Tandem Catalysis of an Aldol-‘Click’ Reaction System within a Molecular Hydrogel
Abstract
:1. Introduction
2. Results and Discussion
2.1. Design and Synthesis
2.2. Self-Assembly Studies
2.3. Catalysis
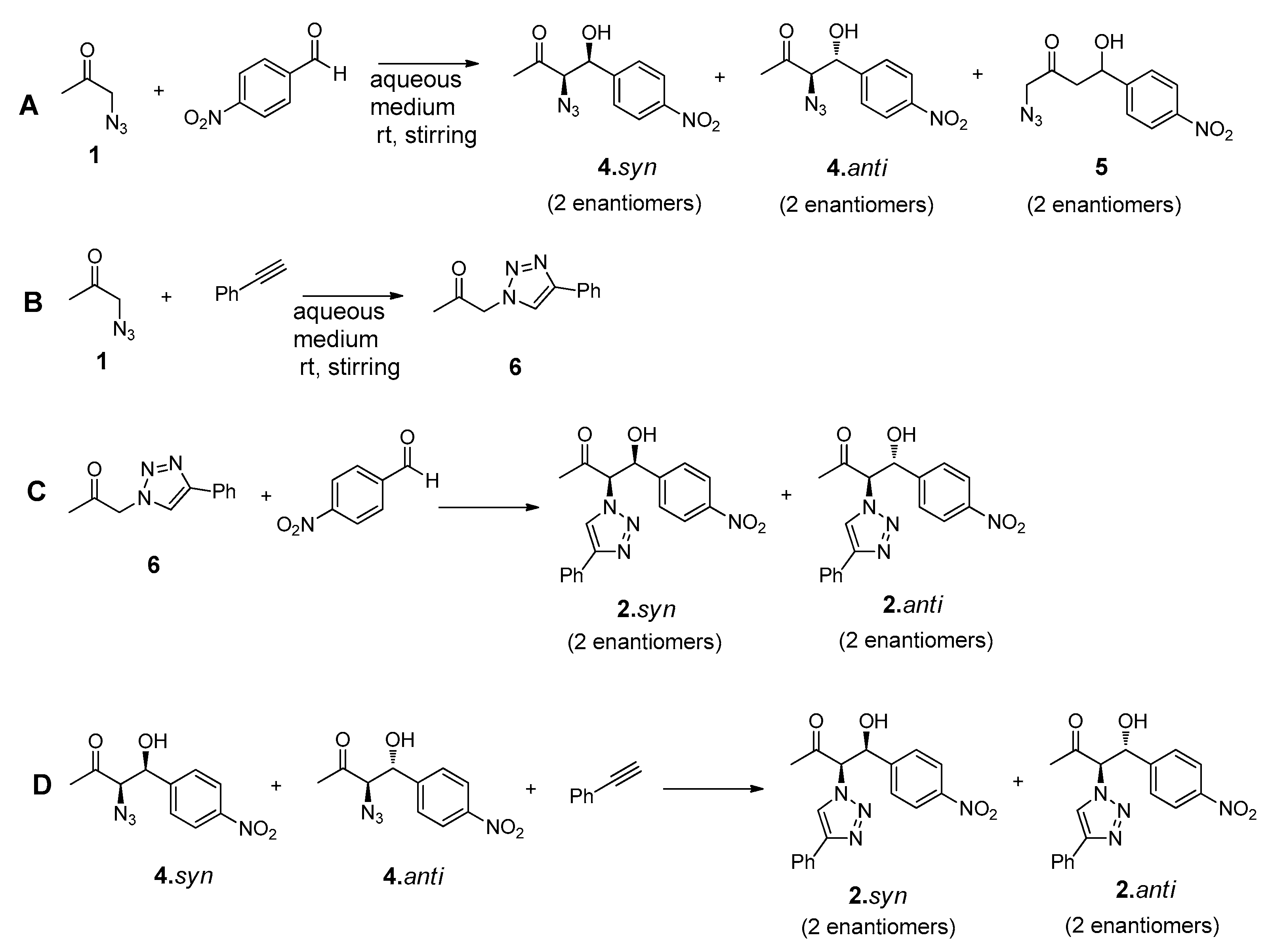
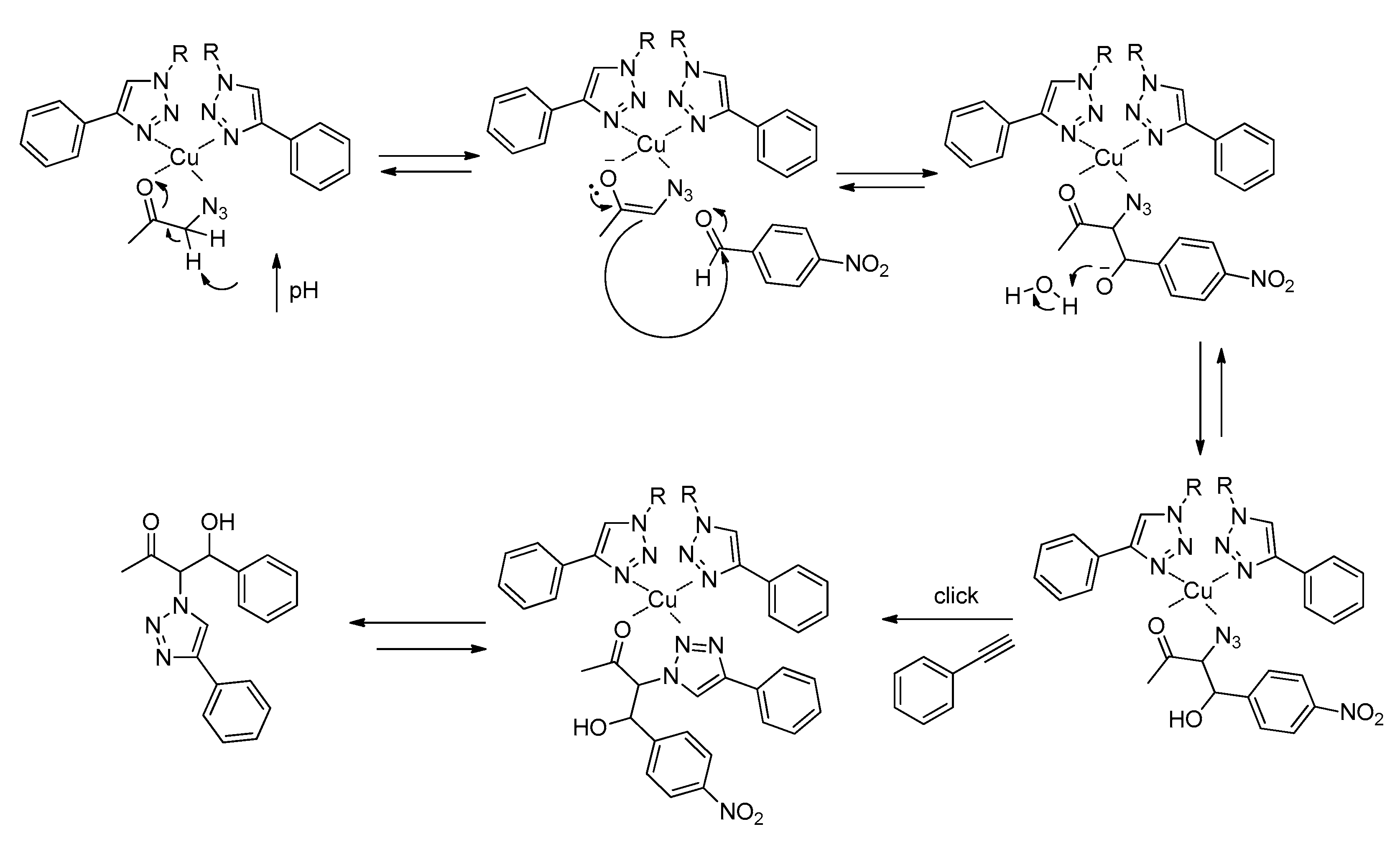
2.3.1. Design of the Tandem Catalytic System
2.3.2. Catalysis of the Tandem ‘Click’-Aldol Reaction System
3. Materials and Methods
3.1. Structural and Morphological Characterization
3.2. Synthesis
3.3. Gelation Procedure
3.4. Quantification of Coordinated Copper
3.5. General Procedure for Catalytic Experiments
4. Conclusions
Supplementary Materials
Acknowledgments
Author Contributions
Conflicts of Interest
Abbreviations
| ICP-MS | Inductively Coupled Plasma-Mass Spectrometry |
| WAXD | Wide-Angle X-Ray Diffraction |
| CD | Circular Dichroism |
| TEM | Transmission Electron Microscopy |
| Eq | Equivalents |
| NMR | Nuclear Magnetic Resonance |
| HPLC | High-Performance Liquid Chromatography |
References
- Ricca, E.; Brucher, B. Multi-enzymatic cascade reactions: Overview and Perspectives. Adv. Synth. Catal. 2011, 353, 2239–2262. [Google Scholar] [CrossRef]
- Clement, M.; Corma, A.; Iborra, S.; Sabater, M. Heterogeneous catalysts for tandem reactions. ACS Catal. 2014, 4, 870–891. [Google Scholar] [CrossRef]
- Liu, J.; Chen, L.; Cui, H.; Zhang, J.; Zhang, L.; Su, C. Applications of metal-organic frameworks in heterogeneous supramolecular catalysis. Chem. Soc. Rev. 2014, 43, 6011–6061. [Google Scholar] [CrossRef] [PubMed]
- Yuan, Z.; Chen, J.; Zeng, Y.; Li, Y.; Han, Y.; Li, Y. Unsurpassed cage effect for photolysis of dibenzyl ketones in water-soluble dendrimers. Org. Biomol. Chem. 2011, 9, 6256–6264. [Google Scholar] [CrossRef] [PubMed]
- Astruc, D.; Boisselier, E.; Ornelas, C. Dendrimers designed for functions: From physical, photophysical, and supramolecular properties to applications in sensing, catalysis, molecular electronics, photonics and nanomedicine. Chem. Rev. 2010, 110, 1857–1959. [Google Scholar] [CrossRef] [PubMed]
- Raynal, M.; Ballester, P.; Vidal-Ferran, A.; van Leeuwen, P. Supramolecular catalysis. Part 1: Non-covalent interactions as a tool for building and modifying homogeneous catalysts. Chem. Soc. Rev. 2014, 43, 1660–1733. [Google Scholar]
- Meeuwissen, J.; Reek, N.H. Supramolecular catalysis beyond enzyme mimics. Nat. Chem. 2010, 2, 615–621. [Google Scholar] [CrossRef] [PubMed]
- Raynal, M.; Ballester, P.; Vidal-Ferran, A.; van Leeuwen, P. Supramolecular catalysis. Part 2: Artificial enzyme mimics. Chem. Soc. Rev. 2014, 43, 1734–1787. [Google Scholar] [CrossRef] [PubMed]
- Yuan, Z.; Zheng, S.; Zeng, Y.; Chen, J.; Han, Y.; Li, Y.; Li, Y. Photosensitized oxidation of alkenes with dendrimers as microreactors: Controllable selectivity between energy and electron transfer pathway. New J. Chem. 2010, 34, 718–722. [Google Scholar] [CrossRef]
- Yuan, Z.; Liang, F. Photoreactions in amphiphilic microreactors with “soft” cavities: Controlling product selectivity in solution. Curr. Org. Chem. 2014, 18, 2016–2036. [Google Scholar] [CrossRef]
- Robert, C.; Thomas, C. Tandem catalysis: A new approach to polymers. Chem. Soc. Rev. 2013, 42, 9392–9402. [Google Scholar] [CrossRef] [PubMed]
- Lohr, T.; Marks, T. Orthogonal tandem catalysis. Nat. Chem. 2015, 7, 477–482. [Google Scholar] [CrossRef] [PubMed]
- Fogg, D.; Santos, E. Tandem catalysis: A taxonomy and illustrative review. Coord. Chem. Rev. 2004, 248, 2365–2379. [Google Scholar] [CrossRef]
- Wasilke, J.; Stephen, J.; Obrey, J.; Baker, T.; Bazan, G. Concurrent tandem catalysis. Chem. Rev. 2005, 105, 1001–1020. [Google Scholar] [CrossRef] [PubMed]
- Ramarchary, D.; Barbas III, C. Towards organo-click chemistry: Development of organocatalytic multicomponent reactions through combinations of aldol, Wittig, Knoevenagel, Michael, Diels-Alder and Huisgen cycloaddition reactions. Chem. Eur. J. 2005, 10, 5323–5331. [Google Scholar] [CrossRef] [PubMed]
- Nelson, S. Catalyzed enantioselective aldol additions of latent enolate equivalents. Tetrahedron Asymmetry 1998, 9, 357–389. [Google Scholar] [CrossRef]
- List, B.; Lerner, R.; Barbas III, C. Proline-catalyzed direct asymmetric aldol reactions. J. Am. Chem. Soc. 2000, 122, 2395–2396. [Google Scholar] [CrossRef]
- Sakthivel, K.; Notz, W.; Bui, T.; Barbas III, C. Amino acid catalyzed direct asymmetric aldol reactions: A bioorganic approach to catalytic asymmetric carbon-carbon bond-forming reactions. J. Am. Chem. Soc. 2001, 123, 5260–5267. [Google Scholar] [CrossRef] [PubMed]
- Rodríguez-Llansola, F.; Escuder, B.; Miravet, J. Switchable performance of an l-proline-derived basic catalyst controlled by supramolecular gelation. JACS 2009, 131, 11478–11484. [Google Scholar] [CrossRef] [PubMed]
- Rodríguez-Llansola, F.; Miravet, J.; Escuder, B. A supramolecular hydrogel as a reusable heterogeneous catalyst for the direct aldol reaction. Chem. Commun. 2009, 7303–7305. [Google Scholar] [CrossRef] [PubMed]
- Wang, X.; Meng, Q.; Perl, N.; Xu, Y.; Leighton, J. Tandem aldol-allylation and aldol-aldol reactions with ketone-derived enolsilanes: Highly diastereoselective single-step synthesis of complex teriary carbinols. J. Am. Chem. Soc. 2005, 127, 12806–12807. [Google Scholar] [CrossRef] [PubMed]
- Arnold, L.; Naasz, R.; Minnaard, A.; Feringa, B. Catalytic enantioselective synthesis of (−)-Prostaglandin E1 methyl ester based on a tandem 1,4-addition-aldol reaction. J. Org. Chem. 2002, 67, 7244–7254. [Google Scholar] [CrossRef] [PubMed]
- Feringa, B.; Pineschi, M.; Arnold, L.; Imbos, R.; de Vries, A. Highly enantioselective catalytic conjugate addition and tandem-conjugate addition-aldol reactions of organizing reagents. Angew. Chem. Int. Ed. Eng. 1997, 36, 2620–2623. [Google Scholar] [CrossRef]
- Bui, T.; Barbas, C. A proline-catalyzed asymmetric Robinson annulation reaction. Tetrahedron Lett. 2000, 41, 6951–6954. [Google Scholar] [CrossRef]
- Vhowdari, N.; Ramachary, D.; Barbas III, C. Organocatalytic asymmetric assembly reactions: One-pot synthesis of functionalized β-amino alcohols from aldehydes, ketones and azidocarboxylates. Org. Lett. 2003, 5, 1685–1688. [Google Scholar] [CrossRef] [PubMed]
- Hou, J.; Liu, X.; Shen, J.; Zhao, G.; Wang, P. The impact of ‘click’ chemistry in medicinal chemistry. Expert Opin. Drug Discov. 2012, 7, 489–501. [Google Scholar] [CrossRef] [PubMed]
- Moses, J.; Moorhouse, A. The growing applications of click chemistry. Chem. Soc. Rev. 2007, 36, 1249–1262. [Google Scholar] [CrossRef] [PubMed]
- Tornoe, C.; Christensen, C.; Meldal, M. Peptidotriazoles on solid phase: [1,2,3]-triazoles by regiospecific copper(I)-catalyzed 1,3-dipolar cycloadditions of terminal alkynes to azides. J. Org. Chem. 2002, 67, 3057–3064. [Google Scholar] [CrossRef] [PubMed]
- Rostovtsev, V.; Green, L.; Fokin, V.; Sharpless, B. A stepwise Huisgen cycloaddition process: Copper(I)-catalyzed regioselective “ligation” of azides and terminal alkynes. Angew. Chem. Int. Ed. 2002, 41, 2596–2599. [Google Scholar] [CrossRef]
- Araújo, M.; Díaz-Oltra, S.; Escuder, B. Triazolyl-based molecular gels as ligands for autocatalytic ‘click’ reactions. Chem. Eur. J. 2016. [Google Scholar] [CrossRef] [PubMed]
- Odlo, K.; Hoydahl, E.; Hansen, T. One-pot synthesis of 1,4-disubstituted 1,2,3-triazoles from terminal acetylenes and in situ generated azides. Tetrahedron Lett. 2007, 48, 2097–2099. [Google Scholar] [CrossRef]
- Appukkuttan, P.; Dehaen, W.; Fokin, V.; der Eycken, E. A microwave-assisted click chemistry synthesis of 1,4-disubstituted 1,2,3-triazoles via a copper(I)-catalyzed three-component reaction. Org. Lett. 2004, 6, 4223–4225. [Google Scholar] [CrossRef] [PubMed]
- Campbell-Verduyn, L.; Szymanski, W.; Postema, C.; Dierckx, R.; Elsinga, P.; Janssen, D.; Feringa, B. One pot ‘click’ reactions: Tandem enantioselective biocatalytic epoxide ring opening and [3+2] azide alkyne cycloaddition. Chem. Commun. 2010, 46, 898–900. [Google Scholar] [CrossRef] [PubMed]
- Binder, W.; Sachsenhofer, R. ‘Click’ Chemistry in polymer and material science: An update. Macromol. Rapid Commun. 2008, 29, 952–981. [Google Scholar] [CrossRef]
- Mlynarski, J.; Paadowska, J. Catalytic asymmetric aldol reactions in aqueous media. Chem. Soc. Rev. 2008, 37, 1502–1511. [Google Scholar] [CrossRef] [PubMed]
- Becerril, J.; Bolte, M.; Burguete, M.; Galindo, F.; Garcia-España, E.; Luis, S.; Miravet, J. Efficient macrocyclization of u-turn preorganized peptidomimetics: The role of intramolecular H-bond and solvophobic effects. J. Am. Chem. Soc. 2003, 125, 6677–6686. [Google Scholar] [CrossRef] [PubMed]
- Jin, Q.; Zhang, L.; Cao, H.; Wang, T.; Zhu, X.; Jiang, J.; Liu, M. Self-assembly of copper(II) ion-mediated nanotube and its supramolecular chiral catalytic behavior. Langmuir 2011, 27, 13847–13853. [Google Scholar] [CrossRef] [PubMed]
- He, Y.; Bian, Z.; Kang, C.; Cheng, Y.; Gao, L. Chiral binaphthylbisbipyridine-based copper(I) coordination polymer gels as supramolecular catalysts. Chem. Commun. 2010, 46, 3532–3534. [Google Scholar] [CrossRef] [PubMed]
- Bunzen, J.; Bruhn, T.; Bringmann, G.; Lützen, A. Synthesis and helicate formation of a new family of BINOL-based bis(bipyridine) ligands. J. Am. Chem. Soc. 2009, 131, 3621–3630. [Google Scholar] [CrossRef] [PubMed]
- Lam, S.; Yam, V. Synthesis, characterisation and photophysical study of alkynylrhenium(I) tricarbonyl diamine complexes and their metal-ion coordination-assisted metallogelation properties. Chem. Eur. J. 2010, 16, 11588–11593. [Google Scholar] [CrossRef] [PubMed]
- Shen, J.; Mao, G.; Zhou, Y.; Jiang, Y.; Zhang, H. A ligand-chirality controlled supramolecular hydrogel. Dalton Trans. 2010, 39, 7054–7058. [Google Scholar] [CrossRef] [PubMed][Green Version]
- Joshi, S.; Kulkarni, N. A new trinuclear Cu(II) complex of inositol as a hydrogelator. Chem. Commun. 2009, 17, 2341–2343. [Google Scholar] [CrossRef] [PubMed]
- Chan, T.; Hilgraf, R.; Sharpless, B.; Fokin, V. Polytriazoles as copper(I)-stabilizing ligands in catalysis. Org. Lett. 2004, 6, 2853–2855. [Google Scholar] [CrossRef] [PubMed]
- Díez-González, S. Well-defined copper(I) complexes for Click azide-alkyne cycloaddition reactions: One Click beyond. Catal. Sci. Technol. 2011, 1, 166–178. [Google Scholar] [CrossRef]
- Yu, G.; Yan, X.; Chengyou, H.; Huang, F. Characterization of supramolecular gels. Chem. Soc. Rev. 2013, 42, 6697–6722. [Google Scholar] [CrossRef] [PubMed]
- Martinez-Castañeda, A.; Kedziora, K.; Lavandera, I.; Rodríguez-Solla, H.; Concellón, C.; del Amo, V. Highly enantioselective synthesis of α-azido-β-hydroxy methyl ketones catalyzed by a cooperative proline-guanidinium salt system. Chem. Commun. 2014, 50, 2598–2600. [Google Scholar] [CrossRef] [PubMed]
- Schulze, B.; Schubert, U. Beyond click chemistry—Supramolecular interactions of 1,2,3-triazoles. Chem. Soc. Rev. 2014, 43, 2522–2571. [Google Scholar] [CrossRef] [PubMed]
- Machajewski, T.; Wong, C. The catalytic asymmetric aldol reaction. Angew. Chem. Int. Ed. 2000, 39, 1352–1374. [Google Scholar] [CrossRef]
- Fessner, W.; Schneider, A.; Held, H.; Sinerius, G.; Walter, C.; Hixon, M.; Schloss, J. The mechanism of class II, metal-dependent aldolases. Angew. Chem. Int. Ed. Eng. 1996, 35, 2219–2221. [Google Scholar] [CrossRef]
- Rodríguez-Llansola, F.; Escuder, B.; Miravet, J. Remarkable increase in basicity associated with supramolecular gelation. Org. Biomol. Chem. 2009, 7, 3091–3094. [Google Scholar] [CrossRef]
- Zhang, X.; Liu, X.; Philips, D.L.; Zhao, C. Mechanistic insights into the factors that influence the DNA nuclease activity of mononuclear facial copper complexes containing hetero-substituted cyclens. ACS Catal. 2016, 6, 248–257. [Google Scholar] [CrossRef]
- Sample Availability: Samples of the compounds PhTzVal3, 1, 4 and 6 are available from the authors.










| Entry | Catalyst (10 mol %) | 4.syn (%) | 2.syn (%) | 6 (%) 2 |
|---|---|---|---|---|
| 1 | Cu(I)-PhTzVal3 | <5 | 33 | 97 |
| 2 | PhTzVal3 | 0 | 0 | 0 |
| 3 | CuBr | 0 | 0 | 96 |
| 4 | - | 0 | 0 | 0 |
| Entry | Reaction Time | Reactants Proportion (p-Nitrobenzaldehyde:1:Phenylacetylene) | 4.syn (%) | 2.syn (%) | 6 (%) 2 |
|---|---|---|---|---|---|
| 1 | 8 h | 1:10:10 | <5 | 20 | 13 |
| 2 | 1 day | 1:10:10 | <5 | 26 | 19 |
| 3 | 2 days | 1:10:10 | <5 | 61 | 95 |
| 4 | 3 days | 1:10:10 | <5 | 31 | 97 |
| 5 | 4 days | 1:10:10 | <5 | 33 | 97 |
| 6 | 4 days | 1:20:10 | 55 | 35 | 97 |
© 2016 by the authors. Licensee MDPI, Basel, Switzerland. This article is an open access article distributed under the terms and conditions of the Creative Commons Attribution (CC-BY) license ( http://creativecommons.org/licenses/by/4.0/).
Share and Cite
Araújo, M.; Muñoz Capdevila, I.; Díaz-Oltra, S.; Escuder, B. Tandem Catalysis of an Aldol-‘Click’ Reaction System within a Molecular Hydrogel. Molecules 2016, 21, 744. https://doi.org/10.3390/molecules21060744
Araújo M, Muñoz Capdevila I, Díaz-Oltra S, Escuder B. Tandem Catalysis of an Aldol-‘Click’ Reaction System within a Molecular Hydrogel. Molecules. 2016; 21(6):744. https://doi.org/10.3390/molecules21060744
Chicago/Turabian StyleAraújo, Marco, Iván Muñoz Capdevila, Santiago Díaz-Oltra, and Beatriu Escuder. 2016. "Tandem Catalysis of an Aldol-‘Click’ Reaction System within a Molecular Hydrogel" Molecules 21, no. 6: 744. https://doi.org/10.3390/molecules21060744
APA StyleAraújo, M., Muñoz Capdevila, I., Díaz-Oltra, S., & Escuder, B. (2016). Tandem Catalysis of an Aldol-‘Click’ Reaction System within a Molecular Hydrogel. Molecules, 21(6), 744. https://doi.org/10.3390/molecules21060744

