The Structure-Activity Relationship of Pterostilbene Against Candida albicans Biofilms
Abstract
:1. Introduction
2. Results
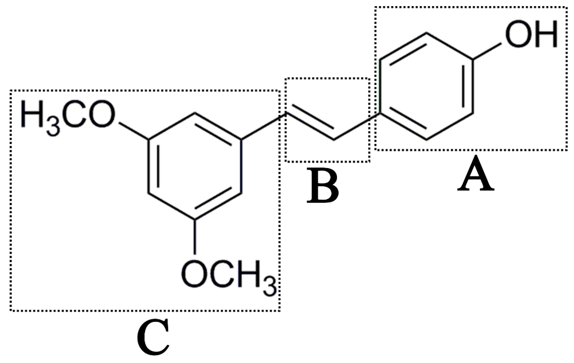
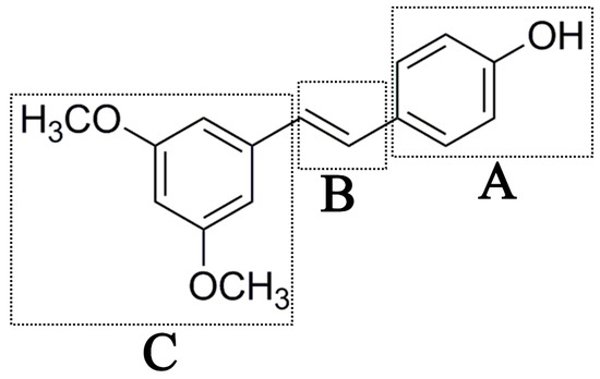
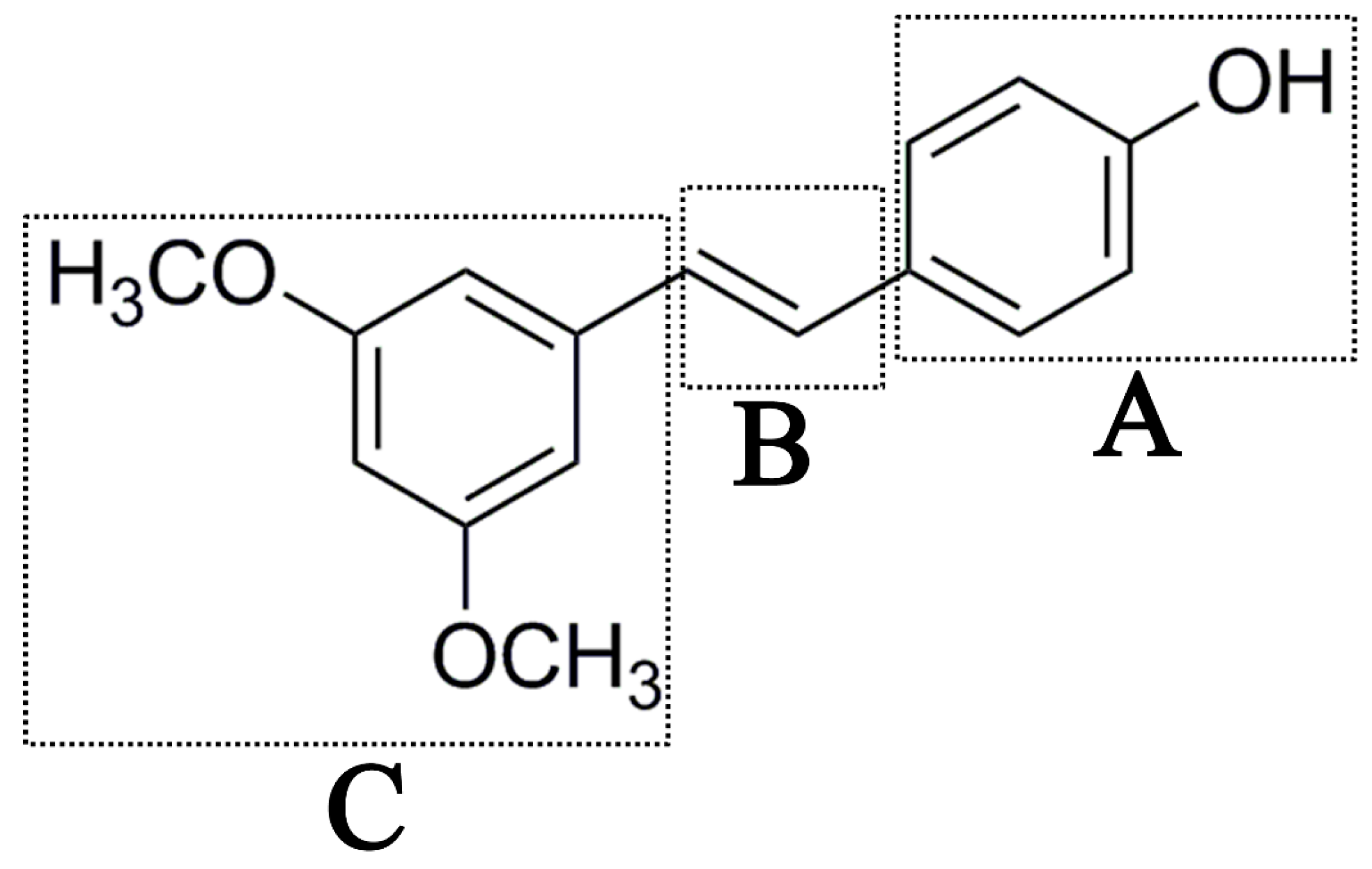
2.1. In the Para Position of Partition A, Hydroxy (–OH) Takes Advantages over Other Substituents
2.2. In Partition B, the Double Bond Contributes to the Best Activity
2.3. In Partition C, Meta-Dimethoxy (–OCH3) Contributes to the Best Activity
3. Discussion and Conclusion
4. Materials and Methods
4.1. Strains, Culture, and Agents
4.2. In vitro Biofilm Formation Assay
4.3. Hyphal Formation Assay
Supplementary Materials
Acknowledgments
Author Contributions
Conflicts of Interest
References
- Chandra, J.; Kuhn, D.M.; Mukherjee, P.K.; Hoyer, L.L.; McCormick, T.; Ghannoum, M.A. Biofilm formation by the fungal pathogen Candida albicans: Development, architecture, and drug resistance. J. Bacteriol. 2001, 183, 5385–5394. [Google Scholar] [CrossRef] [PubMed]
- Sherry, L.; Rajendran, R.; Lappin, D.F.; Borghi, E.; Perdoni, F.; Falleni, M.; Tosi, D.; Smith, K.; Williams, C.; Jones, B.; et al. Biofilms formed by Candida albicans bloodstream isolates display phenotypic and transcriptional heterogeneity that are associated with resistance and pathogenicity. BMC Microbiol. 2014, 14. [Google Scholar] [CrossRef] [PubMed]
- Weerasekera, M.M.; Wijesinghe, G.K.; Jayarathna, T.A.; Gunasekara, C.P.; Fernando, N.; Kottegoda, N.; Samaranayake, L.P. Culture media profoundly affect Candida albicans and candida tropicalis growth, adhesion and biofilm development. Mem. Inst. Oswaldo Cruz. 2016, 111, 697–702. [Google Scholar] [CrossRef] [PubMed]
- Rajendran, R.; May, A.; Sherry, L.; Kean, R.; Williams, C.; Jones, B.L.; Burgess, K.V.; Heringa, J.; Abeln, S.; Brandt, B.W.; et al. Integrating Candida albicans metabolism with biofilm heterogeneity by transcriptome mapping. Sci. Rep. 2016, 6. [Google Scholar] [CrossRef] [PubMed]
- Alexander, B.D.; Perfect, J.R. Antifungal resistance trends towards the year 2000. Implications for therapy and new approaches. Drugs 1997, 54, 657–678. [Google Scholar] [CrossRef] [PubMed]
- Ramage, G.; Vandewalle, K.; Wickes, B.L.; Lopez-Ribot, J.L. Characteristics of biofilm formation by Candida albicans. Rev. Iberoam. Micol. 2001, 18, 163–170. [Google Scholar] [PubMed]
- Ramage, G.; Saville, S.P.; Thomas, D.P.; Lopez-Ribot, J.L. Candida biofilms: An update. Eukaryot. Cell 2005, 4, 633–638. [Google Scholar] [CrossRef] [PubMed]
- Tobudic, S.; Lassnigg, A.; Kratzer, C.; Graninger, W.; Presterl, E. Antifungal activity of amphotericin b, caspofungin and posaconazole on Candida albicans biofilms in intermediate and mature development phases. Mycoses 2010, 53, 208–214. [Google Scholar] [CrossRef] [PubMed]
- Li, D.D.; Zhao, L.X.; Mylonakis, E.; Hu, G.H.; Zou, Y.; Huang, T.K.; Yan, L.; Wang, Y.; Jiang, Y.Y. In vitro and in vivo activities of pterostilbene against Candida albicans biofilms. Antimicrob. Agents Chemother. 2014, 58, 2344–2355. [Google Scholar] [CrossRef] [PubMed]
- Remsberg, C.M.; Yanez, J.A.; Ohgami, Y.; Vega-Villa, K.R.; Rimando, A.M.; Davies, N.M. Pharmacometrics of pterostilbene: Preclinical pharmacokinetics and metabolism, anticancer, antiinflammatory, antioxidant and analgesic activity. Phytother. Res. 2008, 22, 169–179. [Google Scholar] [CrossRef] [PubMed]
- Sudbery, P.E. Growth of Candida albicans hyphae. Nat. Rev. Microbiol. 2011, 9, 737–748. [Google Scholar] [CrossRef] [PubMed]
- Cardile, V.; Chillemi, R.; Lombardo, L.; Sciuto, S.; Spatafora, C.; Tringali, C. Antiproliferative activity of methylated analogues of e- and z-resveratrol. Z. Naturforsch. C 2007, 62, 189–195. [Google Scholar] [CrossRef] [PubMed]
- Caruso, F.; Mendoza, L.; Castro, P.; Cotoras, M.; Aguirre, M.; Matsuhiro, B.; Isaacs, M.; Rossi, M.; Viglianti, A.; Antonioletti, R. Antifungal activity of resveratrol against botrytis cinerea is improved using 2-furyl derivatives. PLoS ONE 2011, 6, e25421. [Google Scholar] [CrossRef] [PubMed]
- Roberti, M.; Pizzirani, D.; Simoni, D.; Rondanin, R.; Baruchello, R.; Bonora, C.; Buscemi, F.; Grimaudo, S.; Tolomeo, M. Synthesis and biological evaluation of resveratrol and analogues as apoptosis-inducing agents. J. Med. Chem. 2003, 46, 3546–3554. [Google Scholar] [CrossRef] [PubMed]
- Voda, K.; Boh, B.; Vrtacnik, M. A quantitative structure-antifungal activity relationship study of oxygenated aromatic essential oil compounds using data structuring and pls regression analysis. J. Mol. Model. 2004, 10, 76–84. [Google Scholar] [CrossRef] [PubMed]
- An, D.; Wang, X.; Li, J.; Jiang, S.; Ma, X.; Zhang, H.; Shi, H.; Sun, H.; Ye, L. The activity of fungichromin against the formation of Candida albicans biofilm. Biol. Pharm. Bull. 2016, 39, 1948–1954. [Google Scholar] [CrossRef] [PubMed]
- Baillie, G.S.; Douglas, L.J. Role of dimorphism in the development of Candida albicans biofilms. J. Med. Microbiol. 1999, 48, 671–679. [Google Scholar] [CrossRef] [PubMed]
- Paramonova, E.; Krom, B.P.; van der Mei, H.C.; Busscher, H.J.; Sharma, P.K. Hyphal content determines the compression strength of Candida albicans biofilms. Microbiology 2009, 155, 1997–2003. [Google Scholar] [CrossRef] [PubMed]
- Lee, J.A.; Robbins, N.; Xie, J.L.; Ketela, T.; Cowen, L.E. Functional genomic analysis of Candida albicans adherence reveals a key role for the arp2/3 complex in cell wall remodelling and biofilm formation. PLoS Genet 2016, 12, e1006452. [Google Scholar] [CrossRef] [PubMed]
- Daniels, K.J.; Park, Y.N.; Srikantha, T.; Pujol, C.; Soll, D.R. Impact of environmental conditions on the form and function of Candida albicans biofilms. Eukaryot. Cell 2013, 12, 1389–1402. [Google Scholar] [CrossRef] [PubMed]
- Nobile, C.J.; Fox, E.P.; Nett, J.E.; Sorrells, T.R.; Mitrovich, Q.M.; Hernday, A.D.; Tuch, B.B.; Andes, D.R.; Johnson, A.D. A recently evolved transcriptional network controls biofilm development in Candida albicans. Cell 2012, 148, 126–138. [Google Scholar] [CrossRef] [PubMed]
- Bozo, A.; Doman, M.; Majoros, L.; Kardos, G.; Varga, I.; Kovacs, R. The in vitro and in vivo efficacy of fluconazole in combination with farnesol against Candida albicans isolates using a murine vulvovaginitis model. J. Microbiol. 2016, 54, 753–760. [Google Scholar] [CrossRef] [PubMed]
- Morici, P.; Fais, R.; Rizzato, C.; Tavanti, A.; Lupetti, A. Inhibition of Candida albicans biofilm formation by the synthetic lactoferricin derived peptide hlf1-11. PLoS ONE 2016, 11, e0167470. [Google Scholar] [CrossRef] [PubMed]
- Zhao, L.X.; Li, D.D.; Hu, D.D.; Hu, G.H.; Yan, L.; Wang, Y.; Jiang, Y.Y. Effect of tetrandrine against Candida albicans biofilms. PLoS ONE 2013, 8, e79671. [Google Scholar] [CrossRef] [PubMed]
- Nalli, M.; Ortar, G.; Moriello, A.S.; Morera, E.; Di Marzo, V.; De Petrocellis, L. Trpa1 channels as targets for resveratrol and related stilbenoids. Bioorg. Med. Chem. Lett. 2016, 26, 899–902. [Google Scholar] [CrossRef] [PubMed]
- Zou, Y.; Huang, Q.; Huang, T.K.; Ni, Q.C.; Zhang, E.S.; Xu, T.L.; Yuan, M.; Li, J. CuI/1,10-phen/PEG promoted decarboxylation of 2,3-diarylacrylic acids: Synthesis of stilbenes under neutral and microwave conditions with an in situ generated recyclable catalyst. Org. Biomol. Chem. 2013, 11, 6967–6974. [Google Scholar] [CrossRef] [PubMed]
- Xu, T.; Zhang, E.; Wang, D.; Wang, Y.; Zou, Y. Cu-catalyzed consecutive hydroxylation and aerobic oxidative cycloetherification under microwave conditions: Entry to 2-arylbenzofuran-3-carboxylic acids. J. Org. Chem. 2015, 80, 4313–4324. [Google Scholar] [CrossRef] [PubMed]
- Kuykendall, R.J.; Lockhart, S.R. Microbroth dilution susceptibility testing of candida species. Methods Mol. Biol. 2016, 1356, 173–181. [Google Scholar] [PubMed]
- Pierce, C.G.; Uppuluri, P.; Tristan, A.R.; WormLey, F.L., Jr.; Mowat, E.; Ramage, G.; Lopez-Ribot, J.L. A simple and reproducible 96-well plate-based method for the formation of fungal biofilms and its application to antifungal susceptibility testing. Nat. Protoc. 2008, 3, 1494–1500. [Google Scholar] [CrossRef] [PubMed]
- Ramage, G.; Vande Walle, K.; Wickes, B.L.; Lopez-Ribot, J.L. Standardized method for in vitro antifungal susceptibility testing of Candida albicans biofilms. Antimicrob. Agents Chemother. 2001, 45, 2475–2479. [Google Scholar] [CrossRef] [PubMed]
- Cao, Y.; Dai, B.; Wang, Y.; Huang, S.; Xu, Y.; Gao, P.; Zhu, Z.; Jiang, Y. In vitro activity of baicalein against Candida albicans biofilms. Int. J. Antimicrob. Agents 2008, 32, 73–77. [Google Scholar] [CrossRef] [PubMed]
- Maidan, M.M.; De Rop, L.; Serneels, J.; Exler, S.; Rupp, S.; Tournu, H.; Thevelein, J.M.; Van Dijck, P. The G protein-coupled receptor Gpr1 and the Gα protein Gpa2 act through the camp-protein kinase a pathway to induce morphogenesis in Candida albicans. Mol. Biol. Cell 2005, 16, 1971–1986. [Google Scholar] [CrossRef] [PubMed]
- Sample Availability: Samples of the compounds C1–C22 and B1–B6 are available from the authors.





| Name | Structure | SMIC80 (μg/mL) | |
|---|---|---|---|
| Biofilm Formation | Mature Biofilm | ||
| PTE | ![]() | 16 | 128 |
| C4 | ![]() | 32–64 | 512 |
| C1 | ![]() | >64 | >512 |
| C2 | ![]() | >64 | >512 |
| C3 | ![]() | >64 | >512 |
| B1 | ![]() | >64 | >512 |
| B2 | ![]() | >64 | >512 |
| C5 | ![]() | >64 | >512 |
| C6 | ![]() | 32-64 | 512 |
| B3 | ![]() | 32 | 128–256 |
| C7 | ![]() | >64 | >512 |
| B4 | ![]() | >64 | >512 |
| B6 | ![]() | 64 | >512 |
| B5 | ![]() | >64 | >512 |
| C8 | ![]() | >64 | >512 |
| C9 | ![]() | >64 | >512 |
© 2017 by the authors. Licensee MDPI, Basel, Switzerland. This article is an open access article distributed under the terms and conditions of the Creative Commons Attribution (CC BY) license ( http://creativecommons.org/licenses/by/4.0/).
Share and Cite
Hu, D.-D.; Zhang, R.-L.; Zou, Y.; Zhong, H.; Zhang, E.-S.; Luo, X.; Wang, Y.; Jiang, Y.-Y. The Structure-Activity Relationship of Pterostilbene Against Candida albicans Biofilms. Molecules 2017, 22, 360. https://doi.org/10.3390/molecules22030360
Hu D-D, Zhang R-L, Zou Y, Zhong H, Zhang E-S, Luo X, Wang Y, Jiang Y-Y. The Structure-Activity Relationship of Pterostilbene Against Candida albicans Biofilms. Molecules. 2017; 22(3):360. https://doi.org/10.3390/molecules22030360
Chicago/Turabian StyleHu, Dan-Dan, Ri-Li Zhang, Yong Zou, Hua Zhong, En-Sheng Zhang, Xiang Luo, Yan Wang, and Yuan-Ying Jiang. 2017. "The Structure-Activity Relationship of Pterostilbene Against Candida albicans Biofilms" Molecules 22, no. 3: 360. https://doi.org/10.3390/molecules22030360
APA StyleHu, D.-D., Zhang, R.-L., Zou, Y., Zhong, H., Zhang, E.-S., Luo, X., Wang, Y., & Jiang, Y.-Y. (2017). The Structure-Activity Relationship of Pterostilbene Against Candida albicans Biofilms. Molecules, 22(3), 360. https://doi.org/10.3390/molecules22030360

















