tensile strength | +8 | |||||
| [72] | PA6 | 0–6 | Injection molding (extruder) | DSC (cooling) | +14 | |
| TC | +13 | |||||
| XC | +22 | |||||
| Tg | +9 | |||||
| Tensile strength | +30 | |||||
| [19] | PA6 | 0–10 phr | Injection molding (extruder) | XC (Cooling at 40 °C/min) | +48 | |
| [59] | PA6 | 0–30 | Compound molding (extruder) | Tg | +2 | |
| TC | −1 | |||||
| XC | +8 | |||||
| [69] | PA12 | 0-10 | Compression molding | TGA (weight loss) | +2 | |
| [8] | PS | 0–5 | Injection molding | DSC | −7 | |
| TGA (weight loss) | +7 | |||||
| [57] | Starch | 0-8 | Injection molding (extruder) | M29 | Tensile strength | +29 |
| [31] | PSt | 0–9 | Casting | PEG | Tensile strength | +59 |
| [73] | PHBV | 0–5 | Injection molding (extruder) | XC | +11 | |
| TC | +2 | |||||
| Tensile strength | +3 | |||||
| Tm | +2 | |||||
| XC | +11 | |||||
| [79] | PBS | 0–7 | Tensile strength | +7 | ||
© 2017 by the authors. Licensee MDPI, Basel, Switzerland. This article is an open access article distributed under the terms and conditions of the Creative Commons Attribution (CC BY) license (http://creativecommons.org/licenses/by/4.0/).
Share and Cite
Gaaz, T.S.; Sulong, A.B.; Kadhum, A.A.H.; Al-Amiery, A.A.; Nassir, M.H.; Jaaz, A.H. The Impact of Halloysite on the Thermo-Mechanical Properties of Polymer Composites. Molecules 2017, 22, 838. https://doi.org/10.3390/molecules22050838
Gaaz TS, Sulong AB, Kadhum AAH, Al-Amiery AA, Nassir MH, Jaaz AH. The Impact of Halloysite on the Thermo-Mechanical Properties of Polymer Composites. Molecules. 2017; 22(5):838. https://doi.org/10.3390/molecules22050838
Chicago/Turabian StyleGaaz, Tayser Sumer, Abu Bakar Sulong, Abdul Amir H. Kadhum, Ahmed A. Al-Amiery, Mohamed H. Nassir, and Ahed Hameed Jaaz. 2017. "The Impact of Halloysite on the Thermo-Mechanical Properties of Polymer Composites" Molecules 22, no. 5: 838. https://doi.org/10.3390/molecules22050838
APA StyleGaaz, T. S., Sulong, A. B., Kadhum, A. A. H., Al-Amiery, A. A., Nassir, M. H., & Jaaz, A. H. (2017). The Impact of Halloysite on the Thermo-Mechanical Properties of Polymer Composites. Molecules, 22(5), 838. https://doi.org/10.3390/molecules22050838

