Bioactive Thiazine and Benzothiazine Derivatives: Green Synthesis Methods and Their Medicinal Importance
Abstract
:1. Introduction
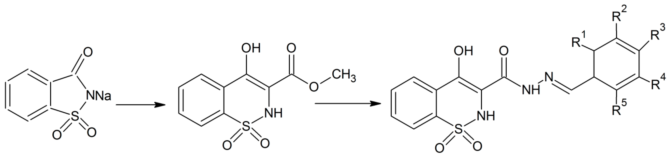
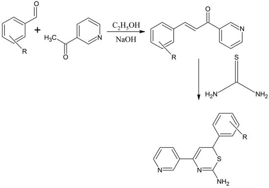
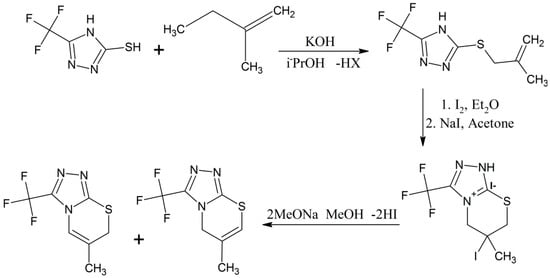
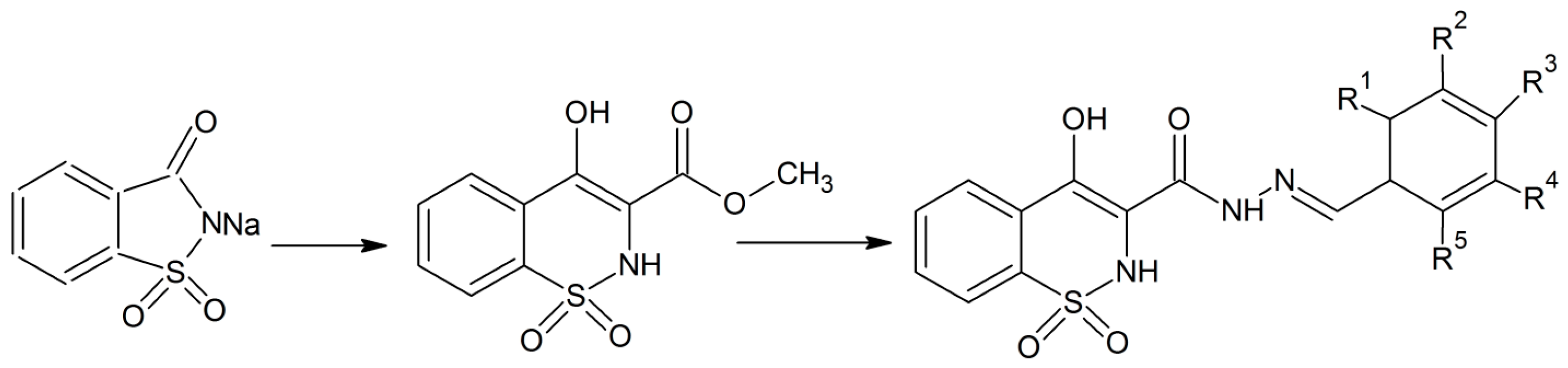
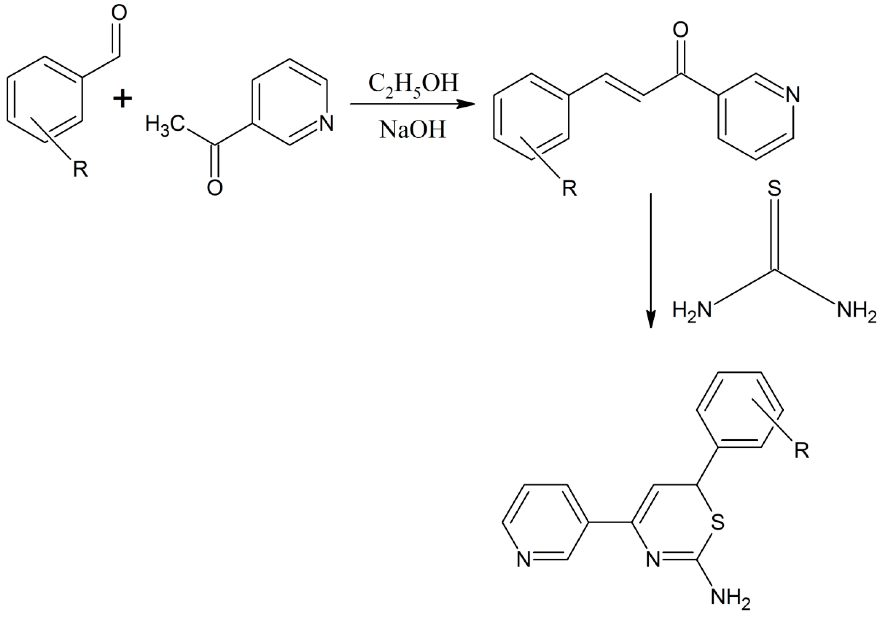
2. Green Syntheses of Thiazines and their Derivatives
3. Biological Activities of Thiazine and Benzothiazine Derivatives
3.1. Antimicrobial Activities
3.2. Antitubercular Activities
3.3. Antimalarial Activities
3.4. Antifungal Activities
3.5. Anticancer Activities
3.6. Anti-Inflammatory Activities
3.7. Antiarrhythmic Activities
3.8. Antidiabetic Activities
3.9. Anti-Alzheimer Activities
4. Conclusions and Future Perspectives
Acknowledgments
Author Contributions
Conflicts of Interest
Abbreviations
| IR | Infra-red spectroscopy |
| EMIS | Electromagnetic induction spectroscopy |
| CAN | Ceric ammonium nitrate |
| CB | Cannabinoid receptors |
| AVP | Arginine vasopressin |
| PBTDs | Pyrrolobenzothiadiazepines |
| ALR2 | Aldose reductase 2 |
| NSAIDs | Nonsteroidal anti-inflammatory drugs |
| FBDL | Fragment based drug ligands |
| AD | Alzheimer’s disease |
| BACE1 | beta-secretase 1 |
References
- Deepika, G.; Gopinath, P.; Kranthi, G.; Nagamani, C.; Jayasree, Y.V.; Naidu, N.V.; Enaganti, S. Synthesis and antibacterial activity of some new thiazine derivatives. J. Pharm. Res. 2012, 5, 1105–1107. [Google Scholar]
- Chaviara, A.T.; Cox, P.J.; Repana, K.H.; Papi, R.M.; Papazisis, K.T.; Zambouli, D.; Kortsaris, A.H.; Kyriakidis, D.A.; Bolos, C.A. Copper(II) Schiff base coordination compounds of dien with heterocyclic aldehydes and 2-amino-5-methyl-thiazole: Synthesis, characterization, antiproliferative and antibacterial studies. Crystal structure of CudienOOCl2. J. Inorg. Biochem. 2004, 98, 1271–1283. [Google Scholar] [CrossRef] [PubMed]
- Joshi, H.; Upadhyay, P.; Baxi, A.J. Studies on 4-thiazolidinones. Synthesis and antimicrobial activity of 1,4-bis(2′-aryl-5′(H)-4′-thiazolidinone-3′-ylamino)phthalazine. J. Indian Chem. Soc. 1990, 67, 779–780. [Google Scholar] [CrossRef]
- Al-Khamees, H.A.; Bayomi, S.M.; Kandil, H.A.; El-Tahir, K.E.H. Synthesis and pharmacological screening of a new series of 3-(4-antipyryl)-2-arylthiazolidin-4-ones. Eur. J. Med. Chem. 1990, 25, 103–106. [Google Scholar] [CrossRef]
- Bano, M.; Barot, K.P.; Jain, S.V.; Ghate, M.D. Identification of 3-hydroxy-4(3,4-dihydro-3-oxo-2H-1,4-benzoxazin-4-yl)-2,2-dimethyldihydro-2H-benzopyran derivatives as potassium channel activators and anti-inflammatory agents. Med. Chem. Res. 2015, 24, 3008–3020. [Google Scholar] [CrossRef]
- Vincent, G.; Mathew, B.V.; Joseph, J.; Chandran, M.; Bhat, A.R.; Kumar, K.K. A Review on Biological Activities of Thiazine Derivatives. Int. J. Pharm. Chem. Sci. 2014, 3, 341–348. [Google Scholar]
- Preet, S.; Damanjit., C.S. Synthesis and biological evaluation of 1,3-thiazines—A review. Pharmacophore 2013, 4, 70–88. [Google Scholar]
- Asif, M. Chemical and Pharmacological Potential of Various Substituted Thiazine Derivatives. J. Pharm. Appl. Chem. 2015, 1, 49–64. [Google Scholar]
- Didwagh, S.S.; Piste, P.B. Green synthesis of thiazine and oxazine derivatives—A short review. Int. J. Pharm. Sci. Res. 2013, 4, 2045–2061. [Google Scholar]
- Edayadulla, N.; Ramesh, P. Synthesis of 2,6-dicarbethoxy-3,5-diaryltetrahydro-1,4-thiazine-1,1-dioxide derivatives as potent anticonvulsant agents. Eur. J. Med. Chem. 2015, 106, 44–49. [Google Scholar] [CrossRef] [PubMed]
- Kadhim, M.A. Synthesis and chemical characterization of some novel azachalcones compounds and evaluation of their biological activity. J. Univ. Anbar Pure Sci. 2010, 4, 40–43. [Google Scholar]
- Elarfi, M.J.; Al-Difar, H. A Synthesis of some heterocyclic compounds derived from chalcones. Elix. Online J. 2012, 2, 6243–6245. [Google Scholar]
- Banda, G.; Hipparagi, S.M.; Ramjith, U.S. Microwave Assisted Synthesis of Fluoro, Chloro 2-Substituted Benzimidazole Thiazine derivatives for antimicrobial activities. Int. J. Res. Pharm. Sci. 2012, 2, 146–158. [Google Scholar]
- Zia-ur-Rehman, M.; Choudary, J.A.; Elsegood, M.R.J.; Siddiqui, H.L.; Khan, K.M. A facile synthesis of novel biologically active 4-hydroxy-N′-(benzylidene)-2H-benzo(e)(1,2)thiazine-3-carbohydrazide 1,1-dioxides. Eur. J. Med. Chem. 2009, 44, 1311–1316. [Google Scholar] [CrossRef] [PubMed]
- Ahmad, N.; Zia-ur-Rehman, M.; Siddiqui, H.L.; Ullah, M.F.; Parvez, M. Microwave assisted synthesis and structure-activity relationship of 4-hydroxy-N′-(1-phenylethylidene)-2H/2-methyl-1,2-benzothiazine-3-carbohydrazide 1,1-dioxides as anti-microbial agents. Eur. J. Med. Chem. 2011, 46, 2368–2377. [Google Scholar] [CrossRef] [PubMed]
- Arshad, M.N.; Sahin, O.; Zia-ur-Rehman, M.; Shafiq, M.; Khan, I.U.; Asiri, A.M.; Khan, S.B.; Alamry, K.A. Crystallographic studies of dehydration phenomenon in methyl 3-hydroxy-2-methyl-1,1,4-trioxo-1,2,3,4-tetrahydro-1λ6-benzo(e)(1,2)thiazine-3-carboxylate. J. Chem. Crystallogr. 2013, 43, 671–676. [Google Scholar] [CrossRef]
- Dighade, A.S.; Dighade, S.R. Synthesis of substituted-4,6-diaryl-2-imino-6H-2,3-dihydro-1,3-thiazine. Int. J. Chem. Sci. 2012, 10, 291–296. [Google Scholar]
- Bunker, A.M.; Cheng, X.-M.; Doherty, A.M.; Lee, C.; Repine, J.T.; Skeean, R.; Edmunds, J.J.; Kanter, G.D. Certain Benzothiazine Dioxide Endothelin Antagonists and Processes for Their Preparation. U.S. Patent 6,545,150 B2, 8 April 2003. [Google Scholar]
- Yadav, L.D.S.; Yadav, S.; Rai, V.K. Mercaptoacetic acid based expeditious synthesis of polyfunctionalised 1,3-thiazines. Tetrahedron 2005, 61, 10013–10017. [Google Scholar] [CrossRef]
- Yadav, L.D.S.; Rai, V.K.; Yadav, B.S. The first ionic liquid-promoted one-pot diastereoselective synthesis of 2,5-diamino-/2-amino-5-mercapto-1,3-thiazin-4-ones using masked amino/mercapto acids. Tetrahedron 2009, 65, 1306–1315. [Google Scholar] [CrossRef]
- Torres-García, P.; Viñuelas-Zahínos, E.; Luna-Giles, F.; Espino, J.; Barros-García, F.J. Zinc(II) complexes with novel 1,3-thiazine/pyrazole derivative ligands: Synthesis, structural characterization and effect of coordination on the phagocytic activity of human neutrophils. Polyhedron 2011, 30, 2627–2636. [Google Scholar] [CrossRef]
- Viñuelas-Zahínos, E.; Luna-Giles, F.; Torres-García, P.; Rodríguez, A.B.; Bernalte-García, A. Effects of a derivative thiazoline/thiazolidine azine ligand and its cadmium complexes on phagocytic activity by human neutrophils. Inorg. Chim. Acta 2011, 366, 373–379. [Google Scholar] [CrossRef]
- Tozkoparan, B.; Aktay, G.; Yeşilada, E. Synthesis of some 1,2,4-triazolo(3,2-b)-1,3-thiazine-7-ones with potential analgesic and antiinflammatory activities. II Farmaco 2002, 57, 145–152. [Google Scholar] [CrossRef]
- Singh, U.P.; Bhat, H.R.; Singh, R.K. Ceric ammonium nitrate (CAN) catalysed expeditious one-pot synthesis of 1,3-thiazine as IspE kinase inhibitor of Gram-negative bacteria using polyethylene glycol (PEG-400) as an efficient recyclable reaction medium. C. R. Chim. 2013, 16, 462–468. [Google Scholar] [CrossRef]
- Il’inykh, E.S.; Kim, D.G.; Kodess, M.I.; Matochkina, E.G.; Slepukhin, P.A. Synthesis of novel fluorine- and iodine-containing (1,2,4)triazolo(3,4-b)(1,3)thiazines based 3-(alkenylthio)-5-(trifluoromethyl)-4H-1,2,4-triazole-3-thiols. J. Fluor. Chem. 2013, 149, 24–29. [Google Scholar] [CrossRef]
- Baharfar, R.; Baghbanian, S.M.; Vahdat, S.M. An efficient one-pot synthesis of pyrimido(2,1-b)(1,3)thiazine derivatives by reaction of activated acetylenes, thiouracils, and isocyanides. Tetrahedron Lett. 2011, 52, 6018–6020. [Google Scholar] [CrossRef]
- Wang, W.; Zhao, B.; Xu, C.; Wu, W. Synthesis and Antitumor Activity of the Thiazoline and Thiazine Multithioether. Int. J. Org. Chem. 2012, 2012, 117–120. [Google Scholar] [CrossRef]
- El Shehry, M.F.; Swellem, R.H.; Abu-Bakr, S.M.; El-Telbani, E.M. Synthesis and molluscicidal evaluation of some new pyrazole, isoxazole, pyridine, pyrimidine, 1,4-thiazine and 1,3,4-thiadiazine derivatives incorporating benzofuran moiety. Eur. J. Med. Chem. 2010, 45, 4783–4787. [Google Scholar] [CrossRef] [PubMed]
- Zhao, Y.; Bai, Y.; Zhang, Q.; Chen, Z.; Dai, Q.; Ma, C. A facile method for the synthesis of pyridazino(4,5-b)(1,4)thiazine-diones via Smiles rearrangement. Tetrahedron Lett. 2013, 54, 3253–3255. [Google Scholar] [CrossRef]
- Liu, Y.; Ma, Y.; Zhan, C.; Huang, A.; Ma, C. One-Pot Synthesis of Fused Pyridazino(4,5-b)(1,4)oxazepine-diones via Smiles Rearrangement. Synlett 2012, 2012, 255–258. [Google Scholar] [CrossRef]
- Konstantinova, L.S.; Berezin, A.A.; Lysov, K.A.; Rakitin, O.A. Selective synthesis of bis(1,2)dithiolo(1,4)thiazines from 4-isopropylamino-5-chloro-1,2-dithiole-3-ones. Tetrahedron Lett. 2007, 48, 5851–5854. [Google Scholar] [CrossRef]
- Amelichev, S.A.; Barriga, S.; Konstantinova, L.S.; Markova, T.B.; Rakitin, O.A.; Rees, C.W.; Torroba, T. Synthesis of bis(1,2)dithiolo(1,4)thiazine imines from Hünig’s base. J. Chem. Soc. Perkin 1 2001, 2409–2412. [Google Scholar] [CrossRef]
- Asquith, C.R.M.; Meli, M.L.; Konstantinova, L.S.; Laitinen, T.; Poso, A.; Rakitin, O.A.; Hofmann-Lehmann, R.; Allenspach, K.; Hilton, S.T. Novel fused tetrathiocines as antivirals that target the nucleocapsid zinc finger containing protein of the feline immunodeficiency virus (FIV) as a model of HIV infection. Bioorg. Med. Chem. Lett. 2015, 25, 1352–1355. [Google Scholar] [CrossRef] [PubMed]
- Asquith, C.R.M.; Meli, M.L.; Konstantinova, L.S.; Laitinen, T.; Peräkyläd, M.; Poso, A.; Rakitin, O.A.; Allenspach, K.; Hofmann-Lehmann, R.; Hilton, S.T. Evaluation of the antiviral efficacy of bis(1,2)dithiolo(1,4)thiazines and bis(1,2)dithiolopyrrole derivatives against the nucelocapsid protein of the Feline Immunodeficiency Virus (FIV) as a model for HIV infection. Bioorg. Med. Chem. Lett. 2014, 24, 2640–2644. [Google Scholar] [CrossRef] [PubMed]
- Pluta, K.; Morak-Młodawska, B.; Jeleń, M. Recent progress in biological activities of synthesized phenothiazines. Eur. J. Med. Chem. 2011, 46, 3179–3189. [Google Scholar] [CrossRef] [PubMed]
- Yadav, L.D.S.; Singh, A. Microwave activated solvent-free cascade reactions yielding highly functionalised 1,3-thiazines. Tetrahedron Lett. 2003, 44, 5637–5640. [Google Scholar] [CrossRef]
- Harrison, C.J.; Bratcher, D. Cephalosporins: A Review. Pediatr. Rev. 2008, 29, 264–273. [Google Scholar] [CrossRef] [PubMed]
- Pfeifer, Y.; Cullik, A.; Witte, W. Resistance to cephalosporins and carbapenems in Gram-negative bacterial pathogens. Int. J. Med. Microbiol. 2010, 300, 371–379. [Google Scholar] [CrossRef] [PubMed]
- Greninger, A.L.; Chatterjee, S.S.; Chan, L.C.; Hamilton, S.M.; Chambers, H.F.; Chiu, C.Y. Whole-genome sequencing of methicillin-resistant staphylococcus aureus resistant to fifth-generation cephalosporins reveals potential non-meca mechanisms of resistance. PLoS ONE 2016, 11, e0149541. [Google Scholar] [CrossRef] [PubMed]
- Yadav, L.D.S.; Awasthi, C.; Rai, V.K.; Rai, A. Biorenewable and mercaptoacetylating building blocks in the Biginelli reaction: Synthesis of thiosugar-annulated dihydropyrimidines. Tetrahedron Lett. 2007, 48, 4899–4902. [Google Scholar] [CrossRef]
- Rai, V.K.; Rai, P.; Thakur, Y. Masked mercapto acid-driven MCR in task-specific ionic liquid: A new sterocontrolled entry into bicyclic 1,3-thiazines. Tetrahedron Lett. 2013, 54, 6469–6473. [Google Scholar] [CrossRef]
- Patel, C.; Jatinder, P.; Bassin, M.S.; Flye, J.; Ann, P.; Lee, H.; Martin, G.M. Synthesis and Antimicrobial Activity of 1,2-Benzothiazine Derivatives. Molecules 2016, 21. [Google Scholar] [CrossRef] [PubMed]
- Govindan, S.; Valliappan, R.; Chakravarthy, J.; Vanitha, P.; Sundari, V. Synthesis, characterization and biological studies of some 3,5-diaryl-tetrahydro-N-formyl-1,4-thiazine-1,1-dioxide. J. Chem. Pharm. Res. 2013, 5, 99–103. [Google Scholar]
- Bansode, T.N.; Shelke, J.V.; Dongre, V.G. Synthesis and antimicrobial activity of some new N-acyl substituted phenothiazines. Eur. J. Med. Chem. 2009, 44, 5094–5098. [Google Scholar] [CrossRef] [PubMed]
- Naeem, A.; Badshah, S.L.; Ahmad, N.; Khan, K. The Current Case of Quinolones: Synthetic Approaches and Antibacterial Activity. Molecules 2016, 21. [Google Scholar] [CrossRef] [PubMed]
- Parai, M.K.; Panda, G. A convenient synthesis of chiral amino acid derived 3,4-dihydro-2H-benzo(b)(1,4)thiazines and antibiotic levofloxacin. Tetrahedron Lett. 2009, 50, 4703–4705. [Google Scholar] [CrossRef]
- Ajani, O.O. Functionalized 1,4-benzothiazine: A versatile scaffold with diverse biological properties. Arch. Pharm. 2012, 345, 841–851. [Google Scholar] [CrossRef] [PubMed]
- Charris, J.; Barazarte, A.; Domínguez, J.; Gamboa, N. Microwave-assisted synthesis of quinolones and 4H-1,4-benzo-thiazine 1,1-dioxides. J. Chem. Res. 2005, 2005, 27–28. [Google Scholar] [CrossRef]
- Harmata, M.; Hong, X. Benzothiazine appl enantiomeric pure 4-sub quinolone. Org. Lett. 2007, 9, 2701–2704. [Google Scholar] [CrossRef] [PubMed]
- Czarny, A.; Zaczyńska, E.; Jeleń, M.; Zimecki, M.; Pluta, K.; Morak-Młodawska, B.; Artym, J.; Kocięba, M. Antimicrobial properties of substituted quino(3,2-b)benzo(1,4)thiazines. Pol. J. Microbiol. 2014, 63, 335–339. [Google Scholar] [PubMed]
- Wu, H.-M.; Zhou, K.; Wu, T.; Cao, Y.-G. Synthesis of Pyrazine-1,3-thiazine hybrid analogues as antiviral agent against HIV-1, influenza A (H1N1), enterovirus 71 (EV71) and coxsackievirus B3 (CVB3). Chem. Biol. Drug Des. 2016, 88. [Google Scholar] [CrossRef] [PubMed]
- Adly, O.M.I. Characterization, molecular modeling and antimicrobial activity of metal complexes of tridentate Schiff base derived from 5-acetyl-4-hydroxy-2H-1,3-thiazine-2,6(3H)-dione and 2-aminophenol. Spectrochim. Acta A Mol. Biomol. Spectrosc. 2012, 95, 483–490. [Google Scholar] [CrossRef] [PubMed]
- Koketsu, M.; Tanaka, K.; Takenaka, Y.; Kwong, C.D.; Ishihara, H. Synthesis of 1,3-thiazine derivatives and their evaluation as potential antimycobacterial agents. Eur. J. Pharm. Sci. 2002, 15, 307–310. [Google Scholar] [CrossRef]
- Indumathi, S.; Perumal, S.; Banerjee, D.; Yogeeswari, P.; Sriram, D. l-Proline-catalysed facile green protocol for the synthesis and antimycobacterial evaluation of (1,4)-thiazines. Eur. J. Med. Chem. 2009, 44, 4978–4984. [Google Scholar] [CrossRef] [PubMed]
- Vennerstrom, J.L.; Makler, M.T.; Angerhofer, C.K.; Williams, J.A. Antimalarial dyes revisited: Xanthenes, azines, oxazines and thiazines. Antimicrob. Agents Chemother. 1995, 39, 2671–2677. [Google Scholar] [CrossRef] [PubMed]
- Ryley, F. The mode of action of proguanil and related antimalarial drugs. Br. J. Pharmacol. Chemother. 1953, 8, 424–430. [Google Scholar]
- Schmidt, L.H.; Loo, T.L.; Fradkin, R.; Hughes, H.B. Antimalarial activities of thiazine metabolites of chloroguanide and dichloroguanide. Proc. Soc. Exp. Biol. Med. 1952, 80, 367–370. [Google Scholar] [CrossRef] [PubMed]
- Davis, R.A.; Duffy, S.; Fletcher, S.; Avery, V.M.; Quinn, R.J. Thiaplakortones A–D: Antimalarial thiazine alkaloids from the Australian marine sponge plakortis lita. J. Org. Chem. 2013, 78, 9608–9613. [Google Scholar] [CrossRef] [PubMed]
- Pouwer, R.H.; Deydier, S.M.; le van, P.; Schwartz, B.D.; Franken, N.C.; Davis, R.A.; Coster, M.J.; Charman, S.A.; Edstein, M.D.; Skinner-Adams, T.S.; et al. Total synthesis of thiaplakortone A: Derivatives as metabolically stable leads for the treatment of malaria. ACS Med. Chem. Lett. 2014, 5, 178–182. [Google Scholar] [CrossRef] [PubMed]
- Schwartz, B.D.; Skinner-Adams, T.S.; Andrews, K.T.; Coster, M.J.; Edstein, M.D.; MacKenzie, D.; Charman, S.A.; Koltun, M.; Blundell, S.; Campbell, A.; et al. Synthesis and antimalarial evaluation of amide and urea derivatives based on the thiaplakortone A natural product scaffold. Org. Biomol. Chem. 2015, 13, 1558–1570. [Google Scholar] [CrossRef] [PubMed]
- Schwartz, B.D.; Coster, M.J.; Skinner-Adams, T.S.; Andrews, K.T.; White, J.M.; Davis, R.A. Synthesis and antiplasmodial evaluation of analogues based on the tricyclic core of thiaplakortones A–D. Mar. Drugs 2015, 13, 5784–5795. [Google Scholar] [CrossRef] [PubMed]
- Vicentini, C.B.; Forlani, G.; Manfrini, M.; Romagnoli, C.; Mares, D. Development of new fungicides against Magnaporthe grisea: Synthesis and biological activity of pyrazolo(3,4-d)(1,3)thiazine, pyrazolo(1,5-c)(1,3,5)thiadiazine, and pyrazolo(3,4-d)pyrimidine derivatives. J. Agric. Food Chem. 2002, 50, 4839–4845. [Google Scholar] [CrossRef] [PubMed]
- Mares, D.; Romagnoli, C.; Andreotti, E.; Forlani, G.; Guccione, S.; Vicentini, C.B. Emerging antifungal azoles and effects on Magnaporthe grisea. Mycol. Res. 2006, 110, 686–696. [Google Scholar] [CrossRef] [PubMed]
- Ambrogi, V.; Grandolini, G.; Perioli, L.; Ricci, M.; Rossi, C.; Tuttobello, L. Synthesis, antibacterial and antifungal activities of several new benzo- naphtho- and quinolino-1,4-thiazine and 1,5-thiazepine derivatives. Eur. J. Med. Chem. 1990, 25, 403–411. [Google Scholar] [CrossRef]
- Ferreira, M.; Assunção, L.S.; Filippin-Monteiro, F.B.; Creczynski-Pasa, T.B.; Sa, M.M. Synthesis of 1,3-thiazine-2,4-diones with potential anticancer activity. Eur. J. Med. Chem. 2013, 70, 411–418. [Google Scholar] [CrossRef] [PubMed]
- Juszczak, M.; Walczak, K.; Matysiak, J.; Lemieszek, M.K.; Langner, E.; Karpińska, M.M.; Pożarowski, P.; Niewiadomy, A.; Rzeski, W. New derivative of 2-(2,4-dihydroxyphenyl)thieno-1,3-thiazin-4-one (BChTT) elicits antiproliferative effect via p38-mediated cell cycle arrest in cancer cells. Bioorg. Med. Chem. 2016, 24, 1356–1361. [Google Scholar] [CrossRef] [PubMed]
- Jeleń, M.; Pluta, K.; Zimecki, M.; Morak-Młodawska, B.; Artym, J.; Kocięba, M. 6-Substituted 9-Fluoroquino(3,2-b)Benzo(1,4)Thiazines Display Strong Antiproliferative and Antitumor Properties. Eur. J. Med. Chem. 2015, 89, 411–420. [Google Scholar] [CrossRef] [PubMed]
- Ha, S.K.; Koketsu, M.; Lee, M.; Moon, E.; Kim, S.H.; Yoon, T.J.; Kim, S.Y. Inhibitory effects of 1,3-thiazine derivatives on melanogenesis. J. Pharm Pharmacol 2009, 61, 1657–1663. [Google Scholar] [CrossRef] [PubMed]
- Hemming, K.; Patel, N. The synthesis of pyrrolo(1,2-b)(1,2,5)benzothiadiazepines from 1,2-thiazine 1-oxides—Sulfonamide analogues of the pyrrolobenzodiazepine antitumour natural products. Tetrahedron Lett. 2004, 45, 7553–7556. [Google Scholar] [CrossRef]
- Loukou, C.; Patel, N.; Foucher, V.; Hemming, K. The synthesis of 1,2,5-benzothiadiazepine 1,1-dioxides from 1,2-thiazine 1-oxides. J. Sulfur Chem. 2005, 26, 455–479. [Google Scholar] [CrossRef]
- Szakonyi, Z.; Zupk, I.; Zupkó, I.; Sillanpää, R.; Fülöp, F. Stereoselective synthesis and Cytoselective toxicity of Monoterpene-fused 2-Imino-1,3-Thiazines. Molecules 2014, 19, 15918–15937. [Google Scholar] [CrossRef] [PubMed]
- Aman, F.; Hanif, M.; Siddiqui, W.A.; Ashraf, A.; Filak, L.K.; Reynisson, J.; Söhnel, T.; Jamieson, S.M.F.; Hartinger, C.G. Anticancer Ruthenium(n6-p-cymene) complexes of nonsteroidal anti-inflammatory drug derivatives. Organometallics 2014, 33, 5546–5553. [Google Scholar] [CrossRef]
- Pearce, A.N.; Chia, E.W.; Berridge, M.V.; Clark, G.R.; Harper, J.L.; Larsen, L.; Maas, E.W.; Page, M.J.; Perry, N.B.; Webb, V.L.; et al. Anti-inflammatory thiazine alkaloids isolated from the New Zealand ascidian Aplidium sp.: Inhibitors of the neutrophil respiratory burst in a model of gouty arthritis. J. Nat. Prod. 2007, 70, 936–940. [Google Scholar] [CrossRef] [PubMed]
- Chia, E.W.; Pearce, A.N.; Berridge, M.V.; Larsen, L.; Perry, N.B.; Sansom, C.E.; Godfrey, C.A.; Hanton, L.R.; Lu, G.L.; Walton, M.; et al. Synthesis and anti-inflammatory structure-activity relationships of thiazine-quinoline-quinones: Inhibitors of the neutrophil respiratory burst in a model of acute gouty arthritis. Bioorg. Med. Chem. 2008, 16, 9432–9442. [Google Scholar] [CrossRef] [PubMed]
- Kai, H.; Morioka, Y.; Murashi, T.; Morita, K.; Shinonome, S.; Nakazato, H.; Kawamoto, K.; Hanasaki, K.; Takahashi, F.; Mihara, S.; et al. 2-Arylimino-5,6-dihydro-4H-1,3-thiazines as a new class of cannabinoid receptor agonists. Part 1: Discovery of CB2 receptor selective compounds. Bioorg. Med. Chem. Lett. 2007, 17, 4030–4034. [Google Scholar] [CrossRef] [PubMed]
- Kai, H.; Morioka, Y.; Tomida, M.; Takahashi, T.; Hattori, M.; Hanasaki, K.; Koike, K.; Chiba, H.; Shinohara, S.; Kanemasa, T.; et al. 2-Arylimino-5,6-dihydro-4H-1,3-thiazines as a new class of cannabinoid receptor agonists. Part 2: Orally bioavailable compounds. Bioorg. Med. Chem. Lett. 2007, 17, 3925–3929. [Google Scholar] [CrossRef] [PubMed]
- Kai, H.; Morioka, Y.; Koriyama, Y.; Okamoto, K.; Hasegawa, Y.; Hattori, M.; Koike, K.; Chiba, H.; Shinohara, S.; Iwamoto, Y.; et al. 2-Arylimino-5,6-dihydro-4H-1,3-thiazines as a new class of cannabinoid receptor agonists. Part 3: Synthesis and activity of isosteric analogs. Bioorg. Med. Chem. Lett. 2008, 18, 6444–6447. [Google Scholar] [CrossRef] [PubMed]
- Grandolini, G.; Ambrogi, V.; Perioli, L.; DEramo, D.; Bernardini, C.; Giampietri, A. Studies on annelated 1,4-benzothiazines and 1,5-benzothiazepines. XI. Synthesis and biological activity of several naphtho- and quinolino-1,4-thiazine and -1,4-thiazepine derivatives containing the imidazole ring. Farmaco 1997, 52, 379–384. [Google Scholar] [PubMed]
- Volovenko, J.; Volovnenko, T.; Popov, K. Novel benzo(e)(1,2)thiazine derivatives, synthesis and reactions. Tetrahedron Lett. 2009, 50, 1171–1172. [Google Scholar] [CrossRef]
- Popov, K.; Volovnenko, T.; Volovenko, J. On the functionalization of benzo(e)(2,1)thiazine. Beilstein J. Org. Chem. 2009, 5. [Google Scholar] [CrossRef] [PubMed]
- Xu, S.; Hermanson, D.J.; Banerjee, S.; Ghebreselasie, K.; Clayton, G.M.; Garavito, R.M.; Marnett, L.J. Oxicams bind in a novel mode to the cyclooxygenase active site via a two-water-mediated H-bonding network. J. Biol. Chem. 2014, 289, 6799–6808. [Google Scholar] [CrossRef] [PubMed]
- Xu, S.; Rouzer, C.A.; Marnett, L.J. Oxicams, a class of nonsteroidal anti-inflammatory drugs and beyond. IUBMB Life 2014, 66, 803–811. [Google Scholar] [CrossRef] [PubMed]
- Ferrari, G.V.; Natera, J.; Paulina Montaña, M.; Muñoz, V.; Gutiérrez, E.L.; Massad, W.; Miskoski, S.; García, N.A. Scavenging of photogenerated ROS by Oxicams. Possible biological and environmental implications. J. Photochem. Photobiol. B Biol. 2015, 153, 233–239. [Google Scholar] [CrossRef] [PubMed]
- Van Antwerpen, P.; Nève, J. In vitro comparative assessment of the scavenging activity against three reactive oxygen species of non-steroidal anti-inflammatory drugs from the oxicam and sulfoanilide families. Eur. J. Pharmacol. 2004, 496, 55–61. [Google Scholar] [CrossRef] [PubMed]
- Tsopelas, F.; Ochsenkühn-Petropoulou, M.; Zikos, N.; Spyropoulou, E.; Andreadou, I.; Tsantili-Kakoulidou, A. Electrochemical study of some non-steroidal anti-inflammatory drugs: Solvent effect and antioxidant activity. J. Solid State Electrochem. 2010, 15, 1099–1108. [Google Scholar] [CrossRef]
- Ghaempanah, A.; Darvishpour, M.; Fekri, M.H. Electrochemical Calculations of Some Non-Steroidal Anti-Inflammatory Drugs: Solvent Effect and Antioxidant Activity. Int. J. Electrochem. Sci. 2012, 7, 6127–6133. [Google Scholar]
- Eleftheriou, P.; Geronikaki, A.; Hadjipavlou-Litina, D.; Vicini, P.; Filz, O.; Filimonov, D.; Poroikov, V.; Chaudhaery, S.S.; Roy, K.K.; Saxena, A.K. Fragment-based design, docking, synthesis, biological evaluation and structure-activity relationships of 2-benzo/benzisothiazolimino-5-aryliden-4-thiazolidinones as cycloxygenase/lipoxygenase inhibitors. Eur. J. Med. Chem. 2012, 47, 111–124. [Google Scholar] [CrossRef] [PubMed]
- Galanski, M.E.; Erker, T.; Studenik, C.R.; Kamyar, M.; Rawnduzi, P.; Pabstova, M.; Lemmens-Gruber, R. Synthesis and pharmacological profile of non-peptide vasopressin antagonists. Eur. J. Pharm. Sci. 2005, 24, 421–431. [Google Scholar] [CrossRef] [PubMed]
- Galanski, M.E.; Erker, T.; Handler, N.; Lemmens-Gruber, R.; Kamyar, M.; Studenik, C.R. Studies on the chemistry of thienoanellated O,N- and S,N-containing heterocycles. Part 30: Synthesis and pharmacological properties of thieno(2,3-b)(1,4)thiazines with potential vasopressin receptor antagonistic activity. Bioorg. Med. Chem. 2006, 14, 826–836. [Google Scholar] [CrossRef] [PubMed]
- Yabe-Nishimura, C. Aldose Reductase in Glucose Toxicity: A Potential Target for the Prevention of Diabetic Complications. Pharmacol. Rev. 1998, 50, 21–34. [Google Scholar] [PubMed]
- Tang, W.H.; Martin, K.A.; Hwa, J. Aldose reductase, oxidative stress, and diabetic mellitus. Front. Pharmacol. 2012, 3. [Google Scholar] [CrossRef] [PubMed]
- Zentgraf, M.; Steuber, H.; Koch, C.; la Motta, C.; Sartini, S.; Sotriffer, C.A.; Klebe, G. How reliable are current docking approaches for structure-based drug design? Lessons from aldose reductase. Angew. Chem. Int. Ed. 2007, 46, 3575–3578. [Google Scholar] [CrossRef] [PubMed]
- Saraswat, M.; Muthenna, P.; Suryanarayana, P.; Petrash, J.M.; Reddy, G.B. Dietary sources of aldose reductase inhibitors: prospects for alleviating diabetic complications. Asia Pac. J. Clin. Nutr. 2008, 17, 558–565. [Google Scholar] [PubMed]
- Chen, X.; Zhang, S.; Yang, Y.; Hussain, S.; He, M.; Gui, D.; Ma, B.; Jing, C.; Qiao, Z.; Zhu, C.; et al. 1,2-Benzothiazine 1,1-dioxide carboxylate derivatives as novel potent inhibitors of aldose reductase. Bioorg. Med. Chem. 2011, 19, 7262–7269. [Google Scholar] [CrossRef] [PubMed]
- Chen, X.; Zhu, C.; Guo, F.; Qiu, X.; Yang, Y.; Zhang, S.; He, M.; Parveen, S.; Jing, C.; Li, Y.; et al. Acetic Acid Derivatives of 3,4-Dihydro-2H-1,2,4-benzothiadiazine 1,1-Dioxide as a Novel Class of Potent Aldose Reductase Inhibitors. J. Med. Chem. 2010, 53, 8330–8344. [Google Scholar] [CrossRef] [PubMed]
- Winneroski, L.L.; Schiffler, M.A.; Erickson, J.A.; May, P.C.; Monk, S.A.; Timm, D.E.; Audia, J.E.; Beck, J.P.; Boggs, L.N.; Borders, A.R.; et al. Preparation and biological evaluation of conformationally constrained BACE1 inhibitors. Bioorg. Med. Chem. 2015, 23, 3260–3268. [Google Scholar] [CrossRef] [PubMed]
- Blokhina, S.V.; Volkova, T.V.; Ol’Khovich, M.V.; Sharapova, A.V.; Proshin, A.N.; Bachurin, S.O.; Perlovich, G.L. Synthesis, biological activity, distribution and membrane permeability of novel spiro-thiazines as potent neuroprotectors. Eur. J. Med. Chem. 2014, 77, 8–17. [Google Scholar] [CrossRef] [PubMed]
- Menna, M.; Imperatore, C.; D’Aniello, F.; Aiello, A. Meroterpenes from marine invertebrates: Structures, occurrence, and ecological implications. Mar. Drugs 2013, 11, 1602–1643. [Google Scholar] [CrossRef] [PubMed]
- Kniewallner, K.M.; Wenzel, D.; Humpel, C. Thiazine Red+ platelet inclusions in Cerebral Blood Vessels are first signs in an Alzheimer′s Disease mouse model. Sci. Rep. 2016, 6. [Google Scholar] [CrossRef] [PubMed]





















© 2016 by the authors. Licensee MDPI, Basel, Switzerland. This article is an open access article distributed under the terms and conditions of the Creative Commons Attribution (CC-BY) license ( http://creativecommons.org/licenses/by/4.0/).
Share and Cite
Badshah, S.L.; Naeem, A. Bioactive Thiazine and Benzothiazine Derivatives: Green Synthesis Methods and Their Medicinal Importance. Molecules 2016, 21, 1054. https://doi.org/10.3390/molecules21081054
Badshah SL, Naeem A. Bioactive Thiazine and Benzothiazine Derivatives: Green Synthesis Methods and Their Medicinal Importance. Molecules. 2016; 21(8):1054. https://doi.org/10.3390/molecules21081054
Chicago/Turabian StyleBadshah, Syed Lal, and Abdul Naeem. 2016. "Bioactive Thiazine and Benzothiazine Derivatives: Green Synthesis Methods and Their Medicinal Importance" Molecules 21, no. 8: 1054. https://doi.org/10.3390/molecules21081054
APA StyleBadshah, S. L., & Naeem, A. (2016). Bioactive Thiazine and Benzothiazine Derivatives: Green Synthesis Methods and Their Medicinal Importance. Molecules, 21(8), 1054. https://doi.org/10.3390/molecules21081054

