Abstract
We previously reported 5,2’-dibromo-2,4’,5’-trihydroxydiphenylmethanoe (LM49), a bromophenol analogue that shows strong protection from oxidative stress injury owing to its superior anti-inflammatory, antioxidant, and anti-apoptotic properties. A series of novel nitrogen-containing heterocycle bromophenols were herein synthesized by introducing substituted piperidine, piperazine, and imidazole to modify 2-position of the lead compound LM49. By further evaluating their cytoprotective activity against H2O2 induced injury in EA.hy926 cells, 14 target bromophenols showed moderate-to-potent activity with EC50 values in the range of 0.9–6.3 μM, which were stronger than that of quercetin (EC50: 18.0 μM), a positive reference compound. Of these, the most potent compound 22b is a piperazine bromophenol with an EC50 value of 0.9 μM equivalent to the LM49. Molecular docking studies were subsequently performed to deduce the affinity and binding mode of derived halophenols toward the Keap1 Kelch domain, the docking results exhibited that the small molecule 22b is well accommodated by the bound region of Keap1-Kelch and Nrf2 through stable hydrogen bonds and hydrophobic interaction, which contributed to the enhancement of affinity and stability between the ligand and receptor. The above facts suggest that 22b is a promising pharmacological candidate for further cardiovascular drug development. Moreover, the targeting Keap1-Nrf2 protein-protein interaction may be an emerging strategy for halophenols to selectively and effectively activate Nrf2 triggering downstream protective genes defending against injury.
1. Introduction
The vascular endothelium is the major barrier for a cardiovascular system fighting against oxidative stress injury and inflammation []. In recent years, various novel skeleton halophenols derived from natural marine algaes and their derivatives obtained by structural optimization have been discovered showing the excellent vascular endothelial protective properties [,,,,,,,,,,]. In support of these growing interests, we expanded upon the continuing structural optimization and mechanistic investigation on halophenols for finding a candidate compound. As a fact, we have reported the plentiful synthesis of a series of diphenylketone, diphenylmethane and phenyl furan-2-yl ketone halophenols, and their protective activity against H2O2 induced injury in human umbilical vein endothelial cells (HUVECs) [,]. Moreover, we indeed found a “hit” compound, 5,2’-dibromo-2,4’,5’-trihydroxydiphenylmethanoe (LM49) (Figure 1) possessing an EC50 value of 0.4 μM with the strong vascular endothelium protective ability [], as evidenced being attributed to its anti-apoptotic, antioxidant, and anti-inflammatory abilities by further mechanical study [,]. To our knowledge, nitrogen-containing heterocycle derivatives have been reported to exist in many natural products and applied in many fields such as medicines and chemical products []. The existence of a heterocyclic unit in numerous natural products often plays an essential role in their biological activities [,,,,,,]. Moreover, it helps the dosage form design of drugs such as those being prepared for injection. Based on these considerations, we focused on introducing substituted piperidine, piperazine and imidazole to modify the 2-position of lead compound LM49 to synthesize a series of analogues aiming to find the promising pharmacological candidates for further cardiovascular drug development.

Figure 1.
Chemical structure of the lead compound LM49.
In addition, sustained oxidative stress and elevated redox state are the major causes of the development of chronic inflammation related cardiovascular diseases such as atherosclerosis and diabetes. The Keap1 (Kelch-like ECH-associated protein 1)-Nrf2 (nuclear factor erythroid 2-related factor 2)-ARE pathway plays a key role in the endogenous antioxidant system. Under basal conditions, the antioxidant transcription factor Nrf2 is bound to Keap1 protein and targets proteasomal degradation in the cytoplasm. In response to cellular injury, Nrf2 dissociates from Keap1 and activates the transcription of protective genes, defending against injury [,]. In our recent study, we reported that diphenylketone halophenols can protect vascular endothelial cells against the oxidative stress injury and inflammation by the activation of Nrf2 up-regulating heme oxygenase-1 (HO-1) protein expression [], which prompted us to investigate the influence of halophenols on the Keap1-Nrf2 protein-protein interaction (PPI). Inspired by the above, we herein investigated the action mode and mechanism of halophenols interacting with the Keap1 by molecular docking.
2. Results and Discussion
2.1. Chemistry
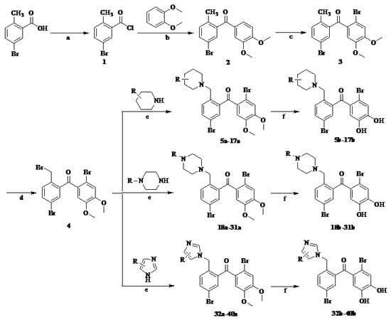
In this paper, 36 new target bromophenols were prepared by Friedel-Crafts acylation, aromatic bromination, radical substitution, nitrogen-containing heterocyclic nucleophilic substitution, and demethylation reaction according to the preparation route described in Scheme 1. All structures of target compounds were confirmed by ESI-MS, 1H-NMR, and 13C-NMR spectrum. The obtained active bromophrnols were further characterized by IR and HR-MS spectra.

Scheme 1.
Synthetic route of target compounds. Reagents and conditions: (a) SOCl2 (16.1 eq), N,N-dimethyl formamide, reflux, 7 h, 70%; (b) CH2Cl2, AlCl3, r.t., 3 h, 90%; (c) CH3COOH, CH2Cl2, Br2 (7.1 eq), r.t., 0.5 h, 77%; (d) N-bromosuccinimide (1.05 eq), benzoyl peroxide (0.1 eq), CH2Cl2, sun light, r.t., 5 h, 60%; (e) CH2Cl2, anhydrous Na2CO3 (1.0 eq), r.t., 12 h, 70–93%; (f) CH2Cl2, BBr3 (3.1 eq), −78 °C to r.t, 1.5–2.5 h, 38–85%.
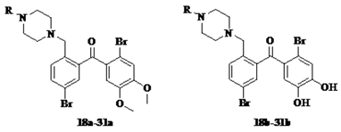
The intermediate 1 was prepared from 5-bromo-2-methyl benzoic acid with anhydrous SOCl2 dropped little N,N-dimethyl formamide (DMF) via acylating chlorination, then reacted with 1,2-dimethoxybenzene catalyzed by AlCl3 to yield intermediate 2. Aluminum chloride is an effective and cheap Lewis acid catalyst and is widely used in Friedel-Crafts acylation. Bromination reaction of intermediate 2 was quickly conducted with bromine to obtain the important compound 3 in acetic acid solvent at room temperature by electrophilic substitution in benzene ring, and was subsequently reacted with N-bromosuccinimide (NBS) to gain the key intermediate 4 in anhydrous CH2Cl2 using benzoyl peroxide (BPO) as the catalyst by free radical substitution. In this process, sunlight was beneficial to accelerate reaction velocity and shorten reaction time []. Compound 4 was treated with substituted piperidine, piperazine or imidazole in the presence of anhydrous Na2CO3 to prepare important intermediates 5a–40a. Then, 5a–40a were demethylated with BBr3 as the demethylation reagent in anhydrous CH2Cl2 at −78 °C to obtain target bromophenols 5b–40b in moderate to high yields.
2.2. Biological Evaluation
To assess the cytoprotective activity of all synthesized target compounds 5b–40b compared to important intermediates 5a–40a against H2O2 induced injury in endothelial-derived EA.hy926 cells by MTT assay, we first conducted the preliminary screening to test their cytoprotective rates at a concentration of 10 μM. If the protective rates of tested compounds were higher than 45% then their EC50 (50% effective concentration) values were determined by examining cell viability at different concentrations of 0.3125, 0.625, 1.25, 2.5, 5, 10 μM, as presented in Table 1, Table 2 and Table 3, the values are the average of at least three independent experiments. Quercetin was used as a positive reference standard. The activity data showed that 14 target bromophenols 11b–14b, 16b, 21b, 22b, 24b–26b, 35b–38b and 15 key intermediates 5a, 10a, 14a, 15a, 17a, 21a, 24a, 27a–32a, 39a, 40a exhibited moderate-to-potent activity with EC50 values in the range of 0.9–7.4 μM, which were stronger than that of quercetin (EC50: 18.0 μM). The most promising bromophenol derivative 22b showed the highest activity with an EC50 value of 0.9 μM, which was almost identical to that of the lead compound LM49 (EC50: 0.7 μM). Due to the presence of a piperazine ring, compound 22b suggests the preferably potential druggability in comparison with LM49.

Table 1.
Structures of piperidine compounds 5a–17a, 5b–17b and their cytoprotective activity against H2O2 induced injury in EA.hy926 cells.

Table 2.
Structures of piperazine compounds 18a–31a, 18b–31b and their cytoprotective activity against H2O2 induced injury in EA.hy926 cells.

Table 3.
Structures of imidazole compounds 32a–40a, 32b–40b and their cytoprotective activity against H2O2 induced injury in EA.hy926 cells.
2.3. Structure-Activity Relationships
Based on the data of cytoprotective activity listed in the Table 1, Table 2 and Table 3, the preliminary structure-activity relationships (SARs) of novel bromophenols analogues could be summarized. Target compound 11b–13b, 16b, 21b, 22b, 24b–26b, 35b–38b with two hydroxyl groups displayed better activity than their corresponding intermediates 11a–13a, 16a, 21a, 22a, 24a–26a, 35a–38a. These findings revealed that the presence of hetercycles and hydroxyl groups contributes to the increase of their anti-oxidative stress abilities, which is consistent with our previously presented results [].
In 26 piperidine analogues (Table 1), five bromophenol derivatves 11b–14b, 16b with EC50 values of 1.4–6.1 μM and five intermediates 5a, 10a, 14a, 15a, 17a with EC50 values of 1.7–5.2 μM exhibited moderate-excellent activity. Bromophenol derivatives 5b–8b with no substituted groups or only a single methyl group that existed in the ortho-, meta- or para-position of piperidine, showed no activity. Two isomers 13b and 9b with two methyl groups in the ortho- or meta-position of nitrogen atom, respectively, displayed significantly different activity, bromophenol 13b demonstrated higher activity with an EC50 value 5.4 μM than compound 9b. Compound 14b with an EC50 value 6.1 μM, all hydrogen atoms in the ortho-position of nitrogen atom replaced by methyl group, exhibited nearly the same activity to compound 13b, moreover, corresponding intermediate 14a possessed more potent activity with an EC50 value 1.9 μM than bromophenol derivative 14b, which indicated that the presence of methyl groups in two ortho-positions of nitrogen atom favored for the activity. In addition, compounds 15b and 17b are isomers with a hydroxymethyl group in the ortho- or para-position of nitrogen atom, no activity was observed. However, their corresponding intermediates 15a and 17a showed better activity with an EC50 value of 1.7 μM and 5.2 μM, respectively. Bromophenol derivative 11b, the meta-position of nitrogen atom replaced by withdrawing group ethoxycarbonyl, demonstrated excellent activity with an EC50 value 1.4 μM compared with compound 7b and 9b substituted by donating group methyl.
Among 28 piperazine analogues (Table 2), five bromophenol derivatives 21b, 22b, 24b–26b showed moderate-potent activity with EC50 values in the range of 0.9–6.3 μM, seven key intermediates 21a, 24a, 27a–31a exhibited middle activity with EC50 values of 2.2–7.4 μM. Target compound 22b showed the most potent protective activity with an EC50 value 0.9 μM, which was comparable to the lead compound LM49 (EC50 = 0.7 μM). Replacement of 4-position of piperazine by methyl, isopropyl or diphenylmethyl group, bromophenol derivatives 24b–26b displayed moderate-superior activity with EC50 values of 6.3, 2.2 and 1.5 μM, respectively. To bromophenol derivatives 18b, 20b, 23b, and 29b–30b, 4-position hydrogen of piperazine was replaced by acyl-, nitro- or fluro-substituted phenyl group, their activity was disappeared. Conversely, compound 21b, with a methoxyl group on the 2-position of piperazine, showed better activity. Evidently, the electron withdrawing effect on the benzene ring exerted a negative effect on the activity. The above results suggest that the electronic effect and steric hindrance effect at the 4-position of piperazine play a pivotal role to the cytoprotective activity of bromophenols.
In 18 prepared imidazole analogues (Table 3), three intermediates 32a, 39a and 40a showed moderate activity with EC50 values of 1.9 μM, 4.0 μM, and 3.2 μM, respectively. Target bromophenol derivatives 35b–38b, replaced by ethyl, isopropyl or phenyl group on the 2-position of imidazole, showed excellent activity with EC50 values of 1.3–1.6 μM. For bromophenol derivatives 32b, 33b, 34b and 39b, with no substituent or one to two methyl groups on the imidazole, no activity was observed. From these, we can conclude that the substitution groups such as ethyl, isopropyl and phenyl existed in the 2-position of imidazole and contributed to the activity improvement. Clearly, the protective activity of imidazole bromophenols is ascribed to the electron donating effect of alkyl groups.
2.4. Molecular Docking Study
Nrf2 contains multiple basic residues and possesses a tight four-residue β-hairpin conformation comprising of the residues Asp-77, Glu-78, Glu-79, Thr-80, Gly-81. In particular, Glu-79 is one of the critical functional residues in the interaction of Keap1 protein and Nrf2, the side chain of which is wedged between Arg-415 and Arg-508. The unique feature of Arg-415, adopting an unusual left-handed helical conformation (58°, 49°), may cause the potential interaction of Arg-415 with Glu-79. When the ligand occupies the region closed to Arg-415, this may result in the change of the rotational isomer of Arg-415 and may also affect the electrostatic interaction. When the ligand enters the bound region of Keap1-Kelch and Nrf2, it may influence the nature of the residue Arg-415 in the active site, causing a series of changes in the electrostatic force and the acting force to weaken the interaction with Glu-79, and then bringing the dissociation of Nrf2 into the nucleus, completing the task of protein expression [,,,,].
In the current study, the most potent compound 22b was employed to investigate the binding modes of derived halophenols to the kelch domain of keap1 protein by molecular docking experiment. As can be seen from the left side of Figure 2, the closer to the brown it was, the higher lipotropy or hydrophobicity it showed. Conversely, the nearer to the blue it was, the stronger hydrophily it exhibited. The cavity of the receptor presented with a brown color, which suggested strong hydrophobicity. The benzene ring, a hydrophobic group, approached the inside of the cavity. In parallel, the hydrophile groups hydroxyls and carbonyls closed to the hydrophile area of the receptor. The docking results (Figure 2) showed that a small molecule 22b was well accommodated in the active pocket of the receptor and entered the bound region of Keap1-Kelch and Nrf2, and also exhibited excellent interaction via hydrogen bonds and hydrophobic interaction. Figure 3 showed that the amino acids in the distance of 5A from small molecule included Ser-602, Arg-415 and Gln-530. The hydroxyl group of 22b was 1.82A distant from the Ser-602 residue. The carbonyl group linked to the two benzene rings was 1.87A and 2.09A away from Arg-415, respectively. The distance between the carbonyl group on the piperazine ring and the Gln-530 was 1.98A. The presence of multiple hydrogen bonds together with hydrophobic interaction contributed to the enhancement of affinity and stability between the ligand and receptor.

Figure 2.
The potential energy diagram of compound 22b binding with the Keap1 Kelch domain. (The small molecule 22b was presented by a stick model.)

Figure 3.
The binding modes of compound 22b with Keap1 Kelch domain showing interacting amino acids and H-bonds. (Green shows the interacting amino acid residues, yellow dotted lines show the formed hydrogen bonds.)
3. Experimental Section
3.1. Chemistry
The main reagents including 5-bromo-2-methyl benzoic acid, dimethoxybenzene, substituted piperdine, piperazine and imidazole were purchased from J & K Chemical Technology. Other chemical reagents and solvents were commercially available unless otherwise indicated. Dichloromethane was distilled from calcium hydride.
Melting points were taken on a micromelting point apparatus, which were uncorrected. The IR spectra of the compounds were recorded using a Thermo Scientific Nicolet iS 50 Fourier transform IR (FTIR) spectrometer. The 1H- and 13C-NMR spectra were recorded with a Bruker-AV 600 spectrometer in CDCl3 or DMSO-d6 with TMS as reference. Chemical shifts (δ values) and coupling constants (J values) were given in ppm and Hz, respectively. ESI mass spectra were obtained on an API QTRAP 3200 MS spectrometer, and HR-MS were recorded on a Bruker Daltonics Apex IV 70e FTICR-MS (Varian 7.0T).
3.1.1. Preparation of Key Intermediate Compound 4
5-Bromo-2-methyl benzoic acid (4.5 g, 7.0 mmol) was dissolved in 24 mL dried SOCl2 with a few drops DMF, the mixture was refluxed for 7 h. The solvent was evaporated under reduced pressure to give compound 1 as a transparent liquid. Dimethoxybenzene 4.5 mL (35.4 mmol) was added to 30 mL dried CH2Cl2 and stirred at 0 °C. Next, anhydrous AlCl3 (3.0 g, 22.7 mmol) was added portion-wise. The obtained compound 1 was then added to the solution, which was allowed to warm to room temperature and stirred for 3 h and quenched with 30 mL distilled water. The organic phase was separated, washed with 30 mL water and dried over anhydrous Na2SO4, and then concentrated via rotary evaporation. The crude product was purified by silica gel chromatography with ethyl acetate–petroleum ether (v/v, 1/8) as the eluent to afford compound 2. The product was recrystallized from methanol to give a white powder in 63% total yield. m.p. 102.0–104.0 °C; 1H-NMR (600 MHz, DMSO-d6) δ: 2.53 (s, 3H, Ar-2-CH3), 3.86 (s, 3H, Ar-5’-OCH3), 3.94 (s, 3H, Ar-4’-OCH3), 6.99 (s, 1H, Ar-6’-H), 7.05 (s, 1H, Ar-6-H), 7.20 (t, J = 10.4 Hz,1H, Ar-3’-H), 7.31(d, J = 11.4 Hz, 1H, Ar-3-H), 7.34 (d, J = 11.4 Hz, 1H, Ar-4-H), 7.41 (t, J = 10.4 Hz, 1H, Ar-2’-H); ESI-MS m/z (%): 334.88, 336.93 ([M + H]+, 100, 98).
Compound 2 2.3 g (5.5 mmol) was dissolved in the mixed solvent of 30 mL acetic acid and 8 mL dichloromethane. Next the bromine 2 mL was added to the mixture. The reaction process was monitored by thin layer chromatography (TLC). After being stirred for 0.5 h at room temperature, the mixture was slowly poured into 50 mL strong ammonia water and then cooled to room temperature. The mixture was extracted twice with CH2Cl2 (2 × 30 mL). The combined organics were washed to neutral with water, dried over anhydrous Na2SO4, and then concentrated via rotary evaporation. The crude product was purified by silica gel chromatography with ethyl acetate–petroleum ether (v/v, 1/16) as the eluent to gain 2.19 g white power compound 3 in 77% yield. m.p. 105.0–107.0 °C; 1H-NMR (600 MHz, DMSO-d6) δ: 2.64 (s, 3H, Ar-2-CH3), 3.87 (s, 3H, Ar-5’-OCH3), 3.92 (s, 3H, Ar-4’-OCH3), 6.93 (s, 1H, Ar-6’-H), 7.20 (t, J = 11.4 Hz, 1H, Ar-3-H), 7.32 (s, 1H, Ar-3’-H), 7.34 (s, 1H, Ar-6-H), 7.44 (t, J = 11.4 Hz, 1H, Ar-4-H). ESI-MS m/z (%): 412.85, 414.91, 416.81 ([M + H]+, 51, 100, 49).
Compound 3 1.0 g (2.4 mmol), NBS 0.45 g (2.5 mmol) and BPO 58 mg (0.24 mmol) was added to 5 mL dried CH2Cl2, the mixture was stirred for 5 h in sunlight. The solvent was evaporated via rotary evaporation. The crude product was purified by silica gel chromatography with ethyl acetate–petroleum ether (v/v, 1/16) as the eluent to obtain 0.71 g pale yellow solid compound 4 in 60% yield. m.p. 103.3–105.0 °C; 1H-NMR (600 MHz, DMSO-d6) δ: 3.87 (s, 3H, Ar-5’-OCH3), 3.96 (s, 3H, Ar-4’-OCH3), 4.76 (s, 2H, Ar-2-CH2-), 7.04 (s, 1H, Ar-3’-H), 7.08 (s, 1H, Ar-6’-H), 7.44 (d, J = 12.0 Hz, 1H, Ar-3-H), 7.46 (d, J = 3.0 Hz, 1H, Ar-6-H), 7.64 (dd, J = 12.0 Hz, 3.0 Hz, 1H, Ar-4-H); ESI-MS m/z (%): 490.81, 492.81, 494.72 ([M + H]+, 34, 98, 100).
3.1.2. General Procedure for the Synthesis of Intermediate Compounds 5a–40a
Compound 4 0.2 g (0.41 mmol) and 25 μL piperdine (0.82 mmol) was added to the 1.0 mL dried CH2Cl2. Anhydrous Na2CO3 20 mg was then added to the mixture, which was stirred for 12 h. The mixture was washed with the distilled water, the organic phase was separated and dried over anhydrous Na2SO4, and then concentrated viarotary evaporation. The crude product was purified by silica gel chromatography with petroleum ether–acetone–strong ammonia water (v/v/v, 8/1/0.1) as the eluent to gain 0.18 g yellow solid compound 5a in 90% yield.
Compounds 6a–40a were also obtained from intermediate 4 in a similar manner as for the preparation of 5a in 70–93% yield. Note that the preparation of compound 13a and 14a was requested for the circumstance of heating and refluxing.
Compound 5a: Yellow solid, yield 90%, m.p. 103.3–105.0 °C; 1H-NMR (600 MHz, CDCl3) δ: 1.34–1.41 (m, 6H, piperidine-3’’,4’’,5’’-H), 2.16 (s, 4H, piperidine-2’’, 6’’-H), 3.37 (s, 2H, Ar-2-CH2-), 3.86 (s, 3H, Ar-4’-OCH3), 3.95 (s, 3H, Ar-5’-OCH3), 7.05 (s, 1H, Ar-3’-H), 7.15 (s, 1H, Ar-6’-H), 7.29 (s, 1H, Ar-6-H), 7.47 (d, J = 3.0 Hz, 1H, Ar-3-H), 7.51 (dd, J = 3.0, 12.0 Hz, 1H, Ar-4-H); ESI-MS m/z (%) 496.02, 498.08, 499.86 ([M + H]+, 78, 100, 98).
Compound 6a: Yellow solid, yield 85%, m.p. 116.0–117.3 °C; 1H-NMR (600 MHz, CDCl3) δ: 0.89 (d, J = 9.6 Hz, 3H, piperidine-2’’-CH3), 1.36–1.95 (m, 6H, piperidine-3’’,4’’,5’’-H), 2.30–2.56 (m, 2H, piperidine-6’’-H), 3.26 (d, J = 9.6 Hz, 1H, piperidine-2’’-H), 3.83 (s, 3H, Ar-4’-OCH3), 3.91 (s, 1H, Ar-2-CH2-), 3.95 (s, 3H, Ar-5’-OCH3), 7.08 (s, 1H, Ar-3’-H), 7.11 (s, 1H, Ar-6’-H), 7.40 (d, J = 3.0 Hz, 1H, Ar-3-H), 7.43 (s, 1H, Ar-6-H), 7.52 (dd, J = 3.0, 12.6 Hz, 1H, Ar-4-H); ESI-MS m/z (%) 510.03, 512.07, 513.85 ([M + H]+, 70, 100, 90).
Compound 7a: Yellow solid, yield 87%, m.p. 102.2–103.5 °C; 1H-NMR (600 MHz, CDCl3) δ:0.74 (d, J = 9.0 Hz, 3H, piperidine-3’’-CH3), 0.90 (m, 1H, piperidine-H), 1.35–1.78 (m, 6H, piperidine-H), 2.45 (m, 2H, piperidine-6’’-H), 3.38 (s, 2H, Ar-2-CH2-), 3.85 (s, 3H, Ar-4’-OCH3), 3.95 (s, 3H, Ar-5’-OCH3), 7.05 (s, 1H, Ar-3’-H), 7.14 (s, 1H, Ar-6’-H), 7.28 (s, 1H, Ar-6-H), 7.47 (d, J = 3.0 Hz, 1H, Ar-6-H), 7.53 (dd, J = 3.0, 12.6 Hz, 1H, Ar-4-H); ESI-MS m/z (%) 510.06, 512.09, 513.86 ([M + H]+, 77, 87, 100).
Compound 8a: Yellow solid, yield 87%, m.p. 76.2–78.0 °C; 1H-NMR (600 MHz, CDCl3) δ: 0.83 (d, J = 9.6 Hz, 3H, piperidine-4’’-CH3), 0.88 (d, J = 9.6 Hz, 1H, piperidine-4’’-H), 1.04–2.52 (m, 8H, piperidine-H,), 3.38 (s, 2H, Ar-2-CH2-), 3.85 (s, 3H, Ar-4’-OCH3), 3.94 (s, 3H, Ar-5’-OCH3), 7.05 (s, 1H, Ar-3’-H), 7.15 (s, 1H, Ar-6’-H), 7.29 (s, 1H, Ar-6-H), 7.47 (d, J = 3.0 Hz, 1H, Ar-6-H), 7.53 (dd, J = 3.0, 12.6 Hz, 1H, Ar-4-H); ESI-MS m/z (%) 510.03, 512.04, 513.90 ([M + H]+, 55, 100, 65).
Compound 9a: Yellow solid, yield 86%, m.p. 82.2–84.0 °C; 1H-NMR (600 MHz, CDCl3) δ: 0.72 (s, 3H, piperidine-3’’-CH3), 0.74 (s, 3H, piperidine-5’’-CH3), 0.86–2.46 (m, 8H, piperidine-H), 3.38 (s, 2H, Ar-2-CH2-), 3.84 (s, 3H, Ar-4’-OCH3), 3.94 (s, 3H, Ar-5’-OCH3), 7.05 (s, 1H, Ar-3’-H), 7.13 (s, 1H, Ar-6’-H), 7.26 (s, 1H, Ar-6-H), 7.47 (d, J = 3.0 Hz, 1H, Ar-6-H), 7.53 (dd, J = 3.0, 12.0 Hz, 1H, Ar-4-H); ESI-MS m/z (%) 524.08, 526.14, 527.86 ([M + H]+, 75, 95, 100).
Compound 10a: Yellow solid, yield 75%, m.p. 48.3–49.5 °C; 1H-NMR (600 MHz, CDCl3) δ: 1.59–2.33 (m, 9H, piperidine-H), 3.44 (s, 2H, Ar-2-CH2-), 3.87 (s, 3H, Ar-4’-OCH3), 3.95 (s, 3H, Ar-5’-OCH3), 7.05 (s, 1H, Ar-3’-H), 7.16 (s, 1H, Ar-6’-H), 7.30 (s, 1H, Ar-6-H), 7.48 (d, J = 3.0 Hz, 1H, Ar-3-H), 7.55 (dd, J = 3.0, 12.0 Hz, 1H, Ar-4-H), 10.2 (s, 1H, piperidine-4-COOH); ESI-MS m/z (%) 568.13, 570.15, 571.93 ([M + H]+, 70, 100, 92).
Compound 11a: Yellow solid, yield 70%, m.p. 44.8–46.2 °C; 1H-NMR (600 MHz, CDCl3) δ: 1.20 (t, J = 7.2 Hz, 3H, piperidine-3’’-COOCH2-CH3), 1.58–2.70 (m, 9H, piperidine-H), 3.49 (q, J = 16.8 Hz, 2H, piperidine-3’’-COOCH2-), 3.85 (s, 3H, Ar-4’-OCH3), 3.94 (s, 3H, Ar-5’-OCH3), 4.07 (s, 2H, Ar-2-CH2-), 7.06 (s, 1H, Ar-3’-H), 7.11 (s, 1H, Ar-6’-H), 7.31 (d, J = 7.8 Hz, 1H, Ar-3-H), 7.46 (s, 1H, Ar-6-H), 7.53 (d, J = 8.4 Hz, 1H, Ar-4-H); ESI-MS m/z (%) 568.22, 570.14, 572.29 ([M + H]+, 100, 65, 97).
Compound 12a: Yellow solid, yield 75%, m.p. 62.1–63.0 °C; 1H-NMR (600 MHz, CDCl3) δ: 1.40–2.51 (m, 9H, piperidine-H), 3.44 (s, 2H, Ar-2-CH2-), 3.62 (brs, 1H, piperidine-OH), 3.85 (s, 3H, Ar-4’-OCH3), 3.94 (s, 3H, Ar-5’-OCH3), 7.06 (s, 1H, Ar-3’-H), 7.15 (s, 1H, Ar-6’-H), 7.28 (d, J = 7.8 Hz, 1H, Ar-3-H), 7.47 (d, J =1.2 Hz, 1H, Ar-6-H), 7.53 (dd, J = 1.2, 8.4 Hz, 1H, Ar-4-H); ESI-MS m/z (%) 512.20, 513.56, 516.26 ([M + H]+, 100, 65, 97).
Compound 13a: Yellow solid, yield 75%, m.p. 148.8–150.2 °C; 1H-NMR (600 MHz, CDCl3) δ: 0.92 (d, J = 6.0 Hz, 6H, piperidine-2’’,6’’-CH3), 1.29–1.58 (m, 6H, piperidine-3’’,4’’,5’’-H), 2.48 (m, 2H, piperidine-2’’,6’’-H), 3.86 (s, 3H, Ar-4’-OCH3), 3.89 (s, 2H, Ar-2-CH2-), 3.95 (s, 3H, Ar-5’-OCH3), 7.00 (s, 1H, Ar-3’-H), 7.06 (s, 1H, Ar-6’-H), 7.36 (d, J = 1.8 Hz, 1H, Ar-6-H), 7.58 (dd, J = 1.8, 8.4 Hz, 1H, Ar-3-H), 8.08 (d, J = 8.4 Hz, 1H, Ar-4-H); ESI-MS m/z (%) 524.16, 526.19, 528.03 ([M + H]+, 70, 100, 80).
Compound 14a: Yellow solid, yield 90%, m.p. 140.0–142.0 °C; 1H-NMR (600 MHz, CDCl3) δ: 0.85–1.02 (m, 12H, piperidine-2’’,6’’-CH3), 1.53 (m, 6H, piperidine-3’’,4’’,5’’-H), 3.86 (s, 3H, Ar-4’-OCH3), 3.95 (s, 3H, Ar-5’-OCH3), 3.96 (s, 2H, Ar-2-CH2-), 7.00 (s, 1H, Ar-3’-H), 7.07 (s, 1H, Ar-6’-H), 7.36 (d, J = 1.8 Hz, 1H, Ar-6-H), 7.57 (dd, J = 1.8, 8.4 Hz, 1H, Ar-3-H), 8.10 (d, J = 8.4 Hz, 1H, Ar-4-H); ESI-MS m/z (%) 552.21, 554.23, 556.03 ([M + H]+, 55, 100, 65).
Compound 15a: Yellow solid, yield 70%, m.p. 138.9–140.5 °C; 1H-NMR (600 MHz, CDCl3) δ: 1.47–1.61 (m, 6H, piperidine-3’’,4’’,5’’-H), 2.03 (t, J = 9.0 Hz, 2H, piperidine-6’’-H), 2.29–2.32 (m, 1H, piperidine-2’’-H), 2.75 (brs, 1H, -OH), 3.31 (d, J = 7.8 Hz, 2H, piperidine-CH2-), 3.81 (s, 2H, Ar-2-CH2-), 3.83 (s, 3H, Ar-4’-OCH3), 3.96 (s, 3H, Ar-5’-OCH3), 7.06 (s, 1H, Ar-3’-H), 7.10 (s, 1H, Ar-6’-H), 7.37 (d, J = 8.4 Hz, 1H, Ar-3-H), 7.40 (d, J = 1.8 Hz, 1H, Ar-6-H), 7.55 (dd, J = 1.8, 8.4 Hz, 1H, Ar-4-H); ESI-MS m/z (%) 526.16, 528.23, 530.03 ([M + H]+, 62, 100, 80).
Compound 16a: Yellow solid, yield 72%, m.p. 50.5–51.9 °C; 1H-NMR (600 MHz, CDCl3) δ: 0.88–1.54 (m, 7H, piperidine-3’’,4’’,5’’-H, piperidine-4-CH2-), 1.85 (t, J = 10.8 Hz, 2H, piperidine-2’’-H), 2.01 (brs, 1H, -OH), 2.53 (t, J = 10.8 Hz, 2H, piperidine-6’’-H), 3.40 (s, 2H, Ar-2-CH2-), 3.64 (t, J = 9.6 Hz, 2H, HO-CH2-), 3.84 (s, 3H, Ar-4’-OCH3), 3.94 (s, 3H, Ar-5’-OCH3), 7.06 (s, 1H, Ar-3’-H), 7.13 (s, 1H, Ar-6’-H), 7.29 (d, J = 12.0 Hz, 1H, Ar-3-H), 7.47 (d, J = 1.8 Hz, 1H, Ar-6-H), 7.52 (dd, J = 2.4, 12.0 Hz, 1H, Ar-4-H); ESI-MS m/z (%) 540.24, 542.26, 544.13 ([M + H]+, 65, 100, 75).
Compound 17a: White solid, yield 65%, m.p. 44.2–45.8 °C; 1H-NMR (600 MHz, CDCl3) δ: 1.09–1.58 (m, 5H, piperidine-3’’,4’’,5’’-H), 1.87 (t, J = 14.4 Hz, 2H, piperidine-2’’-H), 2.05 (brs, 1H, -OH), 2.57 (t, J = 16.8 Hz, 2H, piperidine-6’’-H), 3.42 (d, J = 6.0 Hz, 2H, HO-CH2-), 3.43 (s, 2H, Ar-2-CH2-), 3.84 (s, 3H, Ar-4’-OCH3), 3.94 (s, 3H, Ar-5’-OCH3), 7.06 (s, 1H, Ar-3’-H), 7.13 (s, 1H, Ar-6’-H), 7.28 (d, J = 12.0 Hz, 1H, Ar-3-H), 7.47 (d, J = 3.0 Hz, 1H, Ar-6-H), 7.52 (dd, J = 3.0, 12.0 Hz, 1H, Ar-4-H); ESI-MS m/z (%) 526.24, 528.32, 530.16 ([M + H]+, 70, 100, 80).
Compound 18a: White solid, yield 60%, m.p. 200.0–201.0 °C; 1H-NMR (600 MHz, CDCl3) δ: 2.13–2.24 (m, 8H, piperazine-H), 3.37 (s, 4H, Ar-2-CH2-), 3.84 (s, 6H, Ar-4’-OCH3), 3.94 (s, 6H, Ar-5’-OCH3), 7.04 (s, 2H, Ar-3’-H), 7.11 (s, 2H, Ar-6’-H), 7.24 (d, J = 12.0 Hz, 2H, Ar-3-H), 7.45 (d, J = 3.0 Hz, 2H, Ar-6-H), 7.52 (dd, J = 3.0, 12.0 Hz, 2H, Ar-4-H); ESI-MS m/z (%) 909.12, 911.10, 912.95 ([M + H]+, 65, 100, 75).
Compound 19a: White solid, yield 78%, m.p. 74.3–76.0 °C; 1H-NMR (600 MHz, CDCl3) δ: 1.03 (t, J = 10.8 Hz, 3H, piperazine-4’’-CH3), 1.70–2.36 (m, 10H, piperazine-4’’-CH2, piperazine-H), 3.43 (s, 2H, Ar-2-CH2-), 3.86 (s, 3H, Ar-4’-OCH3), 3.95 (s, 3H, Ar-5’-OCH3), 7.05 (s, 1H, Ar-3’-H), 7.15 (s, 1H, Ar-6’-H), 7.29 (s, J = 12.0 Hz, 1H, Ar-3-H), 7.48 (d, J = 3.0 Hz, 1H, Ar-6-H), 7.53 (dd, J = 3.0, 12.0 Hz, 1H, Ar-4-H); ESI-MS m/z (%) 525.14, 527.20, 529.00 ([M + H]+, 80, 85, 100).
Compound 20a: Yellow solid, yield 75%, m.p. 65.8–66.9 °C; 1H-NMR (600 MHz, CDCl3) δ: 2.42 (t, J = 7.2Hz, 4H, piperazine-2’’,6’’-H), 3.05 (t, J = 7.2 Hz, 4H, piperazine-3’’,5’’-H), 3.52 (s, 2H, Ar-2-CH2-), 3.85 (s, 3H, Ar-4’-OCH3), 3.94 (s, 3H, Ar-5’-OCH3), 6.82–6.87 (m, 3H, 3H, piperazine-Ar-3’’’,4’’’,5’’’-H), 7.05 (s, 1H, Ar-3’-H), 7.16 (s, 1H, Ar-6’-H), 7.24 (d, J = 11.4 Hz, 2H, piperazine-Ar-2’’’,6’’’-H), 7.33 (d, J = 12.0 Hz, 1H, Ar-3-H), 7.50 (d, J = 3.0 Hz, 1H, Ar-6-H), 7.57 (dd, J = 3.0, 12.0 Hz, 1H, Ar-4-H); ESI-MS m/z (%) 573.10, 575.09, 576.95 ([M + H]+, 48, 100, 58).
Compound 21a: Yellow solid, yield 75%, m.p. 68.2–69.7 °C; 1H-NMR (600 MHz, CDCl3) δ: 2.45 (s, 4H, piperazine-3’’,5’’-H), 2.92 (s, piperazine-2’’, 4’’-H), 3.50 (s, 2H, Ar-2-CH2-), 3.82 (s, 3H, Ar-4’-OCH3), 3.84 (s, 3H, Ar-5’-OCH3), 3.93 (s, 3H, piperazine-Ar-2’’’-OCH3), 6.82 (d, J = 8.4 Hz, 1H, piperazine-Ar-6’’’-H), 6.85 (d, J = 7.8 Hz, 1H, Ar-3’’’-H, Ar-6’’’-H), 6.89 (t, J = 7.8 Hz, 1H, Ar-4’’’-H), 6.97 (t, J = 7.8 Hz, 1H, Ar-5’’’-H), 7.05 (s, 1H, Ar-3’-H), 7.18 (s, 1H, Ar-6’-H), 7.31 (s, J = 7.8 Hz, 1H, Ar-3-H), 7.51 (s, 1H, Ar-6-H), 7.55 (dd, J = 1.2, 7.8 Hz, 1H, Ar-4-H); ESI-MS m/z (%) 603.26, 604.57, 607.42 ([M + H]+, 100, 70, 90).
Compound 22a: Yellow solid, yield 68%, m.p. 64.8–66.5 °C; 1H-NMR (600 MHz, CDCl3) δ: 2.03 (s, 3H, piperazine-4’’-COCH3), 2.24 (t, J = 4.8 Hz, 2H, piperazine-2’’-H), 2.29 (t, J = 5.4 Hz, 2H, piperazine-6’’-H), 3.31 (t, J = 4.8 Hz, 2H, piperazine-3’’-H), 3.48 (t, 2H, J = 5.4 Hz, piperazine-5’’-H), 3.51 (s, 2H, Ar-2-CH2-), 3.85 (s, 3H, Ar-4’-OCH3), 3.95 (s, 3H, Ar-5’-OCH3), 7.07 (s, 1H, Ar-3’-H), 7.13 (s, 1H, Ar-6’-H), 7.29 (d, J = 8.4 Hz, 1H, Ar-3-H), 7.48 (d, J = 1.8 Hz,1H, Ar-6-H), 7.55 (dd, J = 1.8, 8.4 Hz, 1H, Ar-4-H); ESI-MS m/z (%) 539.21, 541.18, 543.14 ([M + H]+, 85, 50, 100).
Compound 23a: Yellow solid, yield 60%, m.p. 64.5–66.3 °C; 1H-NMR (600 MHz, CDCl3) δ: 2.44 (t, J = 4.8 Hz, 4H, piperazine-2’’,6’’-H), 3.30 (t, J = 4.8 Hz, piperazine-3’’,5’’-H), 3.56 (s, 2H, Ar-2-CH2-), 3.85 (s, 3H, Ar-4’-OCH3), 3.94 (s, 3H, Ar-5’-OCH3), 6.75 (d, J = 9.6 Hz, 2H, piperazine-Ar-2’’’,6’’’-H), 7.07 (s, 1H, Ar-3’-H), 7.15 (s, 1H, Ar-6’-H), 7.34 (d, J = 7.8 Hz, 1H, Ar-3-H), 7.50 (d, J = 1.8 Hz, 1H, Ar-6-H), 7.57 (dd, J = 1.8, 7.8 Hz, 1H, Ar-4-H), 8.10 (d, J = 9.0 Hz, 2H, piperazine-Ar-3’’’,5’’’-H); ESI-MS m/z (%) 618.23, 620.12, 622.02 ([M + H]+, 48, 100, 58).
Compound 24a: Yellow solid, yield 77%, m.p. 125.0–127.0 °C; 1H-NMR (600 MHz, CDCl3) δ: 2.02 (t, J = 8.4 Hz, 8H, piperazine-H), 2.21 (s, 3H, piperazine-4’’-CH3), 3.44 (s, 2H, Ar-2-CH2-), 3.86 (s, 3H, Ar-4’-OCH3), 3.95 (s, 3H, Ar-5’-OCH3), 7.06 (s, 1H, Ar-3’-H), 7.15 (s, 1H, Ar-6’-H), 7.28 (d, J = 8.4 Hz, 1H, Ar-3-H), 7.48 (s, 1H, Ar-6-H), 7.53 (d, J = 8.4 Hz, 1H, Ar-4-H); ESI-MS m/z (%) 511.12, 513.13, 515.00 ([M + H]+, 50, 100, 60).
Compound 25a: White solid, yield 71%, m.p. 70.0–71.5 °C; 1H-NMR (600 MHz, CDCl3) δ: 0.97 (d, J = 6.6 Hz, 6H, piperazine-4’’-CH3), 2.28 (s, 4H, piperazine-3’’,5’’-H), 2.37 (s, 4H, piperazine-2’’,6’’-H), 2.57 (m, 1H, piperazine-4’’-CH-), 3.42 (s, 2H, Ar-2-CH2-), 3.85 (s, 3H, Ar-4’-OCH3), 3.94 (s, 3H, Ar-5’-OCH3), 7.06 (s, 1H, Ar-3’-H), 7.15 (s, 1H, Ar-6’-H), 7.28 (d, J = 8.4 Hz, 1H, Ar-3-H), 7.48 (d, J = 1.8 Hz, 1H, Ar-6-H), 7.52 (dd, J = 1.8, 8.4 Hz, 1H, Ar-4-H); ESI-MS m/z (%) 539.02, 541.10, 543.26 ([M + H]+, 50, 100, 50).
Compound 26a: Yellow solid, yield 67%, m.p. 160.0–162.0 °C; 1H-NMR (600 MHz, CDCl3) δ: 2.26 (s, 8H, piperazine-H), 3.43 (s, 2H, Ar-2-CH2-), 3.81 (s, 3H, Ar-4’-OCH3), 3.93 (s, 3H, Ar-5’-OCH3), 4.15 (s, 1H, piperazine-4’’-CH-), 7.03 (s, 1H, Ar-3’-H), 7.11 (s, 1H, Ar-6’-H), 7.15 (t, J = 7.8 Hz, 2H, piperazine-CH-Ar-4’’’-H), 7.23 (t, J = 7.8 Hz, 4H, piperazine-CH-Ar-3’’’,5’’’-H), 7.27 (d, J = 7.8 Hz, 1H, Ar-3-H), 7.34 (d, J = 7.2 Hz, 4H, piperazine-CH-Ar-2’’’,6’’’-H), 7.45 (d, J = 1.8 Hz, 1H, Ar-6-H), 7.50 (dd, J = 1.8, 7.8 Hz, 1H, Ar-4-H); ESI-MS m/z (%) 663.26, 665.29, 667.10 ([M + H]+, 55, 100, 72).
Compound 27a: Yellow solid, yield 79%, m.p. 56.0–58.0 °C; 1H-NMR (600 MHz, CDCl3) δ: 1.78 (s, 1H, piperazine-4’’-OH), 2.02 (s, 8H, piperazine-H), 2.47 (t, J = 5.4 Hz, 2H, piperazine-4’’-CH2-), 3.45 (s, 2H, Ar-2-CH2-), 3.56 (t, J = 5.4 Hz, 2H, HO-CH2-), 3.85 (s, 3H, Ar-4’-OCH3), 3.95 (s, 3H, Ar-5’-OCH3), 5.52 (brs, 1H, -OH), 7.06 (s, 1H, Ar-3’-H), 7.14 (s, 1H, Ar-6’-H), 7.28 (d, J = 7.8 Hz, 1H, Ar-3-H), 7.48 (d, J = 1.8 Hz, 1H, Ar-6-H), 7.53 (dd, J = 1.8, 7.8 Hz, 1H, Ar-4-H); ESI-MS m/z (%) 541.15, 543.18, 545.03 ([M + H]+, 60, 100, 70).
Compound 28a: Yellow solid, yield 71%, m.p. 146.0–148.0 °C; 1H-NMR (600 MHz, CDCl3) δ: 2.34 (t, J = 4.8 Hz, 4H, piperazine-2’’,6’’-H), 3.52 (s, 2H, Ar-2-CH2-), 3.68 (t, J = 4.8 Hz, 4H, piperazine-3’’,5’’-H), 3.85 (s, 3H, Ar-4’-OCH3), 3.94 (s, 3H, Ar-5’-OCH3), 6.45 (t, J = 4.8 Hz, 1H, pyrimidine-5’’’-H), 7.07 (s, 1H, Ar-3’-H), 7.16 (s, 1H, Ar-6’-H), 7.34 (d, 1H, J = 8.4 Hz, Ar-3-H), 7.48 (d, J = 1.8 Hz, 1H, Ar-6-H), 7.55 (dd, J = 1.8, 8.4 Hz, 1H, Ar-4-H), 8.26 (d, J = 4.8 Hz, 2H, pyrimidine-4’’’,6’’’-H); ESI-MS m/z (%) 575.14, 577.12, 579.02 ([M + H]+, 48, 100, 58).
Compound 29a: Yellow solid, yield 65%, m.p. 115.2–116.1 °C; 1H-NMR (600 MHz, CDCl3) δ: 2.43 (t, J = 4.8 Hz, 4H, piperazine-2’’,6’’-H), 2.97 (t, J = 4.8 Hz, 4H, piperazine-3’’,5’’-H), 3.52 (s, 2H, Ar-2-CH2-), 3.84 (s, 3H, Ar-4’-OCH3), 3.94 (s, 3H, Ar-5’-OCH3), 6.80 (dd, J = 4.8, 9.0 Hz, 2H, Ar-2’’’,6’’’-H), 6.93 (t, J = 9.0 Hz, 2H, Ar-3’’’,5’’’-H), 7.05 (s, 1H, Ar-3’-H), 7.15 (s, 1H, Ar-6’-H), 7.33 (d, 1H, J = 8.4 Hz, Ar-3-H), 7.50 (d, J = 1.8 Hz, 1H, Ar-6-H), 7.55 (dd, J = 1.8, 8.4 Hz, 1H, Ar-4-H); ESI-MS m/z (%) 591.16, 593.16, 595.03 ([M + H]+, 48, 100, 58).
Compound 30a: Yellow solid, yield 70%, m.p. 46.2–48.0 °C; 1H-NMR (600 MHz, CDCl3) δ: 2.44 (t, J = 7.2 Hz, 4H, piperazine-2’’,6’’-H), 2.95 (t, J = 7.2 Hz, 4H, piperazine-3’’,5’’-H), 3.52 (s, 2H, Ar-2-CH2-), 3.84 (s, 3H, Ar-4’-OCH3), 3.94 (s, 3H, Ar-5’-OCH3), 6.84–7.03 (m, 4H, piperazine-Ar-H), 7.06 (s, 1H, Ar-3’-H), 7.16 (s, 1H, Ar-6’-H), 7.32 (d, 1H, J = 12.0 Hz, Ar-3-H), 7.50 (d, J = 3.0 Hz, 1H, Ar-6-H), 7.55 (dd, J = 3.0, 12.0 Hz, 1H, Ar-4-H); ESI-MS m/z (%) 591.20, 593.23, 595.10 ([M + H]+, 65, 100, 75).
Compound 31a: Yellow solid, yield 83%, m.p. 129.1–130.8 °C; 1H-NMR (600 MHz, CDCl3) δ: 2.42 (t, J = 7.2 Hz, 4H, piperazine-2’’,6’’-H), 2.94 (t, J = 7.2 Hz, piperazine-3’’,5’’-H), 3.51 (s, 2H, Ar-2-CH2-), 3.75 (s, 3H, piperazine-Ar-OCH3), 3.84 (s, 3H, Ar-4’-OCH3), 3.94 (s, 3H, Ar-5’-OCH3), 6.79–684 (m, 4H, piperazine-Ar-H), 7.05 (s, 1H, Ar-3’-H), 7.16 (s, 1H, Ar-6’-H), 7.30 (d, J = 12.0 Hz, 1H, Ar-3-H), 7.50 (d, J = 3.0 Hz, 1H, Ar-6-H), 7.55 (dd, J = 3.0, 12.0 Hz, 1H, Ar-4-H); ESI-MS m/z (%) 603.19, 605.19, 607.08 ([M + H]+, 48, 100, 58).
Compound 32a: Yellow solid, yield 85%, m.p. 150.3–152.0 °C; 1H-NMR (600 MHz, CDCl3) δ: 3.89 (s, 3H, Ar-4’-OCH3), 3.96 (s, 3H, Ar-5’-OCH3), 5.44 (s, 2H, Ar-2-CH2-), 6.90 (d, J = 12.6 Hz, 1H, imidazole-5’’-H), 6.93 (s, J = 12.6 Hz, H, imidazole-4’’-H), 6.94 (d, J = 12.0 Hz,1H, Ar-3-H), 7.06 (s, 1H, Ar-3’-H), 7.10 (s, 1H, Ar-6’-H)), 7.47 (d, J = 3.0 Hz, 1H, Ar-6-H), 7.57 (s, 1H, imidazole-2’’-H), 7.60 (dd, J = 3.0, 12.0 Hz, 1H, Ar-4-H); ESI-MS m/z (%) 479.03, 481.07, 482.86 ([M + H]+, 70, 100, 88).
Compound 33a: Yellow solid, yield 84%, m.p. 57.2–59.0 °C; 1H-NMR (600 MHz, CDCl3) δ: 2.44 (s, 3H, imidazole-2’’-CH3), 3.90 (s, 3H, Ar-4’-OCH3), 3.96 (s, 3H, Ar-5’-OCH3), 5.37 (s, 2H, Ar-2-CH2-), 6.59 (d, J = 8.4 Hz, 1H, imidazole-5’’-H), 6.86 (s,1H, Ar-3’-H), 6.98 (d, J = 7.8 Hz,1H, Ar-3-H), 7.00 (d, J = 7.8 Hz, 1H, imidazole-4’’-H), 7.07 (s, 1H, Ar-6’-H), 7.49 (d, J = 1.8 Hz, 1H, Ar-6-H), 7.57 (dd, J = 1.8, 8.4 Hz, 1H, Ar-4-H); ESI-MS m/z (%) 493.14, 495.17, 496.97 ([M + H]+, 75, 100, 95).
Compound 34a: Yellow solid, yield 81%, m.p. 49.5–50.0 °C; 1H-NMR (600 MHz, CDCl3) δ: 2.22 (s, 3H, imidazole-4’’-CH3), 3.88 (s, 3H, Ar-4’-OCH3), 3.96 (s, 3H, Ar-5’-OCH3), 5.35 (s, 2H, Ar-2-CH2-), 6.63 (s, 1H, imidazole-5’’-H), 6.89 (d, J = 12.0 Hz, 1H, Ar-3-H), 6.94 (s, 1H, Ar-3’-H), 7.06 (s, 1H, Ar-6’-H), 7.44 (s, 1H, imidazole-2’’-H), 7.47 (d, J = 10.8 Hz, 1H, Ar-6-H), 7.59 (d, J = 12.0 Hz, 1H, Ar-4-H); ESI-MS m/z (%) 493.12, 495.17, 496.93 ([M + H]+, 75, 100, 98).
Compound 35a: White solid, yield 85%, m.p. 167.0–168.5 °C; 1H-NMR (600 MHz, CDCl3) δ: 1.27 (t, J = 10.8 Hz, 3H, imidazole-2’’-C-CH3), 2.59 (q, J = 10.8 Hz, 2H, imidazole-2’’-CH2-), 3.91 (s, 3H, Ar-4’-OCH3), 3.97 (s, 3H, Ar-5’-OCH3), 5.38 (s, 2H, Ar-2-CH2-), 6.57 (d, J = 12.0 Hz, 1H, Ar-3-H), 6.85 (d, J = 1.8 Hz, 1H, imidazole-5’’-H), 7.00 (s, 1H, Ar-3’-H), 7.04 (d, J = 1.8 Hz, 1H, imidazole-4’’-H), 7.07 (s, 1H, Ar-6’-H), 7.49 (d, J = 3.0 Hz, 1H, Ar-6-H), 7.56 (dd, J = 3.0, 12.0 Hz, 1H, Ar-4-H); ESI-MS m/z (%) 507.07, 509.05, 510.97 ([M + H]+, 50, 100, 62).
Compound 36a: Yellow solid, yield 77%, m.p. 162.0–163.0 °C; 1H-NMR (600 MHz, CDCl3) δ: 1.25 (d, J = 6.6 Hz, 6H, imidazole-2’’-C-CH3), 2.89 (m, 1H, imidazole-2’’-CH-), 3.91 (s, 3H, Ar-4’-OCH3), 3.97 (s, 3H, Ar-5’-OCH3), 5.41 (s, 2H, Ar-2-CH2-), 6.57 (d, J = 8.4 Hz, 1H, Ar-3-H), 6.81 (d, 1H, J = 1.2 Hz, imidazole-5’’-H), 7.00 (s, 1H, Ar-3’-H), 7.06 (d, J = 1.2 Hz, 1H, imidazole-4’’-H), 7.07 (s, 1H, Ar-6’-H), 7.49 (d, J = 1.2 Hz, 1H, Ar-6-H), 7.56 (dd, J = 1.8, 8.4 Hz, 1H, Ar-4-H); ESI-MS m/z (%) 521.17, 523.05, 525.04 ([M + H]+, 85, 98, 100).
Compound 37a: Yellow solid, yield 72%, m.p. 32.8–34.5 °C; 1H-NMR (600 MHz, CDCl3) δ: 1.24 (s, 3H, imidazole-2’’-C-CH3), 2.23 (s, 3H, imidazole-4’’-CH3), 2.58 (q, 2H, imidazole-2’’-CH2-), 3.90 (s, 3H, Ar-4’-OCH3), 3.97 (s, 3H, Ar-5’-OCH3), 5.30 (s, 2H, Ar-2-CH2-), 6.54 (s, 1H, imidazole-5’’-H), 6.63 (d, J = 8.4 Hz, 1H, Ar-3-H), 6.99 (s, 1H, Ar-3’-H), 7.07 (s, 1H, Ar-6’-H), 7.48 (d, J = 1.8 Hz, 1H, Ar-6-H), 7.57 (dd, J = 1.8, 8.4 Hz, 1H, Ar-4-H); ESI-MS m/z (%) 521.18, 523.22, 525.06 ([M + H]+, 80, 100, 95).
Compound 38a: White solid, yield 70%, m.p. 183.0–185.0 °C; 1H-NMR (600 MHz, CDCl3) δ: 3.89 (s, 3H, Ar-4’-OCH3), 3.95 (s, 3H, Ar-5’-OCH3), 5.54 (s, 2H, Ar-2-CH2-), 6.73 (d, J = 8.4 Hz, 1H, Ar-3-H), 6.96 (s, 1H, Ar-3’-H), 7.02 (s, 1H, Ar-6’-H), 7.03 (s, 1H, imidazole-4’’-H), 7.24 (s, 1H, imidazole-5’’-H), 7.35–7.36 (m, 3H, imidazole-2’’-Ph-H), 7.48 (d, J = 1.8 Hz, 1H, Ar-6-H), 7.49–7.50 (m, 2H, imidazole-2’’-Ph-H), 7.59 (dd, J = 1.8, 8.4 Hz, 1H, Ar-4-H); 555.14, 557.17, 558.99 ([M + H]+, 52, 100, 48).
Compound 39a: White solid, yield 79%, m.p. 164.2–165.1 °C; 1H-NMR (600 MHz, CDCl3) δ: 2.20 (s, 3H, imidazole-4’’-CH3), 2.26 (s, 3H, imidazole-2’’-CH3), 3.90 (s, 3H, Ar-4’-OCH3), 3.97 (s, 3H, Ar-5’-OCH3), 5.29 (s, 2H, Ar-2-CH2-), 6.55 (s, imidazole-5’’-H), 6.64 (d, J = 12.6 Hz, 1H, Ar-3-H), 7.01 (s, 1H, Ar-3’-H), 7.07 (s, 1H, Ar-6’-H), 7.48 (d, J = 3.0 Hz, 1H, Ar-6-H), 7.58 (dd, J = 3.0, 12.6 Hz, 1H, Ar-4-H); ESI-MS m/z (%) 507.22, 509.25, 511.10 ([M + H]+, 68, 100, 78).
Compound 40a: Yellow solid, yield 63%, m.p. 130.0–132.0 °C; 1H-NMR (600 MHz, CDCl3) δ: 3.78 (s, 3H, Ar-4’-OCH3), 3.95 (s, 3H, Ar-5’-OCH3), 5.68 (s, 2H, Ar-2-CH2-), 6.83 (s, 1H, Ar-3’-H), 6.89 (d, J = 12.6 Hz, 1H, Ar-3-H), 7.05 (s, 1H, Ar-6’-H), 7.23–7.24 (m, 2H, imidazole-Ar-H), 7.29–7.30 (m, 1H, imidazole-Ar-H), 7.49 (d, J = 3.0 Hz, 1H, Ar-6-H), 7.55 (dd, J = 3.0, 12.0 Hz, 1H, imidazole-Ar-H), 7.83 (d, J = 12.6 Hz, 1H, Ar-4-H ), 7.97 (s, 1H, imidazole-2’’-H); ESI-MS m/z (%) 529.16, 531.20, 533.04 ([M + H]+, 68, 100, 80).
3.1.3. General Procedure for the Synthesis of Target Compounds 5b–40b
BBr3 solution (BBr3/CH2Cl2, v/v, 1/9) 1.5 mL was dropwise added to a cooled (−78 °C) solution of 0.259 g (0.52 mmol) compound 5a in 5 mL dried CH2Cl2. The mixture was allowed to warm to room temperature and stirred for 2 h, and poured into 30 mL ice-water. The precipitate was filtered, washed with a little distilled water and dried CH2Cl2, respectively, and dried in a vacuum drying oven to obtain 0.183 g yellow solid compound 5b in 75% yield. The total yield of target compound 5b was 18.8%.
Target compounds 6b–40b were obtained from 6a to 40a in a similar manner as for the preparation of 5b in 38–85% yield, the total yields of which were 7.7–23%。
Compound 5b: Yellow solid, final yield 18.8 %, m.p. 148.0–150.0 °C; 1H-NMR (600 MHz, DMSO-d6) δ: 1.73–1.82 (m, 6H, piperidine-3’’,4’’,5’’-H), 3.08 (t, J = 10.2 Hz 2H, piperidine-2’’-H), 3.43 (t, J = 12 Hz, 2H, piperidine-6’’-H), 4.37 (s, 2H, Ar-2-CH2-), 6.95 (s, 1H, Ar-6’-H), 7.08 (s, 1H, Ar-3’-H), 7.58 (s, 1H, Ar-6-H), 7.77 (d, J = 7.8 Hz, 1H, Ar-3-H), 7.98 (d, J = 8.4 Hz, 1H, Ar-4-H), 9.73 (brs, 1H, Ar-4’-OH), 10.41 (brs, 1H, Ar-5’-OH); 13C-NMR (150 MHz, DMSO-d6) δ: 21.6 × 2, 22.7 × 2, 53.1 × 2, 56.9, 110.7, 119.7, 120.9, 123.1, 129.0, 129.7, 133.8, 135.4, 135.6, 141.4, 145.3, 151.0, 194.9; ESI-MS m/z (%): 468.11, 470.13, 471.96 ([M + H]+, 78, 100, 98).
Compound 6b: Yellow solid, final yield 17.3%, m.p. 172.5–174.3 °C; 1H-NMR (600 MHz, DMSO-d6) δ: 1.48 (d, J = 6.0 Hz, 3H, piperidine-2’’-CH3), 1.69–1.92 (m, 6H, piperidine-3’’,4’’,5’’-H), 2.90–2.96 (m, 1H, piperidine-2’’-H), 3.12 (t, J = 4.8 Hz, 2H, piperidine-6’’-H), 4.83 (s, 1H, Ar-2-CH2-), 6.95 (s, 1H, Ar-6’-H), 7.08 (s, 1H, Ar-3’-H), 7.61 (d, J = 23.4 Hz, 1H, Ar-6-H), 7.79 (d, J = 8.4 Hz, 1H, Ar-3-H), 7.97 (d, J = 8.4 Hz, 1H, Ar-4-H), 9.72 (brs, 1H, Ar-4’-OH), 10.40 (brs, 1H, Ar-5’-OH); 13C-NMR (150 MHz, DMSO-d6) δ: 18.1, 22.4, 28.0, 30.9, 51.3, 57.6, 61.6, 110.8, 119.8, 121.0, 123.0, 128.9, 129.9, 133.8, 135.4, 135.9, 141.5, 145.2, 151.0, 194.8; ESI-MS m/z (%): 482.16, 484.19, 486.05 ([M + H]+, 82, 80, 100).
Compound 7b: Yellow solid, final yield 16.5%, m.p. 174.0–175.3 °C; 1H-NMR (600 MHz, DMSO-d6) δ: 0.88 (d, J = 6.6 Hz, 3H, piperidine-3’’-CH3), 1.06–1.13 (m, 1H, piperidine-3’’-H), 1.71–1.84 (m, 4H, piperidine-4’’,5’’-H), 2.66–2.71 (m, 2H, piperidine-2’’-H), 3.32–3.45 (m, 2H, piperidine-6’’-H), 4.38 (s, 2H, Ar-2-CH2), 6.96 (s, 1H, Ar-6’-H), 7.08 (s, 1H, Ar-3’-H), 7.58 (s, 1H, Ar-6-H), 7.80 (d, J = 8.4 Hz, 1H, Ar-3-H), 7.98 (d, J = 8.4 Hz, 1H, Ar-4-H), 9.71 (brs, 1H, Ar-4’-OH), 10.40 (brs, 1H, Ar-5’-OH); 13 C-NMR (150 MHz, DMSO-d6) δ: 19.0, 22.8, 29.1, 30.2, 52.7, 57.3, 58.4, 110.7, 119.8, 121.0, 123.2, 128.9, 129.5, 133.7, 135.4, 135.7, 141.5, 145.3, 151.0, 194.8; ESI-MS m/z (%): 482.15, 484.16, 485.98 ([M + H]+, 80, 95, 100).
Compound 8b: Yellow solid, final yield 15.9%, m.p. 103.3–105.0 °C; 1H-NMR (600 MHz, DMSO-d6) δ: 0.92 (d, J = 9.6 Hz, 3H, piperidine-4’’-CH3), 1.01–1.03 (m, 1H, piperidine-4’’-H), 1.38–1.47 (m, 2H, piperidine-3’’-H), 1.78–1.81 (m, 2H, piperidine-5’’-H), 3.09 (t, J = 18.6 Hz, 2H, piperidine-2’’-H), 3.44 (t, J = 16.2 Hz, 2H, piperidine-6’’-H), 4.37 (s, 2H, Ar-2-CH2-), 6.95 (s, 1H, Ar-6’-H), 7.08 (s, 1H, Ar-3’-H), 7.58 (d, J = 3.0 Hz, 1H, Ar-6-H), 7.79 (d, J = 12.0 Hz, 1H, Ar-3-H), 7.97 (dd, J = 12 Hz, 3.0 Hz, 1H, Ar-4-H), 9.75 (brs, 1H, Ar-4’-OH), 10.42 (brs, 1H, Ar-5’-OH); 13C-NMR (150 MHz, DMSO-d6) 21.5, 28.4, 31.2 × 2, 53.0 × 2, 57.2, 110.8, 113.8, 119.7, 120.9, 123.1, 129.8, 133.8, 135.6, 141.5, 145.3, 151.0, 156.3, 195.7; ESI-MS m/z (%): 481.99, 484.02, 485.92 ([M + H]+, 50, 100, 58).
Compound 9b: Yellow solid, final yield 15.3%, m.p. 173.0–175.3 °C; 1H-NMR (600 MHz, DMSO-d6) δ: 0.88 (d, J = 6.6 Hz, 6H, piperidine-3’’,5’’-CH3), 1.74 (t, J = 12.6 Hz, 2H, piperidine-4’’-H), 1.93–1.94 (m, 2H, piperidine-3’’,5’’-H), 2.59–2.65 (m, 2H, piperidine-2’’-H), 3.29–3.37 (m, 2H, piperidine-6’’-H), 4.37 (s, 2H, Ar-2-CH2-), 6.97 (s, 1H, Ar-3’-H), 7.08 (s, 1H, Ar-6’-H), 7.59 (s, 1H, Ar-6-H), 7.81 (d, J = 8.4 Hz, 1H, Ar-3-H), 7.98 (d, J = 8.4 Hz, 1H, Ar-4-H), 9.71 (brs, 1H, Ar-4’-OH), 10.41 (brs, 1H, Ar-5’-OH); 13C-NMR (150 MHz, DMSO-d6) 18.3 × 2, 28.3, 38.4 × 2, 56.7 × 2, 57.4, 110.3, 119.3, 120.5, 122.7, 128.3, 128.9, 133.2, 134.9, 135.4, 141.1, 144.7, 150.5, 194,3; ESI-MS m/z (%) 496.17, 498.42, 500.07 ([M + H]+, 82, 78, 100).
Compound 10b: Yellow solid, final yield 12.3%, m.p. 158.3–159.5 °C; 1H-NMR (600 MHz, DMSO-d6) δ: 1.79–2.12 (m, 5H, piperidine-3’’,4’’,5’’-H,), 3.14 (t, J = 12.6 Hz, 2H, piperdine-2’’-H), 3.50 (t, 2H, J = 12.0 Hz, 2H, piperidine-6’’-H), 4.38 (s, 2H, Ar-2-CH2-), 6.95 (s, 1H, Ar-3’-H), 7.08 (s, 1H, Ar-6’-H), 7.58 (s, 1H, Ar-6-H), 7.78 (d, J = 8.4 Hz, 1H, Ar-3-H), 7.98 (d, J = 7.8 Hz, 1H, Ar-4-H), 9.72 (s, 1H, Ar-4’-OH), 10.40 (s, 1H, Ar-5’-OH), 12.57 (s, 1H, piperidine-4’’-COOH); 13C-NMR (150 MHz, DMSO-d6) 25.7, 38.1 × 2, 52.1 × 2, 57.1, 110.7, 120.0, 120.9, 123.2, 129.0, 129.6, 133.8, 135.4, 135.6, 141.3, 145.3, 151.0, 175.0, 194.8; ESI-MS m/z (%) 512.08, 514.12, 515.93 ([M + H]+, 65, 100, 75).
Compound 11b: Yellow solid, final yield 15.7%, m.p. 180.0–181.3 °C; FT-IR (ATR) υ (cm−1): 3191, 2979, 2878, 1716, 1652, 1586, 1401, 1287, 1188, 1012, 796, 639; 1H-NMR (600 MHz, DMSO-d6) δ: 1.20 (t, J = 10.8 Hz, 3H, piperidine-3’’-COOCH2-CH3), 1.50–2.04 (m, 4H, piperidine-5’’,6’’-H), 3.07–3.60 (m, 5H, piperidine-2’’,3’’,4’’-H), 4.10 (q, 2H, piperidine-3’’-COOCH2-), 4.45 (s, 2H, Ar-2-CH2-), 6.96 (s, 1H, Ar-3’-H), 7.08 (s, 1H, Ar-6’-H), 7.59 (d, J = 3.0 Hz, 1H, Ar-6-H), 7.81 (d, J = 12.0 Hz, 1H, Ar-3-H), 7.98 (d, J = 12.0 Hz, 1H, Ar-4-H), 9.74 (brs, 1H, Ar-4’-OH), 10.43 (brs, 1H, Ar-5’-OH); 13C-NMR (150 MHz, DMSO-d6) 14.4, 22.2, 25.1, 52.6, 55.4, 57.7, 61.2, 61.5, 110.8, 113.8, 119.7, 120.9, 123.3, 129.0, 133.8, 135.7, 141.5, 145.3, 151.0, 156.3, 171.4, 194.8; ESI-MS m/z (%) 539.96, 541.95, 543.78 ([M + H]+, 52, 100, 70); HR-MS (ESI) calcd for C22H23Br2NO5 [M − H]−: 539.9840; found: 539.9835.
Compound 12b: Yellow solid, final yield 19.0%, m.p. 184.0–186.0 °C; FT-IR (ATR) υ (cm−1): 3191, 2960, 2764, 1649, 1586, 1411, 1286, 1191, 1152, 1010, 796, 638; 1H-NMR (600 MHz, DMSO-d6) δ: 1.75–1.99 (m, 4H, piperidine-3’’,5’’-H), 3.12-3.45 (m, 4H, piperidine-2’’,6’’-H), 3.94 (s, 1H, piperidine-4’’-OH), 3.67–3.72 (m, 1H, piperidine-4’’-H), 4.39 (s, 2H, Ar-2-CH2-), 6.96 (s, 1H, Ar-3’-H), 7.09 (s, 1H, Ar-6’-H), 7.58 (d, J = 3.0 Hz, 1H, Ar-6-H), 7.84 (d, J = 12.0 Hz, 1H, Ar-3-H), 7.98 (d, J = 12.6 Hz, 1H, Ar-4-H), 9.78 (s, 1H, Ar-4’-OH), 10.37 (s, 1H, Ar-5’-OH); 13C-NMR (150 MHz, DMSO-d6) 29.8 × 2, 48.1 × 2, 59.9, 64.2, 110.6, 119.6, 120.9, 123.2, 129.1, 129.7, 133.9, 135.5, 135.8, 141.4, 145.3, 150.9, 195.0; ESI-MS m/z (%) 483.74, 485.71, 487.62 ([M + H]+, 48, 100, 58); HR-MS (ESI) calcd for C19H19Br2NO4 [M + H]+: 485.9730; found: 485.9692.
Compound 13b: Yellow solid, final yield 15.3%, m.p. 98.0–99.5 °C; FT-IR (ATR) υ (cm−1): 3191, 2975, 2941, 1655, 1586, 1409, 1279, 1191, 1118, 1009, 805, 637; 1H-NMR (600 MHz, DMSO-d6) δ: 1.20 (d, J = 9.0 Hz, 6H, piperidine-2’’,6’’-CH3), 3.40–3.50 (m, 6H, piperidine-3’’,4’’,5’’-H), 4.63–4.67 (m, 2H, piperidine-2’’,6’’-H), 5.76 (s, 2H, Ar-2-CH2-), 6.98 (s, 1H, Ar-3’-H), 7.10 (s, 1H, Ar-6’-H), 7.58 (d, J = 2.4 Hz, 1H, Ar-3-H), 7.79 (d, J = 5.4 Hz, 1H, Ar-6-H), 7.98 (d, J = 3.0 Hz, 1H, Ar-4-H), 9.75 (brs, 1H, Ar-4’-OH), 10.48 (brs, 1H, Ar-5’-OH); 13C-NMR (150 MHz, DMSO-d6) 18.4, 19.5 × 2, 30.1 × 2, 52.8 × 2, 55.4, 110.8, 119.8, 121.1, 122.2, 128.9, 132.7, 133.7, 134.3, 135.3, 139.4, 145.1, 151.0, 195.1; ESI-MS m/z (%) 494.20, 496.18, 498.15 ([M − H]−, 50, 100, 50); HR-MS (ESI) calcd for C21H23Br2NO3 [M − H]−: 495.9940, found: 495.9961.
Compound 14b: Yellow solid, final yield 5.3%, m.p. 176.0–177.3 °C; FT-IR (ATR) υ (cm−1): 2951, 2921, 2850, 1654, 1606, 1442, 1394, 1283, 1048, 999, 864, 686; 1H-NMR (600 MHz, DMSO-d6) δ: 0.87 (s, 12H, piperidine-2’’,6’’-CH3), 1.23–1.29 (m, 6H, piperidine-3’’,4’’,5’’-H), 3.77 (s, 2H, Ar-2-CH2-), 6.67 (s, 1H, Ar-3’-H), 6.92 (s, 1H, Ar-6’-H), 7.34 (d, J = 3.0 Hz, 1H, Ar-6-H), 7.69 (d, J = 12.6 Hz, 1H, Ar-3-H), 7.95 (d, J = 12.6 Hz, 1H, Ar-4-H), 9.74 (brs, 1H, Ar-4’-OH), 10.38 (brs, 1H, Ar-5’-OH); 13C-NMR (150 MHz, DMSO-d6) 17.8, 41.2 × 4, 45.5 × 2, 54.8 × 2, 54.9, 109.7, 110.3, 113.5, 118.5, 125.0, 129.6, 131.3, 131.4, 133.7, 139.2, 144.9, 155.8, 196.5; ESI-MS m/z (%) 523.98, 525.96, 527.82 ([M + H]+, 48, 100, 58); HR-MS (ESI) calcd for C25H31Br2NO4-H: 524.026, found: 524.0268.
Compound 15b: Yellow solid, final yield 12.7%, m.p. 122.5–124.0 °C; 1H-NMR (600 MHz, DMSO-d6) δ: 1.52–1.90 (m, 6H, piperidine-3’’, 4’’, 5’’-H), 3.03–3.13 (m, 2H, piperidine-6’’-H), 3.34 (s, 1H, piperidine-2’’-H), 3.74–3.92 (m, 2H, piperidine-2’’-CH2-), 4.37 (s, 2H, Ar-2-CH2-), 6.96 (s, 1H, Ar-3’-H), 7.08 (s, 1H, Ar-6’-H), 7.56 (s, 1H, Ar-6-H), 7.78 (d, J = 12.6 Hz, 1H, Ar-3-H), 7.99 (d, J = 12 Hz, 1H, Ar-4-H), 9.78 (brs, 1H, Ar-4’-OH), 10.46 (brs, 1H, Ar-5’-OH); 13C-NMR (150 MHz, DMSO-d6) 20.8, 21.7, 25.4, 50.7, 53.3, 55.4, 59.6, 111.0, 119.9, 121.0, 123.1, 128.8, 129.8, 133.8, 135.4, 135.9, 141.7, 145.2, 151.1, 195.2; ESI-MS m/z (%) 497.74, 499.67, 501.64 ([M + H]+, 75, 100, 70).
Compound 16b: Yellow solid, final yield 16.2%, m.p. 50.0–51.0 °C; FT-IR (ATR) υ (cm−1): 3360, 2920, 2851, 1631, 1588, 1500, 1362, 1289, 1237, 1153, 1012, 878, 798; 1H-NMR (600 MHz, DMSO-d6) δ: 1.04–1.46 (m, 7H, piperidine-3’’,4’’,5’’-H, piperidine-4’’-CH2), 3.03–3.45 (m, 6H, piperidine-2’’,6’’-H, HO-CH2-), 4.37 (s, 2H, Ar-2-CH2-), 6.96 (s, 1H, Ar-3’-H), 7.08 (s, 1H, Ar-6’-H), 7.57 (d, J = 3.0 Hz, 1H, Ar-6-H), 7.81 (d, J = 12.6 Hz, 1H, Ar-3-H), 7.98 (dd, J = 3.0, 12.6 Hz, 1H, Ar-4-H), 9.74 (brs, 1H, Ar-4’-OH), 10.41 (brs, 1H, Ar-5’-OH); 13C-NMR (150 MHz, DMSO-d6) 29.3, 30.2 × 2, 38.8 × 2, 53.1, 57.1, 58.4, 110.7, 119.7, 120.9, 123.1, 129.0, 129.7, 133.7, 135.4, 135.6, 141.5, 145.3, 150.9, 194.8; ESI-MS m/z (%) 511.96, 513.95, 515.79 ([M + H]+, 55, 100, 70).
Compound 17b: White solid, fianl yield 13.5%, m.p. 113.0–115.0 °C; 1H-NMR (600 MHz, DMSO-d6) δ: 1.42–1.85 (m, 5H, piperidine-3’’,4’’,5’’-H), 3.04–3.13 (m, 2H, piperidine-2’’-H), 3.28 (d, J = 8.4 Hz, 2H, HO-CH2-), 3.42–3.57 (m, 2H, piperidine-6’’-H), 4.39 (s, 2H, Ar-2-CH2-), 5.76 (s, 1H, -OH), 6.96 (d, J = 5.4 Hz, 1H, Ar-3’-H), 7.08 (s, 1H, Ar-6’-H), 7.57 (s, 1H, Ar-6-H), 7.78 (dd, J = 3.6, 12.6 Hz, 1H, Ar-3-H), 7.98 (d, J = 12.6 Hz, 1H, Ar-4-H), 9.75 (brs, 1H, Ar-4’-OH), 10.42 (brs, 1H, Ar-5’-OH); 13C-NMR (150 MHz, DMSO-d6) 26.2 × 2, 36.1, 52.8×2, 57.2, 65.2, 110.8, 119.7, 120.9, 123.1, 129.0, 129.7, 133.8, 135.4, 135.5, 141.5, 145.2, 151.0, 194.8; ESI-MS m/z (%) 497.91, 499.94, 501.79 ([M + H]+, 60, 100, 75).
Compound 18b: White solid, final yield 10.0%, m.p. 183.0–185.0 °C; 1H-NMR (400 MHz, DMSO-d6) δ: 3.34 (s, 8H, piperazine-2’’,3’’,5’’,6’’-H), 4.29 (s, 4H, Ar-2-CH2-), 6.96 (s, 2H, Ar-3’-H), 7.09 (s, 2H, Ar-6’-H), 7.57 (s, 2H, Ar-6-H), 7.76 (d, J = 9.6 Hz, 2H, Ar-3-H), 7.94 (d, J = 9.0 Hz, 2H, Ar-4-H), 9.90 (brs, 4H, Ar-4’-OH, Ar-5’-OH); 13 C-NMR (150 MHz, DMSO-d6) 49.6 × 4, 57.1 × 2, 110.7 × 2, 119.7 × 2, 121.0 × 2, 122.9 × 2, 126.3 × 2, 128.7 × 2, 133.5 × 2, 135.1 × 2, 141.5 × 2, 145.2 × 2, 150.9 × 2, 156.2 × 2, 194.7 × 2; ESI-MS m/z (%) 850.69, 852.83, 854.92 ([M + H]+, 52, 100, 48).
Compound 19b: Yellow solid, final yield 18.4%, m.p. 195.8–197.5 °C; 1H-NMR (600 MHz, DMSO-d6) δ: 1.20–1.28 (m, 5H, piperazine-CH2CH3), 3.16 (m, 4H, piperazine- 3’’,5’’-H), 3.53 (m, 4H, piperazine-2’’,6’’-H), 3.88 (s, 2H, Ar-2-CH2-), 6.95 (s, 1H, Ar-3’-H), 7.06 (s, 1H, Ar-6’-H), 7.09 (s, 1H, Ar-3-H), 7.14 (s, 1H, Ar-4-H), 7.23 (s, 1H, Ar-6-H), 9.02 (brs, 1H, Ar-4’-OH), 9.67 (brs, 1H, Ar-5’-OH); 13 C-NMR (150 MHz, DMSO-d6) 9.3, 25.7, 31.7 × 2, 50.5 × 2, 52.3, 110.7, 116.9, 119.8, 121.2, 128.5, 132.9, 134.8, 141.6, 145.1, 148.5, 150.8, 152.5, 194.5; ESI-MS m/z (%) 497.11, 499.11, 500.96 ([M + H]+, 48, 100, 55).
Compound 20b: Yellow solid, fianl yield 18.1%, m.p. 219.5–220.8 °C; 1H-NMR (600 MHz, DMSO-d6) δ: 3.15 (s, 2H, piperazine-2’’-H), 3.35 (s, 2H, piperazine-6’’-H), 3.54 (s, 2H, piperazine-3’’-H), 3.84 (s, 2H, piperazine-5’’-H), 4.51 (s, 2H, Ar-2-CH2-), 6.87-7.01 (m, 5H, piperazine-C6H5), 7.27 (s, 2H, Ar-3’,6’-H), 7.60 (s, 1H, Ar-3-H), 7.83 (s, 1H, Ar-4-H), 8.00 (s, 1H, Ar-6-H), 9.78 (brs, 1H, Ar-4’-OH), 10.38 (brs, 1H, Ar-5’-H); 13C-NMR (150 MHz, DMSO-d6) 45.5 × 2, 51.5 × 2, 56.9, 110.7, 111.7, 118.4 × 2, 119.7, 120.9, 123.3, 129.0, 129.6, 132.2 × 2, 133.9, 135.5, 135.7, 141.4, 145.3, 149.1, 151.0, 195.0; ESI-MS m/z (%) 545.11, 547.15, 548.96 ([M + H]+, 60, 100, 80).
Compound 21b: White solid, fianl yield 15.9%, m.p. 156.0–157.8 °C; FT-IR (ATR) υ (cm−1): 3189, 2636, 2251, 2261, 1654, 1588, 1500, 1411, 1191, 1014, 752, 637; 1H-NMR (600 MHz, DMSO-d6) δ: 3.02–3.53 (m, 8H, piperazine-2’’,3’’,5’’,6’’-H), 3.80 (s, 3H, Ar-OCH3), 4.50 (s, 2H, Ar-2-CH2-), 6.92–7.04 (m, 5H, piperazine-C6H4-, Ar-3’-H), 7.09 (s, 1H, Ar-6’-H), 7.60 (s, 1H, Ar-6-H), 7.82 (d, J = 12 Hz, 1H, Ar-6-H), 8.01 (d, J = 12.6 Hz, 1H, Ar-4-H), 9.29 (brs, 2H, Ar-4’-OH, Ar-5’-OH); 13C-NMR (150 MHz, DMSO-d6) 47.3, 52.2 × 2, 52.3 × 2, 56.0, 110.7, 112.5, 115.5, 118.9, 119.7, 120.9, 121.4, 123.3, 124.1, 129.0, 129.4, 133.9, 135.5, 135.9, 141.1, 145.3, 150.9, 152.3, 195.0; ESI-MS m/z (%) 560.71, 562.71, 564.86 ([M + H]+, 45, 100, 55); HR-MS (ESI) calcd for C25H24Br2N2O4 [M − H]−: 575.0000, found: 575.0241.
Compound 22b: Yellow solid, fianl yield 14.2%, m.p. 208.0–209.0 °C; FT-IR (ATR) υ (cm−1): 3193, 2770, 2708, 2262, 1649, 1587, 1410, 1280, 1191, 1151, 1010, 796, 638; 1H-NMR (600 MHz, DMSO-d6) δ: 2.05 (s, 3H, piperazine-CO-CH3), 3.08–3.50 (m, 8H, piperazine-2’’,3’’, 5’’,6’’-H,), 4.48 (s, 2H, Ar-2-CH2-), 6.99 (s, 1H, Ar-3’-H), 7.10 (s, 1H, Ar-6’-H), 7.58 (d, J = 3.6 Hz, 1H, Ar-6-H), 7.86 (d, J = 12.6 Hz, 1H, Ar-3-H), 8.00 (dd, J = 3.0, 12.6 Hz, 1H, Ar-4-H), 9.08 (brs, 1H, Ar-4’-OH), 9.62 (brs, 1H, Ar-5’-OH); 13C-NMR (150 MHz, DMSO-d6) 21.4, 42.9 × 2, 52.0 × 2, 56.9, 110.8, 119.7, 120.9, 123.3, 129.0, 129.3, 133.9, 135.5, 135.7, 141.4, 145.3, 151.0, 169.1, 194.9; ESI-MS m/z (%) 510.72, 512.69, 514.70 ([M + H]+, 48, 100, 52); HR-MS (ESI) calcd for C20H20Br2N2O4 [M − H]−: 510.969, found: 510.9676.
Compound 23b: Yellow solid, final yield 8.3%, m.p. 64.5–66.3 °C; 1H-NMR (600 MHz, DMSO-d6) δ: 3.35–3.88 (m, 8H, piperazine-2’’,3’’,5’’,6’’-H), 4.49 (s, 2H, Ar-2-CH2-), 6.96 (s, 1H, Ar-3’-H), 7.07–8.20 (m, 8H, piperazine-C6H4-, Ar-6’,3,4,6-H), 9.75 (brs, 1H, Ar-4’-OH), 10.43 (brs, 1H, Ar-5’-OH); 13C-NMR (150 MHz, DMSO-d6) 19.0 × 2, 51.5 × 2, 56.5, 110.8 × 2, 112.9 × 2, 113.9, 119.8, 120.9, 123.4, 126.2, 129.0, 129.4, 132.2, 133.9, 135.6, 135.7, 141.5, 145.2, 150.9, 195.0; ESI-MS m/z (%) 590.19, 591.91, 593.79 ([M + H]+, 70, 100, 50).
Compound 24b: Yellow solid, final yield 16.1%, m.p. 217.0–218.5 °C; FT-IR (ATR) υ (cm−1): 3363, 3010, 2699, 1633, 1585, 1500, 1411, 1365, 1298, 1119, 1031, 798, 639;1H-NMR (600 MHz, DMSO-d6) δ: 2.86 (s, 3H, piperazine-4’’-CH3), 3.64–3.77 (m, 8H, piperazine-2’’,3’’, 5’’,6’’-H), 4.60 (s, 2H, Ar-2-CH2-), 6.97 (s, 1H, Ar-3’-H), 7.10 (s, 1H, Ar-6’-H), 7.55 (s, 1H, Ar-6-H), 7.91 (d, J = 9.0 Hz,1H, Ar-3-H), 7.98 (d, J = 10.2 Hz, 1H, Ar-4-H), 10.06 (brs, 2H, Ar-4’-OH, Ar-5’-OH); 13C-NMR (150 MHz, DMSO-d6) 19.0, 42.5, 49.1 × 2, 56.5 × 2, 110.6, 119.8, 121.1, 122.3, 128.5, 132.5, 132.8, 134.5, 141.7, 145.2, 150.8, 158.3, 194.4; ESI-MS m/z (%) 482.75, 484.62, 486.57 ([M + H]+, 50, 100, 40); HR-MS (ESI) calcd for C19H20Br2N2O3 [M + H]+: 484.9894, found: 484.9927.
Compound 25b: Yellow solid, fianl yield 14.4%, m.p. 208.0–210.0 °C; FT-IR (ATR) υ (cm−1): 3479, 3194, 3006, 2622, 2519, 2260, 1657, 1604, 1406, 1284, 1190, 1013, 798, 639; 1H-NMR (600 MHz, DMSO-d6) δ: 1.27 (d, J = 9.6 Hz, 6H, piperazine-4’’-CH3), 3.18–3.58 (m, 9H, piperazine-2’’,3’’,5’’,6’’-H, piperazine-CHMe2), 4.17 (s, 2H, Ar-2-CH2-), 6.97 (s, 1H, Ar-3’-H), 7.10 (s, 1H, Ar-6’-H), 7.56 (s, 1H, Ar-6-H), 7.75 (d, J = 12.0 Hz, 1H, Ar-3-H), 7.91 (d, J = 10.2 Hz, 1H, Ar-4-H), 10.00 (brs, 2H, Ar-4’-OH, Ar-5’-OH); 13C-NMR (150 MHz, DMSO-d6) 16.7×2, 45.9, 49.2×2, 56.7, 57.8 × 2, 110.7, 120.0, 121.2, 122.7, 126.0, 128.4, 130.7, 132.9, 134.7, 141.6, 145.1, 150.9, 194.5; ESI-MS m/z (%) 510.70, 512.77, 514.75 ([M + H]+, 55, 100, 57); HR-MS (ESI) calcd for C21H24Br2N2O3 [M + H]+: 513.0210, found: 513.0218.
Compound 26b: White solid, final yield 13.9%, m.p. 160.0–162.0 °C; FT-IR (ATR) υ (cm−1): 3194, 2798, 2524, 2361, 1652, 1588, 1412, 1292, 1192, 1015, 883, 639;1H-NMR (600 MHz, DMSO-d6) δ: 3.12–3.44 (m, 9H, piperazine-2’’,3’’,5’’,6’’-H, Ph2CH-), 4.39 (s, 2H, Ar-2-CH2-), 6.95 (s, 1H, Ar-3’-H), 7.09 (s, 1H, Ar-6’-H), 7.33–7.74 (m, 12H, Ar-H, Ar-4’’’-H), 7.92 (d, J = 10.2 Hz, 1H, Ar-4-H), 9.00 (brs, 2H, Ar-4’-OH, Ar-5’-OH); 13 C-NMR (150 MHz, DMSO-d6) 40.5 × 2, 48.9 × 2, 56.5, 73.6, 110.6, 112.8, 119.6, 120.9 × 2, 126.7, 127.2, 128.5 × 4, 128.9, 129.6 × 4, 130.0, 133.2, 133.7, 135.2×2, 141.3, 145.2, 150.8, 194.8; ESI-MS m/z (%) 634.80, 636.74, 638.50 ([M + H]+, 55, 100, 45); HR-MS (ESI) calcd for C31H28Br2N2O3 [M−H]−: 635.0370, found: 635.0389.
Compound 27b: Yellow solid, final yield 15.1%, m.p. 56.0–58.0 °C; 1H-NMR (600 MHz, DMSO-d6) δ: 2.22–2.31 (m, 10H, piperazine-2’’,3’’,5’’,6’’-H, Ar-2-CH2-), 3.31 (t, J = 10.8 Hz, 2H, piperazine-4’’-CH2-), 3.45 (t, J = 10.2 Hz, 2H, HO-CH2-), 6.92 (s, 1H, Ar-3’-H), 7.04 (s, 1H, Ar-6’-H), 7.37 (d, J = 12.0 Hz, 1H, Ar-3-H), 7.41 (d, J = 1.8 Hz, 1H, Ar-6-H), 7.66 (d, J = 12.6 Hz, 1H, Ar-4-H), 9.83 (brs, 2H, Ar-4’-OH, Ar -5’-OH); 13C-NMR (150 MHz, DMSO-d6) 52.9 × 2, 53.2 × 2, 58.8, 59.5, 60.6, 110.6, 111.6, 113.9, 120.3, 127.9, 131.7, 132.2, 133.2, 137.7, 142.5, 150.7, 155.9, 194.5; ESI-MS m/z (%) 512.92, 514.96, 516.81 ([M + H]+, 60, 100, 70).
Compound 28b: Yellow solid, final yield 18.6%, m.p. 114.0–115.0 °C; 1H-NMR (600 MHz, DMSO-d6) δ: 3.28–3.57 (m, 6H, piperazine-H), 4.49 (s, 2H, Ar-2-CH2-), 4.72 (d, J = 14.4 Hz, 2H, piperazine-H), 6.80 (t, J = 7.2 Hz, 1H, pyrimidine-5’’’-H), 7.00 (s, 1H, Ar-3’-H), 7.10 (s, 1H, Ar-6’-H), 7.58 (d, J = 2.4 Hz, 1H, Ar-6-H), 7.91 (d, 1H, J = 12.6 Hz, Ar-3-H), 8.01 (dd, J = 12.6 Hz, 1H, Ar-4-H), 8.47 (d, J = 7.2 Hz, 2H, pyrimidine-4’’’,6’’’-H), 9.70 (brs, 2H, Ar-4’-OH, Ar-5’-OH); 13C-NMR (150 MHz, DMSO-d6) 40.8 × 2, 51.5 × 2, 57.0, 110.7, 111.8, 119.7, 120.9, 123.3, 129.0, 129.4, 133.8, 135.5, 135.7, 141.5, 145.3, 150.9, 158.6 × 2, 160.8, 194.9; ESI-MS m/z (%) 546.72, 548.73, 550.59 ([M + H]+, 48, 100, 60).
Compound 29b: White solid, final yield 21.1%, m.p. 193.0–195.0 °C; 1H-NMR (600 MHz, DMSO-d6) δ: 3.08–3.77 (m, 8H, piperazine-2’’,3’’,5’’,6’’-H), 4.50 (s, 2H, Ar-2-CH2-), 6.97 (s, 1H, Ar-3’-H), 7.03 (dd, J = 6.6, 13.8 Hz, 2H, piperazine-Ar-2’’’,6’’’-H), 7.09 (s, 1H, Ar-6’-H), 7.12 (d, J = 13.2 Hz, 2H, piperazine-Ar-3’’’,5’’’-H), 7.60 (d, 1H, J = 2.4 Hz, Ar-6-H), 7.83 (d, J = 12.6 Hz, 1H, Ar-3-H), 8.01 (dd, J = 3.0, 12.6 Hz, 1H, Ar-4-H), 9.39 (brs, 2H, Ar-4’-OH, Ar-5’-OH); 13C-NMR (150 MHz, DMSO-d6) 46.5 × 2, 51.7 × 2, 56.7, 110.7, 116.1 × 2, 118.4, 119.7, 120.9, 123.3, 129.0, 129.4, 133.9, 135.5 × 2, 141.5, 145.3, 146.7, 151.0, 156.3, 157.9, 194.9; ESI-MS m/z (%) 562.96, 564.95, 566.77 ([M + H]+, 48, 100, 60).
Compound 30b: Yellow solid, final yield 19.4%, m.p. 190.0–191.5 °C; 1H-NMR (600 MHz, DMSO-d6) δ: 3.14–3.57 (m, 8H, piperazine-2’’,3’’,5’’ 6’’,-H), 4.52 (s, 2H, Ar-2-CH2-), 6.97 (s, 1H, Ar-3’-H), 7.05–7.22 (m, 5H, Ar-6’-H, piperazine-H), 7.60 (s, 1H, Ar-6-H), 7.80 (dd, J = 6.6, 12.6 Hz, 1H, Ar-3-H), 8.01 (d, J = 12.6 Hz, 1H, Ar-4-H), 9.35 (brs, 2H, Ar-4’-OH, Ar-5’-OH); 13C-NMR (150 MHz, DMSO-d6) 47.4 × 2, 52.0 × 2, 57.0, 110.7, 116.7, 119.7, 120.2, 120.9, 123.3, 124.0, 125.5, 129.1, 129.4, 134.0, 135.8, 138.7, 141.4, 145.3, 151.0, 154.5, 156.2, 195.0; ESI-MS m/z (%) 562.97, 564.95, 566.79 ([M + H]+, 60, 100, 75).
Compound 31b: White solid, final yield 17.5%, m.p. 185.0–186.0 °C; 1H-NMR (600 MHz, DMSO-d6) δ: 3.04–3.56 (m, 8H, piperazine-2’’,3’’,5’’,6’’-H), 4.49 (s, 2H, Ar-2-CH2-), 6.72 (d, 2H, J = 12.0 Hz,2H, piperazine-Ar-2’’’,6’’’-H), 6.88 (d, J = 12.0 Hz, 2H, piperazine-Ar-3’’’,5’’’-H), 6.97 (s, 1H, Ar-3’-H), 7.09 (s, 1H, Ar-6’-H), 7.59 (s, 1H, Ar-6-H), 7.80 (s, J = 12.0 Hz, 1H, Ar-3-H), 7.99 (d, J = 12.0 Hz, 1H, Ar-4-H), 9.32 (brs, 3H, Ar-4’-OH, Ar-5’-OH, Ar-4’’’-OH); 13C-NMR (150 MHz, DMSO-d6) 40.5 × 2, 48.9 × 2, 56.5, 110.7, 116.1 × 2, 119.9, 120.9, 124.4, 125.4, 126.1, 136.7, 137.1, 138.0, 141.5, 145.3, 150.2 × 2, 150.9, 152.3, 153.4, 184.5; ESI-MS m/z (%) 560.98, 562.97, 564.81 ([M + H]+, 45, 100, 60).
Compound 32b: Yellow solid, final yield 20.5%, m.p. 205.8–207.3 °C; 1H-NMR (600 MHz, DMSO-d6) δ: 5.58 (s, 2H, Ar-2-CH2-), 6.93 (s, 1H, Ar-3’-H), 7.06 (s, 1H, Ar-6’-H), 7.45 (d, J = 7.8 Hz, 1H, Ar-3-H), 7.52 (s, 1H, Ar-6-H), 7.71 (t, J = 11.4 Hz, 2H, imidazole-4’’,5’’-H), 7.88 (d, J = 7.8 Hz, 1H, Ar-4-H), 9.14 (t, J = 11.4 Hz, 1H, imidazole-2’’-H), 9.70 (brs, 1H, Ar-4’-OH), 10.39(brs, 1H, Ar-5’-OH); 13C-NMR (150 MHz, DMSO-d6) 49.7, 110.5, 119.4, 119.9, 120.6, 120.8, 122.3, 122.8, 129.0, 133.2, 133.5, 135.6, 136.5, 140.0, 145.2, 150.8, 194.7; ESI-MS m/z (%) 451.00, 453.06, 454.88 ([M + H]+, 70, 100, 80).
Compound 33b: White solid, final yield 21.1%, m.p. 217.0–218.5 °C; 1H-NMR (600 MHz, DMSO-d6) δ: 2.53 (s, 3H, imidazole-2’’-CH3), 5.53 (s, 2H, Ar-2-CH2-), 6.95 (s, 1H, Ar-3’-H), 7.08 (s, 1H, Ar-6’-H), 7.19 (d, J = 12.6 Hz, 1H, Ar-3-H), 7.50 (d, J = 3.0 Hz, 1H, Ar-6-H), 7.53 (d, J = 3.0 Hz, 1H, imidazole-5’’-H), 7.62 (d, J = 3.0 Hz, 1H, imidazole-4’’-H), 7.85 (dd, J = 3.0, 12.6 Hz, 1H, Ar-4-H), 9.75 (brs, 1H, Ar-4’-OH), 10.39 (brs, 1H, Ar-5’-OH); 13C-NMR (150 MHz, DMSO-d6) 11.1, 48.4, 110.5, 118.8, 119.5, 120.9, 121.9, 123.0, 128.8, 131.9, 132.0, 133.5, 133.7, 135.5, 139.4, 145.3, 150.9, 194.6; ESI-MS m/z (%) 464.69, 466.67, 468.57 ([M + H]+, 50, 100, 60).
Compound 34b: White solid, final yield 17.3%, m.p. 170.0–172.0 °C; 1H-NMR (600 MHz, DMSO-d6) δ: 2.20 (s, 3H, imidazole-4’’-CH3), 5.45 (s, 2H, Ar-2-CH2-), 6.90 (s, 1H, imidazole-5’’-H), 7.05 (s, 1H, Ar-3’-H), 7.27 (s, 1H, Ar-6’-H), 7.37 (d, J = 12.0 Hz, 1H, Ar-3-H), 7.50 (d, J = 3.0 Hz, 1H, Ar-6-H), 7.87 (dd, J = 3.0, 12.0 Hz, 1H, Ar-4-H), 8.76 (s, 1H, imidazole-2’’-H), 9.72 (brs, 1H, Ar-4’-OH), 10.42 br (s, 1H, Ar-5’-OH); 13C-NMR (150 MHz, DMSO-d6) 10.6, 49.3, 110.5, 118.9, 119.5, 120.9, 122.1, 128.9, 131.3, 133.0, 133.2, 134.2, 135.4, 135.9, 140.0, 145.2, 150.9, 194.7; ESI-MS m/z (%) 464.86, 466.88, 498.75 ([M + H]+, 54, 100, 65).
Compound 35b: White solid, final yield 20.5%, m.p. 235.2–236.9 °C; FT-IR (ATR) υ (cm−1): 3184, 3159, 2789, 2673, 2260, 1667, 1598, 1500, 1383, 1194, 1012, 882, 801, 640; 1H-NMR (600 MHz, DMSO-d6) δ: 1.20 (t, J = 11.4 Hz, 3H, imidazole-2’’-CH3), 2.90 (q, J = 11.4 Hz, 2H, imidazole-2’’-CH2-), 5.56 (s, 2H, Ar-2-CH2-), 6.94 (s, 1H, Ar-3’-H), 7.07 (s, 1H, Ar-6’-H), 7.16 (d, J = 6.0 Hz, 1H, Ar-6-H), 7.52 (d, J = 3.0 Hz, 1H, imidazole-5’’-H), 7.54 (d, J = 3.6 Hz, 1H, imidazole-4’’-H), 7.66 (d, J = 3.0 Hz, 1H, Ar-3-H), 7.84 (dd, J = 3.0, 12.6 Hz, 1H, Ar-4-H), 9.72 (brs, 1H, Ar-4’-OH), 10.35 (brs, 1H, Ar-5’-OH); 13C-NMR (150 MHz, DMSO-d6) 11.2, 18.5, 48.4, 110.5, 119.0, 119.5, 120.9, 121.9, 123.1, 128.8, 131.7, 133.6, 133.9, 135.5, 139.3, 145.3, 149.2, 150.9, 194.5; ESI-MS m/z (%) 478.78, 480.63, 482.73 ([M + H]+, 48, 100, 45); HR-MS (ESI) calcd for C19H16Br2N2O3 [M−H]−: 478.9420, found: 478.9469.
Compound 36b: Yellow solid, final yield 17.8%, m.p. 140.0–141.5 °C; FT-IR (ATR) υ (cm−1): 3327, 3149, 3115, 3028, 2975, 1673, 1590, 1415, 1283, 1201, 1008, 786, 635; 1H-NMR (600 MHz, DMSO-d6) δ: 1.24 (d, J = 10.2 Hz, 6H, imidazole-2’’-CH3), 3.36 (m, 1H, imidazole-2’’-CHMe2), 5.61 (s, 2H, Ar-2-CH2-), 6.94 (s, 1H, Ar-3’-H), 7.07 (d, J = 12.6 Hz, 1H, Ar-3-H), 7.10 (s, 1H, Ar-6’-H), 7.53 (s, 1H, imidazole-5’’-H), 7.55 (s, 1H, imidazole-4’’-H), 7.72 (s, 1H, Ar-6-H), 7.85 (d, J = 12.6 Hz, 1H, Ar-4-H), 9.75 (brs, 1H, Ar-4’-OH), 10.42 (brs, 1H, Ar-5’-OH); 13C-NMR (150 MHz, DMSO-d6) 20.8×2, 25.2, 48.5, 110.5, 119.3, 119.5, 120.9, 121.9, 122.9, 128.8, 131.5, 133.6, 134.1, 135.6, 139.2, 145.3, 150.9, 152.3, 194.5; ESI-MS m/z(%) 492.72, 494.71, 496.60 ([M + H]+, 48, 100, 58); HR-MS (ESI) calcd for C20H18Br2N2O3 [M−H]–: 492.9580, found: 492.9537.
Compound 37b: White solid, final yield 18.3%, m.p. 283.0–285.0 °C; FT-IR (ATR) υ (cm−1): 3074, 2985, 2887, 2780, 1664, 1586, 1504, 1408, 1279, 1229, 1151, 1013, 813, 623; 1H-NMR (600 MHz, DMSO-d6) δ: 1.19 (t, J = 11.4 Hz, 3H, imidazole-2’’-CH3), 2.20 (s, 3H, imidazole-4’’-CH3), 2.86 (q, J = 1.4 Hz, 2H, imidazole-2’’-CH2- ), 5.46 (s, 2H, Ar-2-CH2-), 6.90 (s, 1H, Ar-3’-H), 7.06 (s, 1H, Ar-6’-H), 7.16 (s, 1H, imidazole-5’’-H), 7.20 (d, J = 12.6 Hz, 1H, Ar-3-H), 7.54 (d, J = 3.0 Hz, 1H, Ar-6-H), 7.84 (dd, J = 3.0, 12.6 Hz, 1H, Ar-4-H), 9.73 (brs, 1H, Ar-4’-OH), 10.43 (brs, 1H, Ar-5’-OH); 13C-NMR (150 MHz, DMSO-d6) 10.0, 11.2, 18.4, 48.1, 110.6, 119.3, 119.7, 121.0, 122.0, 128.5, 128.6, 132.0, 133.3, 133.9, 135.4, 139.6, 145.2, 148.2, 150.9, 194.4; ESI-MS m/z (%) 491.13, 493.12, 495.14 ([M − H]−, 48, 100, 45); HR-MS (ESI) calcd for C20H18Br2N2O3 [M − H]−: 492.9580, found: 492.9518.
Compound 38b: White solid, final yield 15.7%, m.p. 210.3–212.0 °C; FT-IR (ATR) υ (cm−1): 3415, 3336, 3144, 2927, 2791, 2681, 1654, 1587, 1496, 1416, 1284, 1153, 1012, 700, 635; 1H-NMR (600 MHz, DMSO-d6) δ: 5.57 (s, 2H, Ar-2-CH2-), 6.83 (s, 1H, Ar-3’-H), 7.01 (s, 1H, Ar-6’-H), 7.10 (d, J = 12.6 Hz, 1H, Ar-3-H), 7.49 (d, J = 3.0 Hz, 1H, Ar-6-H), 7.59-7.65 (m, 5H, imidazole-Ar-H), 7.76 (d, J = 3.0 Hz, 1H, imidazole-5’’-H), 7.79 (dd, J = 3.0, 12.6 Hz, 1H, Ar-4-H), 7.89 (d, J = 3.0 Hz, 1H, imidazole-4’’-H), 9.70 (brs, 1H, Ar-4’-OH), 10.39 (brs, 1H, Ar-5’-OH); 13C-NMR (150 MHz, DMSO-d6) 49.5, 110.4, 119.3, 120.6, 120.8, 121.9, 123.1, 124.3, 128.8, 129.8 × 2, 130.0 × 2, 131.4, 132.6, 133.6, 134.1, 135.5, 139.0, 145.2, 145.3, 150.8, 194.4; ESI-MS m/z (%) 525.13, 527.13, 529.13 ([M − H]−, 50, 100, 48); HR-MS (ESI) calcd for C23H16Br2N2O3 [M − H]−: 526.9403, found: 526.9444.
Compound 39b: Yellow solid, final yield 19.1%, m.p. 190.0–192.0 °C; 1H-NMR (600 MHz, DMSO-d6) δ: 2.18 (s, 3H, imidazole-4’’-CH3), 2.49 (s, 3H, imidazole-2’’-CH3), 5.43 (s, 2H, Ar-2-CH2-), 6.90 (s, 1H, imidazole-5’’-H), 7.06 (s, 1H, Ar-3’-H), 7.14 (d, J = 13.2 Hz, 1H, Ar-3-H), 7.22 (s, 1H, Ar-6’-H), 7.54 (d, J = 3.0 Hz, 1H, Ar-6-H), 7.85 (dd, J = 3.0, 12.6 Hz, 1H, Ar-4-H), 9.72 (brs, 1H, Ar-4’-OH), 10.41 (brs, 1H, Ar-5’-OH); 13C-NMR (150 MHz, DMSO-d6) 9.9, 11.0, 48.2, 110.6, 119.3, 119.7, 121.0, 122.0, 128.2, 128.5, 132.2, 133.3, 133.7, 135.3, 139.7, 144.1, 145.2, 150.9, 194.5; ESI-MS m/z (%) 478.92, 480.90, 482.75 ([M + H]+, 50, 100, 60).
Compound 40b: White solid, final yield 23%, m.p. 162.0–163.0 °C; 1H-NMR (600 MHz, DMSO-d6) δ: 5.88 (s, 2H, Ar-2-CH2-), 6.93 (s, 1H, Ar-3’-H), 7.03 (s, 1H, Ar-6’-H), 7.32 (d, J = 12.6 Hz, 1H, Ar-3-H), 7.55 (s, 1H, Ar-6-H), 7.59 (t, J = 10.8 Hz, 2H, imidazole-Ar-H), 7.72 (d, J = 10.8 Hz, 1H, imidazole-Ar-H), 7.81 (dd, J = 3.0, 12.6 Hz, 1H, Ar-4-H), 7.87 (d, J = 10.8 Hz, 1H, imidazole-Ar-H), 9.47 (s, 1H, imidazole-2’-H), 9.72 (brs, 1H, Ar-4’-OH), 10.38 (s, 1H, Ar-5’-OH); 13C-NMR (150 MHz, DMSO-d6) 48.1, 110.4, 113.8, 115.8, 119.5, 120.8, 122.1, 126.5, 126.8, 128.8, 131.6, 132.3, 132.4, 133.4, 133.6, 135.5, 139.6, 143.2, 145.3, 150.9, 194.7; ESI-MS m/z(%) 500.88, 502.89, 504.73 ([M + H]+, 50, 100, 60).
3.2. Biological Assay
EA.hy926 cells were purchased from the Cell Bank of the Chinese Academy of Sciences (Shanghai, China) and maintained in high-glucose DMEM supplemented with 10% fetal bovineserum (FBS; Hyclone, Beijing, China), L-glutamine (2 mM), 100 units/mL of penicillin, and 100 μg/mL streptomycin. Cells were incubated in a humidified incubator aerated with 5% CO2 at 37 °C. For all experiments, EA. hy926 cells were cultured in a 96-well plate at a density of 1 × 104/mL, grown to 70–80% confluence, pretreated with designated concentrations 0.3125, 0.625, 1.25, 2.5, 5 and 10 μM of compounds for 4 h, and then exposed to 200 μM H2O2 (BHKT Clinical Reagent, Beijing, China) for another 6 h in fresh medium. No H2O2-treated cells were used as controls and were incubated under the same conditions. Cell viability was determined by mitochondrial function using MTT (Sigma Aldrich, St. Louis, MO, USA) testing. The absorbance was detected at 490 nm [,].
3.3. Molecular Docking
Docking technology is applied to the drug discovery process for predicting the binding mode of a known active ligand. The three-dimensional structures of the compounds were drawn and all molecular modeling calculations were performed in Sybyl 2.0 software (Tripos Associates, St. Louis, MO, USA). All molecule charges were calculated by the Gasteiger-Huckel method. The energy minimization and conformational search were performed using the Tripos force field by Powell method. The X-ray crystal structure of Keap1 protein with ligand IQK701 (PDB code: 4iqk) was retrieved from the RCSB Protein Data Bank []. The protein was prepared for docking simulation by extracting original ligand IQK701, deleting all water molecules, adding hydrogen atoms, selecting minimized biopolymer hydrogens, minimizing sidechains, minimizing biopolymer hydrogens without C-Alpha in the Stage Minimization module, and assigning AMBER charge and AMBER7 FF99 force field. Surflex docking module was used. A small molecule ligand was docked in the active site of the binding pocket.
4. Conclusions
In summary, a series of novel bromophenols with nitrogen-containing heterocycles piperidine, piperazine, and imidazole were prepared and evaluated for their cytoprotective activity against H2O2 induced injury in EA.hy926 cells. Most compounds showed moderate-to-potent activity with EC50 values in the range of 0.9–7.4 μM. Moreover, the target compound 22b, a piperazine bromophenol, may be the most promising pharmacological candidate for further cardiovascular drug development owing to its strong cytoprotective ability. Combining with our former studies, the targeting Keap1-Nrf2 protein-protein interaction may be an emerging strategy for this series of halophenols to selectively and effectively activate Nrf2 triggering downstream protective genes that defend against injury.
Acknowledgments
This work was financially supported by the State “863” Projects of China (No. 2013AA092903), the National Natural Science Foundation of China (No. 81473100), National Science and Technology Major Project of China (No. 2017ZX09101003-001-017), Key Research and Development Plan (key project) of Shanxi Province (No. 201703D111033), the Fund for Shanxi Key Subjects Construction, Shanxi Coal Base Key Research Projects (No. MJH2014-14), the Natural Science Foundation of Shanxi Province (No. 2013011060-2), Shanxi Medical University Doctor Startup Fund (No. B03201213), the Program for the Top and Key Science and Technology Innovation Teams of Shanxi Province, the Program for the Top Young and Middle-aged Innovative Talents of Higher Learning Institutions of Shanxi Province.
Author Contributions
Qing Shan Li and Xiu E. Feng conceived and designed the experiments. Xiu E. Feng wrote the manuscript. Shu Rong Ban helped guide the experiment. Qin Jin Wang and Jie Gao performed the experiments. All authors reviewed and approved the final manuscript.
Conflicts of Interest
The authors declare that they have no competing interest.
References
- Feng, X.E.; Liang, T.G.; Gao, J.; Kong, D.P.; Ge, R.; Li, Q.S. Heme oxygenase-1, a key enzyme for the cytoprotective actions of halophenols by upregulating Nrf2 expression via activating Erk1/2 and PI3K/Akt in EA.hy926 cells. Oxid. Med. Cell. Longev. 2017, 2017, 7028478. [Google Scholar] [CrossRef] [PubMed]
- Katsui, N.; Suzuki, Y.; Kitamura, S.; Irie, T. 5,6-Dibromoprotocatechualdehyde and 2,3-dibromo-4,5-dihydroxybenzyl methyl ether: New dibromophenols from rhodomela larix. Tetrahedron 1967, 23, 1185–1188. [Google Scholar] [CrossRef]
- Li, K.; Li, X.M.; Ji, N.Y.; Wang, B.G. Natural bromophenols from the marine red alga Polysiphonia urceolata (Rhodomelaceae): Structural elucidation and DPPH radical-scavenging activity. Bioorg. Med. Chem. 2007, 15, 6627–6631. [Google Scholar] [CrossRef] [PubMed]
- Wiemer, D.F.; Idler, D.D.; Fenical, W. Vidalols A and B, new anti-inflammatory bromophenols from the Caribbean marine red alga Vidalia obtusaloba. Cell. Mol. Life Sci. 1991, 47, 851–853. [Google Scholar] [CrossRef]
- Xu, X.L.; Song, F.H.; Wang, S.J.; Li, S.; Xiao, F.; Zhao, J.L.; Yango, Y.C.; Shang, S.Q.; Yang, L.; Shi, J.G. Dibenzyl bromophenols with diverse dimerization patterns from the brown alga Leathesia nana. J. Nat. Prod. 2004, 67, 1661–1666. [Google Scholar] [CrossRef] [PubMed]
- Oh, K.B.; Lee, J.H.; Lee, J.W.; Yoon, K.M.; Chung, S.C.; Jeon, H.B.; Shin, J.; Lee, H.S. Synthesis and antimicrobial activities of halogenated bis(hydroxyphenyl)methanes. Bioorg. Med. Chem. Lett. 2009, 19, 945–948. [Google Scholar] [CrossRef] [PubMed]
- Shi, D.Y.; Li, X.H.; Li, J.; Guo, S.J.; Su, H.; Fan, X. Antithrombotic effects of bromophenol, an alga-derived thrombin inhibitor. Chin. J. Oceanol. Limnol. 2010, 28, 96–98. [Google Scholar] [CrossRef]
- Wang, W.; Okada, Y.; Shi, H.B.; Wang, Y.Q.; Okuyama, T. Structures and aldose reductase inhibitory effects of bromophenols from the red alga Symphyocladia latiuscula. J. Nat. Prod. 2005, 68, 620–622. [Google Scholar] [CrossRef] [PubMed]
- Kurata, K.; Taniguchii, K.; Takashima, K.; Hayashi, I.; Suzuki, M. Feeding-deterrent bromophenols from Odonthalia corymbifera. Phytochemistry 1997, 45, 485–487. [Google Scholar] [CrossRef]
- Shi, D.Y.; Li, J.; Guo, S.J.; Su, H.; Fan, X. The antitumor effect of bromophenol derivatives in vitro and Leathesia nana extract in vivo. Chin. J. Oceanol. Limnol. 2009, 27, 277–282. [Google Scholar] [CrossRef]
- Zhao, W.Y.; Feng, X.E.; Ban, S.R.; Lin, W.H.; Li, Q.S. Synthesis and biological activity of halophenols as potent antioxidant and cytoprotective agents. Bioorg. Med. Chem. Lett. 2010, 20, 4132–4134. [Google Scholar] [CrossRef] [PubMed]
- Lesiak, H.T.; Nowakowski, D.C.J. Applying of 1,1,1-trichloro-2,2-bis(4-methoxyphenyl)ethane for the synthesis of diphenols. J. Prakt. Chem. 1981, 323, 684–690. [Google Scholar] [CrossRef]
- Zheng, F.L.; Ban, S.R.; Feng, X.E.; Zhao, C.X.; Lin, W.H.; Li, Q.S. Synthesis and in vitro protein tyrosine kinase inhibitory activity of furan-2-yl(phenyl)methanone derivatives. Molecules 2011, 16, 4897–4911. [Google Scholar] [CrossRef] [PubMed]
- Li, J.G.; Feng, X.E.; Ge, R.; Li, J.K.; Li, Q.S. Protective Effect of 2,4′,5′-Trihydroxyl-5,2′-dibromo diphenylmethanone, a New Halophenol, against Hydrogen Peroxide-Induced EA.hy926 Cells Injury. Molecules 2015, 20, 14254–14264. [Google Scholar] [CrossRef] [PubMed]
- Paloque, L.; Hemmert, C.; Valentin, A.; Gomitzka, H. Synthesis, characterization, and antileishmanial activities of gold(I) complexes involving quinoline functionalized N-heterocyclic carbenes. Eur. J. Med. Chem. 2015, 94, 22–29. [Google Scholar] [CrossRef] [PubMed]
- Zhang, Y.K.; Zhong, H.Y.; Wang, T.T.; Geng, D.P.; Zhang, M.F.; Li, K. Synthesis of novel 2,5-dihydrofuran derivatives and evaluation of their anticancer bioactivity. Eur. J. Med. Chem. 2012, 48, 69–80. [Google Scholar] [CrossRef] [PubMed]
- Goicoechea, C.; Sanchez, E.; Cano, C.; Jagerovic, N.; Martin, M.I. Analgesic activity and pharmacological characterization of N-[1-phenylpyrazol-3-yl]-N-[1-(2-phenethyl)-4-piperidyl] propenamide, a new opioid agonist acting peripherally. Eur. J. Pharmacol. 2008, 595, 22–29. [Google Scholar] [CrossRef] [PubMed]
- Manjunatha, U.H.; Boshoff, H.; Dowd, C.S.; Zhang, L.; Albert, T.J.; Norton, J.E.; Daniels, L.; Dick, T.; Pang, S.S.; Barry, C.E. Identification of a nitroimidazo-oxazine-specific protein involved in PA-824 resistance in Mycobacterium tuberculosis. Proc. Natl. Acad. Sci. USA 2006, 103, 431–436. [Google Scholar] [CrossRef] [PubMed]
- Matsumoto, M.; Hashizume, H.; Tomishige, T.; Kawasaki, M.; Tsubouchi, H.; Sasaki, H.; Shimokawa, Y.; Komatsu, M. OPC-67683, a nitro-dihydro-imidazooxazole derivative with promising action against tuberculosis in vitro and in mice. PLoS Med. 2006, 3, e466. [Google Scholar] [CrossRef] [PubMed]
- Kimura, M.; Masuda, T.; Yamada, K.; Kawakatsu, N.; Kubota, N.; Mitani, M.; Kishii, K.; Inazu, M.; Kiuchi, Y.; Oguchi, K.; et al. Antioxidative activities of novel diphenylalkyl piperazine derivatives with high affinities for the dopamine transporter. Bioorg. Med. Chem. Lett. 2004, 14, 4287–4290. [Google Scholar] [CrossRef] [PubMed]
- Shapiro, L.A.; Offord, S.J.; Ordway, G.A. The effect of chronic treatment with a novel aryl-piperazine antipsychotic on monoamine receptors in rat brain. Brain Res. 1995, 677, 250–256. [Google Scholar] [CrossRef]
- Yang, C.H.; Xu, G.Y.; Li, J.; Wu, X.H.; Liu, B.; Yan, X.M.; Wang, M.W.; Xie, Y.Y. Benzothiophenes containing a piperazine side chain as selective ligands for the estrogen receptor α and their bioactivities in vivo. Bioorg. Med. Chem. Lett. 2005, 15, 1505–1507. [Google Scholar] [CrossRef] [PubMed]
- Jiang, Z.Y.; Lu, M.C.; You, Q.D. Discovery and development of kelch-like ECH-associated protein 1. nuclear factor erythroid 2-related factor 2 (KEAP1:NRF2) protein-protein interaction inhibitors: Achievements, challenges, and future directions. J. Med. Chem. 2016, 59, 10837–10858. [Google Scholar] [CrossRef] [PubMed]
- Podgorsek, A.; Stavber, S.; Zupan, M.; Iskra, J. Visible light induced 'on water' benzylic bromination with N-bromosuccinimide. Tetrahedron Lett. 2006, 47, 1097–1099. [Google Scholar] [CrossRef]
- Öztaşkın, N.; Çetinkaya, Y.; Taslimi, P.; Göksu, S.; Gülçin, İ. Antioxidant and acetylcholinesterase inhibition properties of novel bromophenol derivatives. Bioorg. Chem. 2015, 60, 49–57. [Google Scholar] [CrossRef] [PubMed]
- Jain, A.D.; Potteti, H.; Richardson, B.G.; Kingsley, L.; Luciano, J.P.; Ryuzoji, A.F.; Ryuzoji, A.F.; Moore, T.W. Probing the structural requirements of non-electrophilic naphthalene-based Nrf2 activators. Eur. J. Med. Chem. 2015, 103, 252–268. [Google Scholar] [CrossRef] [PubMed]
- Hu, L.; Magesh, S.; Chen, L.; Wang, L.; Lewis, T.A.; Chen, Y.; Shen, J. Discovery of a small-molecule inhibitor and cellular probe of Keap1-Nrf2 protein-protein interaction. Bioorg. Med. Chem. Lett. 2013, 23, 3039–3043. [Google Scholar] [CrossRef] [PubMed]
- Bunnak, J.; Takigami, M.; Ito, H.; Shinozawa, T. Gamma Irradiation Effects on Cultured Cells: Investigated by the MTT Method. J. Radiat. Res. 1994, 35, 205–212. [Google Scholar] [CrossRef] [PubMed]
- Marcotte, D.; Zeng, W.K.; Hus, J.C.; Mckenzie, A.; Hession, C.; Jin, P.; Bergeron, C.; Lugovskoy, A.; Enyedy, I.; Cuervo, H.; et al. Small molecules inhibit the interaction of Nrf2 and the Keap1 Kelch domain through a non-covalent mechanism. Bioorg. Med. Chem. 2013, 21, 4011–4019. [Google Scholar] [CrossRef] [PubMed]
Sample Availability: Samples of the compounds are available from authors. |
© 2017 by the authors. Licensee MDPI, Basel, Switzerland. This article is an open access article distributed under the terms and conditions of the Creative Commons Attribution (CC BY) license (http://creativecommons.org/licenses/by/4.0/).