Abstract
Sodium aescinate (SA) is a widely-applied triterpene saponin product derived from horse chestnut seeds, possessing vasoactive and organ-protective activities with oral or injection administration in the clinic. To date, no toxicity or adverse events in SA have been reported, by using routine models (in vivo or in vitro), which are insufficient to predict all aspects of its pharmacological and toxicological actions. In this study, taking advantage of transparent zebrafish larvae (Danio rerio), we evaluated cardiovascular toxicity of SA at doses of 1/10 MNLC, 1/3 MNLC, MNLC and LC10 by yolk sac microinjection. The qualitative and quantitative cardiotoxicity in zebrafish was assessed at 48 h post-SA treatment, using specific phenotypic endpoints: heart rate, heart rhythm, heart malformation, pericardial edema, circulation abnormalities, thrombosis and hemorrhage. The results showed that SA at 1/10 MNLC and above doses could induce obvious cardiac and pericardial malformations, whilst 1/3 MNLC and above doses could induce significant cardiac malfunctions (heart rate and circulation decrease/absence), as compared to untreated or vehicle-treated control groups. Such cardiotoxic manifestations occurred in more than 50% to 100% of all zebrafish treated with SA at MNLC and LC10. Our findings have uncovered the potential cardiotoxicity of SA for the first time, suggesting more attention to the risk of its clinical application. Such a time- and cost-saving zebrafish cardiotoxicity assay is very valid and reliable for rapid prediction of compound toxicity during drug research and development.
1. Introduction
Aesculus hippocastanum (Hippocastanaceae), the worldwide-distributed horse chestnut with excellent resistance to environmental conditions, possesses therapeutic properties of relieving tissue edema, recovering vasopermeability and eliminating pressure caused by edema [1,2]. Sodium aescinate (SA) is a triterpene saponin derived from horse chestnut seeds, widely used as a dietary supplement and skin care product, as well as a pharmaceutical. As a bioactive natural product, SA has recently been used in clinical therapy for its anti-apoptotic, anti-edematous, anti-inflammatory and antioxidative effects [3,4,5]. Oral tablets, injections and topical gel are the common formulations of SA in the clinic, for the treatments of hemorrhoids, chronic venous insufficiency and encephaledema or post-traumatic/surgery edema [6]. The mechanism of its actions includes the increase of intravenous tension, improvement of microcirculation, attenuation of exudative inflammation response, enhancement of immunity functions, decrease of oxidative injury, protection of endothelial cells from hypoxia and inflammation injury and inhibition of phosphate, histamine and bradykinin release [7,8,9,10]. A number of preclinical and clinical research works have supported the above findings. However, to date, no report has concerned the side effect or toxic profile of SA, which is necessary for understanding of the pharmacologic action of SA in the clinic.
Zebrafish (Danio rerio), the cyprinid schooling teleost, is small for a vertebrate, reaching only 3 cm in length. During its embryonic and larval stages, zebrafish is only 2–3 mm long, which can live for days in individual wells of standard plates (96 or 384 wells/plate) with conventional nutrients [11]. It possesses orthologs for >70% of human genes and >86% of 1318 human drug targets [12,13]. Genes identified in the original zebrafish organogenesis screens have been consistently validated in humans or mice [14,15]. In many cases, zebrafish and human gene discovery have occurred side by side [16,17]. The observed positive or adverse effects in zebrafish and human exposed to the same chemicals are strongly correlated [18,19], indicating their remarkable pharmacologic homologies and a high representativity of zebrafish for human in the experimental research field. As zebrafish becomes more widely used, it has been a popular and ideal model organism for studying genetics, developmental biology, pharmacology, DNA damage repair, cancer and other diseases, especially for studying the toxic effects of chemicals or drugs in vivo [20,21].
Organ-specific toxicity remains the most common reason for the failure of drug therapy or for drug withdrawal from the market [11]. Fast and precise estimation of such toxicity risk is thereby of importance for drug use, which can be implemented by zebrafish. In this study, to reveal the toxic profile and in vivo adverse effect of SA, we tested the cardiotoxicity of this component by using transparent zebrafish larva. This could be the first report on the toxicity of SA.
2. Results
2.1. MNLC and LC10
The SA-induced zebrafish lethality curve is presented and a dose-dependent mortality found in Figure 1. No lethal effect was observed within SA doses from 0.1 to 1.5 μg/mL, while no zebrafish survived with SA treatment at doses above 5.0 μg/mL. MNLC and LC10 of SA were thereby estimated as 1.5 and 2.0 μg/mL, using sigmoidal regression in Origin 8.0 software. During the double-blind observation, no observed adverse effect level (NOAEL) of SA could be estimated as 0.1 μg/mL. Thus, 1/10 of MNLC (0.15 μg/mL), 1/3 of MNLC (0.5 μg/mL), MNLC (1.5 μg/mL) and LC10 (2.0 μg/mL) were adopted for cardiotoxicity assessment.
2.2. Visual Assessment of Cardiotoxicity
Cardiovascular toxicity-associated morphological abnormalities were observed and are shown in Figure 2. In both untreated and vehicle control groups, no morphological changes were found in the heart and pericardium of zebrafish. However, with increasing doses of SA treatment, increasingly severe manifestations of cardiac and pericardial abnormalities, such as heart malformations, cardiac looping defects and pericardial edema, were observed in a dose-dependent manner. Especially in groups with 1.5 μg/mL and 2.0 μg/mL of SA, the zebrafish pericardium was enlarged, edematous and filled with turbid fluid, which appeared about four-times larger than that of control groups. Moreover, SA at 0.15 μg/mL caused minimal, but significant abnormality in the zebrafish heart, indicating this dosage as the lowest observed adverse effect level (LOAEL).
Figure 1.
Sodium aescinate (SA)-induced dose-dependent zebrafish larvae mortality between 72 and 120 h post-fertilization (hpf) by yolk sac microinjection (n = 30 zebrafish per treatment; SA solution volume was 10 nL).
Figure 1.
Sodium aescinate (SA)-induced dose-dependent zebrafish larvae mortality between 72 and 120 h post-fertilization (hpf) by yolk sac microinjection (n = 30 zebrafish per treatment; SA solution volume was 10 nL).

Figure 2.
Visual observation of zebrafish larvae at 120 hpf after microinjection of SA at 72 hpf. The circled area (H) is zebrafish heart and pericardium.
Figure 2.
Visual observation of zebrafish larvae at 120 hpf after microinjection of SA at 72 hpf. The circled area (H) is zebrafish heart and pericardium.

2.3. Quantitative Observation of Cardiotoxicity
During the visual assessment, incidences of heart malformations, pericardial edema, circulation abnormalities, thrombosis and hemorrhage were observed and quantitatively assessed. As illustrated in Table 1, untreated and vehicle-treated zebrafish showed no abnormality in the heart and pericardium, whereas AS-treated ones exhibited typical heart malformations, pericardial edema and circulation decrease and absence in a dose-dependent manner. At doses of MNLC and LC10, all treated zebrafish showed heart malformations and pericardial edema (100% of incidences), and almost more than half of the zebrafish showed circulation abnormalities, indicating severe cardiovascular damage induced by SA. No thrombosis or hemorrhage was found from any treatment.
Table 1.
Incidences (%) of visual cardiotoxic manifestations in zebrafish larvae.
| Manifestations | Blank Control | Vehicle Control | SA (μg/mL) | |||
|---|---|---|---|---|---|---|
| 0.15 | 0.5 | 1.5 | 2.0 | |||
| Heart malformations | 0 | 0 | 10.0 | 70.0 | 100.0 | 100.0 * |
| Pericardial edema | 0 | 0 | 10.0 | 70.0 | 100.0 | 100.0 * |
| Circulation decrease | 0 | 0 | 3.3 | 36.7 | 53.3 | 66.7 * |
| Circulation absence | 0 | 0 | 0 | 3.3 | 46.7 | 100.0 * |
| Thrombosis | 0 | 0 | 0 | 0 | 0 | 0 |
| Hemorrhage | 0 | 0 | 0 | 0 | 0 | 0 |
* Four of 30 zebrafish were dead, and 26 zebrafish were actually observed.
2.4. Heart Rate and Heart Rhythm
As illustrated in Figure 3, heart rate changes were found in a dose-dependent manner with SA treatment and a statistically-significant decrease caused by SA at 1/3 MNLC and above doses as compared to the vehicle control (all p < 0.001). Within 48 h of treatment, SA at the LC10 dose induced approximately a 50% decrease of heart rate, exhibiting an acute and strong cardiotoxicity. For heart rhythm assessment, no difference was found between the atrial rate and ventricular rate.
Figure 3.
Zebrafish heart rate changes. (A) Heart rate (times/minute); (B) relative heart rate (%) of SA-treated zebrafish. All data are represented as the mean ± standard deviation (SD). *** p < 0.001 vs. vehicle control.
Figure 3.
Zebrafish heart rate changes. (A) Heart rate (times/minute); (B) relative heart rate (%) of SA-treated zebrafish. All data are represented as the mean ± standard deviation (SD). *** p < 0.001 vs. vehicle control.

3. Discussion
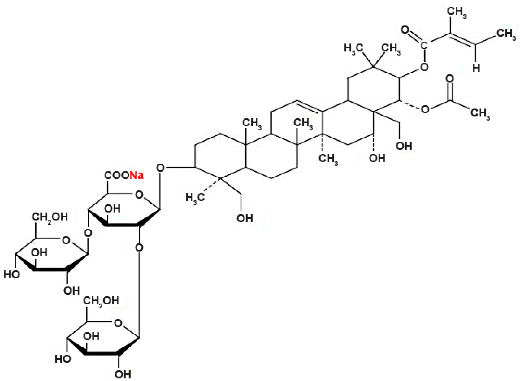
As a major active compound in the horse chestnut seed, SA (C55H85NaO24; Figure 4) has been widely applied in the clinic, possessing vasoactive and organ (cerebral cortex, lung and liver) -protective activities in the clinic [4,5,6,22]. There is no report to date on the adverse event or toxic effect of SA. Additionally, in many cases, SA exerts functions through eliminating cell edema, ameliorating microcirculation and scavenging toxic free radicals [23,24,25]. Through the animal experiments, all available publications have confirmed such a “good face” of SA. However, unimaginably, but indeed, SA has another unbeknown face termed the “evil face”, which is of cardiovascular toxicity revealed by the present study via zebrafish larvae.
Figure 4.
Chemical structure of sodium aescinate (SA).
Figure 4.
Chemical structure of sodium aescinate (SA).

Routinely, in vitro cellular systems and in vivo rodent models are used for determining the side effects of a drug on an organ or the whole body. However, although the in vitro systems enable high-throughput testing of cytotoxicity and the in vivo models exhibit high similarity with human diseases, the prediction of drug toxicity remains extremely difficult due to the disadvantages of such traditional methods [26]. For instance, the in vitro systems fail to recapitulate the complexity of the intact organism, whilst the in vivo models are low throughput, expensive and time consuming [27]. In contrast, zebrafish take comparative advantages over the traditional experimental animals and cell lines: (1) short experimental period owing to its large-scale generation and rapid organogenesis and development; (2) high-throughput application requiring only a simple and inexpensive breeding technique; (3) real-time visible observation of cardiovascular response, since larval zebrafish are transparent; (4) remarkable pharmacological homologies with humans [11,28,29,30,31,32,33]. More importantly, zebrafish are extremely sensitive to the toxic stimulus and begin dying earlier, being suitable for early prediction of drug toxicity. Several studies have confirmed that zebrafish are a highly predictive animal model for in vivo screening of cardiovascular toxicity [34,35,36,37]. The transparency of zebrafish larvae indeed facilitates rapid evaluation of the heart rate, heart rhythm and pericardial edema [33]. Utilizing only simple heart-rate responses of zebrafish, investigators can establish an excellent correlation with known adult human cardiac toxicity and recapitulate clinical relevant results [31]. Previously, the overall prediction success rate of zebrafish for cardiotoxic and non-cardiotoxic drugs attained 100% [34], which has been ranked as excellent (>85%) for identifying cardiovascular toxicity agents by the ECVAM (European Center for the Validation of Alternative Methods) criteria [38]. In sum, all of the above evidence supports the use of zebrafish as a predictive animal model for rapid screening of in vivo cardiovascular toxicity.
In the present study, the larval zebrafish cardiotoxicity assay was performed to disclose the unbeknown “evil face” of the widely-applied vasoactive agent, SA, followed by visible observations of the morphology and motion of heart and pericardium, as well as the quantitative analysis of cardiac function. As demonstrated by our results, within 48 h of treatment, SA at 1/10 MNLC and above doses could induce obvious cardiac and pericardial malformations (Figure 2), whilst at 1/3 MNLC and above doses, it could induce significant cardiac malfunctions (heart rate and circulation decrease) (Figure 3). Such cardiotoxic manifestations occurred in more than 50% to 100% of the zebrafish with SA treatment at doses of MNLC and LC10 (Table 1). In all of the experiments, no death of zebrafish was found in untreated and vehicle-treated groups and also no obvious difference in assessed endpoints was found between two control groups. In addition, the microinjection route used for SA can control the exact dose given to zebrafish that could be easily converted to the dose in humans or mammals if a conversion factor could be validated, which is superior and more valid than other administrations [34]. Nevertheless, a validated dose conversion factor from zebrafish to human is to date unavailable, so that the clinical implication of our findings for SA safety considering its marketed dosage could only be extrapolated based on the reported studies. For instance, Ducharme et al. demonstrated a significant positive correlation of lethality values (50% lethal concentration/dose, LC50/LD50) and toxicity endpoints between zebrafish and rodents (mouse and rat) [39], while Zhang et al. conducted a comparison of toxicity between zebrafish and mammalian models and found the similar LC50 value of cardiotoxic compound (e.g., epirubicin) in both zebrafish and mouse [40]. Under this circumstance, the LOAEL of SA (0.15 μg/mL) in our study could be converted as a potentially cardiotoxic dosage (0.15 mg/kg) to mouse (i.v.). By converting the SA’s marketed dosage from human (0.1 to 0.4 mg/kg) to mouse (~0.9 to 3.6 mg/kg), it is found that the minimal clinical dosage (0.9 mg/kg for mouse) was higher than the potentially cardiotoxic dosage (0.15 mg/kg for mouse), indicating a potential hazard of SA to the consumers. Together, our findings indicate that the zebrafish cardiotoxicity assay is very valid and reliable, and for the first time, the potential toxicity of SA to the human cardiovascular system can thereby be confirmed.
As a predictive vertebrate animal model, zebrafish larvae are apparently able to capture toxicity with toxic metabolites that are unlikely to be found in vitro [41]. Many studies have confirmed that the toxicity profiles of zebrafish and mammals are strikingly similar [33,34,41]. This animal can thereby be used to rapidly predict the toxicity of compounds in the early stages of drug development, reduce drug failure at later stages of drug development, prioritize compounds for further preclinical and clinical studies and, more importantly, refilter out potentially unsafe subjects from commonly-used drugs on the market, such as SA, before they cause harm to humans [34,41]. Thus, the time- and cost-saving, sensitive, effective and high throughput characteristics of the cardiotoxicity assay using zebrafish larvae is clinically significant to public health in the drug screening and application field, especially when the routine methods fail to work under some circumstances. Without the help of zebrafish in this study, the "evil face" of SA may never have been discovered. Here, we suggest that doctors and patients should be more cautious with SA treatment, and the SA-treated patients should have a periodic inspection of the cardiovascular system. Our further studies are in progress to explore SA’s toxic mechanism in zebrafish and to reassess its cardiotoxicity in other model systems, which can provide more valuable evidence for the SA-associated health risk.
4. Materials and Methods
4.1. Chemical Preparation
SA (Batch Number 1403137) in powder was provided by Zhejiang Reviewer Center of Pharmaceutical and Cosmetic Products (Hangzhou, China) and stored at room temperature. It was dissolved with 0.9% NaCl solution for use.
4.2. Zebrafish Handling
A wild-type AB strain of zebrafish (Batch Number 20150319) was used in this study. Adult zebrafish were housed in a light- and temperature-controlled aquaculture facility with a standard 14:10 h day/night photoperiod and fed with live brine shrimp twice a day and dry flake once a day. Four to five pairs of them were set up for each mating, and about 200–300 embryos can thereby be generated. Embryos were maintained at 28 °C in fish water (0.2% Instant Ocean Salt in deionized water, pH 6.9–7.2, conductivity 480–510 μS/cm and hardness 53.7~71.6 mg/L CaCO3). Embryos were washed and staged at 6 and 24 hpf (hours post-fertilization). The zebrafish facility at Hunter Biotechnology, Inc., is accredited by the Association for Assessment and Accreditation of Laboratory Animal Care (AAA LAC) International.
4.3. Chemical Treatment
Larval zebrafish (72 hdf) were grouped (30 fishes per group) and distributed into 6-well plates (Nest Biotech, China) in 3 mL fresh fish water for a 4-h treatment. Zebrafish treated with fish water and with 0.9% NaCl solution were used as the blank control (untreated) and the vehicle control, respectively. After yolk sac microinjection with SA (10 nL each), zebrafish were subject to visual observation and image acquisition under a dissecting stereomicroscope (Olympus Ltd, Tokyo, Japan).
4.4. Determination of MNLC and LC10
The maximum non-lethal concentration (MNLC) and 10% lethal concentration (LC10) of SA were determined using zebrafish larvae from 72 to 120 hpf. Mortality was recorded every 24 h, and dead zebrafish were defined as the absence of heartbeat under the dissecting stereomicroscope. Eight concentrations of SA (0.1, 0.5, 1.0, 1.5, 2.0, 2.5, 5.0, 10.0 μg/mL) were used according to the preliminary tests. The mortality curve was generated using Origin 8.0 (OriginLab, Northampton, MA, USA). MNLC and LC10 were determined with logistic regression.
4.5. Cardiovascular Toxicity Assessment
Four dosages at 1/10 MNLC (0.15 μg/mL), 1/3 MNLC (0.5 μg/mL), MNLC (1.5 μg/mL) and LC10 (2.0 μg/mL) were selected for assessing cardiovascular toxicity of SA. After the treatment on zebrafish laevae from 72 to 120 hpf, 10 zebrafish from each group were randomly selected for visual observation and imaging acquisition of specific phenotypic endpoints under the dissecting stereomicroscope. The occurrence of pericardial edema, abnormal circulation (decrease and absence), thrombosis and hemorrhage were thereby evaluated by double-blind observation and the heart rate (atrial rate and ventricular rate) and heart rhythm counted, as described by our previous study [34].
4.6. Statistical Analysis
All tests were replicated until the experimental condition was optimized. Sigmoidal regression for the concentration-response curve was used for estimation of MNLC and LC10 in Origin 8.0. The heart rate and heart rhythm were expressed as the mean ± standard error (SE). One-way ANOVA followed by Dunnett’s test were used to compare differences between different groups. All statistical analyses were performed using SPSS 16.0 software (SPSS Inc., Chicago, IL, USA).
5. Conclusions
SA has been a well-developed and widely-applied agent for many therapeutic purposes, with no doubt of its safety. However, by using a zebrafish cardiotoxicity assay, this study revealed that exposure to SA at only the 1/3 MNLC dose was sufficient to induce adverse events in the cardiovascular system, including malformations and malfunctions. Therefore, from this moment on, such cardiotoxicity of SA should be clinically considered and further confirmed before it causes actual irreparable harm to humans. Furthermore, in practical applications, more attention should be given to its dose reduction and treatment-course shortening. This conventional zebrafish cardiotoxicity assay is predictive, sensitive, easily available and inexpensive with a short testing time and could occupy an important niche between traditional representative animal models and in vitro systems, not only for validating and describing known toxicities, but also for detecting the unforeseen during drug research and development.
Acknowledgments
This work was supported by the Science and Technology Project Grant of Zhejiang Food and Drug Administration system (Grant No. 2014002), the National Natural Science Foundation of China (Grant No. 81302989), the Zhejiang Provincial Science and Technology Project of Traditional Chinese Medicine of China (Grant No. 2013ZQ007), the Independent Project of Zhejiang Provincial Scientific and Technological Innovation Team of China (Grant No. 2011R50022-02), the Research Fund for the Doctoral Program of Higher Education of China (Grant No. 20133322120006), the Scientific Research Project of the Zhejiang Provincial Department of Education (201226186) and the Ningbo Natural Science Foundation (2014A610277).
Author Contributions
Jinfeng Liang and Chunqi Li conceived of and designed this study. Hongcui Liu and Yanfeng Huang performed the experiments. Xiaowen Shan performed the quality control of sodium aescinate. Wangdong Jin and Hongwen Li analyzed the data and achieved the conclusion. Letian Shan designed and wrote the paper. Thomas Efferth improved the paper.
Conflicts of Interest
All authors here declare no conflict of interest.
References
- Sirtori, C.R. Aescin: Pharmacology, pharmacokinetics and therapeutic profile. Pharmacol. Res. 2001, 44, 183–193. [Google Scholar] [CrossRef] [PubMed]
- Leach, M.; Pincombe, J.; Foster, G. Using horse chestnut seed extract in the treatment of venous leg ulcers: A cost-benefit analysis. Ostomy Wound Manag. 2006, 52, 68–78. [Google Scholar]
- Wang, Y.; Ye, Z.; Hu, X.; Huang, J.; Luo, Z. Morphological changes of the neural cells after blast injury of spinal cord and neuroprotective effects of sodium beta-aescinate in rabbits. Injury 2010, 41, 707–716. [Google Scholar] [CrossRef] [PubMed]
- Du, Y.; Wang, T.; Jiang, N.; Ren, R.T.; Li, C.; Li, C.K.; Fu, F.H. Sodium aescinate ameliorate liver injury induced by methyl parathion in rats. Exp. Ther. Med. 2012, 3, 818–822. [Google Scholar] [PubMed]
- Kang, J.; Gong, P.; Ren, Y.B.; Gao, D.N.; Ding, Q.L. Effect of β-sodium aescinate on hypoxia-inducible factor-1α expression in rat brain cortex after cardiopulmonary resuscitation. World J. Emerg. Med. 2013, 4, 63–68. [Google Scholar] [CrossRef] [PubMed]
- Li, X.; Chen, G.P.; Li, L.; Wang, K.J.; Zhang, B.Q.; Hu, S.J. Dual effects of sodium aescinate on vascular tension in rat thoracic aorta. Microvasc. Res. 2010, 79, 63–69. [Google Scholar] [CrossRef] [PubMed]
- Berti, F.; Omini, C.; Longiave, D. The mode of action of aescin and the release of prostaglandins. Prostaglandines 1977, 14, 241–249. [Google Scholar] [CrossRef]
- Guillaume, M.; Padioleau, F. Veinotonic effect, vascular protection, anti-inflammatory and free radical scavenging properties of horse chestnut extract. Arzneimittelforschung 1994, 44, 25–35. [Google Scholar] [PubMed]
- Luo, X.M.; Peng, T.; Wang, L. Pharmaceutical efficacy of Aescin. Foreign Med. Sci. Sec. Pharm. 2002, 29, 168–171. [Google Scholar]
- Wang, Y.K.; Han, J.; Xiong, W.J.; Yuan, Q.Y.; Gu, Y.P.; Li, J.; Zhu, Z.; Zhang, H.; Wang, C.J. Evaluation of in vivo antioxidant and immunity enhancing activities of sodium aescinate injection liquid. Molecules 2012, 17, 10267–10275. [Google Scholar] [CrossRef] [PubMed]
- Peterson, R.T.; Macrae, C.A. Systematic approaches to toxicology in the zebrafish. Annu. Rev. Pharmacol. Toxicol. 2012, 52, 433–453. [Google Scholar] [CrossRef] [PubMed]
- Gunnarsson, L.; Jauhiainen, A.; Kristiansson, E.; Nerman, O.; Larsson, D.G. Evolutionary conservation of human drug targets in organisms used for environmental risk assessments. Environ. Sci. Technol. 2008, 42, 5807–5813. [Google Scholar] [CrossRef] [PubMed]
- Howe, K.; Clark, M.D.; Torroja, C.F.; Torrance, J.; Berthelot, C.; Muffato, M.; Collins, J.E.; Humphray, S.; McLaren, K.; Matthews, L.; et al. The zebrafish reference genome sequence and its relationship to the human genome. Nature 2013, 496, 498–503. [Google Scholar] [CrossRef] [PubMed]
- Patton, E.E.; Zon, L.I. The art and design of genetic screens: Zebrafish. Nat. Rev. Genet. 2001, 2, 956–966. [Google Scholar] [CrossRef] [PubMed]
- Peterson, R.T.; Shaw, S.Y.; Peterson, T.A.; Milan, D.J.; Zhong, T.P.; Schreiber, S.L.; MacRae, C.A.; Fishman, M.C. Chemical suppression of a genetic mutation in a zebrafish model of aortic coarctation. Nat. Biotechnol. 2004, 22, 595–99. [Google Scholar] [CrossRef] [PubMed]
- Gerull, B.; Gramlich, M.; Atherton, J.; McNabb, M.; Trombitás, K.; Sasse-Klaassen, S.; Seidman, J.G.; Seidman, C.; Granzier, H.; Labeit, S.; et al. Mutations of TTN, encoding the giant muscle filament titin, cause familial dilated cardiomyopathy. Nat. Genet. 2002, 30, 201–204. [Google Scholar] [CrossRef] [PubMed]
- Xu, X.; Meiler, S.E.; Zhong, T.P.; Mohideen, M.; Crossley, D.A.; Burggren, W.W.; Fishman, M.C. Cardiomyopathy in zebrafish due to mutation in an alternatively spliced exon of titin. Nat. Genet. 2002, 30, 205–209. [Google Scholar] [PubMed]
- Peterson, R.T.; Link, B.A.; Dowling, J.E.; Schreiber, S.L. Small molecule developmental screens reveal the logic and timing of vertebrate development. Proc. Natl. Acad. Sci. USA 2000, 97, 12965–12969. [Google Scholar] [CrossRef] [PubMed]
- Khersonsky, S.M.; Jung, D.W.; Kang, T.W.; Walsh, D.P.; Moon, H.S.; Jo, H.; Jacobson, E.M.; Shetty, V.; Neubert, T.A.; Chang, Y.T. Facilitated forward chemical genetics using a tagged triazine library and zebrafish embryo screening. J. Am. Chem. Soc. 2003, 125, 11804–11805. [Google Scholar] [CrossRef] [PubMed]
- Kim, J.Y.; Kim, H.H.; Cho, K.H. Acute cardiovascular toxicity of sterilizers, PHMG, and PGH: Severe inflammation in human cells and heart failure in zebrafish. Cardiovasc. Toxicol. 2013, 13, 148–160. [Google Scholar] [CrossRef] [PubMed]
- Dai, Y.J.; Jia, Y.F.; Chen, N.; Bian, W.P.; Li, Q.K.; Ma, Y.B.; Chen, Y.L.; Pei, D.S. Zebrafish as a model system to study toxicology. Environ. Toxicol. Chem. 2014, 33, 11–17. [Google Scholar]
- Bhaskar, L.; Ramakrishna, B.S. Colonic mucosal antioxidant enzymes and lipid peroxide levels in normal subjects and patients with ulcerative colitis. J. Gastroenterol. Hepatol. 1995, 10, 140–143. [Google Scholar] [CrossRef] [PubMed]
- Fu, F.; Hou, Y.; Jiang, W.; Wang, R.; Liu, K. Escin: Inhibiting inflammation and promoting gastrointestinal transit to attenuate formation of postoperative adhesions. World J. Surg. 2005, 29, 1614–1620. [Google Scholar] [CrossRef] [PubMed]
- Montopoli, M.; Froldi, G.; Comelli, M.C.; Prosdocimi, M.; Caparrotta, L. Aescin protection of human vascular endothelial cells exposed to cobalt chloride mimicked hypoxia and inflammatory stimuli. Planta Med. 2007, 73, 285–288. [Google Scholar] [CrossRef] [PubMed]
- Davila, J.C.; Rodriguez, R.J.; Melchert, R.B.; Acosta, D., Jr. Predictive value of in vitro model systems in toxicology. Annu. Rev. Pharmacol. Toxicol. 1998, 38, 63–96. [Google Scholar] [CrossRef] [PubMed]
- Eckardt, L.; Haverkamp, W.; Borggrefe, M.; Breithardt, G. Experimental models of torsade de pointes. Cardiovasc. Res. 1998, 39, 178–193. [Google Scholar] [CrossRef]
- MacRae, C.A.; Fishman, M.C. Zebrafish: The complete cardiovascular compendium. Cold Spring Harb. Symp. Quant. Biol. 2002, 67, 301–307. [Google Scholar] [CrossRef] [PubMed]
- Anderson, R.H.; Webb, S.; Brown, N.A.; Lamers, W.; Moorman, A. Development of the heart: (3) Formation of the ventricular outflow tracts, arterial valves, and intrapericardial arterial trunks. Heart 2003, 89, 1110–1118. [Google Scholar] [CrossRef] [PubMed]
- Langheinrich, U. Zebrafish: A new model on the pharmaceutical catwalk. BioEssays 2003, 25, 904–912. [Google Scholar] [CrossRef] [PubMed]
- Milan, D.J.; Peterson, T.A.; Ruskin, J.N.; Peterson, R.T.; MacRae, C.A. Drugs that induce repolarization abnormalities cause bradycardia in zebrafish. Circulation 2003, 107, 1355–1358. [Google Scholar] [CrossRef] [PubMed]
- Hill, A.J.; Teraoka, H.; Heideman, W.; Peterson, R.E. Zebrafish as a model vertebrate for investigating chemical toxicity. Toxicol. Sci. 2005, 86, 6–19. [Google Scholar] [CrossRef] [PubMed]
- McGrath, P.; Li, C.Q. Zebrafish: A predictive model for assessing drug-induced toxicity. Drug Discov. Today 2008, 13, 394–401. [Google Scholar] [CrossRef] [PubMed]
- Zhu, J.J.; Xu, Y.Q.; He, J.H.; Yu, H.P.; Huang, C.J.; Gao, J.M.; Dong, Q.X.; Xuan, Y.X.; Li, C.Q. Human cardiotoxic drugs delivered by soaking and microinjection induce cardiovascular toxicity in zebrafish. J. Appl. Toxicol. 2014, 34, 139–148. [Google Scholar] [CrossRef] [PubMed]
- Burns, C.G.; Milan, D.J.; Grande, E.J.; Rottbauer, W.; MacRae, C.A.; Fishman, M.C. High-throughput assay for small molecules that modulate zebrafish embryonic heart rate. Nat. Chem. Biol. 2005, 1, 263–264. [Google Scholar] [CrossRef] [PubMed]
- Milan, D.J.; Jones, I.L.; Ellinor, P.T.; MacRae, C.A. In vivo recording of adult zebrafish electrocardiogram and assessment of drug-induced QT prolongation. Am. J. Physiol. Heart Circ. Physiol. 2006, 291, H269–H273. [Google Scholar] [CrossRef] [PubMed]
- Lee, S.H.; Kim, H.R.; Han, R.X.; Oqani, R.K.; Jin, D. Cardiovascular risk assessment of atypical antipsychotic drugs in a zebrafish model. J. Appl. Toxicol. 2013, 33, 466–470. [Google Scholar] [CrossRef] [PubMed]
- Genschow, E.; Spielmann, H.; Scholz, G.; Seiler, A.; Brown, N.; Piersma, A.; Brady, M.; Clemann, N.; Huuskonen, H.; Paillard, F.; et al. The ECVAM international validation study on in vitro embryotoxicity tests: Results of the definitive phase and evaluation of prediction models. European Centre for the Validation of Alternative Methods. Altern. Lab. Anim. 2002, 30, 151–176. [Google Scholar] [PubMed]
- Ducharme, N.A.; Reif, D.M.; Gustafsson, J.; Bondesson, M. Comparison of toxicity values across zebrafish early life stages and mammalian studies: Implications for chemical testing. Reprod. Toxicol. 2015, 55, 3–10. [Google Scholar] [CrossRef] [PubMed]
- Zhang, C.J.; Willett, C.; Fremgen, T. Zebrafish: An animal model for toxicological studies. Curr. Protoc. Toxicol. 2003. [Google Scholar] [CrossRef]
- Hill, A.; Ball, J.; Jones, M.; Dodd, A.; Mesens, N.; Vanparys, P. Implementation of Zebrafish toxicity testing between in vitro and in vivo models to advance candidate selection. In Proceedings of the 29th Annual Meeting of the American College of Toxicology, Tucson, AZ, USA, 9–12 November 2008. Abstract #108.
- He, J.H.; Guo, S.Y.; Zhu, F.; Zhu, J.J.; Chen, Y.X.; Huang, C.J.; Gao, J.M.; Dong, Q.X.; Xuan, Y.X.; Li, C.Q. A zebrafish phenotypic assay for assessing drug-induced hepatotoxicity. J. Pharmacol. Toxicol. 2013, 67, 25–32. [Google Scholar] [CrossRef] [PubMed]
- Sample Availability: Samples of the compound sodium aescinate are available from the authors.
© 2016 by the authors. Licensee MDPI, Basel, Switzerland. This article is an open access article distributed under the terms and conditions of the Creative Commons by Attribution (CC-BY) license ( http://creativecommons.org/licenses/by/4.0/).