Abstract
Tuberculosis (TB) is a chronic, potentially fatal disease caused by Mycobacterium tuberculosis (Mtb). The dihyrofolate reductase in Mtb (mt-DHFR) is believed to be an important drug target in anti-TB drug development. This enzyme contains a glycerol (GOL) binding site, which is assumed to be a useful site to improve the selectivity towards human dihyrofolate reductase (h-DHFR). There have been previous attempts to design drugs targeting the GOL binding site, but the designed compounds contain a hydrophilic group, which may prevent the compounds from crossing the cell wall of Mtb to function at the whole cell level. In the current study, we designed and synthesized a series of mt-DHFR inhibitors that contain a 2,4-diaminopyrimidine core with side chains to occupy the glycerol binding site with proper hydrophilicity for cell entry, and tested their anti-tubercular activity against Mtb H37Ra. Among them, compound 16l showed a good anti-TB activity (MIC = 6.25 μg/mL) with a significant selectivity against vero cells. In the molecular simulations performed to understand the binding poses of the compounds, it was noticed that only side chains of a certain size can occupy the glycerol binding site. In summary, the novel synthesized compounds with appropriate side chains, hydrophobicity and selectivity could be important lead compounds for future optimization towards the development of future anti-TB drugs that can be used as monotherapy or in combination with other anti-TB drugs or antibiotics. These compounds can also provide much information for further studies on mt-DHFR. However, the enzyme target of the compounds still needs to be confirmed by pure mt-DHFR binding assays.
1. Introduction
There is an urgent need to develop new drugs for the treatment of tuberculosis (TB), a chronic disabling infection caused by Mycobacterium tuberculosis (Mtb). This pathogen has developed resistance to standard first- and second-line anti-TB drugs, leaving very few options for effective therapy. para-Aminosalicylic acid (PAS) is a key anti-TB drug that has been in use for over 60 years. Its anti-mycobacterial mechanism was not clearly understood until recently, when it was reported to be the pro-drug of an inhibitor of the Mtb dihyrofolate reductase (mt-DHFR) []. mt-DHFR catalyzes the reduction of dihydrofolate to tetrahydrolate in the folate metabolic pathway that leads to the synthesis of purines, pyrimidines and other proteins. Inhibition of the enzyme would cause cell death via the inhibition of DNA synthesis. This association of PAS with mt-DHFR inhibition encouraged scientists to focus once again on mt-DHFR as a potential target for anti-TB drugs.
According to their chemical structures, DHFR inhibitors can be divided into “classical” and “non-classical” types [,]. The structures of classical inhibitors are similar to that of folate, as in methotrexate (Figure 1), which is a commonly used anticancer drug [,,]. The core structure of non-classical inhibitors is 2,4-diaminopyrimidine, as in trimethoprim (Figure 1), an anti-bacterial drug [,,]. The crystal structures of mt-DHFR (PDB ID: 1DF7, Figure 2) and human DHFR (h-DHFR, PDB ID: 1OHJ), show a glycerol (GOL) binding site in mt-DHFR that does not exist in h-DHFR. To take advantage of this difference, Threadgill evaluated a group of compounds containing glycerol-like side chains, among which one compound, El-7a (Figure 1) showed notable selectivity for mt-DHFR inhibition over h-DHFR []. However, this evaluation was conducted using TB5 Saccharomyces cerevisiae carrying mt-DHFR and h-DHFR genes, therefore, there is no direct evidence to show that El-7a can inhibit the growth of Mtb. Furthermore, the inhibition of Mtb may require an appropriate lipophilicity in the compound []. Even if El-7a were able to selectively inhibit the mt-DHFR, its low hydrophobicity may prevent it from passing through the Mtb cell wall. Hence, we designed and synthesized a series of compounds containing more hydrophobic groups on the 6-position of 2,4-diaminopyrimidine to evaluate the ability of these compounds to inhibit Mtb cells directly.
Figure 1.
The structures of “classical” and “non-classical” DHFR inhibitors.
Figure 2.
Left: the binding sites of methotrexate (MTX) and glycerol (GOL) in mt-DHFR, in which MTX is represented as a sticks model, GOL as a ball-stick model, and protein as a molecular surface; Right: the designed molecule is predicted to be able to occupy the GOL binding site, in which the molecule is represented as sticks and protein as a molecular surface.
2. Results and Discussion
2.1. Chemistry
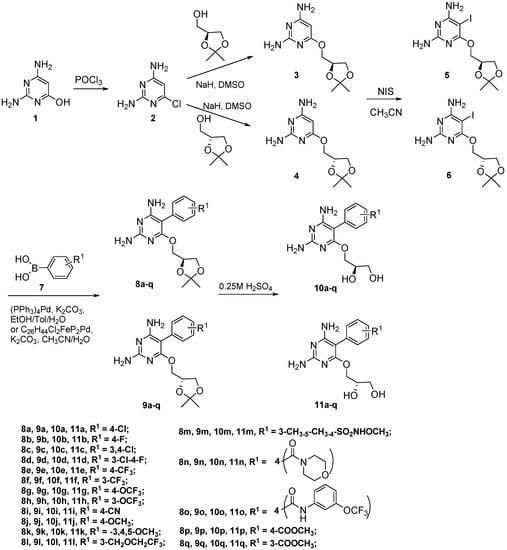
The synthesis of the designed compounds 10a-q or 11a-q was carried out in five steps—chlorination, nucleophilic substitution, iodination, Suzuki reaction and deprotection—according to our patented method [], with 2,4-diamino-6-hydroxypyrimidine (1) as the starting material (Scheme 1). Initially, 2,4-diamino-6-chloropyrimidine (2) was generated from 1 by treatment with phosphorus oxychloride. After the reaction was quenched with ice water, the solution was hydrolyzed at 90 °C to obtain a good yield (85%) of the target intermediate []. This procedure yields pure 2 without the need for chromatography.
Scheme 1.
Synthesis of 2,4-diamino-5-aryl-6-substituted pyrimidine derivatives 10a-q and 11a-q.
The treatment of (S)-2,3-isopropylidene glycerol or (R)-2,3-isopropylidene glycerol with sodium hydride in dry DMSO generated the corresponding nucleophile, which was then reacted with 2 to give 2,4-diamino-6-substituted pyrimidines 3 or 4 in good yield (77%) []. Subsequently, the 5-positions of 3 or 4 were iodinated with N-iodosuccinimide in dry acetonitrile to produce the precursor 2,4-diamino-5-iodo-6-substituted pyrimidine derivatives 5 or 6 in 96–98% yields []. Initially, we used a previously synthesized 2,4-diamino-5-bromo-6-substituted pyrimidine derivative as the starting material in the model reaction of the Suzuki reactions in order to introduce a substituted aryl group in the 5-position of the 2,4-diaminopyrimidine core. We tried several conditions, such as reacting with phenylboronic acid, 4-chlorophenylboronic acid and 4-methoxycarbonylphenylboronic acid, different catalysts (Pd(PPh3)4 [], Pd(dbpf)Cl2) [], different bases (K2CO3, K2HPO4), different solvents (EtOH/Toluene/H2O, THF/H2O, CH3CN/H2O, Dimethoxyethane/H2O), different temperatures (70, 80, 90, 120 °C), and different heating modes (microwave or oil bath). Unfortunately, all these reactions failed. Subsequently, we realized that the iodide replacement in the 5-position of the 2,4-diaminopyrimidine core in the Suzuki reaction might be easier than with a bromide. Hence, the iodides 5 or 6 were allowed to react with substituted phenylboronic acids 7 under Suzuki reaction conditions (Pd(PPh3)4 as catalyst, K2CO3 as base, and EtOH/toluene/H2O as solvent). However, the products 8a-o or 9a-o were only obtained in 52–78% yields. Moreover, the presence of an electron donating (OCH3) or electron withdrawing (F, CF3, OCF3, ester, amide) group on the substituted phenylboronic acid 7 did not show high effect of the reaction yields. However, when the products 8p-q or 9p-q were synthesized by reacting 5 or 6 with 4- or 3-methoxycarbonylphenylboronic acids 7p or 7q in EtOH/toluene/H2O, the transesterification product was detected in the 1H-NMR sprectrum. Hence, different Suzuki reaction conditions were chosen, in which 5 or 6 was reacted with 7p or 7q with Pd(dbpf)Cl2 as catalyst, K2CO3 as base and CH3CN/H2O as solvent, to give 8p-q or 9p-q with 63–78% yields. Subsequently, the compounds 8a-q or 9a-q were deprotected in 0.25 M H2SO4 solution to generate the target compounds 10a-q or 11a-q in 68–95% yields.
Subsequently 2,4-diamino-5-aryl-6-substituted pyrimidine derivatives 16a-p were synthesized from 2,4-diamino-6-chloropyrimidine (2, Scheme 2) following our patented approach []. The treatment of substituted methanols 12a-d with sodium hydride in dry DMSO or THF generated the corresponding nucleophiles, which were reacted with 2 to give 2,4-diamino-6-substituted pyrimidines 13a-d in moderate to good yields (61–79%) []. Subsequently, the 5-positions of 13a-d were iodinated with N-iodosuccinimide in dry acetonitrile to produce the precursor 2,4-diamino-5-iodo-6-substituted pyrimidine derivatives 14a-d [], which were used in subsequent Suzuki reactions to generate the target compounds 16a-p in good yields (70–92%) [].
Scheme 2.
Synthesis of 2,4-diamino-5-aryl-6-substituted pyrimidine derivatives 16a-p.
A series of reactions in which iodides 14a-d were used as staring material, was investigated as shown in Table 1. The iodides 14a-d were reacted with substituted phenylboronic acid 15 in the presence of Pd(dbpf)Cl2 and K2CO3 in EtOH/toluene/H2O at 90 °C for 24 h (Table 1, Entries 1–14) or in the presence of Pd(dbpf)Cl2 and K2CO3 in THF/H2O at 70 °C for 20 h in a sealed tube (Table 1, Entries 15, 16) to generate the desired compounds 16a-p with moderate to good yields (51–99%). For the iodide 14a, treatment with different substituted phenylboronic acids 15 (Table 1, Entries 1–5) resulted in similar yields. For the iodide 14b, reaction with 15 bearing a 3-trifloromethoxy group resulted in higher yields (Table 1, Entry 7) than when 15 bore a 4-trifloromethoxy group (Table 1, Entry 6). For the iodide 14c, treatment with 15 substituted with a 3-trifloromethoxyanilinocarbonyl group or 3-(2,2,2-trifloroethoxymethyl) group (Table 1, Entries 10, 12) resulted in higher yields than with 4-trifloromethoxy, 3-trifloromethoxy and 3,5-dimethyl-4-(N-methoxyaminosulfonyl) groups substituted on 15 (Table 1, Entries 8, 9, 11). Especially for the iodide 14d, reaction with 15 bearing a 4-trifloromethoxy or 3-trifloromethoxy group (Table 1, Entries 13, 14) resulted in much higher yields than with 15 bearing a 4-methoxycarbonyl or 3-methoxycarbonyl group (Table 1, Entries 15, 16). The presumption is that the ester group on this Suzuki reaction could be affected by transesterification in the solvent (EtOH/toluene/H2O), which could be detected in 1H-NMR. Thus, in these reactions, we chose THF/H2O as the solvent to avoid the transesterification.
Table 1.
Synthesis of 2,4-diamino-5-aryl-6-substituted pyrimidine derivatives 16a-p via Suzuki reactions.
2.2. Determination of In Vitro Anti-Tubercular Activity
Based on the different R2 substituents on the 2,4-diamino-5-aryl-6-substituted pyrimidine derivatives, the compounds can be divided into four types: (1) the R2 substituents bearing hydroxy groups (10a-q, 11a-q); (2) the R2 substituents bearing alkoxy groups (16a-g); (3) the R2 substituents bearing thiazole groups (16h-l); (4) the R2 substituents bearing phenyl substituted triazole groups (16m-p). Only compounds containing the thiazole group act as Mtb inhibitors. Among this group of compounds, five compounds (16h-l) showed potentially useful inhibitory effects, with 16l showing the lowest MIC (6.25 μg/mL or 12.45 μM) and MBC (12.5 μg/mL) (Table 2). In order to see the selectivity of 16l against mammalian cells, the MTT assay was performed on vero cells, and the IC50 on cells viability was found to be around 50.22 μM. The selectivity ratio of 16l on H37Ra vs vero cells is around 4-fold.
Table 2.
Minimum inhibitory concentrations (MIC) and minimum bactericidal concentrations (MBC) of compounds 16h-l showing anti-tubercular activity.
2.3. Molecular Docking and Simulation
Through the structural analysis of the compounds, the Clog P of El-7a was noticed to be −0.17, which showed the compound El-7a to be very hydrophilic, and led us to assume it would not be able to cross the Mtb cell wall. This assumption was indirectly confirmed by the observation that the hydrophilic compounds 10a-q and 11a-q (analogs of El-7a, with Clog P around −1 to 2), could not inhibit the growth of Mtb. Based on the above assumption, more hydrophobic compounds were analyzed by using molecular docking and molecular dynamic simulations, and based on the size of the substituents on the 6-position of 2,4-diaminopyrimidine, they were divided into three groups, which are large side chain groups (compounds 16m-p), medium side chain groups (compounds 16h-l) and small side chain groups (compounds 16a-g). With molecular docking, it was noticed that the large side chain group, which contains the 1-benzyl-1H-1,2,3-triazole-4-methoxy group on the 6-position, cannot fit into the GOL binding site (Figure 3a), and this could be the reason why this group of compounds did not show any inhibition effects on Mtb. Although the small side chain group derivatives (compounds 16a-g), which contain the methoxyethoxy or methoxypropoxy group on the 6-positions, can fit into the GOL binding site (Figure 3b,c), they cannot form strong interactions or fully fill the GOL binding site.
Figure 3.
(a) Compound 16m with large side chain group and the binding sites of glycerol (GOL) in mt-DHFR, in which compound 16m is represented as a sticks model, GOL as a dotted line model and protein as a molecular surface; (b,c) the small side chain group of compound 16f can fit into the GOL binding site, in which the molecule is represented as sticks and protein as a molecular surface.
The molecular docking showed that the medium side chain group (compounds 16h-l), which contain a (thiazol-5-yl)methoxy on the 6-position, can fit into the GOL binding site properly, and a molecular dynamics simulation was performed to understand the binding of compound 16l to mt-DHFR. During 100 ns simulations, 16l was stable in the binding site, and the side chain of compounds 16h-l occupied the GOL binding site along the full simulation (Figure 2). The free energy calculation showed that the binding free energy was −3.47 Kcal/mol (Table 3), which indicated that 16l can bind with mt-DHFR tightly. The free energy contributions of each residue was calculated, and contributions greater than −0.5 Kcal/mol were recorded (Ile20, Arg23, Phe31, Leu50, Pro51 and Val54) (Figure 4 Left). Most of these residues showed a strong VDW interaction, except Phe31 and Arg23 which formed a H-bond with 16l. Arg23 could also form strong interactions with the trifluoromethoxy group (Figure 4 Right).
Table 3.
Binding free energies (Kcal/mol) of compound 16l in mt-DHFR.
Figure 4.
Left: The residues whose binding free energy contributions are greater than −0.5 Kcal/mol; Right: The interactions between key residues and compound 16l.
Therefore, through the molecular docking and molecular dynamic simulations, we believe that the compounds containing the (thiazol-5-yl)methoxy side chain (medium size group), can fully occupy the GOL binding site, and have reasonable properties. Therefore, such compounds could be used as the lead compounds for further anti-TB drug discovery studies.
3. Materials and Methods
3.1. General Information
All reagents and solvents were purchased from the suppliers and used directly in the experiments. THF was dried by distillation ver sodium benzophenone. TLC was carried out using silica gel 60 pre-coated aluminium plates (0.20 mm thickness) from Macherey-Nagel (Darmstadt, Germany) with visualisation by UV light (254 nm). Flash chromatography was performed on silica gel (particle size 40–63 μm). IR spectra were recorded on a Tensor 27 spectrometer (Bruker, Ettlingen, Germany) using KBr discs. 1H-NMR spectra were obtained from an AVANCE III 400 spectrometer (Bruker, Fällanden Switzerland). The chemical shifts, given as δ values, were quoted in parts per million (ppm); 1H-NMR chemical shifts were measured relative to internal tetramethylsilane; Apparent coupling constants (absolute values), J, were measured in Hertz and multiplicities quoted as singlet (s), doublet (d), triplet (t), quartet (q) or combinations thereof as appropriate. Mass spectra were obtained from an 6545 Accurate-Mass Q-TOF LC/MS (Agilent Technologies, Santa Clara, CA, USA). Melting points were determined using a WRS-1B melting point measurement instrument (Shanghai, China) and were uncorrected.
3.2. ChemistryIt
2,4-Diamino-6-chloropyrimidine (2). 2,4-Diamino-6-hydroxypyrimidine (1) (1.00 g, 7.93 mmol) was added to POCl3 (9 mL), and stirred at 97 °C for 17 h. The reaction solution was added to ice water slowly, and then stirred at 90 °C for 1 h. The pH of this solution was adjusted to 8 with NaOH, and then it was extracted with EtOAC (150 mL × 3). The combined organic layers were dried with Na2SO4, filtered and concentrated to give white solid 0.97 g, yield 85%. m.p. 200.2–200.4 °C; IR (KBr): υmax/cm−1 3449 (NH), 3327 (NH), 1642 (C=N), 1581 (C=C), 1551 (C=C), 795 (C-Cl); 1H-NMR (DMSO-d6) δ 6.57 (s, 2H, NH2), 6.31 (s, 2H, NH2), 5.69 (s, 1H, Ar-H); ES-MS 145.0 (M + H)+; HRMS Calcd. for C16H20ClN4O3+ 145.0281, found 145.0276.
General Procedure for the Synthesis of Compounds 3 and 4
Under argon, to a solution of (S)-2,3-isopropylideneglycerol or (R)-2,3-isopropylideneglycerol 0.50 mL (4.0 mmol) in dry DMSO (5 mL) was added NaH 0.20 g (60%, 5.0 mmol) and stirred at room temperature for 1 h. 2,4-Diamino-6-chloropyrimidine (2, 0.29 g, 2.0 mmol) was added and stirred at 90 °C for 8 h. The reaction solution was quenched with sat NH4Cl (20 mL) and extracted with EtOAc (30 mL × 3), and the combined organic layers dried with Na2SO4, filtered and concentrated. The residue was purified by column chromatography on silica gel using CH2Cl2/CH3OH (50:1, v/v) as the eluting solvent to give compounds 3 or 4.
(R)-2,4-Diamino-6-[4-(2,2-dimethyl-1,3-dioxolane)methoxy]pyrimidine (3). White solid 0.37 g, yield 77%; m.p. 89.7–91.0 °C; IR: υmax/cm−1 3474 (NH), 3452 (NH), 3373 (NH), 3359 (NH), 1668 (C=N), 1627 (C=N), 1593 (C=C), 1200 (C-O-C), 1157 (C-O-C), 1082 (C-O-C), 1052 (C-O-C); 1H-NMR (CDCl3) δ 5.28 (s, 1H, Ar-H), 4.71 (s, 2H, NH2), 4.53 (s, 2H, NH2), 4.41 (q, J = 6.0, 1H, CH), 4.25 (d, J = 5.6, 2H, OCH2), 4.11 (dd, J1 = 8.2, J2 = 6.4, 1H, OCH2), 3.81 (dd, J1 = 8.4, J2 = 6.4, 1H, OCH2), 1.44 (s, 3H, CH3), 1.38 (s, 3H, CH3); ES-MS 241.1 (M + H)+; HRMS Calcd. for C16H20ClN4O3+ 241.1301, found 241.1303.
(S)-2,4-Diamino-6-[4-(2,2-dimethyl-1,3-dioxolane)methoxy]pyrimidine (4). White solid 10.32 g, yield 77%; m.p. 87.6–88.9 °C; IR: υmax/cm−1 3474 (NH), 3451 (NH), 3373 (NH), 3358 (NH), 1670 (C=N), 1626 (C=N), 1592 (C=C), 1199 (C-O-C), 1159 (C-O-C), 1085 (C-O-C), 1054 (C-O-C); 1H-NMR (CDCl3) δ 5.29 (s, 1H, Ar-H), 4.67 (s, 2H, NH2), 4.50(s, 2H, NH2), 4.41 (q, J = 6.0, 1H, CH), 4.29–4.22 (m, 2H, OCH2), 4.11 (dd, J1 = 8.8, J2 = 6.4, 1H, OCH2), 3.82 (dd, J1 = 8.4, J2 = 6.0, 1H, OCH2), 1.45 (s, 3H, CH3), 1.38 (s, 3H, CH3); ES-MS 241.1 (M + H)+; HRMS Calcd. for C16H20ClN4O3+ 241.1301, found 241.1306.
General Procedure for the Synthesis of Compounds 5 and 6
Under argon, to a solution of 3 or 4 (7.18 g, 29.88 mmol) in dry CH3CN (100 mL) was added N-iodosuccinimide 10.09 g (44.83 mmol) and stirred at room temperature for 1 h. The reaction solution was diluted with EtOAc (500 mL), washed by 5% NaHSO3 (500 mL), NaHCO3 (500 mL) and H2O (500 mL), and dried with Na2SO4, filtered and concentrated. The residue was purified by column chromatography on silica gel using CH2Cl2/CH3OH (100:1, v/v) as the eluting solvent to give compounds 5 or 6.
(R)-2,4-Diamino-5-iodo-6-[4-(2,2-dimethyl-1,3-dioxolane)methoxy]pyrimidine (5). White solid 13.42 g, yield 98%; m.p. 135.5–136.8 °C; IR: υmax/cm−1 3464 (NH), 3402 (NH), 3356 (NH), 1649 (C=N), 1627 (C=N), 1550 (C=C), 1200 (C-O-C), 1157 (C-O-C), 1082 (C-O-C), 1052 (C-O-C), 476 (C-I); 1H-NMR (CDCl3) δ 5.06 (s, 2H, NH2), 4.69 (s, 2H, NH2), 4.44–4.37 (m, 2H, OCH2 and CH), 4.30–4.25 (m, 1H, OCH2), 4.12 (dd, J1 = 8.4, J2 = 6.4, 1H, OCH2), 3.96 (dd, J1 = 8.4, J2 = 6.0, 1H, OCH2), 1.47 (s, 3H, CH3), 1.39 (s, 3H, CH3); ES-MS 367.0 (M + H)+; HRMS Calcd. for C16H20ClN4O3+ 367.0267, found 367.0265.
(S)-2,4-Diamino-5-iodo-6-[4-(2,2-dimethyl-1,3-dioxolane)methoxy]pyrimidine (6). White solid 10.72 g, yield 96%; m.p. 135.4–136.7 °C; IR: υmax/cm−1 3465 (NH), 3401 (NH), 3360 (NH), 3310 (NH), 1650 (C=N), 1623 (C=N), 1549 (C=C), 1200 (C-O-C), 1157 (C-O-C), 1133 (C-O-C), 1096 (C-O-C), 1071 (C-O-C), 1045 (C-O-C), 478 (C-I); 1H-NMR (CDCl3) δ 5.05 (s, 2H, NH2), 4.68 (s, 2H, NH2), 4.37–4.34 (m, 2H, OCH2 and CH), 4.30–4.25 (m, 1H, CH2), 4.12 (dd, J1 = 8.4, J2 = 6.4, 1H, OCH2), 3.96 (dd, J1 = 8.4, J2 = 6.0, 1H, OCH2), 1.47 (s, 3H, CH3), 1.39 (s, 3H, CH3); ES-MS 367.0 (M + H)+; HRMS Calcd. for C16H20ClN4O3+ 367.0267, found 367.0268.
General Procedure for the Synthesis of Compounds 8a-q and 9a-q
(A) Under argon, to a mixed solution of EtOH/toluene (1:2, 60 mL) was added compound 5 or 6 (2.73 mmol), substituted phenylboronic acid (7) (3.00–5.46 mmol), Pd(PPh3)4 (1.38 × 10−4 mmol) and K2CO3 (3 M, 3.00–5.50 mL) consecutively and then stirred at 90 °C for 1–2 h. The reaction solution was extracted with EtOAc (30 mL × 3), and the combined organic layers were washed by H2O and dried with Na2SO4, filtered and concentrated. The residue was purified by column chromatography on silica gel using CH2Cl2/CH3OH (80:1, v/v) as the eluting solvent to the desired compounds.
(B) In a pressure tube, to a mixed solution of CH3CN/H2O (1:1, 40 mL) was added compound 5 or 6 (2.73 mmol), substituted phenylboronic acid 7p or 7q (4.10 mmol), Pd(dbpf)Cl2 (2.73 × 10−4 mmol) and K2CO3 (4.10 mmol) consecutively and then stirred at 60 °C for 8 h. The reaction solution was extracted with EtOAc (30 mL × 3), and the combined organic layers were washed by H2O and dried with Na2SO4, filtered and concentrated. The residue was purified by column chromatography on silica gel using CH2Cl2/CH3OH (60:1, v/v) as the eluting solvent to the desired compounds.
(R)-2,4-Diamino-5-(4-chlorophenyl)-6-[4-(2,2-dimethyl-1,3-dioxolane)methoxy]pyrimidine (8a). Method A. White solid 0.64 g, yield 67%; m.p. 171.2–172.8 °C; IR: υmax/cm−1 3475 (NH), 3454 (NH), 3305 (NH), 3315 (NH), 1649 (C=N), 1620 (C=N), 1592 (C=C), 1549 (C=C), 1479 (C=C), 1160 (C-O-C), 1144 (C-O-C), 1089 (C-O-C), 794 (C-Cl); 1H-NMR (CDCl3) δ 7.36 (d, J = 8.4, 2H, Ar-H), 7.25 (d, J = 8.0, 2H, Ar-H), 4.69 (s, 2H, NH2), 4.52 (s, 2H, NH2), 4.36 (dd, J1 = 10.8, J2 = 4.4, 1H, OCH2), 4.31–4.26 (m, 1H, CH), 4.20 (dd, J1 = 10.8, J2 = 5.6, 1H, OCH2), 3.97 (dd, J1 = 8.4, J2 = 6.4, 1H, OCH2), 3.72 (dd, J1 = 8.4, J2 = 6.0, 1H, OCH2), 1.32 (s, 3H, CH3), 1.28 (s, 3H, CH3); ES-MS 351.1 (M + H)+; HRMS Calcd. for C16H20ClN4O3+ 351.1224, found 351.1222.
(R)-2,4-Diamino-5-(4-fluorophenyl)-6-[4-(2,2-dimethyl-1,3-dioxolane)methoxy]pyrimidine (8b). Method A. White solid 0.61 g, yield 74%; m.p. 162.3–163.0 °C; IR: υmax/cm−1 3526 (NH), 3483 (NH), 3369 (NH), 3312 (NH), 1647 (C=N), 1626 (C=N), 1593 (C=C), 1558 (C=C), 1510 (C=C), 1485(C=C), 1383 (C-F), 1160 (C-O-C), 1128 (C-O-C), 1105 (C-O-C), 1090 (C-O-C); 1H-NMR (CDCl3) δ 7.27 (dd, J1 = 8.8, J2 = 5.6, 2H, Ar-H), 7.08 (t, J = 8.8, 2H, Ar-H), 4.69 (s, 2H, NH2), 4.52 (s, 2H, NH2), 4.36 (dd, J1 = 10.8, J2 = 4.0, 1H, OCH2), 4.31–4.26 (m, 1H, CH), 4.20 (dd, J1 = 10.8, J2 = 5.6, 1H, OCH2), 3.96 (dd, J1 = 8.4, J2 = 6.4, 1H, OCH2), 3.71 (dd, J1 = 8.4, J2 = 6.0, 1H, OCH2), 1.32 (s, 3H, CH3), 1.27 (s, 3H, CH3); ES-MS 335.2 (M + H)+; HRMS Calcd. for C16H20FN4O3+ 335.1519, found 335.1515.
(R)-2,4-Diamino-5-(3,4-dichlorophenyl)-6-[4-(2,2-dimethyl-1,3-dioxolane)methoxy]pyrimidine (8c). Method A. White solid 0.55 g, yield 52%; m.p. 164.1–165.9 °C; IR: υmax/cm−1 3487 (NH), 3378 (NH), 3316 (NH), 1651 (C=N), 1624 (C=N), 1600 (C=C), 1556 (C=C), 1489 (C=C), 1154 (C-O-C), 1134 (C-O-C), 1191 (C-O-C), 1073 (C-O-C), 795 (C-Cl); 1H-NMR (CDCl3) δ 7.45 (d, J = 8.0, 1H, Ar-H), 7.44 (d, J = 2.0, 1H, Ar-H), 7.17 (dd, J1 = 8.0, J2 = 2.0, 1H, Ar-H), 4.73 (s, 2H, NH2), 4.56 (s, 2H, NH2), 4.35 (dd, J1 = 10.4, J2= 4.4, 1H, OCH2), 4.33–4.27 (m, 1H, CH), 4.22 (dd, J1 =10.4 , J2 = 5.2, 1H, OCH2), 3.99 (dd, J1 = 8.4, J2 = 6.0, 1H, OCH2), 3.73 (dd, J1 = 8.4, J2 = 6.0, 1H, OCH2), 1.33 (s, 3H, CH3), 1.30 (s, 3H, CH3); ES-MS 385.1 (M + H)+; HRMS Calcd. for C16H19Cl2N4O3+ 385.0834, found 385.0830.
(R)-2,4-Diamino-5-(3-chloro-4-fluorophenyl)-6-[4-(2,2-dimethyl-1,3-dioxolane)methoxy]pyrimidine (8d). Method A. White solid 0.64 g, yield 64%; m.p. 149.1–150.1 °C; IR: υmax/cm−1 3484 (NH), 3382 (NH), 3320 (NH), 1650 (C=N), 1621(C=N), 1594 (C=C), 1553 (C=C), 1502 (C=C), 1372 (C-F), 1160 (C-O-C), 1092 (C-O-C), 1065 (C-O-C), 797 (C-Cl); 1H-NMR (CDCl3) δ 7.37 (dd, J1 = 7.2, J2 = 1.6, 1H, Ar-H), 7.20–7.14 (m, 2H, Ar-H), 4.71 (s, 2H, NH2), 4.53 (s, 2H, NH2), 4.35 (dd, J1 = 10.6, J2 = 4.2, 1H, OCH2), 4.32–4.27 (m, 1H, CH), 4.22 (dd, J1 = 10.6, J2 = 5.4, 1H, OCH2), 3.98 (dd, J1 = 8.4, J2 = 6.0, 1H, OCH2), 3.72 (dd, J1 = 8.4, J2 = 6.0, 1H, OCH2), 1.33 (s, 3H, CH3), 1.29 (s, 3H, CH3); ES-MS 369.1 (M + H)+; HRMS Calcd. for C16H19ClFN4O3+, 369.1130, found 369.1128.
(R)-2,4-Diamino-5-(4-trifluoromethylphenyl)-6-[4-(2,2-dimethyl-1,3-dioxolane)methoxy]pyrimidine (8e). Method A. Light yellow solid 0.72 g, yield 69%; m.p. 126.6–127.2 °C; IR: υmax/cm−1 3530 (NH), 3511 (NH), 3444 (NH), 3420 (NH), 1649 (C=N), 1609 (C=N), 1593 (C=C), 1558 (C=C), 1491 (C=C), 1171 (C-O-), 1128 (C-O-C), 1094 (C-O-C), 1072 (C-O-C), 1046 (C-O-C); 1H-NMR (CDCl3) δ 7.64 (d, J = 8.2, 2H, Ar-H), 7.46 (d, J = 8.2, 2H Ar-H), 4.73 (s, 2H, NH2), 4.56 (s, 2H, NH2), 4.37 (dd, J1 = 11.2, J2 = 4.2, 1H, OCH2), 4.32–4.27 (m, 1H, CH), 4.22 (dd, J1 = 11.2, J2 = 5.6, 1H, OCH2), 3.97 (dd, J1 = 8.4, J2 = 6.0, 1H, OCH2), 3.71 (dd, J1 = 8.4, J2 = 6.0, 1H, OCH2), 1.32 (s, 3H, CH3), 1.24 (s, 3H, CH3); ES-MS 385.1 (M + H)+; HRMS Calcd. for C17H20F3N4O3+ 385.1488, found 385.1485.
(R)-2,4-Diamino-5-(3-trifluoromethylphenyl)-6-[4-(2,2-dimethyl-1,3-dioxolane)methoxy]pyrimidine (8f). Method A. Light yellow solid 0.64 g, yield 68%; m.p. 126.0–126.8 °C; IR: υmax/cm−1 3467 (NH), 3418 (NH), 3336 (NH), 1650 (C=N), 1625 (C=N), 1593 (C=C), 1556 (C=C), 1523 (C=C), 1163 (C-O-C), 1118 (C-O-C), 1106 (C-O-C), 1068 (C-O-C); 1H-NMR (CDCl3) δ 7.61 (s, 1H, Ar-H), 7.56–7.49 (m, 3H, Ar-H), 4.73 (s, 2H, NH2), 4.55 (s, 2H, NH2), 4.36 (dd, J1 = 10.6, J2 = 4.2, 1H, OCH2), 4.31–4.26 (m, 1H, CH), 4.22 (dd, J1 = 10.6, J2 = 5.8, 1H, OCH2), 3.96 (dd, J1 = 8.4, J2 = 6.4, 1H, OCH2), 3.70 (dd, J1 = 8.4, J2 = 6.0, 1H, OCH2), 1.32 (s, 3H, CH3), 1.25 (s, 3H, CH3); ES-MS 385.1 (M + H)+; HRMS Calcd. for C17H20F3N4O3+ 385.1488, found 385.1491.
(R)-2,4-Diamino-5-(4-trifluoromethoxyphenyl)-6-[4-(2,2-dimethyl-1,3-dioxolane)methoxy]pyrimidine (8g). Method A. Yellow solid 0.77 g, yield 70%; m.p. 37.1–38.0 °C; IR: υmax/cm−1 3482 (NH), 3368 (NH), 1611 (C=N), 1560 (C=C), 1510 (C=C), 1374 (C-F), 1161 (C-O-C), 1092 (C-O-C), 1052 (C-O-C); 1H-NMR (CDCl3) δ 7.35 (d, J = 8.4, 2H, Ar-H), 7.24 (d, J = 8.4, 1H, Ar-H), 4.71 (s, 2H, NH2), 4.54 (s, 2H, NH2), 4.38 (dd, J1 = 10.8, J2 = 4.0, 1H, OCH2), 4.32–4.27 (m, 1H, CH), 4.21 (dd, J1 = 10.8, J2 = 5.6, 1H, OCH2), 3.96 (dd, J1 = 8.4, J2 = 6.4, 1H, OCH2), 3.72 (dd, J1 = 8.4, J2 = 6.4, 1H, OCH2), 1.32 (s, 3H, CH3), 1.23 (s, 3H, CH3); ES-MS 401.1(M + H)+; HRMS Calcd. for C17H20F3N4O4+ 401.1437, found 401.1434.
(R)-2,4-Diamino-5-(3-trifluoromethoxyphenyl)-6-[4-(2,2-dimethyl-1,3-dioxolane)methoxy]pyrimidine (8h). Method A. Yellow solid 0.72 g, yield 66%; m.p. 36.2–37.1 °C; IR: υmax/cm−1 3488 (NH), 3361 (NH), 1611 (C=N), 1560 (C=C), 1379 (C-F), 1158 (C-O-C), 1082 (C-O-C), 1047 (C-O-C); 1H-NMR (CDCl3) δ 7.41 (t, J = 8.0, 1H, Ar-H), 7.28–7.26 (m, 1H Ar-H), 7.21 (s, 1H, Ar-H), 7.14 (d, J = 8.4, 1H, Ar-H), 4.73 (s, 2H, NH2), 4.58 (s, 2H, NH2), 4.36 (dd, J1 = 10.8, J2 = 4.0, 1H, OCH2), 4.32–4.26 (m, 1H, CH), 4.21 (dd, J1 = 10.8, J2 = 6.0, 1H, OCH2), 3.97 (dd, J1 = 8.4, J2 = 6.4, 1H, OCH2), 3.72 (dd, J1 = 8.4, J2 = 6.0, 1H, OCH2), 1.32 (s, 3H, CH3), 1.27 (s, 3H, CH3); ES-MS 401.1 (M + H)+; HRMS Calcd. for C17H20F3N4O4+ 401.1437, found 401.1440.
(R)-2,4-Diamino-5-(4-cyanophenyl)-6-[4-(2,2-dimethyl-1,3-dioxolane)methoxy]pyrimidine (8i). Method A. White solid 0.62 g, yield 67%; m.p. 209.3–209.9 °C; IR: υmax/cm−1 3482 (NH), 3456 (NH), 3370 (NH), 3332 (NH), 2228 (CN), 1655 (C=N), 1621 (C=N), 1585 (C=C), 1564 (C=C), 1157 (C-O-C), 1091 (C-O-C), 1051 (C-O-C); 1H-NMR (CDCl3) δ 7.68 (d, J = 8.4, 2H, Ar-H), 7.47 (d, J = 8.4, 2H Ar-H), 4.76 (s, 2H, NH2), 4.57 (s, 2H, NH2), 4.36 (dd, J1 = 10.8, J2 = 4.0, 1H, OCH2), 4.32–4.27 (m, 1H, CH), 4.23 (dd, J1 = 10.8, J2 = 6.0, 1H, OCH2), 3.97 (dd, J1 = 8.4, J2 = 6.4, 1H, OCH2), 3.70 (dd, J1 = 8.4, J2 = 6.0, 1H, OCH2), 1.32 (s, 3H, CH3), 1.28 (s, 3H, CH3); ES-MS 342.1 (M + H)+; HRMS Calcd. for C17H20N5O3+ 342.1566, found 342.1570.
(R)-2,4-Diamino-5-(4-methoxyphenyl)-6-[4-(2,2-dimethyl-1,3-dioxolane)methoxy]pyrimidine (8j). Method A. White solid 0.64 g, yield 68%; m.p. 119.7–120.2 °C; IR: υmax/cm−1 3456 (NH), 3348 (NH), 1643 (C=N), 1617(C=N), 1594 (C=C), 1560 (C=C), 1512 (C=C), 1171 (C-O-C), 1082 (C-O-C), 1050 (C-O-C); 1H-NMR (CDCl3) δ 7.21 (d, J = 8.8, 2H, Ar-H), 6.93 (d, J = 8.8, 2H, Ar-H), 4.65 (s, 2H, NH2), 4.53 (s, 2H, NH2), 4.37 (dd, J1 = 10.8, J2 = 4.0, 1H, OCH2), 4.32–4.26 (m, 1H, CH), 4.19 (dd, J1 = 10.8, J2 = 6.0, 1H, OCH2), 3.96 (dd, J1 = 8.4, J2 = 6.4, 1H, OCH2), 3.82 (s, 3H, OCH3), 3.74 (dd, J1 = 8.4, J2 = 6.4, 1H, OCH2), 1.32 (s, 3H, CH3), 1.28 (s, 3H, CH3); ES-MS 347.2 (M + H)+; HRMS Calcd. for C17H23N4O4+ 347.1719, found 347.1723.
(R)-2,4-Diamino-5-(3,4,5-trimethoxyphenyl)-6-[4-(2,2-dimethyl-1,3-dioxolane)methoxy]pyrimidine (8k). Method A. White solid 0.70 g, yield 63%; m.p. 183.8–184.1 °C; IR: υmax/cm−1 3458 (NH), 3421 (NH), 3339 (NH), 1661 (C=N), 1631(C=N), 1588 (C=C), 1557 (C=C), 1511 (C=C), 1164 (C-O-C), 1128 (C-O-C), 1074 (C-O-C); 1H-NMR (CDCl3) δ 6.54 (s, 2H, Ar-H), 4.67 (s, 2H, NH2), 4.62 (s, 2H, NH2), 4.38–4.31 (m, 2H, OCH2), 4.27–4.20 (m, 1H, CH), 4.01 (dd, J1 = 8.4, J2 = 6.4, 1H, OCH2), 3.87 (s, 3H, OCH3), 3.84 (s, 6H, OCH3 × 2), 3.77 (dd, J1 = 8.0, J2 = 6.0, 1H, OCH2), 1.32 (s, 3H, CH3), 1.28 (s, 3H, CH3); ES-MS 407.2 (M + H)+; HRMS Calcd. for C19H27N4O6+ 407.1931, found 407.1927.
(R)-2,4-Diamino-5-[3-(2,2,2-trifloroethoxymethyl)phenyl]-6-[4-(2,2-dimethyl-1,3-dioxolane)methoxy]-pyrimidine (8l). Method A. Yellow solid 0.72 g, yield 62%; m.p. 32.2–33.2 °C; IR: υmax/cm−1 3485 (NH), 3367 (NH), 1609 (C=N), 1559 (C=C), 1491 (C=C), 1373 (C-F), 1159 (C-O-C), 1093 (C-O-C), 1049 (C-O-C); 1H-NMR (CDCl3) δ 7.40 (t, J = 7.6, 1H, Ar-H), 7.30–7.27 (m, 3H, Ar-H), 4.68 (s, 4H, CH2, NH2), 4.56 (s, 2H, NH2), 4.35 (dd, J1 = 10.8, J2 = 4.0, 1H, OCH2), 4.32–4.26 (m, 1H, CH), 4.22 (dd, J1 = 10.4, J2 = 5.6, 1H, OCH2), 3.96 (dd, J1 = 8.4, J2 = 6.4, 1H, OCH2), 3.87 (q, J = 8.8, 2H, CF3CH2), 3.73 (dd, J1 = 8.0, J2 = 5.8, 1H, OCH2), 1.31 (s, 3H, CH3), 1.25 (s, 3H, CH3); ES-MS 429.2(M + H)+; HRMS Calcd. for C19H24F3N4O4+ 429.1750, found 429.1747.
(R)-2,4-Diamino-5-[3,5-dimethyl-4-(N-methoxyaminosulfonyl)phenyl]-6-[4-(2,2-dimethyl-1,3-dioxolane)-methoxy]pyrimidine (8m). Method A. Light yellow solid 0.69 g, yield 56%; m.p. 157.7–158.8 °C; IR: υmax/cm−1 3485 (NH), 3446 (NH), 3347 (NH), 3223 (NH), 1640 (C=N), 1617 (C=N), 1591 (C=C), 1562 (C=C), 1490 (C=C), 1170 (C-O-C), 1096 (C-O-C), 1053 (C-O-C); 1H-NMR (CDCl3) δ 7.43 (s, 1H, NH), 7.18 (s, 2H, Ar-H), 4.74 (s, 2H, NH2), 4.61 (s, 2H, NH2), 4.35 (dd, J1 = 10.2, J2 = 5.0, 1H, OCH2), 4.32–4.27 (m, 1H, CH), 4.24 (dd, J1 = 10.2, J2 = 5.0, 1H, OCH2), 3.99 (dd, J1 = 8.2, J2 = 6.2, 1H, OCH2), 3.75–3.72 (m, 4H, OCH3 and OCH2), 2.69 (s, 6H, CH3 × 2), 1.33 (s, 3H, CH3), 1.29 (s, 3H, CH3); ES-MS 454.2 (M + H)+; HRMS Calcd. for C19H28N5O6S+ 454.1760, found 454.1756.
(R)-2,4-Diamino-5-[4-(morpholine-4-carbonyl)phenyl]-6-[4-(2,2-dimethyl-1,3-dioxolane)methoxy]pyrimidine (8n). Method A. Yellow solid 0.90 g, yield 77%; m.p. 189.4–190.5 °C; IR: υmax/cm−1 3492 (NH), 3430 (NH), 3334 (NH), 1659 (C=N), 1611(C=N), 1588 (C=C), 1560 (C=C), 1516 (C=C), 1488 (C=C), 1156 (C-O-C), 1114 (C-O-C), 1070 (C-O-C), 1051(C-O-C); 1H-NMR (CDCl3) δ 7.44 (d, J = 8.4, 2H, Ar-H), 7.38 (d, J = 8.4, 2H, Ar-H), 4.71 (s, 2H, NH2), 4.57 (s, 2H, NH2), 4.35 (dd, J1 = 10.8, J2 = 4.2, 1H, OCH2), 4.32–4.29 (m, 1H, CH), 4.22 (dd, J1 = 10.8, J2 = 5.6, 1H, OCH2), 3.97 (dd, J1 = 8.4, J2 = 6.4, 1H, OCH2), 3.82–3.51 (m, 8H, CH2 × 4), 3.73 (dd, J1 = 8.0, J2 = 6.0, 1H, OCH2), 1.32 (s, 3H, CH3), 1.27 (s, 3H, CH3); ES-MS 430.2 (M + H)+; HRMS Calcd. for C21H28N5O5+ 430.2090, found 430.2092.
(R)-2,4-Diamino-5-[4-(3-trifloromethoxyanilinocarbonyl)phenyl]-6-[4-(2,2-dimethyl-1,3-dioxolane)-methoxy]pyrimidine (8o). Method A. White solid 0.73 g, yield 52%; m.p. 122.9–124.5 °C; IR: υmax/cm−1 3496 (NH), 3340 (NH), 3192 (CONH), 1655 (C=N), 1607 (C=C), 1565 (C=C), 1492 (C=C), 1156 (C-O-C), 1082 (C-O-C); 1H-NMR (CDCl3) δ 8.07 (s, 1H, NH), 7.85 (d, J = 8.4, 2H, Ar-H), 7.71 (s, 1H, Ar-H), 7.54 (dd, J1 = 8.0, J2 = 1.2, 1H, Ar-H), 7.45 (d, J = 8.4, 2H, Ar-H), 7.38 (t, J = 8.0, 1H, Ar-H), 7.02 (d, J = 8.0, 1H, Ar-H), 4.74 (s, 2H, NH2), 4.58 (s, 2H, NH2), 4.35 (dd, J1 = 9.6, J2 = 3.8, 1H, OCH2), 4.32–4.29 (m, 1H, CH), 4.27 (dd, J1 = 9.6, J2 = 4.6, 1H, OCH2), 3.99 (dd, J1 = 8.4, J2 = 6.0, 1H, OCH2), 3.73 (dd, J1 = 8.2, J2 = 5.4, 1H, OCH2), 1.30 (s, 3H, CH3), 1.29 (s, 3H, CH3); ES-MS 520.2 (M + H)+; HRMS Calcd. for C24H25F3N5O5+ 520.1808, found 520.1810.
(R)-2,4-Diamino-5-(4-methoxycarbonylphenyl)-6-[4-(2,2-dimethyl-1,3-dioxolane)methoxy]pyrimidine (8p). Method B. White solid 0.64 g, yield 63%; m.p. 151.3–152.4 °C; IR: υmax/cm−1 3500 (NH), 3443 (NH), 3391 (NH), 3335 (NH), 1709 (C=O), 1657 (C=N), 1608 (C=N), 1568 (C=C), 1556 (C=C), 1513 (C=C), 1194 (C-O-C), 1180 (C-O-C), 1152 (C-O-C), 1116 (C-O-C), 1067 (C-O-C); 1H-NMR (CDCl3) δ 8.05 (dd, J1 = 6.8, J2 = 1.6, 2H, Ar-H), 7.42 (dd, J1 = 6.8, J2 = 1.6, 2H, Ar-H), 4.72 (s, 2H, NH2), 4.58 (s, 2H, NH2), 4.36 (dd, J1 = 10.4, J2 = 4.0, 1H, OCH2), 4.31–4.26 (m, 1H, CH), 4.22 (dd, J1 = 10.4, J2 = 6.0, 1H, OCH2), 3.96 (dd, J1 = 8.0, J2 = 6.0, 1H, OCH2), 3.93 (s, 3H, OCH3), 3.72 (dd, J1 = 8.4, J2 = 6.0, 1H, OCH2), 1.32 (s, 3H, CH3), 1.27 (s, 3H, CH3); ES-MS 375.2(M + H)+; HRMS Calcd. for C18H23N4O5+ 375.1668, found 375.1664.
(R)-2,4-Diamino-5-(3-methoxycarbonylphenyl)-6-[4-(2,2-dimethyl-1,3-dioxolane)methoxy]pyrimidine (8q). Method B. White solid 0.66 g, yield 65%; m.p. 181.4–181.6 °C; IR: υmax/cm−1 3477 (NH), 3373 (NH), 3326 (NH), 1708 (C=O), 1651 (C=N), 1626 (C=N), 1597 (C=C), 1558 (C=C), 1490 (C=C), 1158 (C-O-C), 1115 (C-O-C), 1084 (C-O-C), 1049 (C-O-C); 1H-NMR (CDCl3) δ 8.00 (t, J = 1.6, 1H, Ar-H), 7.96 (dt, J1 = 7.6, J2 = 1.6, 1H, Ar-H), 7.52 (dt, J1 = 7.6, J2 = 1.6, 1H, Ar-H), 7.47 (t, J = 7.6, 1H, Ar-H), 4.71 (s, 2H, NH2), 4.54 (s, 2H, NH2), 4.37 (dd, J1 = 10.8, J2 = 4.0, 1H, OCH2), 4.30–4.25 (m, 1H, CH), 4.19 (dd, J1 = 10.8, J2 = 6.0, 1H, OCH2), 3.96 (dd, J1 = 8.4, J2 = 6.0, 1H, OCH2), 3.92 (s, 3H, OCH3), 3.73 (dd, J1 = 8.4, J2 = 6.0, 1H, OCH2), 1.31 (s, 3H, CH3), 1.25 (s, 3H, CH3); ES-MS 375.2(M + H)+; HRMS Calcd. for C18H23N4O5+ 375.1668, found 375.1670.
(S)-2,4-Diamino-5-(4-chlorophenyl)-6-[4-(2,2-dimethyl-1,3-dioxolane)methoxy]pyrimidine (9a). Method A. White solid 0.58 g, yield 61%; m.p. 171.9–172.1 °C; IR: υmax/cm−1 3475 (NH), 3454 (NH), 3396 (NH), 3315 (NH), 1649 (C=N), 1620 (C=N), 1593 (C=C), 1549 (C=C), 1479 (C=C), 1160 (C-O-C), 1141 (C-O-C), 1089(C-O-C), 794 (C-Cl); 1H-NMR (CDCl3) δ 7.36 (d, J = 8.2, 2H, Ar-H), 7.25 (d, J = 8.2, 2H, Ar-H), 4.69 (s, 2H, NH2), 4.53 (s, 2H, NH2), 4.36 (dd, J1 = 10.8, J2 = 4.0, 1H, OCH2), 4.31–4.26 (m, 1H, CH), 4.20 (dd, J1 = 10.8, J2 = 5.6, 1H, OCH2), 3.97 (dd, J1 = 8.4, J2 = 6.4, 1H, OCH2), 3.72 (dd, J1 = 8.4, J2 = 6.0, 1H, OCH2), 1.32 (s, 3H, CH3), 1.28 (s, 3H, CH3); ES-MS 351.1 (M + H)+; HRMS Calcd. for C16H20ClN4O3+ 351.1224, found 351.1220.
(S)-2,4-Diamino-5-(4-fluorophenyl)-6-[4-(2,2-dimethyl-1,3-dioxolane)methoxy]pyrimidine (9b). Method A. White solid 0.57 g, yield 62%; m.p. 164.1–164.5 °C; IR: υmax/cm−1 3527 (NH), 3482 (NH), 3370 (NH), 3312 (NH), 1646 (C=N), 1626 (C=N), 1593 (C=C), 1558 (C=C), 1512 (C=C), 1484 (C=C), 1380 (C-F), 1159 (C-O-C), 1130 (C-O-C), 1091 (C-O-C); 1H-NMR (CDCl3) δ 7.26 (dd, J1 = 8.8, J2 = 5.2, 2H, Ar-H), 7.08 (t, J = 8.8, 2H, Ar-H), 4.67 (s, 2H, NH2), 4.50 (s, 2H, NH2), 4.36 (dd, J1 = 10.8, J2 = 4.0, 1H, OCH2), 4.31–4.26 (m, 1H, CH), 4.20 (dd, J1 = 10.8, J2 = 5.6, 1H, OCH2), 3.96 (dd, J1 = 8.4, J2 = 6.4, 1H, OCH2), 3.72 (dd, J1 = 8.4, J2 = 6.0, 1H, OCH2), 1.32 (s, 3H, CH3), 1.27 (s, 3H, CH3); ES-MS 335.2 (M + H)+; HRMS Calcd. for C16H20FN4O3+ 335.1519, found 335.1521.
(S)-2,4-Diamino-5-(3,4-dichlorophenyl)-6-[4-(2,2-dimethyl-1,3-dioxolane)methoxy]pyrimidine (9c). Method A. White solid 0.58 g, yield 55%; m.p. 167.3–167.7 °C; IR: υmax/cm−1 3487 (NH), 3434(NH), 3378 (NH), 3318 (NH), 1650 (C=N), 1624 (C=N), 1600 (C=C), 1558 (C=C), 1487 (C=C), 1155 (C-O-C), 1093 (C-O-C), 1047 (C-O-C), 795 (C-Cl); 1H-NMR (CDCl3) δ 7.47 (d, J = 8.4, 1H, Ar-H), 7.44 (d, J = 2.0, 1H, Ar-H), 7.18 (dd, J1 = 8.4, J2 = 2.0, 1H, Ar-H), 4.71 (s, 2H, NH2), 4.54 (s, 2H, NH2), 4.35 (dd, J1 = 10.4, J2 = 4.4, 1H, OCH2), 4.33–4.27 (m, 1H, CH), 4.22 (dd, J1 = 10.4, J2 = 5.2, 1H, OCH2), 3.99 (dd, J1 = 8.4, J2 = 6.0, 1H, OCH2), 3.73 (dd, J1 = 8.4, J2 = 6.0, 1H, OCH2), 1.34 (s, 3H, CH3), 1.30 (s, 3H, CH3); ES-MS 385.1 (M + H)+; HRMS Calcd. for C16H19Cl2N4O3+ 385.0834, found 385.0838.
(S)-2,4-Diamino-5-(3-chloro-4-fluorophenyl)-6-[4-(2,2-dimethyl-1,3-dioxolane)methoxy]pyrimidine (9d). Method A. White solid 0.56 g, yield 56%; m.p. 152.4–152.6 °C; IR: υmax/cm−1 3527 (NH), 3477 (NH), 3377 (NH), 3355 (NH), 1626 (C=N), 1598 (C=C), 1559 (C=C), 1482 (C=C), 1376 (C-F), 1163 (C-O-C), 1128 (C-O-C), 1093 (C-O-C), 1043 (C-O-C), 798 (C-Cl); 1H-NMR (CDCl3) δ 7.37 (dd, J1 = 7.0, J2 = 1.8, 1H, Ar-H), 7.21–7.14 (m, 2H, Ar-H), 4.71 (s, 2H, NH2), 4.53 (s, 2H, NH2), 4.35 (dd, J1 = 10.6, J2 = 4.2, 1H, OCH2), 4.32–4.27 (m, 1H, CH), 4.22 (dd, J1 = 10.6, J2 = 5.4, 1H, OCH2), 3.98 (dd, J1 = 8.4, J2 = 6.4, 1H, OCH2), 3.72 (dd, J1 = 8.4, J2 = 6.0, 1H, OCH2), 1.33 (s, 3H, CH3), 1.29 (s, 3H, CH3); ES-MS 369.1 (M + H)+; HRMS Calcd. for C16H19ClFN4O3+, 369.1130, found 369.1132.
(S)-2,4-Diamino-5-(4-trifluoromethylphenyl)-6-[4-(2,2-dimethyl-1,3-dioxolane)methoxy]pyrimidine (9e). Method A. Light yellow solid 0.64 g, yield 61%; m.p. 130.0–131.6 °C; IR: υmax/cm−1 3467 (NH), 3418 (NH), 3336 (NH), 1650 (C=N), 1625 (C=N), 1593 (C=C), 1556 (C=C), 1523 (C=C), 1163 (C-O-C), 1118 (C-O-C), 1106 (C-O-C), 1068 (C-O-C); 1H-NMR (CDCl3) δ 7.64 (d, J = 8.0, 2H, Ar-H), 7.46 (d, J = 8.0, 2H, Ar-H), 4.72 (s, 2H, NH2), 4.55 (s, 2H, NH2), 4.37 (dd, J1 = 10.8, J2 = 4.2, 1H, OCH2), 4.32–4.27 (m, 1H, CH), 4.22 (dd, J1 = 10.8, J2 = 5.6, 1H, OCH2), 3.97 (dd, J1 = 8.4, J2 = 6.0, 1H, OCH2), 3.71 (dd, J1 = 8.4, J2 = 6.0, 1H, OCH2), 1.32 (s, 3H, CH3), 1.24 (s, 3H, CH3); ES-MS 385.1 (M + H)+; HRMS Calcd. for C17H20F3N4O3+ 385.1488, found 385.1490.
(S)-2,4-Diamino-5-(3-trifluoromethylphenyl)-6-[4-(2,2-dimethyl-1,3-dioxolane)methoxy]pyrimidine (9f). Method A. Light yellow solid 0.74 g, yield 71%; m.p. 126.3–126.5 °C; IR: υmax/cm−1 3512 (NH), 3420 (NH), 3382 (NH), 3327 (NH), 1650 (C=N), 1612 (C=N), 1593 (C=C), 1559 (C=C), 1171 (C-O-C), 1128 (C-O-C), 1094 (C-O-C), 1072 (C-O-C), 1046 (C-O-C); 1H-NMR (CDCl3) δ 7.61 (s, 1H, Ar-H), 7.56–7.49 (m, 3H, Ar-H), 4.73 (s, 2H, NH2), 4.55 (s, 2H, NH2), 4.36 (dd, J1 = 10.8, J2 = 4.0, 1H, OCH2), 4.31–4.25 (m, 1H, CH), 4.21 (dd, J1 = 10.8, J2 = 5.6, 1H, OCH2), 3.97 (dd, J1 = 8.2, J2 = 6.0, 1H, OCH2), 3.71 (dd, J1 = 8.2, J2= 6.0, 1H, OCH2), 1.32 (s, 3H, CH3), 1.25 (s, 3H, CH3); ES-MS 385.1 (M + H)+; HRMS Calcd. for C17H20F3N4O3+ 385.1488, found 385.1491.
(S)-2,4-Diamino-5-(4-trifluoromethoxyphenyl)-6-[4-(2,2-dimethyl-1,3-dioxolane)methoxy]pyrimidine (9g). Method A. Yellow solid 0.80 g, yield 73%; m.p. 36.7–37.7 °C; IR: υmax/cm−1 3487 (NH), 3358 (NH), 1612 (C=N), 1559 (C=C), 1510 (C=C), 1374 (C-F), 1160 (C-O-C), 1092 (C-O-C), 1053 (C-O-C); 1H-NMR (CDCl3) δ 7.35 (d, J = 8.4, 2H, Ar-H), 7.24 (d, J = 8.4, 1H, Ar-H), 4.70 (s, 2H, NH2), 4.53 (s, 2H, NH2), 4.38 (dd, J1 = 11.2, J2 = 4.0, 1H, OCH2), 4.32–4.26 (m, 1H, CH), 4.21 (dd, J1 = 11.2, J2 = 5.4, 1H, OCH2), 3.96 (dd, J1 = 8.4, J2 = 6.4, 1H, OCH2), 3.72 (dd, J1 = 8.2, J2 = 6.2, 1H, OCH2), 1.32 (s, 3H, CH3), 1.24 (s, 3H, CH3); ES-MS 401.1(M + H)+; HRMS Calcd. for C17H20F3N4O4+ 401.1437, found 401.1440.
(S)-2,4-Diamino-5-(3-trifluoromethoxyphenyl)-6-[4-(2,2-dimethyl-1,3-dioxolane)methoxy]pyrimidine (9h). Method A. Yellow solid 0.73 g, yield 67%; m.p. 33.7–34.7 °C; IR: υmax/cm−1 3490 (NH), 3360 (NH), 1611 (C=N), 1561 (C=C), 1379 (C-F), 1158 (C-O-C), 1082 (C-O-C), 1047 (C-O-C); 1H-NMR (CDCl3) δ 7.41 (t, J = 8.0, 1H, Ar-H), 7.28–7.26 (m, 1H Ar-H), 7.21 (s, 1H, Ar-H) 7.14 (dt, J1 = 8.4, J2 = 1.2, 1H, Ar-H), 4.75 (s, 2H, NH2), 4.60 (s, 2H, NH2), 4.36 (dd, J1 = 10.8, J2 = 4.2, 1H, OCH2), 4.32–4.26 (m, 1H, CH), 4.21 (dd, J1 = 10.8, J2 = 5.6, 1H, OCH2), 3.97 (dd, J1 = 8.4, J2 = 6.4, 1H, OCH2), 3.72 (dd, J1 = 8.4, J2 = 6.0, 1H, OCH2), 1.32 (s, 3H, CH3), 1.27 (s, 3H, CH3); ES-MS 401.1(M + H)+; HRMS Calcd. for C17H20F3N4O4+ 401.1437, found 401.1435.
(S)-2,4-Diamino-5-(4-cyanophenyl)-6-[4-(2,2-dimethyl-1,3-dioxolane)methoxy]pyrimidine (9i). Method A. White solid 0.66 g, yield 71%; m.p. 221.4–221.9 °C; IR: υmax/cm−1 3482 (NH), 3456 (NH), 3371 (NH), 3332 (NH), 2228 (CN), 1654 (C=N), 1620 (C=N), 1586 (C=C), 1564 (C=C), 1157 (C-O-C), 1091 (C-O-C), 1051 (C-O-C); 1H-NMR (CDCl3) δ 7.67 (d, J = 8.4, 2H, Ar-H), 7.47 (d, J = 8.4, 2H Ar-H), 4.75 (s, 2H, NH2), 4.57 (s, 2H, NH2), 4.36 (dd, J1 = 10.8, J2 = 4.0, 1H, OCH2), 4.32–4.27 (m, 1H, CH), 4.23 (dd, J1 = 10.4, J2 = 4.2, 1H, OCH2), 3.97 (dd, J1 = 8.4, J2 = 6.4, 1H, OCH2), 3.70 (dd, J1 = 8.4, J2 = 6.0, 1H, OCH2), 1.32 (s, 3H, CH3), 1.28 (s, 3H, CH3); ES-MS 342.1 (M + H)+; HRMS Calcd. for C17H20N5O3+ 342.1566, found 342.1564.
(S)-2,4-Diamino-5-(4-methoxyphenyl)-6-[4-(2,2-dimethyl-1,3-dioxolane)methoxy]pyrimidine (9j). Method A. White solid 0.57 g, yield 60%; m.p. 120.1–121.3 °C; IR: υmax/cm−1 3458 (NH), 3349 (NH), 1620 (C=N), 1594 (C=C), 1558 (C=C), 1513 (C=C), 1157 (C-O-C), 1085 (C-O-C), 1046 (C-O-C); 1H-NMR (CDCl3) δ 7.21 (d, J = 8.8, 2H, Ar-H), 6.93 (d, J = 8.8, 2H, Ar-H), 4.65 (s, 2H, NH2), 4.53 (s, 2H, NH2),4.37 (dd, J1 = 10.8,J2 = 4.0, 1H, OCH2), 4.32–4.26 (m, 1H, CH), 4.19 (dd, J1 = 10.8, J2 = 6.0, 1H, OCH2), 3.96 (dd, J1 = 8.4, J2 = 6.0, 1H, OCH2), 3.82 (s, 3H, OCH3), 3.74 (dd, J1 = 8.4, J2 = 6.0, 1H, OCH2), 1.32 (s, 3H, CH3), 1.28 (s, 3H, CH3); ES-MS 347.2 (M + H)+; HRMS Calcd. for C17H23N4O4+ 347.1719, found 347.1721.
(S)-2,4-Diamino-5-(3,4,5-trimethoxyphenyl)-6-[4-(2,2-dimethyl-1,3-dioxolane)methoxy]pyrimidine (9k). Method A. White solid 0.61 g, yield 55%; m.p. 181.7–183.0 °C; IR: υmax/cm−1 3458 (NH), 3421 (NH), 3339 (NH), 1660 (C=N), 1631 (C=N), 1586 (C=C), 1557 (C=C), 1510 (C=C), 1163 (C-O-C), 1129 (C-O-), 1075 (C-O-C); 1H-NMR (CDCl3) δ 6.55 (s, 2H, Ar-H), 4.66 (s, 2H, NH2), 4.61 (s, 2H, NH2), 4.38–4.31 (m, 2H, OCH2), 4.2–4.21 (m, 1H, CH), 4.00 (dd, J1 = 8.4, J2 = 6.4, 1H, OCH2), 3.87 (s, 3H, OCH3), 3.84 (s, 6H, OCH3 × 2), 3.77 (dd, J1 = 8.0, J2 = 6.0, 1H, OCH2), 1.32 (s, 3H, CH3), 1.28 (s, 3H, CH3); ES-MS 407.2 (M + H)+; HRMS Calcd. for C19H27N4O6+ 407.1931, found 407.1933.
(S)-2,4-Diamino-5-[3-(2,2,2-trifluoroethoxymethyl)phenyl]-6-[4-(2,2-dimethyl-1,3-dioxolane)methoxy]-pyrimidine (9l). Method A. Yellow solid 0.73 g, yield 62%; m.p. 32.8–33.7 °C; IR: υmax/cm−1 3482 (NH), 3372 (NH), 1611 (C=N), 1559 (C=C), 1377 (C-F), 1159 (C-O-C), 1121 (C-O-C), 1093 (C-O-C), 1049 (C-O-C); 1H-NMR (CDCl3) δ 7.40 (t, J = 7.6, 1H, Ar-H), 7.30–7.27 (m, 3H, Ar-H), 4.68 (s, 4H, OCH2 and NH2), 4.55 (s, 2H, NH2), 4.35 (dd, J1 = 10.4, J2 = 4.0, 1H, OCH2), 4.31–4.26 (m, 1H, CH), 4.22 (dd, J1 = 10.8, J2 = 5.6, 1H, OCH2), 3.96 (dd, J1 = 8.4, J2 = 6.0, 1H, OCH2), 3.86 (q, J = 8.8, 2H, CF3CH2), 3.73 (dd, J1 = 8.4, J2 = 6.0, 1H, OCH2), 1.31 (s, 3H, CH3), 1.25 (s, 3H, CH3); ES-MS 429.2(M + H)+; HRMS Calcd. for C19H24F3N4O4+ 429.1750, found 429.1752.
(S)-2,4-Diamino-5-[3,5-dimethyl-4-(N-methoxyaminosulfonyl)phenyl]-6-[4-(2,2-dimethyl-1,3-dioxolane)-methoxy]pyrimidine (9m). Method A. Light yellow solid 0.75 g, yield 61%; m.p. 160.5–160.8 °C; IR: υmax/cm−1 3484 (NH), 3446 (NH), 3347 (NH), 3223 (SO2NH), 1641 (C=N), 1619 (C=N), 1591 (C=C), 1562 (C=C), 1492 (C=C), 1173 (C-O-C), 1149 (C-O-C), 1099 (C-O-C), 1054 (C-O-C); 1H-NMR (CDCl3) δ 7.42 (s, 1H, NH), 7.18 (s, 2H, Ar-H), 4.73 (s, 2H, NH2), 4.60 (s, 2H, NH2), 4.35 (dd, J1 = 10.4, J2 = 4.0, 1H, OCH2), 4.32–4.27 (m, 1H, CH), 4.24 (dd, J1 = 10.4, J2 = 4.8, 1H, OCH2), 3.99 (dd, J1 = 8.2, J2 = 6.2, 1H, OCH2), 3.75–3.72 (m, 4H, OCH3 and OCH2), 2.69 (s, 6H, CH3 × 2), 1.33 (s, 3H, CH3), 1.29 (s, 3H, CH3); ES-MS 454.2 (M + H)+; HRMS Calcd. for C19H28N5O6S+ 454.1760, found 454.1762.
(S)-2,4-Diamino-5-[4-(morpholino-4-carbonyl)phenyl]-6-[4-(2,2-dimethyl-1,3-dioxolane)methoxy]pyrimidine (9n). Method A. White solid 0.64 g, yield 55%; m.p. 186.1–187.2 °C; IR: υmax/cm−1 3492 (NH), 3430 (NH), 3332 (NH), 1659 (C=N), 1610 (C=N), 1588 (C=C), 1558 (C=C), 1516 (C=C), 1488 (C=C), 1156 (C-O-C), 1114 (C-O-C), 1070 (C-O-C), 1050 (C-O-C); 1H-NMR (CDCl3) δ 7.45 (d, J = 8.4, 2H, Ar-H), 7.38 (d, J = 8.4, 2H, Ar-H), 4.82 (s, 2H, NH2), 4.67 (s, 2H, NH2), 4.38 (dd, J1 = 10.8, J2 = 4.4, 1H, OCH2), 4.32–4.28 (m, 1H, CH), 4.23 (dd, J1 = 10.8, J2 = 5.6, 1H, OCH2), 3.97 (dd, J1 = 8.2, J2 = 6.2, 1H, OCH2), 3.82–3.51 (m, 8H, CH2 × 4), 3.72 (dd, J1 = 8.4, J2 = 6.0, 1H, OCH2), 1.32 (s, 3H, CH3), 1.28 (s, 3H, CH3); ES-MS 430.2 (M + H)+; HRMS Calcd. for C21H28N5O5+ 430.2090, found 430.2088.
(S)-2,4-Diamino-5-[4-(3-trifluoromethoxyanilinocarbonyl)phenyl]-6-[4-(2,2-dimethyl-1,3-dioxolane)-methoxy]pyrimidine (9o). Method A. White solid 0.74 g, yield 52%; m.p. 83.7–85 °C; IR: υmax/cm−1 3488 (NH), 3351 (NH), 3202 (CONH), 1657 (C=N), 1606 (C=C), 1565 (C=C), 1548 (C=C), 1492 (C=C), 1156 (C-O-C), 1082 (C-O-C); 1H-NMR (CDCl3) δ 8.04 (s, 1H, NH), 7.85 (d, J = 8.4, 2H, Ar-H), 7.71 (s, 1H, Ar-H), 7.54 (dd, J1 = 8.0, J2 = 1.2, 1H, Ar-H), 7.45 (d, J = 8.4, 2H, Ar-H), 7.39 (t, J = 8.0, 1H, Ar-H), 7.02 (dt, J1 = 8.0, J2 = 1.0, 1H, Ar-H), 4.74 (s, 2H, NH2), 4.59 (s, 2H, NH2), 4.35 (dd, J1 = 10.0, J2 = 4.0, 1H, OCH2), 4.32–4.29 (m, 1H, CH), 4.26 (dd, J1 = 10.0, J2 = 4.8, 1H, OCH2), 3.99 (dd, J1 = 8.4, J2 = 6.0, 1H, OCH2), 3.73 (dd, J1 = 8.2, J2 = 5.4, 1H, OCH2), 1.30 (s, 3H, CH3), 1.29 (s, 3H, CH3); ES-MS 520.2 (M + H)+; HRMS Calcd. for C24H25F3N5O5+ 520.1808, found 520.1811.
(S)-2,4-Diamino-5-(4-methoxycarbonylphenyl)-6-[4-(2,2-dimethyl-1,3-dioxolane)methoxy]pyrimidine (9p). Method B. White solid 0.70 g, yield 69%; m.p. 146.3–147.4 °C; IR: υmax/cm−1 3501 (NH), 3442 (NH), 3392 (NH), 3336 (NH), 1708 (C=O), 1658 (C=N), 1610 (C=N), 1555 (C=C), 1515 (C=C), 1153 (C-O-C), 1115 (C-O-C), 1067 (C-O-C); 1H-NMR (CDCl3) δ 8.05 (d, J = 8.4, 2H, Ar-H), 7.29 (d, J = 8.4, 2H, Ar-H), 4.72 (s, 2H, NH2), 4.58 (s, 2H, NH2), 4.36 (dd, J1 = 10.6, J2 = 4.2, 1H, OCH2), 4.31–4.26 (m, 1H, CH), 4.22 (dd, J1 = 10.6, J2 = 5.8, 1H, OCH2), 3.96 (dd, J1 = 8.4, J2 = 6.0, 1H, OCH2), 3.93 (s, 3H, OCH3), 3.71 (dd, J1 = 8.0, J2 = 6.0, 1H, OCH2), 1.32 (s, 3H, CH3), 1.27 (s, 3H, CH3); ES-MS 375.2(M + H)+; HRMS Calcd. for C18H23N4O5+ 375.1668, found 375.1670.
(S)-2,4-Diamino-5-(3-methoxycarbonylphenyl)-6-[4-(2,2-dimethyl-1,3-dioxolane)methoxy]pyrimidine (9q). Method B. White solid 0.80 g, yield 78%; m.p. 179.2–180.3 °C; IR: υmax/cm−1 3480 (NH), 3371 (NH), 3326 (NH), 1708 (C=O), 1652 (C=N), 1626 (C=N), 1601 (C=C), 1592 (C=C), 1557 (C=C), 1158 (C-O-C), 1115 (C-O-C), 1084 (C-O-C), 1049 (C-O-C); 1H-NMR (CDCl3) δ 8.00 (t, J = 1.6, 1H, Ar-H), 7.96 (dt, J1 = 7.6, J2 = 1.6, 1H, Ar-H), 7.52 (dt, J1 = 7.6, J2 = 1.6, 1H, Ar-H), 7.47 (t, J = 7.6, 1H, Ar-H), 4.71 (s, 2H, NH2), 4.54 (s, 2H, NH2), 4.37 (dd, J1 = 10.8, J2 = 4.0, 1H, OCH2), 4.30–4.25 (m, 1H, CH), 4.19 (dd, J1 = 10.8, J2 = 6.0, 1H, OCH2), 3.96 (dd, J1 = 8.4, J2 = 6.4, 1H, OCH2), 3.92 (s, 3H, OCH3), 3.72 (dd, J1 = 8.4, J2 = 6.0, 1H, OCH2), 1.31 (s, 3H, CH3), 1.25 (s, 3H, CH3); ES-MS 375.2(M + H)+; HRMS Calcd. for C18H23N4O5+ 375.1668, found 375.1666.
General Procedure for the Synthesis of Compounds 10a-q and 11a-q
The compounds 8a-q or 9a-q (1.42 mmol) was added to 0.25 M H2SO4 (20 mL) and stirred at room temperature overnight. After the completion of the reaction as indicated by TLC analysis, the reaction solution was adjusted the pH to 9 and extracted with EtOAc (30 mL × 3). The combined organic layers were washed by H2O and dried with Na2SO4, filtered and concentrated. The residue was purified by column chromatography on silica gel using CH2Cl2/CH3OH (80:1, v/v) as the eluting solvent to the desired compounds.
(R)-2,4-Diamino-5-(4-chlorophenyl)-6-(1,2-dihydroxypropyl)pyrimidine (10a). White solid 0.37 g, yield 84%; m.p. 164.4–166.3 °C; IR: υmax/cm−1 3443 (OH), 3396 (OH), 3335 (NH), 3224 (NH), 1658 (C=N), 1627 (C=N), 1604 (C=C), 1591 (C=C), 1569 (C=C), 1555 (C=C), 1503 (C=C), 1483 (C=C), 796 (C-Cl); 1H-NMR (DMSO-d6) δ 7.38 (d, J = 8.4, 2H, Ar-H), 7.27 (d, J = 8.4, 2H, Ar-H), 6.02 (s, 2H, NH2), 5.63 (s, 2H, NH2), 4.72 (d, J = 4.8, 1H, CHOH), 4.50 (t, J = 5.8, 1H, CH2OH), 4.08 (d, J = 5.2, 2H, OCH2), 3.62–3.56 (m, 1H, CH), 3.29–3.23 (m, 2H, OCH2); ES-MS 311.1 (M + H)+; HRMS Calcd. for C13H16ClN4O3+ 311.0911, found 311.0909.
(R)-2,4-Diamino-5-(4-fluorophenyl)-6-(1,2-dihydroxypropyl)pyrimidine (10b). White solid 0.30 g, yield 68%; m.p. 122.4–122.8 °C; IR: υmax/cm−1 3520 (OH), 3472 (OH), 3407 (NH), 3349 (NH), 1651 (C=N), 1617 (C=N), 1592 (C=C), 1570 (C=C), 1484 (C=C), 1397 (C-F); 1H-NMR (DMSO-d6) δ 7.28 (dd, J1 = 8.8, J2 = 5.6, 2H, Ar-H), 7.15 (t, J = 8.8, 2H, Ar-H), 5.99 (s, 2H, NH2), 5.57 (s, 2H, NH2), 4.72 (d, J = 4.8, 1H, CHOH), 4.49 (t, J = 5.6, 1H, CH2OH), 4.08 (d, J = 5.6, 2H, OCH2), 3.63–3.55 (m, 1H, CH), 3.31–3.24 (m, 2H, OCH2); ES-MS 295.1 (M + H)+; HRMS Calcd. for C13H16FN4O3+ 295.1206, found 295.1204.
(R)-2,4-Diamino-5-(3,4-dichlorophenyl)-6-(1,2-dihydroxypropyl)pyrimidine (10c). White solid 0.32 g, yield 71%; m.p. 159.5–160.2 °C; IR: υmax/cm−1 3504 (OH), 3476 (OH), 3344 (NH), 3229 (NH), 1650 (C=N), 1619(C=N), 1593 (C=C), 1570 (C=C), 1490 (C=C), 792 (C-Cl); 1H-NMR (DMSO-d6) δ 7.56 (d, J = 8.0, 1H, Ar-H), 7.47 (d, J = 2.0, 1H, Ar-H), 7.24 (dd, J1 =8.0, J2 = 2.0, 1H, Ar-H), 6.07 (s, 2H, NH2), 5.79 (s, 2H, NH2), 4.74 (d, 1H, J = 4.8, CHOH), 4.52 (t, J = 5.8, 1H, CH2OH), 4.14–4.06 (m, 2H, OCH2), 3.63–3.57 (m, 1H, CH), 3.28–3.31 (m, 2H, OCH2); ES-MS 345.1 (M + H)+; HRMS Calcd. for C13H15Cl2N4O3+ 345.0521, found 345.0519.
(R)-2,4-Diamino-5-(3-chloro-4-fluorophenyl)-6-(1,2-dihydroxypropyl)pyrimidine (10d). White solid 0.39 g, yield 88%; m.p. 158.0–159.9 °C; IR: υmax/cm−1 3484 (OH), 3437 (OH), 3318 (NH), 3209 (NH), 1627 (C=N), 1586 (C=C), 1560 (C=C), 1349 (C-F), 801 (C-Cl); 1H-NMR (DMSO-d6) δ 7.40 (dd, J1 = 7.6, J2 = 2.4, 1H, Ar-H), 7.36 (t, J = 9.0, 1H, Ar-H), 7.23 (ddd, J1 = 8.4, J2 = 4.8, J3 = 2.0, 1H, Ar-H), 6.04 (s, 2H, NH2), 5.74 (s, 2H, NH2), 4.74 (d, J = 4.8, 1H, CHOH), 4.51 (t, J = 5.8, 1H, CH2OH), 4.13–4.05 (m, 2H, OCH2), 3.63–3.56 (m, 1H, CH), 3.30–3.26 (m, 2H, OCH2); ES-MS 329.1(M + H)+; HRMS Calcd. for C13H15ClFN4O3+ 329.0817, found 329.0820.
(R)-2,4-Diamino-5-(4-trifluoromethylphenyl)-6-(1,2-dihydroxypropyl)pyrimidine (10e). White solid 0.37 g, yield 83%; m.p. 170.5–171.0 °C; IR: υmax/cm−1 3587 (OH), 3506 (OH), 3378 (NH), 3226 (NH), 1631 (C=N), 1591 (C=C), 1559 (C=C), 1520 (C=C), 1322 (C-F); 1H-NMR (DMSO-d6) δ 7.67 (d, J = 8.4, 2H, Ar-H), 7.50 (d, J = 8.0, 2H, Ar-H), 6.09 (s, 2H, NH2), 5.75 (s, 2H, NH2), 4.74 (d, J = 5.2, 1H, CHOH), 4.52 (t, J = 5.8, 1H, CH2OH), 4.15–4.07 (m, 2H, OCH2), 3.64–3.57 (m, 1H, CH), 3.24–3.30 (m, 2H, OCH2); ES-MS 345.1 (M + H)+; HRMS Calcd. for C14H16F3N4O3+ 345.1175, found 345.1173.
(R)-2,4-Diamino-5-(3-trifluoromethylphenyl)-6-(1,2-dihydroxypropyl)pyrimidine (10f). White solid 0.41 g, yield 92%; m.p. 137.8–138.9 °C; IR: υmax/cm−1 3521 (OH), 3474 (OH), 3349 (NH), 3235 (NH), 1650 (C=N), 1621 (C=N), 1594 (C=C), 1569 (C=C), 1495 (C=C), 1341 (C-F); 1H-NMR (DMSO-d6) δ 7.58–7.55 (m, 4H, Ar-H), 6.08 (s, 2H, NH2), 5.74 (s, 2H, NH2), 4.72 (d, 1H, J = 5.2, CHOH), 4.50 (t, J = 5.8, 1H, CH2OH), 4.11 (d, J = 4.8, 2H, OCH2), 3.62–3.56 (m, 1H, CH), 3.31–3.26 (m, 2H, OCH2); ES-MS 345.1 (M + H)+; HRMS Calcd. for C14H16F3N4O3+ 345.1175, found 345.1172.
(R)-2,4-Diamino-5-(4-trifluoromethoxyphenyl)-6-(1,2-dihydroxypropyl)pyrimidine (10g). White solid 0.42 g, yield 85%; m.p. 181.4–182.1 °C; IR: υmax/cm−1 3579 (OH), 3457 (OH), 3341(NH), 3231 (NH), 1636 (C=N), 1590 (C=C), 1557 (C=C), 1549 (C=C), 1501 (C=C), 1316 (C-F); 1H-NMR (DMSO-d6) δ 7.38 (d, J = 8.4, 2H, Ar-H), 7.31 (d, J = 8.4, 2H, Ar-H), 6.06 (s, 2H, NH2), 5.69 (s, 2H, NH2), 4.77 (d, J = 5.2, 1H, CHOH), 4.53 (t, J = 5.8, 1H, CH2OH), 4.10 (d, J = 5.2, 2H, OCH2), 3.63–3.57 (m, 1H, CH), 3.32–3.23 (m, 2H, OCH2); ES-MS 361.1 (M + H)+; HRMS Calcd. for C14H16F3N4O4+ 361.1124, found 361.1120.
(R)-2,4-Diamino-5-(3-trifluoromethoxyphenyl)-6-(1,2-dihydroxypropyl)pyrimidine (10h). White solid 0.44 g, yield 89%; m.p. 58.5–59.6 °C; IR: υmax/cm−1 3467 (OH), 3379 (OH), 3350 (NH), 1612 (C=N), 1562 (C=C), 1495 (C=C), 1348 (C-F); 1H-NMR (DMSO-d6) δ 7.46 (t, J = 8.0, 2H, Ar-H), 7.31 (d, J = 8.0, 2H, Ar-H), 7.23 (s, 1H, Ar-H), 7.20 (d, J = 8.0, 1H, Ar-H), 6.09 (s, 2H, NH2), 5.73 (s, 2H, NH2), 4.75 (d, J = 4.8, 1H, CHOH), 4.52 (t, J = 5.6, 1H, CH2OH), 4.10 (d, J = 5.2, 2H, OCH2), 3.63–3.56 (m, 1H, CH), 3.31–3.24 (m, 2H, OCH2); ES-MS 361.1 (M + H)+; HRMS Calcd. for C14H16F3N4O4+ 361.1124, found 361.1128.
(R)-2,4-Diamino-5-(4-cyanophenyl)-6-(1,2-dihydroxypropyl)pyrimidine (10i). White solid 0.39 g, yield 88%; m.p. 199.7–200.8 °C; IR: υmax/cm−1 3459 (OH), 3382 (NH), 2228(CN), 1658 (C=N), 1624(C=N), 1592 (C=C), 1563 (C=C), 1549 (C=C), 1510 (C=C); 1H-NMR (DMSO-d6) δ 7.77 (d, J = 8.4, 2H, Ar-H), 7.48 (d, J = 8.0, 2H, Ar-H), 6.15 (s, 2H, NH2), 5.82 (s, 2H, NH2), 4.77 (d, J = 4.8, 1H, CHOH), 4.55 (t, J = 5.6, 1H, CH2OH), 4.14–4.06 (m, 2H, OCH2), 3.63–3.57 (m, 1H, CH), 3.31–3.25 (m, 2H, OCH2); ES-MS 302.1 (M + H)+; HRMS Calcd. for C14H16N5O3+ 302.1253, found 302.1250.
(R)-2,4-Diamino-5-(4-methoxyphenyl)-6-(1,2-dihydroxypropyl)pyrimidine (10j). White solid 0.37 g, yield 84%; m.p. 188.4–188.9 °C; IR: υmax/cm−1 3544 (OH), 3497 (OH), 3466 (NH), 3339 (NH), 1639 (C=N), 1621 (C=N), 1591 (C=C), 1557 (C=C); 1H-NMR (DMSO-d6) δ 7.16 (d, J = 8.8, 2H, Ar-H), 6.92 (d, J = 8.8, 2H, Ar-H), 5.94 (s, 2H, NH2), 5.46 (s, 2H, NH2), 4.73 (d, 1H, J = 4.8, CHOH), 4.49 (t, J = 5.8, 1H, CH2OH), 4.11–4.04 (m, 2H, OCH2), 3.76 (s, 3H, OCH3), 3.62–3.55 (m, 1H, CH), 3.33–3.24 (m, 2H, OCH2); ES-MS 307.1 (M + H)+; HRMS Calcd. for C14H19N4O4+ 307.1406, found 307.1404.
(R)-2,4-Diamino-5-(3,4,5-trimethoxyphenyl)-6-(1,2-dihydroxypropyl)pyrimidine (10k). White solid 0.34 g, yield 75%; m.p. 198.6–199.7 °C; IR: υmax/cm−1 3489 (OH), 3439 (OH), 3356 (NH), 3208 (NH), 1626 (C=N), 1589 (C=C), 1569 (C=C), 1489 (C=C); 1H-NMR (DMSO-d6) δ 6.55 (s, 2H, Ar-H), 5.96 (s, 2H, NH2), 5.69 (s, 2H, NH2), 4.76 (d, J = 5.2, 1H, CHOH), 4.53 (t, J = 5.6, 1H, CH2OH), 4.16–4.05 (m, 2H, OCH2), 3.75 (s, 6H, OCH3 × 2), 3.68 (s, 3H, OCH3), 3.67–3.60 (m, 1H, CH), 3.38–3.28 (m, 2H, OCH2); ES-MS 367.2 (M + H)+; HRMS Calcd. for C16H23N4O6+ 367.1618, found 367.1616.
(R)-2,4-Diamino-5-[3-(2,2,2-trifluoroethoxymethyl)phenyl]-6-(1,2-dihydroxypropyl)pyrimidine (10l). White solid 0.41 g, yield 82%; m.p. 48.2–49.3 °C; IR: υmax/cm−1 3478 (OH), 3347 (NH), 3215 (NH), 1612 (C=N), 1562 (C=C), 1492 (C=C), 1348(C-F); 1H-NMR (DMSO-d6) δ 7.36 (t, J = 7.8, 1H, Ar-H), 7.20–7.23 (m,3H, Ar-H), 6.02 (s, 2H, NH2), 5.59 (s, 2H, NH2), 4.74 (d, J = 5.2, 1H, CHOH), 4.65 (s, 2H, CH2), 4.51 (t, J = 5.6, 1H, CH2OH), 4.09 (dd, J1 = 18.8 , J2 = 9.6 , 2H, CF3CH2), 4.08 (d, J = 5.2, 2H, OCH2), 3.62–3.55 (m, 1H, CH), 3.34–3.23 (m, 2H, OCH2); ES-MS 389.1(M + H)+; HRMS Calcd. for C16H20F3N4O4+ 389.1437, found 389.1435.
(R)-2,4-Diamino-5-[3,5-dimethyl-4-(N-methoxyaminosulfonyl)phenyl]-6-(1,2-dihydroxypropyl)pyrimidine (10m). White solid 0.40 g, yield 88%; m.p. 98.3–99.3 °C; IR: υmax/cm−1 3475 (OH), 3378 (NH), 3216 (NH), 1610 (C=N), 1594 (C=C), 1562 (C=C), 1482(C=C); 1H-NMR (DMSO-d6) δ 10.29 (s, 1H, NH), 7.18 (s, 2H, Ar-H), 6.12 (s, 2H, NH2), 5.80 (s, 2H, NH2), 4.79 (d, J = 4.8, 1H, CHOH), 4.56 (t, J = 5.8, 1H, CH2OH), 4.15–4.07 (m, 2H, OCH2), 3.64–3.58 (m, 1H, CH and OCH3), 3.33–3.27 (m, 2H, OCH2), 2.59 (s, 6H, CH3); ES-MS 414.1(M + H)+; HRMS Calcd. for C16H24N5O6S+ 414.1447, found 414.1450.
(R)-2,4-Diamino-5-[4-(morpholine-4-carbonyl)phenyl]-6-(1,2-dihydroxypropyl)pyrimidine (10n). White solid 0.53 g, yield 90%; m.p. 210.1–211.3 °C; IR (KBr): υmax/cm−1 3446 (OH), 3343 (NH), 3220 (NH), 1630 (C=N), 1606 (C=C), 1591 (C=C), 1569 (C=C), 1511 (C=C); 1H-NMR (DMSO-d6) δ 7.36 (d, J = 8.4, 2H, Ar-H), 7.32 (d, J = 8.4, 2H, Ar-H), 6.04 (s, 2H, NH2), 5.69 (s, 2H, NH2), 4.77 (d, J = 5.2, 1H, CHOH), 4.53 (t, J = 5.6, 1H, CH2OH), 4.10 (d, J = 5.6, 2H, OCH2), 3.63–3.59 (m, 1H, CH), 3.76–3.42 (m, 8H, CH2 × 4), 3.30–3.27 (m, 2H, OCH2); ES-MS 390.2 (M + H)+; HRMS Calcd. for C18H24N5O5+ 390.1777, found 390.1774.
(R)-2,4-Diamino-5-[4-(3-trifluoromethoxyanilinocarbonyl)phenyl]-6-(1,2-dihydroxypropyl)pyrimidine (10o). White solid 0.46 g, yield 91%; m.p. 142.0–143.6 °C; IR: υmax/cm−1 3346 (OH), 3228 (NH), 1656 (C=N), 1632 (C=N), 1607 (C=C), 1549 (C=C), 1490 (C=C), 1349(C-F); 1H-NMR (DMSO-d6) δ 10.49 (s, 1H, NH), 7.98–7.96 (m, 3H, Ar-H), 7.80 (dd, J1 = 8.0, J2 = 1.2, 1H, Ar-H), 7.51–7.45 (m, 3H, Ar-H), 7.09 (dt, J1 = 8.4, J2 = 1.2, 1H, Ar-H), 6.10 (s, 2H, NH2), 5.71 (s, 2H, NH2), 4.77 (d, J = 5.2, 1H, CHOH), 4.55 (t, J = 5.6, 1H, CH2OH), 4.12 (d, J = 5.2, 2H, OCH2), 3.65–3.59 (m, 1H, CH), 3.33–3.26 (m, 2H, OCH2); ES-MS 480.1 (M + H)+; HRMS Calcd. for C21H21F3N5O5+ 480.1495, found 480.1492.
(R)-2,4-Diamino-5-(4-methoxycarbonylphenyl)-6-(1,2-dihydroxypropyl)pyrimidine (10p). White solid 0.40 g, yield 90%; m.p. 186.7–188.2 °C; IR: υmax/cm−1 3449 (OH), 3330 (NH), 3219 (NH), 1705 (C=O), 1631 (C=N), 1592 (C=C), 1514 (C=C); 1H-NMR (DMSO-d6) δ 7.91 (d, J = 8.4, 2H, Ar-H), 7.44 (d, J = 8.4, 2H, Ar-H), 6.10 (s, 2H, NH2), 5.73 (s, 2H, NH2), 4.75 (d, J = 4.8, 1H, CHOH), 4.53 (t, J = 5.8, 1H, CH2OH), 4.09 (d, J = 5.2, 2H, OCH2), 3.86 (s, 3H, OCH3), 3.63–3.55 (m, 1H, CH), 3.30–3.25 (m, 2H, OCH2); ES-MS 335.1 (M + H)+; HRMS Calcd. for C15H19N4O5+ 335.1355, found 335.1350.
(R)-2,4-Diamino-5-(3-methoxycarbonylphenyl)-6-(1,2-dihydroxypropyl)pyrimidine (10q). White solid 0.40 g, yield 90%; m.p. 140.6–141.5 °C; IR: υmax/cm−1 3457 (OH), 3336 (NH), 3224 (NH), 1705 (C=O), 1658 (C=N), 1600 (C=C), 1560 (C=C), 1490 (C=C); 1H-NMR (DMSO-d6) δ 7.84 (t, J = 1.2, 1H, Ar-H), 7.81 (dt, J1 = 7.6, J2= 1.6, 1H, Ar-H), 7.54 (dt, J1 = 8.0, J2 = 1.6, 1H, Ar-H), 7.49 (t, J = 7.6, 1H, Ar-H), 6.06 (s, 2H, NH2), 5.68 (s, 2H, NH2), 4.72 (d, J = 5.2, 1H, CHOH), 4.50 (t, J = 5.6, 1H, CH2OH), 4.09 (d, J = 5.6, 2H, OCH2), 3.85 (s, 3H, OCH3), 3.61–3.54 (m, 1H, CH), 3.30–3.24 (m, 2H, OCH2); ES-MS 335.1 (M + H)+; HRMS Calcd. for C15H19N4O5+ 335.1355, found 335.1358.
(S)-2,4-Diamino-5-(4-chlorophenyl)-6-(1,2-dihydroxypropyl)pyrimidine (11a). White solid 0.36 g, yield 85%; m.p. 169.8–169.9 °C; IR: υmax/cm−1 3446 (OH), 3396 (OH), 3336 (NH), 3214 (NH), 1606 (C=N), 1589 (C=C), 1569 (C=C), 1556 (C=C), 1503(C=C), 797 (C-Cl); 1H-NMR (DMSO-d6) δ 7.38 (d, J = 8.4, 2H, Ar-H), 7.27 (d, J = 8.4, 2H, Ar-H), 6.03 (s, 2H, NH2), 5.65 (s, 2H, NH2), 4.74 (d, J = 5.2, 1H, CHOH), 4.51 (t, J = 5.6, 1H, CH2OH), 4.08 (d, J = 5.6, 2H, OCH2), 3.63–3.56 (m, 1H, CH), 3.31–3.23 (m, 2H, OCH2); ES-MS 311.1 (M + H)+; HRMS Calcd. for C13H16ClN4O3+ 311.0911, found 311.0908.
(S)-2,4-Diamino-5-(4-fluorophenyl)-6-(1,2-dihydroxypropyl)pyrimidine (11b). White solid 0.42 g, yield 95%; m.p. 111.7–113.7 °C; IR: υmax/cm−1 3482 (OH), 3343 (NH), 3212 (NH), 1614 (C=N), 1593 (C=C), 1562 (C=C), 1509 (C=C), 1398 (C-F); 1H-NMR (DMSO-d6) δ 7.27 (dd, J1 = 8.8, J2 = 6.0, 2H, Ar-H), 7.16 (t, J = 8.8, 2H, Ar-H), 6.00 (s, 2H, NH2), 5.57 (s, 2H, NH2), 4.73 (d, J = 5.2, 1H, CHOH), 4.50 (t, J = 5.8, 1H, CH2OH), 4.08 (d, J = 5.2, 2H, OCH2), 3.62–3.55 (m, 1H, CH), 3.33–3.23 (m, 2H, OCH2); ES-MS 295.1 (M + H)+; HRMS Calcd. for C13H16FN4O3+ 295.1206, found 295.1208.
(S)-2,4-Diamino-5-(3,4-dichlorophenyl)-6-(1,2-dihydroxypropyl)pyrimidine (11c). White solid 0.35 g, yield 87%; m.p. 160.6–160.8 °C; IR: υmax/cm−1 3504 (OH), 3476 (OH), 3383 (NH), 3346 (NH), 1649 (C=N), 1617 (C=N), 1592 (C=C), 1569 (C=C), 1491 (C=C), 793 (C-Cl); 1H-NMR (DMSO-d6) δ 7.56 (d, J = 8.0, 2H, Ar-H), 7.47 (d, J = 2.0, 1H, Ar-H), 7.24 (dd, J1 = 8.0, J2 = 2.0, 1H, Ar-H), 6.08 (s, 2H, NH2), 5.81 (s, 2H, NH2), 4.75 (d, 1H, J = 5.2, CHOH), 4.53 (t, J = 5.6, 1H, CH2OH), 4.14–4.06 (m, 2H, OCH2), 3.63–3.57 (m, 1H, CH), 3.31–3.25 (m, 2H, OCH2); ES-MS 345.1 (M + H)+; HRMS Calcd. for C13H15Cl2N4O3+ 345.0521, found 345.0523.
(S)-2,4-Diamino-5-(3-chloro-4-fluorophenyl)-6-(1,2-dihydroxypropyl)pyrimidine (11d). White solid 0.37 g, yield 90%; m.p. 157.7–158.1 °C; IR: υmax/cm−1 3484 (OH), 3329 (NH), 3210 (NH), 1622 (C=N), 1605 (C=C), 1590 (C=C), 1561 (C=C), 1347 (C-F), 799 (C-Cl); 1H-NMR (DMSO-d6) δ 7.40 (dd, J1 = 7.2, J2 = 2.0, 1H, Ar-H), 7.36 (t, J = 8.8, 1H, Ar-H), 7.25–7.21 (ddd, J1 = 8.8, J2 = 4.8, J3 = 2.0, 1H, Ar-H), 6.05 (s, 2H, NH2), 5.74 (s, 2H, NH2), 4.74 (d, J = 5.2, 1H, CHOH), 4.52 (t, J = 5.6, 1H, CH2OH), 4.13–4.06 (m, 2H, OCH2), 3.63–3.56 (m, 1H, CH), 3.30–3.26 (m, 2H, OCH2); ES-MS 329.1(M + H)+; HRMS Calcd. for C13H15ClFN4O3+ 329.0817, found 329.0821.
(S)-2,4-Diamino-5-(4-trifluoromethylphenyl)-6-(1,2-dihydroxypropyl)pyrimidine (11e). White solid 0.37 g, yield 83%; m.p. 170.8–171.5 °C; IR: υmax/cm−1 3620 (OH), 3512 (OH), 3334 (NH), 3225 (NH), 1661 (C=N), 1632 (C=N), 1598 (C=C), 1554 (C=C), 1493 (C=C), 1339 (C-F); 1H-NMR (DMSO-d6) δ 7.67 (d, J = 8.0, 2H, Ar-H), 7.50 (d, J = 8.0, 2H, Ar-H), 6.10 (s, 2H, NH2), 5.77 (s, 2H, NH2), 4.75 (d, J = 5.2, 1H, CHOH), 4.53 (t, J = 5.6, 1H, CH2OH), 4.15–4.07 (m, 2H, OCH2), 3.64–3.57 (m, 1H, CH), 3.31–3.26 (m, 2H, OCH2); ES-MS 345.1 (M + H)+; HRMS Calcd. for C14H16F3N4O3+ 345.1175, found 345.1180.
(S)-2,4-Diamino-5-(3-trifluoromethylphenyl)-6-(1,2-dihydroxypropyl)pyrimidine (11f). White solid 0.37 g, yield 83%; m.p. 144.2–144.3 °C; IR: υmax/cm−1 3474 (OH), 3389 (OH), 3348 (NH), 3224 (NH), 1617 (C=N), 1594 (C=C), 1564 (C=C), 1496 (C=C), 1336 (C-F); 1H-NMR (DMSO-d6) δ 7.59–7.55 (m, 4H, Ar-H), 6.09 (s, 2H, NH2), 5.74 (s, 2H, NH2), 4.72 (d, J = 4.8, 1H, CHOH), 4.50 (t, J = 5.8, 1H, CH2OH), 4.12 (d, J = 5.2, 2H, OCH2), 3.63–3.54 (m, 1H, CH), 3.31–3.25 (m, 2H, OCH2); ES-MS 345.1 (M + H)+; HRMS Calcd. for C14H16F3N4O3+ 345.1175, found 345.1177.
(S)-2,4-Diamino-5-(4-trifluoromethoxyphenyl)-6-(1,2-dihydroxypropyl)pyrimidine (11g). White solid 0.44 g, yield 90%; m.p. 141.7–143.2 °C; IR: υmax/cm−1 3345 (OH), 3216 (NH), 1614 (C=N), 1595 (C=C), 1561 (C=C), 1349 (C-F); 1H-NMR (DMSO-d6) δ 7.39 (d, J = 8.4, 2H, Ar-H), 7.31 (d, J = 8.4, 2H, Ar-H), 6.05 (s, 2H, NH2), 5.68 (s, 2H, NH2), 4.76 (d, J = 4.8, 1H, CHOH), 4.52 (t, J = 5.6, 1H, CH2OH), 4.10 (d, J = 5.2, 2H, OCH2), 3.64–3.57 (m, 1H, CH), 3.31–3.24 (m, 2H, OCH2); ES-MS 361.1 (M + H)+; HRMS Calcd. for C14H16F3N4O4+ 361.1124, found 361.1127.
(S)-2,4-Diamino-5-(3-trifluoromethoxyphenyl)-6-(1,2-dihydroxypropyl)pyrimidine (11h). White solid 0.44 g, yield 90%; m.p. 120.5–122.0 °C; IR: υmax/cm−1 3621 (OH), 3340 (OH), 3224 (NH), 1656 (C=N), 1629 (C=N), 1609 (C=C), 1563 (C=C), 1499 (C=C), 1354 (C-F); 1H-NMR (DMSO-d6) δ 7.46 (t, J = 7.8, 2H, Ar-H), 7.31 (d, J = 7.8, 2H, Ar-H), 7.23 (s, 1H, Ar-H), 7.19 (d, J = 7.8, 1H, Ar-H), 6.09 (s, 2H, NH2), 5.73 (s, 2H, NH2), 4.74 (d, J = 4.8, 1H, CHOH), 4.51 (t, J = 5.6, 1H, CH2OH), 4.10 (d, J = 5.2, 2H, OCH2), 3.63–3.56 (m, 1H, CH), 3.31–3.25 (m, 2H, OCH2); ES-MS 361.1 (M + H)+; HRMS Calcd. for C14H16F3N4O4+ 361.1124, found 361.1122.
(S)-2,4-Diamino-5-(4-cyanophenyl)-6-(1,2-dihydroxypropyl)pyrimidine (11i). White solid 0.38 g, yield 86%; m.p. 201.6–203.0 °C; IR: υmax/cm−1 3458 (OH), 3359 (NH), 2230 (CN), 1631 (C=N), 1604 (C=C) 1586 (C=C), 1563 (C=C), 1550 (C=C); 1H-NMR (DMSO-d6) δ 7.77 (d, J = 8.8, 2H, Ar-H), 7.48 (d, J = 8.8, 2H, Ar-H), 6.15 (s, 2H, NH2), 5.83 (s, 2H, NH2), 4.76 (d, J = 5.2, 1H, CHOH), 4.54 (t, J = 5.6, 1H, CH2OH), 4.14–4.07 (m, 2H, OCH2), 3.62–3.58 (m, 1H, CH), 3.31–3.3124 (m, 2H, OCH2); ES-MS 302.1 (M + H)+; HRMS Calcd. for C14H16N5O3+ 302.1253, found 302.1251.
(S)-2,4-Diamino-5-(4-methoxyphenyl)-6-(1,2-dihydroxypropyl)pyrimidine (11j). White solid 0.36 g, yield 91%; m.p. 187.4–188.7 °C; IR: υmax/cm−1 3542 (OH), 3496 (OH), 3467 (NH), 3339 (NH), 1639 (C=N), 1621 (C=N), 1608 (C=C), 1591 (C=C), 1558 (C=C); 1H-NMR (DMSO-d6) δ 7.15 (d, J = 8.8, 2H, Ar-H), 6.92 (d, J = 8.8, 2H, Ar-H), 5.94 (s, 2H, NH2), 5.46 (s, 2H, NH2), 4.73 (d, J = 4.8, 1H, CHOH), 4.50 (t, J = 5.6, 1H, CH2OH), 4.11–4.04 (m, 2H, OCH2), 3.76 (s, 3H, OCH3), 3.62–3.56 (m, 1H, CH), 3.32–3.25 (m, 2H, OCH2); ES-MS 307.1 (M + H)+; HRMS Calcd. for C14H19N4O4+ 307.1406, found 307.1408.
(S)-2,4-Diamino-5-(3,4,5-trimethoxyphenyl)-6-(1,2-dihydroxypropyl)pyrimidine (11k). White solid 0.40 g, yield 89%; m.p. 199.1–200.3 °C; IR: υmax/cm−1 3489 (OH), 3439 (OH), 3356 (NH), 3208 (NH), 1626 (C=N), 1589 (C=C), 1569 (C=C), 1489 (C=C); 1H-NMR (DMSO-d6) δ 6.55 (s, 2H, Ar-H), 5.96 (s, 2H, NH2), 5.64 (s, 2H, NH2), 4.76 (d, J = 4.8, 1H, CHOH), 4.53 (t, J = 5.8, 1H, CH2OH), 4.14–4.07 (m, 2H, OCH2), 3.75 (s, 6H, OCH3), 3.68 (s, 3H, OCH3), 3.65–3.60 (m, 1H, CH), 3.38–3.28 (m, 2H, OCH2); ES-MS 367.2 (M + H)+; HRMS Calcd. for C16H23N4O6+ 367.1618, found 367.1620.
(S)-2,4-Diamino-5-[3-(2,2,2-trifluoroethoxymethyl)phenyl]-6-(1,2-dihydroxypropyl)pyrimidine (11l). White solid 0.38 g, yield 84%; m.p. 42.7–43.5 °C; IR: υmax/cm−1 3477 (OH), 3346 (NH), 3215 (NH), 1613 (C=N), 1561 (C=C), 1495 (C=C), 1346 (C-F); 1H-NMR (DMSO-d6) δ 7.36 (t, J = 7.8, 1H, Ar-H), 7.23–7.20 (m,3H, Ar-H), 6.01 (s, 2H, NH2), 5.57 (s, 2H, NH2), 4.73 (d, J = 5.2, 1H, CHOH), 4.66 (s, 2H, OCH2), 4.50 (t, J = 5.6, 1H, CH2OH), 4.13–4.06 (m, 4H, OCH2and CF3CH2), 3.62–3.55 (m, 1H, CH), 3.31–3.23 (m, 2H, OCH2); ES-MS 389.1(M + H)+; HRMS Calcd. for C16H20F3N4O4+ 389.1437, found 389.1440.
(S)-2,4-Diamino-5-[3,5-dimethyl-4-(N-methoxyaminosulfonyl)phenyl]-6-(1,2-dihydroxypropyl)pyrimidine (11m). White solid 0.31 g, yield 85%; m.p. 93.0–93.8 °C; IR: υmax/cm−1 3463 (OH), 3379 (NH), 3215 (NH), 1612 (C=N), 1594 (C=C), 1563 (C=C); 1H-NMR (DMSO-d6) δ 10.29 (s, 1H, NH), 7.18 (s, 2H, Ar-H), 6.11 (s, 2H, NH2), 5.78 (s, 2H, NH2), 4.77 (d, J = 5.2, 1H, CHOH), 4.55 (t, J = 5.6, 1H, CH2OH), 4.15–4.07 (m, 2H, OCH2), 3.62–3.58 (m, 4H, OCH3 and CH), 3.32–3.28 (m, 2H, OCH2), 2.59 (s, 6H, CH3 × 2); ES-MS 414.1(M + H)+; HRMS Calcd. for C16H24N5O6S+ 414.1447, found 414.1449.
(S)-2,4-Diamino-5-[4-(morpholino-4-carbonyl)phenyl]-6-(1,2-dihydroxypropyl)pyrimidine (11n). White solid 0.35 g, yield 86%; m.p. 209.6–210.2 °C; IR: υmax/cm−1 3443 (OH), 3342 (NH), 3220 (NH), 1629 (C=N), 1609 (C=C), 1590 (C=C), 1568 (C=C), 1511 (C=C); 1H-NMR (DMSO-d6) δ 7.36 (d, J = 8.4, 2H, Ar-H), 7.34 (d, J = 8.4, 2H, Ar-H), 6.04 (s, 2H, NH2), 5.69 (s, 2H, NH2), 4.77 (d, J = 5.2, 1H, CHOH), 4.53 (t, J = 5.6, 1H, CH2OH), 4.10 (d, J = 5.2, 2H, OCH2), 3.63–3.59 (m, 1H, CH), 3.74–3.38 (m, 8H, CH2 × 4), 3.32–3.25 (m, 2H, OCH2); ES-MS 390.2 (M + H)+; HRMS Calcd. for C18H24N5O5+ 390.1777, found 390.1779.
(S)-2,4-Diamino-5-[4-(3-trifluoromethoxyanilinocarbonyl)phenyl]-6-(1,2-dihydroxypropyl)pyrimidine (11o). White soilid 0.44 g, 87%; m.p. 143.2–145.0 °C; IR: υmax/cm−1 3336 (OH), 3225 (NH), 1658 (C=N), 1606 (C=C), 1549 (C=C), 1491 (C=C), 1350 (C-F); 1H-NMR (DMSO-d6) δ 10.49 (s, 1H, NH), 7.98–7.96 ( m, 3H, Ar-H), 7.80 (dd, J1 = 8.2, J2 = 1.0, 1H, Ar-H), 7.51–7.45 (m, 3H, Ar-H), 7.09 (dt, J1 = 8.4, J2= 1.2, 1H, Ar-H), 6.10 (s, 2H, NH2), 5.70 (s, 2H, NH2), 4.77 (d, J = 5.2, 1H, CHOH), 4.55 (t, J = 5.8, 1H, CH2OH), 4.12 (d, J = 5.2, 2H, CH2), 3.58–3.65 (m, 1H, CH), 3.28–3.33 (m, 2H, OH); ES-MS 480.1 (M + H)+; HRMS Calcd. for C21H21F3N5O5+ 480.1495, found 480.1497.
(S)-2,4-Diamino-5-(4-methoxycarbonylphenyl)-6-(1,2-dihydroxypropyl)pyrimidine (11p). White solid 0.32 g, yield 90%; m.p. 211.3–212.4 °C; IR: υmax/cm−1 3562 (OH), 3450 (NH), 3227 (NH), 3217 (NH), 1712 (C=O), 1629 (C=N), 1592 (C=C), 1573 (C=C), 1555 (C=C), 1515 (C=C); 1H-NMR (DMSO-d6) δ 7.92 (d, J = 8.4, 2H, Ar-H), 7.44 (d, J = 8.4, 2H, Ar-H), 6.10 (s, 2H, NH2), 5.74 (s, 2H, NH2), 4.74 (d, J = 5.2, 1H, CHOH), 4.52 (t, J = 5.6, 1H, CH2OH), 4.13–4.06 (m, 2H, OCH2), 3.86 (s, 3H, OCH3) 3.6–3.57 (m, 1H, CH), 3.3–3.24 (m, 2H, OCH2); ES-MS 335.1 (M + H)+; HRMS Calcd. for C15H19N4O5+ 335.1355, found 335.1357.
(S)-2,4-Diamino-5-(3-methoxycarbonylphenyl)-6-(1,2-dihydroxypropyl)pyrimidine (11q). White solid 0.38 g, yield 85%; m.p. 181.4–182.3 °C; IR: υmax/cm−1 3577 (OH), 3525 (OH), 3453 (NH), 3338 (NH), 1705 (C=O), 1637 (C=N), 1590 (C=C), 1558 (C=C), 1501 (C=C); 1H-NMR (DMSO-d6) δ 7.84 (s, 1H, Ar-H), 7.81 (d, J = 7.2, 1H, Ar-H) 7.54 (d, J = 7.6, 1H, Ar-H), 7.49 (t, J = 7.6, 1H, Ar-H), 6.06 (s, 2H, NH2), 5.69 (s, 2H, NH2), 4.72 (d, J = 4.8, 1H, CHOH), 4.50 (t, J = 5.8, 1H, CH2OH), 4.09 (d, J = 5.2, 2H, OCH2), 3.85 (s, 3H, OCH3) 3.61–3.54 (m, 1H, CH), 3.30–3.22 (m, 2H, OCH2); ES-MS 335.1 (M + H)+; HRMS Calcd. for C15H19N4O5+ 335.1355, found 335.1353.
General Procedure for the Synthesis of 2,4-Diamino-6-substituted Pyrimidine Derivatives 13a-d
Under argon, to a solution of substituted methanol 12a-d (17.45 mmol) in dry DMSO or THF (30 mL) was added NaH (60%, 21.82 mmol) and stirred at room temperature for 1 h. 2,4-Diamino-6-chloropyrimidine (2) (8.73 mmol) was added and stirred at room temperature for 11 h. The reaction solution was quenched with sat NH4Cl (50 mL) and extracted with EtOAc (150 mL × 3), and the combined organic layers dried with Na2SO4, filtered and concentrated. The residue was purified by column chromatography on silica gel using CH2Cl2/CH3OH (50:1, v/v) as the eluting solvent to give compounds 13a-d.
2,4-Diamino-6-(2-methoxyethoxy)pyrimidine (13a). White solid 1.04 g, yield 65%. m.p. 152.9–153.9 °C; IR: υmax/cm−1 3440 (NH), 3368 (NH), 1636 (C=N), 1563 (C=C), 1118 (C-O-C); 1H-NMR (DMSO-d6) δ 6.00 (s, 2H, NH2), 5.85 (s, 2H, NH2), 5.02 (s, 1H, Ar-H), 4.23–4.17 (m, 2H, CH2), 3.59–3.51 (m, 2H, CH2), 3.27 (s, 3H, CH3); ES-MS 185.1 (M + H)+; HRMS Calcd. for C16H20ClN4O3+ 185.1039, found 185.1040.
2,4-Diamino-6-(3-methoxylpropoxy)pyrimidine (13b). White solid 1.07 g, yield 62%. m.p. 104.2–104.8 °C; IR: υmax/cm−1 3456 (NH), 3343 (NH), 1656 (C=N), 1572 (C=C), 1207 (C-O-C); 1H-NMR (DMSO-d6) δ 5.98 (s, 2H, NH2), 5.84 (s, 2H, NH2), 5.02 (s, 1H, Ar-H), 4.11 (t, J = 6.6, 2H, CH2), 3.40 (t, J = 6.3, 2H, CH2), 3.23 (s, 3H, CH3), 1.84 (m, 2H, CH2); ES-MS 199.1 (M + H)+; HRMS Calcd. for C16H20ClN4O3+ 199.1195, found 199.1198.
2,4-Diamino-6-(thiazole-5-methoxy)pyrimidine (13c). Yellow solid 1.44 g, yield 74%. m.p. 156.8–161.3 °C; IR: υmax/cm−1 3466 (NH), 3320 (NH), 1625 (C=N), 1570 (C=C), 1454 (C=C), 1138 (C-O-C), 1061 (C-O-C); 1H-NMR (DMSO-d6) δ 9.06 (s, 1H, Ar-H), 7.97 (s, 1H, Ar-H), 6.07 (s, 2H, NH2), 5.98 (s, 2H, NH2), 5.44 (s, 2H, CH2), 5.04 (s, 1H, Ar-H); ES-MS 224.0 (M + H)+; HRMS Calcd. for C16H20ClN4O3+ 224.0606, found 224.0608.
2,4-Diamino-6-(1-benzyl-1H-1,2,3-triazole-4-methoxy)pyrimidine (13d). White solid 2.05 g, yield 79%. m.p.131.4–135.7 °C; IR: υmax/cm−1 3421 (NH), 3333 (NH), 1631 (C=N), 1588 (N=N), 1451 (C=C), 1422 (C=C), 1197 (C-O-C); 1H-NMR (DMSO-d6) δ 8.20 (s, 1H, Ar-H), 7.36 (m, 5H, Ar-H), 6.04 (s, 2H, NH2), 5.96 (s, 2H, NH2), 5.59 (s, 2H, CH2), 5.20 (s, 2H, CH2), 5.02 (s, 1H, Ar-H); ES-MS 298.1 (M + H)+; HRMS Calcd. for C16H20ClN4O3+ 298.1416, found 298.1412.
General Procedure for the Synthesis of 2,4-Diamino-5-iodine-6-substitutedpyrimidine Derivatives 14a-d
Under argon, to a solution of 13-d (6.06 mmol) in dry CH3CN (35 mL) was added N-iodosuccinimide (9.09 mmol) and stirred at room temperature for 12 h. The reaction solution was extracted with EtOAc (150 mL × 3), and the combined organic layers were washed by NaHSO3, sat. NaHCO3 and sat. NaCl, and dried with Na2SO4, filtered and concentrated. The residue was purified by column chromatography on silica gel using CH2Cl2/CH3OH (80:1, v/v) as the eluting solvent to give compounds 14a-d.
2,4-Diamino-5-iodo-6-(2-methoxyethoxy)pyrimidine (14a). Yellow solid 1.50 g, 80%. m.p. 109.7–111.0 °C; IR: υmax/cm−1 3424 (NH), 3345 (NH), 1705 (C=N), 1554 (C=C), 1116 (C-O-C), 523 (C-I); 1H-NMR (DMSO-d6) δ 6.10 (s, 4H, NH2), 4.31–4.27 (m, 2H, CH2), 3.61–3.57 (m, 2H, CH2), 3.31 (s, 3H, CH3); ES-MS 310.9 (M + H)+; HRMS Calcd. for C16H20ClN4O3+ 311.0005, found 311.0003.
2,4-Diamino-5-iodo-6-(3-methoxypropoxy)pyrimidine (14b). Yellow solid 1.37 g, 70%. m.p. 124.0–125.8 °C; IR: υmax/cm−1 3472 (NH), 3357 (NH), 1631 (C=N), 1553 (C=C), 1145 (C-O-C), 532 (C-I); 1H-NMR (DMSO-d6) δ 6.09 (s, 4H, NH2), 4.20 (t, J = 6.4, 2H, CH2), 3.45 (t, J = 6.3, 2H, CH2), 3.24 (s, 3H, CH3), 1.86 (m, 2H, CH2); ES-MS 325.0 (M + H)+; HRMS Calcd. for C16H20ClN4O3+ 325.0161, found 325.0159.
2,4-Diamino-5-iodo-6-(thiazole-5-methoxy)pyrimidine (14c). Yellow solid 1.90 g, yield 90%. m.p. 178.0–179.9 °C; IR: υmax/cm−1 3436 (NH), 3305 (NH), 1624 (C=N), 1541 (C=C), 1442 (C=C), 1127 (C-O-C), 1103 (C-O-C), 545 (C-I); 1H-NMR (DMSO-d6) δ 9.08 (d, J = 0.5, 1H, Ar-H), 8.01 (d, J = 0.6, 1H, Ar-H), 6.24 (s, 4H, NH2), 5.51 (s, 2H, CH2); ES-MS 349.9 (M + H)+; HRMS Calcd. for C16H20ClN4O3+ 349.9572, found 349.9572.
2,4-Diamino-5-iodo-6-(1-benzyl-1H-1,2,3-triazole-4-methoxy)pyrimidine (14d). Yellow solid 2.38 g, yield 93%. m.p. 156.4–159.1 °C; IR: υmax/cm−1 3441 (NH), 3340 (NH), 1618 (C=N), 1552 (N=N), 1446 (C=C), 1280 (C-O-C); 1H-NMR (DMSO-d6) δ 8.51 (s, 1H, Ar-H), 7.86–7.74 (m, 5H, Ar-H), 6.28 (s, 2H, NH2), 6.20 (s, 2H, NH2), 6.08 (s, 2H, CH2), 5.81 (s, 2H, CH2); ES-MS 424.0 (M + H)+; HRMS Calcd. for C16H20ClN4O3+ 424.0383, found 424.0380.
General Procedure for the Synthesis of 2,4-Diamino-5-aryl-6-substitutedpyrimidine Derivatives 16a-p
(A) Under argon, to a mixed solution of EtOH/toluene/H2O (1:2:1, 60 mL) was added compounds 14a-d (2.36 mmol), substituted phenylboronic acid 15 (3.55 mmol), Pd(dbpf)Cl2 (0.02 mmol) and K2CO3 (3.55 mmol) consecutively and then stirred at 90 °C for 24 h. The reaction solution was extracted with EtOAc (150 mL × 3), and the combined organic layers were washed by H2O and dried with Na2SO4, filtered and concentrated. The residue was purified by column chromatography on silica gel using CH2Cl2/CH3OH (80:1, v/v) as the eluting solvent to the desired compounds.
(B) In a pressure tube, to a mixed solution of THF/H2O (1:1, 50 mL) was added compounds 14a-d (2.40 mmol), substituted phenylboronic acid 15 (3.60 mmol), Pd(dbpf)Cl2 (0.03 mmol) and K2CO3 (3.60 mmol) consecutively and then stirred at 70 °C for 20 h. The reaction solution was extracted with EtOAc (150 mL × 3), and the combined organic layers were washed by H2O and dried with Na2SO4, filtered and concentrated. The residue was purified by column chromatography on silica gel using CH2Cl2/CH3OH (60:1, v/v) as the eluting solvent to the desired compounds.
2,4-Diamino-5-(4-trifluoromethoxyphenyl)-6-(2-methoxyethoxy)pyrimidine (16a). Method A. White solid 0.60 g, yield 74%. m.p. 178.3–179.0 °C; IR: υmax/cm−1 3477 (NH), 3349 (NH), 1619 (C=N), 1553 (C=C), 1486 (C=C), 1447 (C=C), 1275 (C-F), 1222 (C-O-C), 1143 (C-O-C); 1H-NMR (DMSO-d6) δ 7.38–7.29 (m, 4H, Ar-H), 6.04 (s, 2H, NH2), 5.67 (s, 2H, NH2), 4.28–4.23 (m, 2H, CH2), 3.52–3.46 (m, 2H, CH2), 3.18 (s, 3H, CH3); ES-MS 345.1 (M + H)+; HRMS Calcd. for C16H20ClN4O3+ 345.1175, found 345.1176.
2,4-Diamino-5-(3-trifluoromethoxyphenyl)-6-(2-methoxyethoxy)pyrimidine (16b). Method A. White solid 0.60 g, yield 74%. m.p. 80.1–81.7 °C; IR: υmax/cm−1 3347 (NH), 3393 (NH), 1620 (C=N), 1561 (C=C), 1451 (C=C), 1292 (C-F), 1207 (C-O-C), 1157 (C-O-C); 1H-NMR (DMSO-d6) 7.49–7.44 (m, 1H, Ar-H), 7.29 (d, J = 7.8, 1H, Ar-H), 7.20 (d, J = 6.4, 2H, Ar-H), 6.08 (s, 2H, NH2), 5.73 (s, 2H, NH2), 4.28–4.23 (m, 2H, CH2), 3.51–3.46 (m, 2H, CH2), 3.18 (s, 3H, CH3); ES-MS 345.1 (M + H)+; HRMS Calcd. for C16H20ClN4O3+ 345.1175, found 345.1177.
2,4-Diamino-5-[3-(2,2,2-trifluoroethoxymethyl)phenyl]-6-(2-methoxyethoxy)pyrimidine (16c). Method A. Colorless oil 0.61 g, yield 70%; IR: υmax/cm−1 3480 (NH), 3383 (NH), 1607 (C=N), 1558 (C=C), 1437 (C=C), 1279 (C-F), 1160 (C-O-C), 1121 (C-O-C); 1H-NMR (DMSO-d6) δ 7.40–7.34 (m, 1H, Ar-H), 7.25–7.17 (m, 3H, Ar-H), 6.01 (s, 2H, NH2), 5.57 (s, 2H, NH2), 4.65 (s, 2H, CH2), 4.27–4.22 (m, 2H, CH2), 4.09 (q, J = 9.4, 2H, CH2), 3.51–3.45 (m, 2H, CH2), 3.18 (s, 3H, CH3); ES-MS 373.1 (M + H)+; HRMS Calcd. for C16H20ClN4O3+ 373.1488, found 373.1486.
2,4-Diamino-5-[3,5-dimethyl-4-(N-methoxyaminosulfonyl)phenyl]-6-(2-methoxyethoxy)pyrimidine (16d). Method A. White solid 0.68 g, yield 73%. m.p. 167.3–171.4 °C; IR: υmax/cm−1 3466 (NH), 3364 (NH), 1633 (C=N), 1587 (C=C), 1507 (NH), 1435 (C=C), 1157 (SO2), 1078 (SO2), 1014 (SO2); 1H-NMR (DMSO-d6) δ 10.26 (s, 1H, NH), 7.15 (s, 2H, Ar-H), 6.09 (s, 2H, NH2), 5.77 (s, 2H, NH2), 4.29–4.23 (m, 2H, CH2), 3.62 (s, 3H, CH3), 3.53–3.47 (m, 2H, CH2), 3.22 (s, 3H, CH3), 2.59 (s, 6H, CH3); ES-MS 398.1 (M + H)+; HRMS Calcd. for C16H20ClN4O3+ 398.1498, found 398.1497.
2,4-Diamino-5-[4-(3-trifluoromethoxyanilinoformoxyl)phenyl)-6-(2-methoxyethoxy)pyrimidine (16e). Method A. White solid 0.77 g, yield 70%. m.p. 96.50–100.1 °C; IR: υmax/cm−1 3424 (NH), 3345 (NH), 1705 (C=N), 1554 (C=C), 1116 (C-O-C), 523 (C-I); 1H-NMR (DMSO-d6) δ 10.48 (d, J = 10.3, 1H, NH), 7.94 (dd, J = 17.0, 4.9, 4H, Ar-H), 7.49 (t, J = 8.2, 1H, Ar-H), 7.43 (d, J = 8.4, 2H, Ar-H), 7.09 (d, J = 8.3, 1H, Ar-H), 6.09 (s, 2H, NH2), 5.70 (s, 2H, NH2), 4.31–4.25 (m, 2H, CH2), 3.53–3.48 (m, 2H, CH2), 3.21 (s, 3H, CH3); ES-MS 464.1 (M + H)+; HRMS Calcd. for C16H20ClN4O3+ 464.4252, found 464.4250.
2,4-Diamino-5-(4-trifluoromethoxyphenyl)-6-(3-methoxypropoxy)pyrimidine (16f). Method A. White solid 0.63 g, yield 75%. m.p. 189.3–190.9 °C; IR: υmax/cm−1 3471 (NH), 3365 (NH), 1632 (C=N), 1557 (C=C), 1451 (C=C), 1276 (C-F), 1207 (C-O-C), 1160 (C-O-C); 1H-NMR (DMSO-d6) δ 7.33 (m, 4H, Ar-H), 6.02 (s, 2H, NH2), 5.64 (s, 2H, NH2), 4.15 (t, J = 6.5, 2H, CH2), 3.27 (t, J = 6.3, 2H, CH2), 3.16 (s, 3H, CH3), 1.74 (m, 2H, CH2); ES-MS 359.1 (M + H)+; HRMS Calcd. for C16H20ClN4O3+ 359.1331, found 359.1333.
2,4-Diamino-5-(3-trifluoromethoxyphenyl)-6-(3-methoxypropoxy)pyrimidine (16g). Method A. White solid 0.79 g, yield 94%. m.p. 165.1–165.4 °C; IR: υmax/cm−1 3470 (NH), 3364 (NH), 1633 (C=N), 1559 (C=C), 1454 (C=C), 1283 (C-F), 1205 (C-O-C), 1154 (C-O-C); 1H-NMR (DMSO-d6) δ 7.47 (t, J = 8.0, 1H, Ar-H), 7.27 (d, J = 7.8, 1H, Ar-H), 7.21 (dd, J = 8.3, 1.0, 1H, Ar-H), 7.17 (s, 1H, Ar-H), 6.06 (s, 2H, NH2), 5.70 (s, 2H, NH2), 4.15 (t, J = 6.4, 2H, CH2), 3.29 (t, J = 6.3, 2H, CH2), 3.17 (s, 3H, CH3), 1.74 (m, 2H, CH2); ES-MS 359.1 (M + H)+; HRMS Calcd. for C16H20ClN4O3+ 359.1331, found 359.1330.
2,4-Diamino-5-(4-trifluoromethoxyphenyl)-6-(thiazole-5-methoxy)pyrimidine (16h). Method A. Yellow solid 0.79 g, yield 87%. m.p. 188.3–189.6 °C; IR: υmax/cm−1 3429 (NH), 3327 (NH), 1601 (C=N), 1556 (C=C), 1449 (C=C), 1245 (C-F), 1105 (C-O-C), 1025 (C-O-C); 1H-NMR (DMSO-d6) δ 9.03 (s, 1H, Ar-H), 7.91 (s, 1H, Ar-H), 7.30 (s, 4H, Ar-H), 6.16 (s, 2H, NH2), 5.75 (s, 2H, NH2), 5.45 (s, 2H, CH2); ES-MS 384.0 (M + H)+; HRMS Calcd. for C16H20ClN4O3+ 384.0742, found 384.0745.
2,4-Diamino-5-(3-trifluoromethoxyphenyl)-6-(thiazole-5-methoxy)pyrimidine (16i). Method A. Yellow solid 0.66 g, yield 73%. m.p. 142.8–143.2 °C; IR (KBr): υmax/cm−1 3467 (NH), 3361 (NH), 1628 (C=N), 1556 (C=C), 1452 (C=C), 1261 (C-F), 1106 (C-O-C), 1042 (C-O-C); 1H-NMR (DMSO-d6) δ 9.01 (s, 1H, Ar-H), 7.87 (s, 1H, Ar-H), 7.50–7.45 (m, 1H, Ar-H), 7.30 (d, J = 7.8, 1H, Ar-H), 7.21 (d, J = 6.4, 2H, Ar-H), 6.20 (s, 2H, NH2), 5.79 (s, 2H, NH2), 5.45 (s, 2H, CH2); ES-MS 384.0 (M + H)+; HRMS Calcd. for C16H20ClN4O3+ 384.0742, found 384.0740.
2,4-Diamino-5-[3-(2,2,2-trifluoroethoxymethyl)phenyl]-6-(thiazole-5-methoxy)pyrimidine (16j). Method A. Yellow solid 0.88 g, yield 91%. m.p. 126.3–129.0 °C; IR: υmax/cm−1 3478 (NH), 3316 (NH), 1624 (C=N), 1553 (C=C), 1442 (C=C), 1282 (C-F), 1158 (C-O-C); 1H-NMR (DMSO-d6) δ 9.02 (s, 1H, Ar-H), 7.90 (s, 1H, Ar-H), 7.35 (t, J = 7.6, 1H, Ar-H), 7.21 (d, J = 7.7 , 1H, Ar-H), 7.14 (d, J = 8.6, 2H, Ar-H), 6.12 (s, 2H, NH2), 5.64 (s, 2H, NH2), 5.44 (s, 2H, CH2), 4.64 (s, 2H, CH2), 4.08 (q, J = 9.4, 2H, CH2); ES-MS 412.1 (M + H)+; HRMS Calcd. for C16H20ClN4O3+ 412.1055, found 412.1056.
2,4-Diamino-5-[3,5-dimethyl-4-(N-methoxyaminosulfonyl)phenyl]-6-(thiazole-5-methoxy)pyrimidine (16k). Method A. White solid 0.74 g, yield 72%. m.p. 139.2–142.6 °C; IR: υmax/cm−1 3463 (NH), 3358 (NH), 1616 (C=N), 1589 (C=C), 1490 (C=C), 1448 (C=C), 1168 (SO2), 1076 (SO2), 1009 (SO2); 1H-NMR (DMSO-d6) δ 10.26 (s, 1H, NH), 9.05 (s, 1H, Ar-H), 7.92 (s, 1H, Ar-H), 7.07 (s, 2H, Ar-H), 6.21 (s, 2H, NH2), 5.84 (s, 2H, NH2), 5.46 (s, 2H, CH2), 3.61 (s, 3H, CH3), 2.57 (s, 6H, CH3); ES-MS 437.1 (M + H)+; HRMS Calcd. for C16H20ClN4O3+ 437.1066, found 437.1065.
2,4-Diamino-5-[4-(3-trifluoromethoxyanilinocarbonyl)phenyl]-6-(thiazole-5-methoxy)pyrimidine (16l). Method A. Yellow solid 1.17 g, yield 99%. m.p. 180.9–182.9 °C; IR: υmax/cm−1 3430 (NH), 3340 (NH), 3200 (NH), 1654 (C=O), 1608 (C=N), 1551 (C=C), 1484 (C=C), 1442 (C=C), 1257 (C-F); 1H-NMR (DMSO-d6) δ 10.46 (s, 1H, NH), 9.04 (s, 1H, Ar-H), 7.94 (d, J = 8.6, 4H, Ar-H), 7.79 (d, J = 8.2, 1H, Ar-H), 7.48 (t, J = 8.2, 1H, Ar-H), 7.36 (d, J = 8.4, 2H, Ar-H), 7.09 (d, J = 8.2, 1H, Ar-H), 6.20 (s, 2H, NH2), 5.77 (s, 2H, NH2), 5.47 (s, 2H, CH2); ES-MS 503.1 (M + H)+; HRMS Calcd. for C16H20ClN4O3+ 503.1113, found 503.1111.
2,4-Diamino-5-(4-trifluoromethoxyphenyl)-6-(1-benzyl-1H-1,2,3-triazole-4-methoxy)pyrimidine (16m). Method A. White solid 0.98 g, yield 91%. m.p.159.5–160.6 °C; IR: υmax/cm−1 3489 (NH), 3371 (NH), 1608 (C=N), 1556 (N=N), 1492 (C=C), 1439 (C=C), 1261 (C-O-C), 1219 (C-F); 1H-NMR (DMSO-d6) δ 8.15 (s,1H, Ar-H), 7.40–7.23 (m, 9H, Ar-H), 6.17 (s, 2H, NH2), 5.73 (s, 2H, NH2), 5.57 (s, 2H, CH2), 5.24 (s, 2H, CH2); ES-MS 458.1 (M + H)+; HRMS Calcd. for C16H20ClN4O3+ 458.1552, found 458.1555.
2,4-Diamino-5-(3-trifluoromethoxyphenyl)-6-(1-benzyl-1H-1,2,3-triazole-4-methoxy)pyrimidine (16n). Method A. White solid 0.98 g, yield 91%. m.p. 171.9–173.0 °C; IR: υmax/cm−1 3495 (NH), 3376 (NH), 1607 (C=N), 1556 (N=N), 1491 (C=C), 1431 (C=C), 1278 (C-O-C), 1219 (C-F); 1H-NMR (DMSO-d6) δ 8.15 (s, 1H, Ar-H), 7.40–7.23 (m, 9H, Ar-H), 6.17 (s, 2H, NH2), 5.73 (s, 2H, NH2), 5.57 (s, 2H, CH2), 5.24 (s, 2H, CH2); ES-MS 458.1 (M + H)+; HRMS Calcd. for C16H20ClN4O3+ 458.1552, found 458.1553.
2,4-Diamino-5-(4-methoxycarbonylphenyl)-6-(1-benzyl-1H-1,2,3-triazole-4-methoxy)pyrimidine (16o). Method B. Gray solid 0.70 g, yield 68%. m.p. 218.6–222.3 °C; IR: υmax/cm−1 3487 (NH), 3440 (NH), 1709 (C=O), 1616 (C=N), 1555 (N=N), 1483 (C=C), 1440 (C=C), 1285 (C-O-C); 1H-NMR (DMSO-d6): 8.16 (s, 1H, Ar-H), 7.87 (d, J = 8.4, 2H, Ar-H), 7.39–7.25 (m, 7H, Ar-H), 6.20 (s, 2H, NH2), 5.77 (s, 2H, NH2), 5.57 (s, 2H, CH2), 5.24 (s, 2H, CH2), 3.86 (s, 3H, CH3); ES-MS 432.1 (M + H)+; HRMS Calcd. for C16H20ClN4O3+ 432.1784, found 432.1786.
2,4-Diamino-5-(3-methoxycarbonylphenyl)-6-(1-benzyl-1H-1,2,3-triazole-4-methoxy)pyrimidine (16p). Method B. Yellow solid 0.53 g, yield 51%. m.p. 210.4–213.7 °C; IR: υmax/cm−1 3432 (NH), 3351 (NH), 1706 (C=O), 1619 (C=N), 1564 (N=N), 1485 (C=C), 1442 (C=C), 1252 (C-O-C); 1H-NMR (DMSO-d6) δ 8.13 (s, 1H, Ar-H), 7.80 (dd, J = 8.8, 4.4, 2H, Ar-H), 7.44 (d, J = 5.1, 2H, Ar-H), 7.34 (dd, J = 9.1, 6.9, 3H, Ar-H), 7.28–7.24 (m, 2H, Ar-H), 6.16 (s, 2H, NH2), 5.71 (s, 2H, NH2), 5.56 (s, 2H, CH2), 5.24 (s, 2H, CH2), 3.82 (s, 3H, CH3); ES-MS 432.1 (M + H)+; HRMS Calcd. for C16H20ClN4O3+ 432.1784, found 432.1785.
3.3. Determination of Anti-Mycobacterial Activity
The minimum inhibitory concentrations (MIC) and minimum bactericidal concentrations (MBC) of the test compounds were determined as described previously [] with minor modifications. In brief, the MIC was determined using the microbroth dilution method in 96-well microtitre plates. Mycobacterium tuberculosis H37Ra (ATCC 25177) was used as the test strain, at a final inoculum of approximately 105 cfu/mL. The compounds were dissolved in DMSO and diluted in 1% DMSO in 7H9 broth to obtain concentrations ranging from 100 μg/mL to 1.56 μg/mL. All inoculated plates were sealed with Parafilm and incubated at 36 °C for 28 days. On days 14 and 28, all wells were observed for visible growth, and 10 μL was removed from each well for subculturing on compound-free 7H10 agar plates which were incubated for six weeks at 36 °C. For each compound, the lowest concentration to inhibit the growth of H37Ra in broth culture was taken to be the MIC. The MBC was the lowest concentration to inhibit the formation of colonies on the agar subculture, up to six weeks of incubation.
3.4. Molecular Docking
The crystal structure of mt-DHFR in complex with NADPH and MTX (PDB ID: 1DF7) [] was used as the receptor for molecular docking, which was performed by GOLD Docking: GOLD (v 5.2.2 Genetic Optimization for Ligand Docking) []. The bound ligand, MTX was used as a reference to indicate the binding site, and each molecule was docked 10 times with the default automatic genetic algorithm parameter settings and the results were evaluated by Gold Score.
3.5. Molecular Dynamic Simulation
The geometry of the docked ligand was optimized by using the B3LYP 6–31 G* basis set within Gaussian09 [], and the atom-centered point charges were calculated to fit the electrostatic potential using RESP []. The parameters of NADPH were obtained from AMBER parameter database (http://www.pharmacy.manchester.ac.uk/bryce/amber/, uploaded by U. Ryde).
The docked compound and mt-DHFR complex was explicitly solvated in a truncated octahedral box of TIP3P model water (at least 12 Å from the complex to avoid periodic artifacts from occurring) by using Amber 16 with the amber ff14SB force field. The system charges were neutralized by adding enough K+ ions by using the tleap module (AmberTools 16). The explicit solvent models and the NPT ensemble (T = 300 K; P = 1 atm) were performed on all molecular dynamic simulations. Periodic boundary conditions (PBC) and particle-mesh-Ewald method (PME) [] were used to treat long-range electrostatic effects, with the temperature coupled to an external bath using a weak coupling algorithm []. The non-bonded interaction cutoff was set as 8 Å. The bond interactions involving H-atoms were constrained by using the SHAKE algorithm. The time step necessary to solve the Newton’s equations was chosen to be equal to 2 fs and the trajectory files were collected every 10 ps. All trajectory analysis was performed with the Ptraj module in the AmberTools 16 and examined visually using VMD software [].
The whole system was first optimized by energy minimization, followed by 110 ns molecular dynamic simulation, including 10 ns equilibration and 100 ns production simulations. The last 80 ns (1000 snapshots, 80 ps intervals) stable, equilibrated trajectories of the production simulation were taken for binding free energy calculations performed by using MM-PBSA [,,] (included in AMBERTOOLS 16).
The entropy was estimated by using the Normal Mode program [,] within the AMBER16 suite. Because the entropy calculations are computationally intensive, only 100 snapshots from the last 80 ns trajectories were used for the normal-mode analysis.
4. Conclusions
In conclusion, in order to occupy the GOL binding site on mt-DHFR and maintain proper hydrophobicities to allow the compounds to function in the Mtb whole cell assay, we designed and synthesized three series of compounds which contain a hydrophobic side chain. Among them, the compounds with a thiazole side chain significantly inhibited the growth of Mtb, and the best inhibition effect was observed on compound 16l. More interestingly, this compound showed selectivity for Mtb over vero cells, which makes it potentially useful as a lead compound for future studies on anti-TB drugs. Unfortunately, we are currently unable to confirm 16l as an mt-DHFR inhibitor by performing the binding assay on the pure mt-DHFR enzyme.
Sulfonamides were the first anti-bacterial agents to be used for the treatment of tuberculosis []. They were subsequently replaced by the standard first-line anti-TB drugs rifampicin, isoniazid, ethambutol and pyrazinamide, which had greater anti-TB activity. With the increase of multidrug resistant TB in the past two decades, and the therapeutic failures with standard anti-TB drugs, respiratory physicians have to resort the treatment with other antibiotics and chemotherapeutic agents including the trimethoprim-sulfamethoxazole combination []. While sulfamethoxazole competes with para-aminobenzoic acid (PABA) for the enzyme dihydropteroate synthetase, trimethoprim directly inhibits the dihydrofolate reductase for the reduction of dihydrofolic acid to tetrahydrofolic acid. This combination was found to have in vitro activity for up to 98% of Mtb isolates []. However, both drugs are bacteriostatic, and are associated with drug resistance. Sulfonamide resistance has been reported to result from a point mutation or the acquisition of a plasmid which enables the synthesis of a dihydropteroic synthetase that has poor affinity for sulfonamides. Similarly, trimethoprim can be rendered ineffective by plasmid- and transposon-mediated production of an altered dihydrofolate reductase that has markedly reduced affinity for the drug. In some studies, trimethoprim, when used by itself, has been shown to have little activity on some strains of Mtb []. The new compounds we synthesized appear to be bactericidal against Mtb, making it a better drug for TB therapy in immunocompromised patients. Further studies are required to test for the frequency of mutation to resistance among clinical strains of Mtb and whether the compounds can be used in combination with other anti-TB drugs or antibiotics for synergistic activity or to retard the development of resistance.
Acknowledgments
This work was supported by National Natural Science Foundation of China (81773582) given to H.W.; National Natural Science Foundation of China (81460538, 81660588) given to W.H.; IPSR/RMC/UTARRF/2015-C1/NO3 awarded to Y.F.N. by Universiti Tunku Abdul Rahman (UTAR), Kuala Lumpur, Malaysia.
Author Contributions
Wei Hong, Hao Wang and Yun Fong Ngeow conceived and designed the experiments; Yifan Ouyang, Hao Yang, Peng Zhang, Yu Wang, Sargit Kaur, Xuanli Zhu, Zhe Wang, and Yutong Sun performed the experiments; Wei Hong and Hao Wang analyzed the data; Wei Hong, Hao Wang and Yun Fong Ngeow wrote the paper.
Conflicts of Interest
All authors declare no conflict of interest.
References
- Zheng, J.; Rubin, E.J.; Bifani, P.; Mathys, V.; Lim, V.; Au, M.; Jang, J.C.; Nam, J.; Dick, T.; Walker, J.R.; et al. Para-Aminosalicylic Acid Is a Prodrug Targeting Dihydrofolate Reductase in Mycobacterium tuberculosis. J. Biol. Chem. 2013, 288, 23447–23456. [Google Scholar] [CrossRef] [PubMed]
- Gangjee, A.; Jain, H.D.; Queener, S.F.; Kisliuk, R.L. The Effect of 5-Alkyl Modification on the Biological Activity of Pyrrolo[2,3-d]pyrimidine Containing Classical and Nonclassical Antifolates as Inhibitors of Dihydrofolate Reductase and as Antitumor and/or Antiopportunistic Infection Agents. J. Med. Chem. 2008, 51, 4589–4600. [Google Scholar] [CrossRef] [PubMed]
- Gangjee, A.; Yang, J.; Queener, S.F. Novel non-classical C9-methyl-5-substituted-2,4-diaminopyrrolo-[2,3-d]pyrimidines as potential inhibitors of dihydrofolate reductase and as anti-opportunistic agents. Bioorg. Med. Chem. 2006, 14, 8341–8351. [Google Scholar] [CrossRef] [PubMed]
- Cai, B.; Liao, A.; Lee, K.K.; Ban, J.S.; Yang, H.S.; Im, Y.J.; Chun, C.J. Design, synthesis of methotrexate-diosgenin conjugates and biological evaluation of their effect on methotrexate transport-resistant cells. Steroids 2016, 116, 45–51. [Google Scholar] [CrossRef] [PubMed]
- Bertino, J.R. Karnofsky Memorial Lecture: Ode to methotrexate. J. Clin. Oncol. 1993, 11, 5–14. [Google Scholar] [CrossRef] [PubMed]
- Assaraf, Y.G. Molecular basis of antifolate resistance. Cancer Metastasis Rev. 2007, 26, 153–181. [Google Scholar] [CrossRef] [PubMed]
- Gangjee, A.; Elzein, E.; Kothare, M.; Vasudevan, A. Classical and Nonclassical Antifolates as Potential Antitumor, Antipneumocystis and Antitoxoplasma Agents. Curr. Pharm. Des. 1996, 2, 263–280. [Google Scholar]
- Hawser, S.; Lociuro, S.; Islam, K. Dihydrofolate reductase inhibitors as antibacterial agents. Biochem Pharmacol. 2006, 71, 941–948. [Google Scholar] [CrossRef] [PubMed]
- Then, R.L. Antimicrobial dihydrofolate reductase inhibitors--achievements and future options: Review. J. Chemother. 2004, 16, 3–12. [Google Scholar] [CrossRef] [PubMed]
- El-Hamamsy, M.H.R.I.; Smith, A.W.; Thompson, A.S.; Threadgill, M.D. Structure-based design, synthesis and preliminary evaluation of selective inhibitors of dihydrofolate reductase from Mycobacterium tuberculosis. Bioorg. Med. Chem. 2007, 15, 4552–4576. [Google Scholar] [CrossRef] [PubMed]
- Surineni, G.; Yogeeswari, P.; Sriram, D.; Kantevari, S. Design and synthesis of novel carbazole tethered pyrrole derivatives as potent inhibitors of Mycobacterium tuberculosis. Bioorg. Med. Chem. Lett. 2015, 25, 485–491. [Google Scholar] [CrossRef] [PubMed]
- Wang, H.; Hong, W.; Zhang, P.; Wang, Y.; Tang, X.L.; Yang, H.; Ouyang, Y.F.; Sun, T.; Pu, J. The Synthesis of 2,4-Diaminopyrimidine Derivatives. Patent CN105566230A, 11 May 2016. [Google Scholar]
- Zhang, L.; Jia, B.; Hu, C.F.; Wang, F.; Cui, Y.X. Synthesis and preliminary biological evaluation of the derivatives of O6-benzylguanine as inactivators of O6-alkylguanine-DNA alkyltransferase. Chin. Chem. Lett. 2008, 19, 801–804. [Google Scholar] [CrossRef]
- Yang, Z.; Wang, T.J.; Wang, F.; Niu, T.; Liu, Z.W.; Chen, X.X.; Long, C.F.; Tang, M.H.; Cao, D.; Wang, X.Y.; et al. Discovery of Selective Histone Deacetylase 6 Inhibitors Using the Quinazoline as the Cap for the Treatment of Cancer. J. Med. Chem. 2016, 59, 1455–1470. [Google Scholar] [CrossRef] [PubMed]
- Ganguly, N.C.; De, P.; Dutta, S. Mild Regioselective Monobromination of Activated Aromatics and Heteroaromatics with N-Bromosuccinimide in Tetrabutylammonium Bromide. Synthesis 2005, 7, 1103–1108. [Google Scholar] [CrossRef]
- Hodgetts, K.J.; Kershaw, M.T. Regiocontrolled Synthesis of Substituted Thiazoles. Org. Lett. 2002, 4, 1363–1365. [Google Scholar] [CrossRef] [PubMed]
- Guillou, S.; Janin, Y.L. 5-Iodo-3-Ethoxypyrazoles: An Entry Point to New Chemical Entities. Chem. Eur. J. 2010, 16, 4669–4677. [Google Scholar] [CrossRef] [PubMed]
- Wang, H.; Hong, W.; Tang, X.L.; Ouyang, Y.F.; Yang, H.; Wang, Y.; Zhang, P.; Chang, Z.; Li, J.Y.; Yang, Y.H.; et al. The Preparation and Application of 2,4-diaminopyrimidine Compounds and their Salts as Anti-TB Drugs. Patent CN106220616A, 14 December 2016. [Google Scholar]
- Hong, W.; Wang, Y.; Chang, Z.; Yang, Y.H.; Pu, J.; Sun, T.; Kaur, S.; Sacchettini, J.C.; Jung, H.; Wong, W.L.; et al. The identification of novel Mycobacterium tuberculosis DHFR inhibitors and the investigation of their binding preferences by using molecular modelling. Sci. Rep. 2015, 5, 15328. [Google Scholar] [CrossRef] [PubMed]
- Li, R.; Sirawaraporn, R.; Chitnumsub, P.; Sirawaraporn, W.; Wooden, J.; Athappilly, F.; Turley, S.; Hol, W.G. Three-dimensional structure of M. tuberculosis dihydrofolate reductase reveals opportunities for the design of novel tuberculosis drugs. J. Mol. Biol. 2000, 295, 307–323. [Google Scholar] [CrossRef] [PubMed]
- Jones, G.; Willett, P.; Glen, R.C.; Leach, A.R.; Taylor, R. Development and validation of a genetic algorithm for flexible docking. J. Mol. Biol. 1997, 267, 727–748. [Google Scholar] [CrossRef] [PubMed]
- Frisch, M.J.; Trucks, G.W.; Schlegel, H.B.; Scuseria, G.E.; Robb, M.A.; Cheeseman, J.R.; Scalmani, G.; Barone, V.; Mennucci, B.; Petersson, G.A.; et al. Gaussian 09, Revision C.01; Gaussian, Inc.: Wallingford, UK; New Haven, CT, USA, 2009. [Google Scholar]
- Bayly, C.I.; Cieplak, P.; Cornell, W.D.; Kollman, P.A. A well-behaved electrostatic potential based method using charge restraints for deriving atomic charges: The RESP model. J. Phys. Chem. 1993, 97, 10269–10280. [Google Scholar] [CrossRef]
- Darden, T.; York, D.; Pedersen, L. Particle mesh Ewald: An N.log(N) method for Ewald sums in large systems. J. Chem. Phys. 1993, 98, 10089–10092. [Google Scholar] [CrossRef]
- Berendsen, H.J.C.; Postma, J.P.M.; Van gunsteren, W.F.; Dinola, A.; Haak, J.R. Molecular dynamics with coupling to an external bath. J. Chem. Phys. 1984, 81, 3684–3690. [Google Scholar] [CrossRef]
- Humphrey, W.; Dalke, A.; Schulten, K. VMD-Visual Molecular Dynamics. J. Mol. Graphics. 1996, 14, 33–38. [Google Scholar] [CrossRef]
- Kollman, P.A.; Massova, I.; Reyes, C.; Kuhn, B.; Huo, S.H.; Chong, L.; Lee, M.; Lee, T.; Duan, Y.; Wang, W.; et al. Calculating structures and free energies of complex molecules: Combining molecular mechanics and continuum models. Acc. Chem. Res. 2000, 33, 889–897. [Google Scholar] [CrossRef] [PubMed]
- Wang, H.; Laughton, C.A. Molecular modelling methods for prediction of sequence-selectivity in DNA recognition. Methods 2007, 42, 196–203. [Google Scholar] [CrossRef] [PubMed]
- Wang, H.; Laughton, C.A. Evaluation of molecular modelling methods to predict the sequence selectivity of DNA minor groove. Phys. Chem. Chem. Phys. 2009, 11, 10722–10728. [Google Scholar] [CrossRef] [PubMed]
- Freilich, E.B.; Coe, G.C.; Wien, N.A. The use of sulfanilamide in pulmonary tuberculosis: Preliminary report. Ann. Intern. Med. 1939, 13, 1042–1045. [Google Scholar]
- Alsaad, N.; Wilffert, B.; van Altena, R.; de Lange, W.C.M.; van der Werf, T.S.; Kosterink, J.G.W.; Alffenaar, J.W.C. Potential antimicrobial agents for the treatment of multidrug-resistant tuberculosis. Eur. Respir. J. 2014, 43, 884–897. [Google Scholar] [CrossRef] [PubMed]
- Forgacs, P.; Wengenack, N.L.; Hall, L.; Zimmerman, S.K.; Silverman, M.L.; Roberts, G.D. Tuberculosis and trimethoprim-sulfamethoxazole. Antimicrob. Agents Chemother. 2009, 53, 4789–4793. [Google Scholar] [CrossRef] [PubMed]
- Macingwana, L.; Baker, B.; Ngwane, A.H.; Harper, C.; Cotton, M.F.; Hesseling, A.; Diacon, A.H.; van Helden, P.; Wiid, I. Sulfamethoxazole enhances the antimycobacterial activity of rifampicin. J. Antimicrob. Chemother. 2012, 67, 2908–2911. [Google Scholar] [CrossRef] [PubMed]
Sample Availability: Samples of the compounds 10a-q, 11a-q and 16a-p are available from the authors. |
© 2017 by the authors. Licensee MDPI, Basel, Switzerland. This article is an open access article distributed under the terms and conditions of the Creative Commons Attribution (CC BY) license (http://creativecommons.org/licenses/by/4.0/).




