Synthesis, Characterization, and Biological Evaluations of 1,3,5-Triazine Derivatives of Metformin Cyclization with Berberine and Magnolol in the Presence of Sodium Methylate
Abstract
1. Introduction
2. Results and Discussion
2.1. Chemistry
2.2. Characterization of Compounds
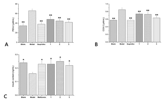
2.3. Biological Evaluation
3. Materials and Methods
3.1. General Experimental Procedures
3.2. Synthesis and Purification of Compounds 1–3
3.2.1. Synthesis of Compound 7
3.2.2. Synthesis of Compounds 1 and 2
3.2.3. Synthesis of Compound 9
3.2.4. Synthesis of Compound 10
3.2.5. Synthesis of Compound 3
3.3. HPLC Analysis of the Products
3.4. Cellular Proliferation Assay
3.4.1. Testing the Cytotoxicities of 1–3 against Mouse Macrophages and Mouse Insulinoma
3.4.2. Testing the Anti-Inflammatory Activities of 1–3 against a Mouse Insulinoma Cell Line
3.4.3. Testing the Anti-Insulin Resistance Activities of 1–3 against a Mouse Insulinoma Cell Line
4. Conclusions
Supplementary Materials
Acknowledgments
Author Contributions
Conflicts of Interest
References
- Zhang, S.L.; Chang, J.J.; Damu, G.; Fang, B.; Zhou, X.D.; Geng, R.X.; Zhou, C.H. Novel berberinetriazoles: Synthesis, antimicrobial evaluation and competitive interactions with metal ions to Human Serum Albumin. Bioorg. Med. Chem. Lett. 2013, 23, 1008–1012. [Google Scholar] [CrossRef] [PubMed]
- Lin, C.F.; Hung, C.F.; Aljuffali, I.A.; Huang, Y.L.; Liao, W.C.; Fang, J.Y. Methylation and esterifi-cation of magnolol for ameliorating cutaneous targeting and therapeutic index by topical application. Pharm. Res. 2016, 33, 2152. [Google Scholar] [CrossRef] [PubMed]
- Patil, J.B.; Kim, J.; Jayaprakasha, G.K. Berberine induces apoptosis in breast cancer cells (MCF-7) through mitochondrial-dependent pathway. Eur. J. Pharmacol. 2010, 645, 70–78. [Google Scholar] [CrossRef] [PubMed]
- Brusq, J.M.; Ancellin, N.; Grondin, P.; Martin, S. Inhibition of li-pid synthesis through activation of AMP kinase: An addi-tional mechanism for the hypolipidemic effects of berber-ine. J. Lipid Res. 2006, 47, 1281–1288. [Google Scholar] [CrossRef] [PubMed]
- Hu, Y.; Davies, G.E. Berberine inhibits adipogenesis in high-fat diet-induced obesity mice. Fitoterapia 2010, 81, 358–366. [Google Scholar] [CrossRef] [PubMed]
- Tse, A.K.; Wan, C.K.; Zhu, G.Y.; Shen, X.L.; Cheung, H.Y. Magnolol suppresses NF-κB activation and NF-κB regulated gene ex-pression through inhibition of IkappaB kinase activation. Mol. Immunol. 2007, 44, 2647–2658. [Google Scholar] [CrossRef] [PubMed]
- Lee, D.H.; Szczepanski, Y.J.; Lee, M.J. Magnolol induces apoptosis via inhibiting the EGFR/PI3K/Aktsignaling pathway in hu-man prostate cancer cells. J. Cell. Biochem. 2009, 106, 1113–1122. [Google Scholar] [CrossRef] [PubMed]
- Choi, S.S.; Cha, B.Y.; Lee, Y.S. Magnolol enhances adipo-cyte differentiation and glucose uptake in 3T3-L1 cells. Life Sci. 2009, 84, 908–914. [Google Scholar] [CrossRef] [PubMed]
- Viollet, B.; Guigas, B.; Garcia, N.S.; Leclerc, J.; Foretz, M. Cellular and molecular mechanisms of metformin: An overview. Clin. Sci. 2012, 122, 253–270. [Google Scholar] [CrossRef] [PubMed]
- Jiang, Y.; Huang, W.; Wang, J.; Xu, Z.; He, J. Metformin plays a dual role in MIN6 pancreatic beta cell function through AMPK-dependent autophagy. Int. J. Biol. Sci. 2014, 10, 268–277. [Google Scholar] [CrossRef] [PubMed]
- Palomba, S.; Falbo, A.; Giallauria, F.; Russo, T.; Tolino, A. Effects of metformin with or without supplementation with folate on homocysteine levels and vascular endothelium of women with polycystic ovary syndrome. Diabetes Care 2010, 33, 246–251. [Google Scholar] [CrossRef] [PubMed]
- Yang, X.; Xu, Z.; Zhang, C.; Cai, Z.; Zhang, J. Metformin, beyond an insulin sensitizer, targeting heart and pancreatic β cells. Biochim. Biophys. Acta 2016, 1863, 1984–1990. [Google Scholar] [CrossRef] [PubMed]
- Badea, V.; Negreanu-Pêrjol, T. Microbiological activity of some 3d and 4f metal complex compounds with N-substituted biguanide. Arch. Balk. Med. Union 2005, 40, 12–18. [Google Scholar]
- Liu, C.; Song, A.H.; Zhou, Z.X.; Zeng, Z.Y. Syntheses of the derivatives of triazine. J. Shenyang Pharm. Univ. 2004, 21, 264–265. [Google Scholar]
- Iwasa, K.; Chong, W.K. Biotransformations of protoberberines in cell cultures of Dicentra spectablis. Phytochemistry 1997, 46, 1359–1363. [Google Scholar] [CrossRef]
- Huang, L.; Shi, A.; He, F.; Li, X. Synthesis, biological evaluation, and molecular modeling of berberine derivatives as potent acetylcholinesterase inhibitors. Bioorg. Med. Chem. 2010, 18, 1244. [Google Scholar] [CrossRef] [PubMed]
- Munoz, R.; Garcia-Delgado, N.; Flores, R. Multitarget Substituted Biphenyl Diol Derivatives. Europe Patent EP 2423181 (A1), 29 February 2012. [Google Scholar]
- Li, W.M.; Feng, Y.F.; Zhu, H.N.; Rong, Y. Compound, Preparation Method and Application Thereof. Chinese Patent CN 106966997 A, 21 July 2017. [Google Scholar]
- Li, W.M.; Feng, Y.F.; Zhu, H.N.; Rong, Y. Compound Prepared from Berberrubine and Metformin by Cyclization Useful in Treatment of Tumors, Hyperglycemia, Hyperlipidemia, Cardiovascular and Cerebrovascular Diseases. Chinese Patent CN 106928246 A, 7 July 2017. [Google Scholar]
- Tran, H.N.K.; Nguyen, V.T.; Kim, J.A.; Rho, S.S.; Woo, M.H.; Choi, J.S.; Lee, J.H.; Min, B.S. Anti-inflammatory activities of compounds from twigs of Morus albae. Fitoterapia 2017, 120, 17–24. [Google Scholar] [CrossRef] [PubMed]
- Cao, Y.B.; Sun, Q.; Jin, J.; Li, X.M. Synthesis of Berberine Derivatives and Application of Berberine Derivatives in Preparing Anti-Tumor Drug and Anti-Tumor Drug Composition in Combination with Adriamycin. Chinese Patent CN 104119330 A, 29 October 2014. [Google Scholar]
- Nechepurenko, I.V.; Komarova, N.I.; Vasil’ev, V.G.; Salakhutdinov, N.F. Synthesis of berberine bromide analogs containing tertiary amides of acetic acid in the 9-O-position. Chem. Nat. Compd. 2013, 48, 1047–1053. [Google Scholar] [CrossRef]
Sample Availability: Samples of the compounds 1–3 are available from the authors. |







© 2017 by the authors. Licensee MDPI, Basel, Switzerland. This article is an open access article distributed under the terms and conditions of the Creative Commons Attribution (CC BY) license (http://creativecommons.org/licenses/by/4.0/).
Share and Cite
Cao, H.; Liao, S.; Zhong, W.; Xiao, X.; Zhu, J.; Li, W.; Wu, X.; Feng, Y. Synthesis, Characterization, and Biological Evaluations of 1,3,5-Triazine Derivatives of Metformin Cyclization with Berberine and Magnolol in the Presence of Sodium Methylate. Molecules 2017, 22, 1752. https://doi.org/10.3390/molecules22101752
Cao H, Liao S, Zhong W, Xiao X, Zhu J, Li W, Wu X, Feng Y. Synthesis, Characterization, and Biological Evaluations of 1,3,5-Triazine Derivatives of Metformin Cyclization with Berberine and Magnolol in the Presence of Sodium Methylate. Molecules. 2017; 22(10):1752. https://doi.org/10.3390/molecules22101752
Chicago/Turabian StyleCao, Han, Shili Liao, Wenjing Zhong, Xuerong Xiao, Jiancheng Zhu, Weimin Li, Xia Wu, and Yifan Feng. 2017. "Synthesis, Characterization, and Biological Evaluations of 1,3,5-Triazine Derivatives of Metformin Cyclization with Berberine and Magnolol in the Presence of Sodium Methylate" Molecules 22, no. 10: 1752. https://doi.org/10.3390/molecules22101752
APA StyleCao, H., Liao, S., Zhong, W., Xiao, X., Zhu, J., Li, W., Wu, X., & Feng, Y. (2017). Synthesis, Characterization, and Biological Evaluations of 1,3,5-Triazine Derivatives of Metformin Cyclization with Berberine and Magnolol in the Presence of Sodium Methylate. Molecules, 22(10), 1752. https://doi.org/10.3390/molecules22101752
