A New Method for the Isolation of Ergosterol and Peroxyergosterol as Active Compounds of Hygrophoropsis aurantiaca and in Vitro Antiproliferative Activity of Isolated Ergosterol Peroxide
Abstract
:1. Introduction
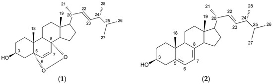
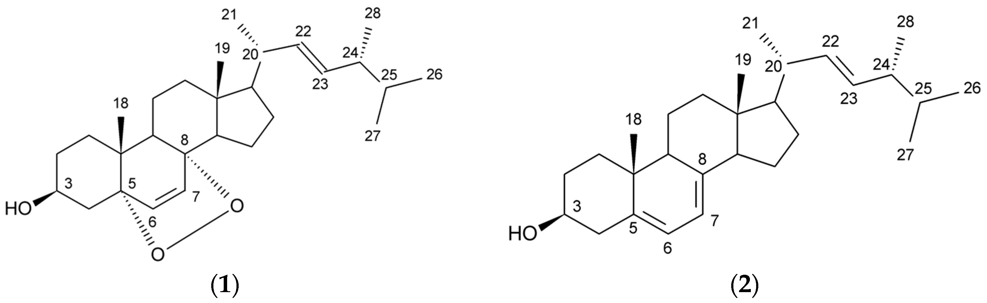
2. Results and Discussion
3. Experimental Section
3.1. Reagents and Materials
3.2. Apparatus
3.3. Preparative Thin-Layer Chromatography
3.4. Preparative Column Chromatography
3.5. Examination of Ergosterol Peroxide Antiproliferative Activity
3.6. Assessment of Ergosterol Peroxide Cytotoxicity
3.7. Statistical Analysis
4. Conclusions
Supplementary Materials
Author Contributions
Conflicts of Interest
References
- Fan, L.H.; Pan, A.T.; Soccol, A.P.; Soccol, C.R. Advances in mushroom research in the last decade. Food Technol. Biotechnol. 2006, 44, 303–311. [Google Scholar]
- Vaz, J.A.; Barros, L.; Martins, A.; Santos-Buelga, C.; Vasconcelos, M.H.; Ferreira, I.C.F.R. Chemical composition of wild edible mushrooms and antioxidant properties of their water soluble polysaccharidic and ethanolic fractions. Food Chem. 2011, 126, 610–616. [Google Scholar] [CrossRef]
- Wasser, S.P. Medicinal mushrooms as a source of anti-tumor and immunomodulating polysaccharides. Appl. Microbiol. Biotechnol. 2002, 60, 258–274. [Google Scholar] [PubMed]
- Reshetnikov, S.V.; Wasser, S.P.; Tan, K.K. Higher Basidiomycota as a source of antitumor and immunostimulating polysaccharides. Int. J. Med. Mushrooms 2001, 3, 361–394. [Google Scholar] [CrossRef]
- Smith, J.E.; Sullivan, R.; Rowan, N.J. The Role of Polysaccharides Derived from Medicinal Mushrooms in Cancer Treatment Programs: Current Perspectives (Review). Int. J. Med. Mushrooms 2003, 5, 217–230. [Google Scholar] [CrossRef]
- Kalac, P. A review of chemical composition and nutritional value of wild-growing and cultivated mushrooms. J. Sci. Food Agric. 2013, 93, 209–218. [Google Scholar] [CrossRef] [PubMed]
- Konuk, M.; Afyon, A.; Yagiz, D. Chemical composition of some naturally growing and edible mushrooms. Pak. J. Bot. 2006, 38, 799–804. [Google Scholar]
- Wojewoda, W. Checklist of Polish larger Basidiomycetes. In Biodiversity of Poland, 1st ed.; Mirek, Z., Ed.; Instytut Botaniki im. W. Szafera, Polska Akademia Nauk: Krakow, Poland, 2003; Volume 7. [Google Scholar]
- Heleno, S.A.; Barros, L.; Sousa, M.J.; Martins, A.; Ferreira, I.C.F.R. Study and characterization of selected nutrients in wild mushrooms from Portugal by gas chromatography and high performance liquid chromatography. Microchem. J. 2009, 93, 195–199. [Google Scholar] [CrossRef]
- Heleno, S.A.; Barros, L.; Sousa, M.J.; Martins, A.; Ferreira, I.C.F.R. Tocopherols composition of Portuguese wild mushrooms with antioxidant capacity. Food Chem. 2010, 119, 1443–1450. [Google Scholar] [CrossRef]
- Nowacka, N.; Nowak, R.; Drozd, M.; Olech, M.; Łoś, R.; Malm, A. Antibacterial, antiradical potential and phenolic compounds of thirty-one Polish mushrooms. PLoS ONE 2015, 10, e0140355. [Google Scholar] [CrossRef] [PubMed]
- Gross, M.D. Vitamin D and Calcium in the Prevention of Prostate and Colon Cancer: New Approaches for the Identification of Needs. J. Nutr. 2005, 135, 326–331. [Google Scholar] [PubMed]
- Krzyczkowski, W.; Malinowska, E.; Suchocki, P.; Kleps, J.; Olejnik, M.; Herold, F. Isolation and quantitative determination of ergosterol peroxide in various edible mushroom species. Food Chem. 2009, 113, 351–355. [Google Scholar] [CrossRef]
- Sqarbi, D.B.; da Silva, A.J.; Carlos, I.Z.; Silva, C.L.; Angluster, J.; Alviano, C.S. Isolation of ergosterol peroxide and its reversion to ergosterol in the pathogenic fungus Sporothrix schenckii. Mycopathologia 1997, 139, 9–14. [Google Scholar]
- Zhu, R.; Zheng, R.; Deng, Y.; Chen, Y.; Zhang, S. Ergosterol peroxide from Cordyceps cicadae ameliorates TGF-β1-induced activation of kidney fibroblasts. Phytomedicine 2014, 21, 372–378. [Google Scholar] [CrossRef] [PubMed]
- Zaidman, B.; Yassin, M.; Mahajna, J.; Wasser, S.P. Medicinal mushroom modulators of molecular targets as cancer therapeutics. Appl. Microbiol. Biotechnol. 2005, 67, 453–468. [Google Scholar] [CrossRef] [PubMed]
- Takei, T.; Yoshida, M.; Ohnishi-Kameyama, M.; Kobori, M. Ergosterol peroxide, an apoptosis inducing component isolated from Sarcodon aspratus (Berk.) S. Ito. Biosci. Biotechnol. Biochem. 2005, 69, 212–215. [Google Scholar] [CrossRef] [PubMed]
- Kobori, M.; Yoshida, M.; Ohnishi-Kameyama, M.; Shinmoto, H. Ergosterol peroxide from an edible mushroom suppresses inflammatory responses in RAW264.7 macrophages and growth of HT29 colon adenocarcinoma cells. Br. J. Pharmacol. 2007, 150, 209–219. [Google Scholar] [CrossRef] [PubMed]
- Kim, S.W.; Park, S.S.; Min, T.J.; Yu, K.H. Antioxidant activity of ergosterol peroxide (5,8-epidioxy-5a,8a-ergosta-6,22E-dien-3b-ol) in Armillariella mellea. Bull. Korean Chem. Soc. 1999, 20, 819–823. [Google Scholar]
- Russo, A.; Cardile, V.; Piovano, M.; Caggia, S.; Espinoza, C.L.; Garbarino, J.A. Pro-apoptotic activity of ergosterol peroxide and (22E)-ergosta-7,22-dien-5alpha-hydroxy-3,6-dione in human prostate cancer cells. Chem. Biol. Interact. 2010, 184, 352–358. [Google Scholar] [CrossRef] [PubMed]
- Gao, J.M.; Wang, M.; Liu, L.P.; Wei, G.H.; Zhang, A.L.; Draghici, C.; Konishi, Y. Ergosterol peroxides as phospholipase A(2) inhibitors from the fungus Lactarius hatsudake. Phytomedicine 2007, 14, 821–824. [Google Scholar] [CrossRef] [PubMed]
- Cateni, F.; Doljak, B.; Zacchigna, M.; Anderluh, M.; Piltaver, A.; Scialino, G.; Banfi, E. New biologically active epidioxysterols from Stereum hirsutum. Bioorg. Med. Chem. Lett. 2007, 17, 6330–6334. [Google Scholar] [CrossRef] [PubMed]
- Yusho, S.; Yutaka, T.; Minoru, T. Chemical Constituents of Inonotus obliquus IV. Triterpene and Steroids from Cultured Mycelia. Eurasian J. For. Res. 2001, 2, 27–30. [Google Scholar]
- Headley, J.V.; Peru, K.M.; Verma, B.; Robarts, R.D. Mass spectrometric determination of ergosterol in a prairie natural wetland. J. Chromatogr. A 2002, 958, 149–156. [Google Scholar] [CrossRef]
- Yuan, J.P.; Wang, J.H.; Liu, X. Distribution of free and esterified ergosterols in the medicinal fungus Ganoderma lucidum. Appl. Microbiol. Biotechnol. 2007, 77, 159–165. [Google Scholar] [CrossRef] [PubMed]
- Simándi, A.; Kristo, S.T.; Kéry, Á.; Selmeczi, L.K.; Kmecz, I.; Kemény, S. Supercritical fluid extraction of dendelion leaves. J. Supercrit. Fluid 2002, 23, 135–142. [Google Scholar] [CrossRef]
- Young, J.C.; Games, D.E. Supercritical fluid extraction and supercritical fluid chromatography of the fungal metabolite ergosterol. J. Agric. Food Chem. 1993, 41, 577–581. [Google Scholar] [CrossRef]
- Young, J.C. Microwave-assisted extraction of the fungal metabolite ergosterol and total fatty acids. J. Agric. Food Chem. 1995, 43, 2904–2910. [Google Scholar] [CrossRef]
- Schinor, E.C.; Salvador, M.J.; Turatti, I.C.C.; Zucchi, O.L.A.D.; Dias, D.A. Comparison of classical and ultrasound-assisted extractions of steroids and triterpenoids from three Chresta spp. Ultrason. Sonochem. 2004, 11, 415–421. [Google Scholar] [CrossRef] [PubMed]
- Abd Malek, S.N.; Kanagasabapathy, G.; Sabaratnam, V.; Abdullah, N.; Yaacob, H. Lipid Components of a Malaysian Edible Mushroom Termitomyces heimii Natarajan. Int. J. Food Prop. 2012, 15, 809–814. [Google Scholar] [CrossRef]
- Ha, D.T.; Loan, L.T.; Hung, T.M.; Han, L.V.N.; Khoi, N.M.; Dung, L.V.; Min, B.S.; Nguyen, N.P.D. An improved HPLC-DAD method for quantitative comparisons of triterpenoids in Ganoderma lucidum and its related species originating from Vietnam. Molecules 2015, 20, 1059–1077. [Google Scholar] [CrossRef] [PubMed]
- Gołembiewska, E.; Skalicka-Woźniak, K.; Głowniak, K. Methods for the isolation and identification of triterpenes and sterols in medicinal plants. Curr. Issues Pharm. Med. Sci. 2013, 26, 26–32. [Google Scholar]
- Olech, M.; Nowak, R. Influence of different extraction procedures on the antiradical activity and phenolic profile of Rosa rugosa petals. Acta Pol. Pharm. 2012, 69, 501–507. [Google Scholar] [PubMed]
- Lemieszek, M.K.; Cardoso, C.; Nunes, F.H.F.M.; Barros, A.I.R.N.A.; Marques, G.; Pożarowski, P.; Rzeski, W. Boletus edulis biological active biopolymers induce cell cycle arrest in human colon adenocarcinoma cells. Food Funct. 2013, 4, 575–585. [Google Scholar] [CrossRef] [PubMed]
- Litchfield, J.T.; Wilcoxon, F.A. A simplified method of evaluating dose-effect experiments. J. Pharmacol. Exp. Ther. 1949, 96, 99–113. [Google Scholar] [PubMed]
- Sample Availability: Samples of the compounds 1 and 2 are available from the authors.




| 1H | 13C | HMBC (1H → 13C) | |
|---|---|---|---|
| 1 | 1.73, dd, J = 13.8, 3.4 | 34.7 | C-2, C-3, C-5, C-6, C-10, C-19 |
| 2 | - | 30.1 | |
| 3 | 3.98, m | 66.5 | |
| 4 | - | 37.0 | |
| 5 | - | 82.2 | |
| 6 | 6.25, d, J = 8.5 | 135.4 | C-5, C-8, C-10 |
| 7 | 6.52, d, J = 8.6 | 130.8 | C-5, C-8, C-9, C-14 |
| 8 | - | 79.4 | |
| 9 | - | 51.1 | C-7, C-8 |
| 10 | - | 36.9 | |
| 11 | 1.23, m; 1.55, m | 20.6 | |
| 12 | 1.27, m; 1.98, m | 39.4 | |
| 13 | - | 44.6 | |
| 14 | 1.59, m | 51.7 | C-6, C-7, C-8, C-9, C-13 |
| 15 | 1.42, m; 1.66, m | 23.4 | |
| 16 | 1.33, m; 1.81, m | 28.7 | C-13, C-14, C-18; C-18 |
| 17 | 1.25, m | 56.2 | C-12, C-16 |
| 18 | 0.83, s | 12.9 | C-13, C-14, C-17 |
| 19 | 0.89, s | 18.2 | C-1, C-5, C-9, C-10 |
| 20 | 2.05, m | 39.7 | |
| 21 | 1.00, d, J = 6.7 | 20.9 | C-17, C-20, C-22 |
| 22 | 5.16, dd, J = 7.5, 15.3 | 135.2 | C-17, C-21, C-23, C-24 |
| 23 | 5.14, dd, J = 8.0, 15.3 | 132.3 | C-20, C-22, C-24, C-28 |
| 24 | 1.86, m | 42.8 | C-22, C-23, C-25, C-26, C-27, C-28 |
| 25 | 1.6, m | 33.1 | C-24, C-26, C-27 |
| 26 | 0.82, d, J = 6.8 | 19.6 | C-24, C-25, C-27 |
| 27 | 0.83, d, J = 6.6 | 20.0 | C-24, C-25, C-26 |
| 28 | 0.91, d, J = 6.8 | 17.6 | C-24, C-24, C-25 |
| TLC Band | The Color under UV Light at 365 nm/degree of Discoloration W1 | Fraction | Rf Range |
|---|---|---|---|
| 1 | White-purple/discoloration | 1 | 0 |
| 2 | No color/no discoloration | 1/2 | 0.1–0.25 |
| 3 | Purple/strong discoloration | 2 | 0.25–0.3 |
| 4 | Yellow/cloudy discoloration | 2/3 | 0.35–0.45 |
| 5 | Yellow/cloudy discoloration | 3 | 0.5–0.6 |
| 6 | No color/discoloration | 4 | 0.6–0.75 |
| 7 | Blue/cloudy discoloration | 5 | 0.76–0.8 |
| 8 | No color/no discoloration | 6 | 0.8–0.9 |
© 2016 by the authors. Licensee MDPI, Basel, Switzerland. This article is an open access article distributed under the terms and conditions of the Creative Commons Attribution (CC-BY) license ( http://creativecommons.org/licenses/by/4.0/).
Share and Cite
Nowak, R.; Drozd, M.; Mendyk, E.; Lemieszek, M.; Krakowiak, O.; Kisiel, W.; Rzeski, W.; Szewczyk, K. A New Method for the Isolation of Ergosterol and Peroxyergosterol as Active Compounds of Hygrophoropsis aurantiaca and in Vitro Antiproliferative Activity of Isolated Ergosterol Peroxide. Molecules 2016, 21, 946. https://doi.org/10.3390/molecules21070946
Nowak R, Drozd M, Mendyk E, Lemieszek M, Krakowiak O, Kisiel W, Rzeski W, Szewczyk K. A New Method for the Isolation of Ergosterol and Peroxyergosterol as Active Compounds of Hygrophoropsis aurantiaca and in Vitro Antiproliferative Activity of Isolated Ergosterol Peroxide. Molecules. 2016; 21(7):946. https://doi.org/10.3390/molecules21070946
Chicago/Turabian StyleNowak, Renata, Marta Drozd, Ewaryst Mendyk, Marta Lemieszek, Olga Krakowiak, Wanda Kisiel, Wojciech Rzeski, and Katarzyna Szewczyk. 2016. "A New Method for the Isolation of Ergosterol and Peroxyergosterol as Active Compounds of Hygrophoropsis aurantiaca and in Vitro Antiproliferative Activity of Isolated Ergosterol Peroxide" Molecules 21, no. 7: 946. https://doi.org/10.3390/molecules21070946
APA StyleNowak, R., Drozd, M., Mendyk, E., Lemieszek, M., Krakowiak, O., Kisiel, W., Rzeski, W., & Szewczyk, K. (2016). A New Method for the Isolation of Ergosterol and Peroxyergosterol as Active Compounds of Hygrophoropsis aurantiaca and in Vitro Antiproliferative Activity of Isolated Ergosterol Peroxide. Molecules, 21(7), 946. https://doi.org/10.3390/molecules21070946

