A Continuous Procedure Based on Column Chromatography to Purify Anthocyanins from Schisandra chinensis by a Macroporous Resin plus Gel Filtration Chromatography
Abstract
:1. Introduction
2. Results and Discussion
2.1. Static Adsorption and Desorption Tests of Anthocyanins
2.1.1. Screening of Macroporous Resins
2.1.2. Adsorption and Desorption Kinetics Curves
| Trade Name | Polarity a | Surface Area a (m2/g) | Average Pore Diameter a (nm) | Moisture Contents (%) | De of Anthocyan in b (%) | Dd of Anthocyan in b (%) |
|---|---|---|---|---|---|---|
| HPD-100 | Non-polar | 650–700 | 85–90 | 65.00 ± 1.85 | 81.4 ± 0.5 | 70.8 ± 0.5 |
| HPD-100A | Non-polar | 650–700 | 95–100 | 66.67 ± 1.01 | 36.8 ± 0.6 | 67.4 ± 0.6 |
| HPD-300 | Non-polar | 800–870 | 80–85 | 75.52 ± 1.77 | 94.0 ± 0.6 | 79.9 ± 1.2 |
| HPD-700 | Non-polar | 650–700 | 85–90 | 66.10 ± 1.31 | 59.4 ± 0.2 | 65.5 ± 0.6 |
| HPD-5000 | Non-polar | 550–600 | 100–110 | 73.28 ± 1.32 | 84.9 ± 0.6 | 84.6 ± 0.6 |
| AB-8 | Weak-polar | 480–520 | 130–140 | 65.00 ± 1.24 | 66.2 ± 0.3 | 81.9 ± 0.8 |
| D101 | Weak-polar | 400–600 | 100–120 | 66.47 ± 1.62 | 77.4 ± 0.9 | 72.5 ± 0.8 |
| HPD-400 | Polar | 500–550 | 75–80 | 68.93 ± 1.73 | 70.8 ± 0.8 | 80.6 ± 1.1 |
| HPD-200L | Polar | 500–550 | 80–90 | 72.86 ± 1.33 | 77.8 ± 1.1 | 87.2 ± 0.7 |
| HPD-400A | Polar | 500–550 | 85–90 | 66.48 ± 1.64 | 62.7 ± 1.2 | 72.8 ± 0.5 |
| HPD-450 | Polar | 500–550 | 90–110 | 72.00 ± 1.58 | 53.6 ± 2.0 | 67.9 ± 1.0 |
| HPD-750 | Polar | 650–700 | 85–90 | 57.58 ± 1.87 | 50.7 ± 1.1 | 63.4 ± 0.9 |
| HPD-500 | Strong-polar | 500–550 | 55–75 | 70.45 ± 1.77 | 32.5 ± 0.4 | 62.5 ± 1.7 |
| HPD-600 | Strong-polar | 550–600 | 80–90 | 69.32 ± 1.75 | 32.3 ± 0.4 | 62.9 ± 0.4 |
| HPD-850 | Strong-polar | 1100–1300 | 85–95 | 46.81 ± 1.44 | 33.8 ± 0.8 | 87.4 ± 0.6 |

2.1.3. Adsorption Temperature

2.1.4. Adsorption Isotherms
| T a (°C) | Ci b (mg/mL) | Ce b (mg/mL) | ns c (mg/mg) | ns/Ce (L/g) | ln Ce | ln ns | ln ns/ln Ce |
|---|---|---|---|---|---|---|---|
| 0 | 0.119 | 0.005 | 0.0057 | 1.14 | −5.298 | −5.167 | 0.98 |
| 0 | 0.237 | 0.014 | 0.01115 | 0.796 | −4.269 | −4.496 | 1.05 |
| 0 | 0.474 | 0.033 | 0.02205 | 0.668 | −3.411 | −3.814 | 1.12 |
| 0 | 0.948 | 0.077 | 0.04355 | 0.565 | −2.564 | −3.134 | 1.22 |
| 0 | 1.896 | 0.211 | 0.08425 | 0.399 | −1.556 | −2.474 | 1.59 |

2.2. Dynamic Adsorption and Desorption Tests of Anthocyanins
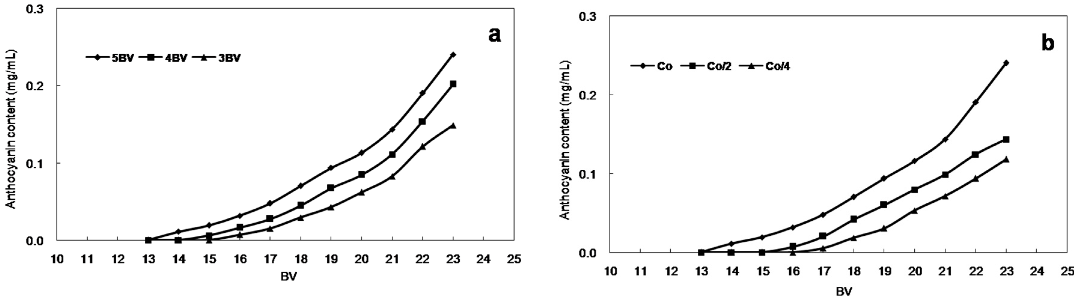
2.2.1. Dynamic Leakage Curves

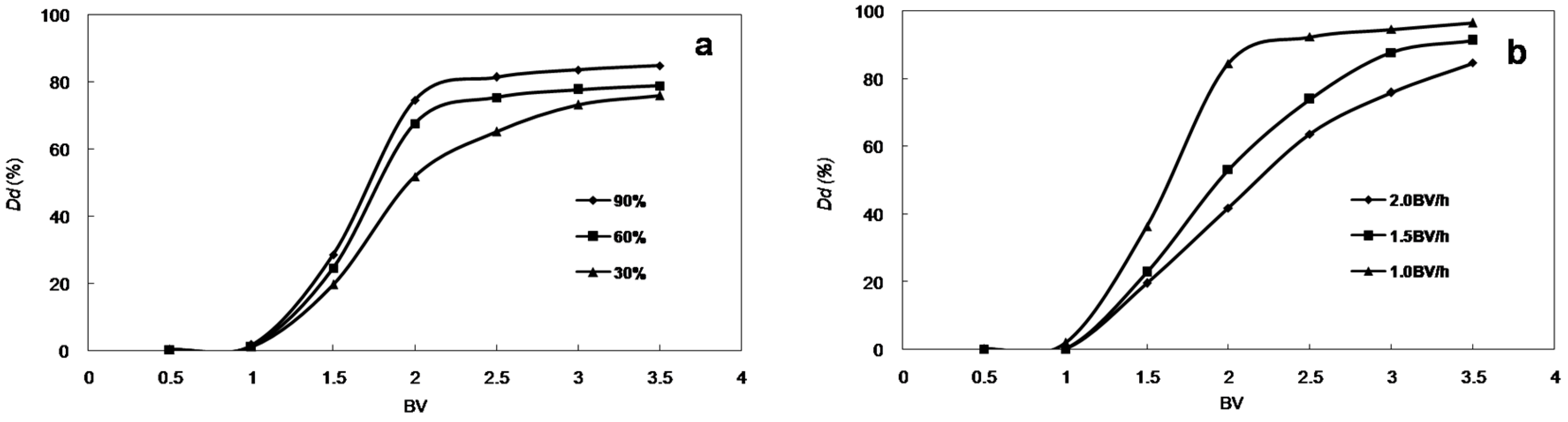
2.2.2. Dynamic Desorption Curves


2.3. Gel Filtration Chromatography

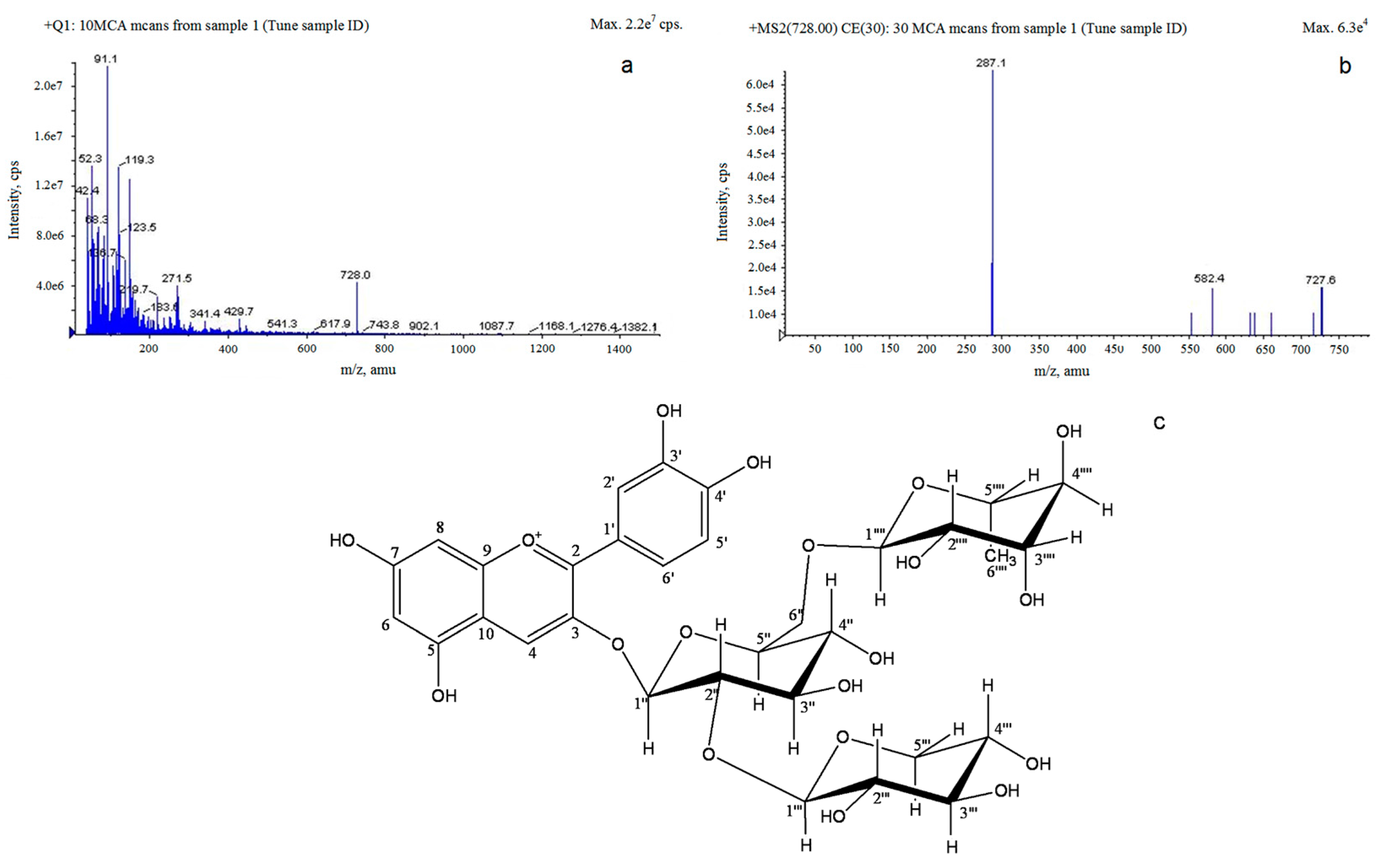
2.4. LC-MS Analysis of S. chinensis Major Anthocyanins
2.5. Antioxidant Activities of Anthocyanins
2.5.1. Determination of Total Phenolic Content

2.5.2. Ferric Reducing Antioxidant Power (FRAP)
2.5.3. Free Radical Scavenging Activity (ABTS)
| Tests | Before purification with HPD-300 | After Purification with HPD-300 |
|---|---|---|
| Concentration of anthocyanin (mg/mL) | 0.474 | 1.247 |
| Purity of anthocyanin (%) | 5.08 | 30.43 |
| Total phenolic content of anthocyanins (mg/g catechins equivalents) | 116.55 | 519.55 |
| Ferric reducing antioxidant power of anthocyanins (TE/g) | 754.050 | 902.050 |
| Free radical scavenging activity of anthocyanins (TE/g) | 368.727 | 631.455 |
3. Experimental Section
3.1. Materials
3.2. Methods
3.2.1. Preparation of S. chinensis Anthocyanins Extracts
3.2.2. Static Adsorption and Desorption Tests
3.2.3. Dynamic Adsorption and Desorption Tests
3.2.4. Regeneration of Resins
3.2.5. Gel Filtration Chromatography
3.2.6. LC-ESI-MS Analysis Method
3.2.7. Antioxidant Activities Test Methods
Folin–Ciocalteu Assay
Ferric Reducing Antioxidant Power (FRAP)
Free Radical Scavenging Activity (ABTS)
3.2.8. Statistical Analysis
3.2.9. Calculation Methods
Total Monomeric Anthocyanins (TMA)
Adsorption and Desorption Evaluation
Adsorption Isotherms
Purity Evaluation
4. Conclusions
Acknowledgments
Author Contributions
Conflicts of Interest
References
- Garzón, G.A.; Wrolstad, R.E. Major anthocyanins and antioxidant activity of Nasturtium flowers (Tropaeolum majus). Food Chem. 2009, 114, 44–49. [Google Scholar] [CrossRef]
- Kerio, L.C.; Wachira, F.N.; Wanyoko, J.K.; Rotich, M.K. Characterization of anthocyanins in Kenyan teas: Extraction and identification. Food Chem. 2012, 131, 31–38. [Google Scholar] [CrossRef]
- Lule, S.U.; Xia, W. Food phenolics, pros and cons: A review. Food Rev. Int. 2005, 21, 367–388. [Google Scholar] [CrossRef]
- Nichenametla, S.N.; Taruscio, T.G.; Barney, D.L.; Exon, J.H. A review of the effects and mechanisms of polyphenolics in cancer. Crit. Rev. Food Sci. 2006, 46, 161–183. [Google Scholar] [CrossRef] [PubMed]
- Lohachoompol, V.; Mulholland, M.; Srzednicki, G.; Craske, J. Determination of anthocyanins in various cultivars of highbush and rabbiteye blueberries. Food Chem. 2008, 111, 249–254. [Google Scholar] [CrossRef]
- Kong, J.M.; Chia, L.S.; Goh, N.K.; Chia, T.F.; Brouillard, R. Analysis and biological activities of anthocyanins. Phytochemistry 2003, 64, 923–933. [Google Scholar] [CrossRef]
- Özgen, M.; Serçe, S.; Kaya, C. Phytochemical and antioxidant properties of anthocyanin-rich Morus nigra and Morus rubra fruits. Sci. Hortic. 2009, 119, 275–279. [Google Scholar] [CrossRef]
- Hancke, J.L.; Burgos, R.A.; Ahumada, F. Schisandra chinensis (Turcz.) Baill. Fitoterapia 1999, 70, 451–471. [Google Scholar] [CrossRef]
- Li, X.N.; Cui, H.; Song, Y.Q.; Liang, Y.Z.; Chau, F.T. Analysis of volatile fractions of Schisandra chinensis (Turcz.) Baill. using GC-MS and chemometric resolution. Phytochem. Anal. 2003, 14, 23–33. [Google Scholar] [CrossRef] [PubMed]
- Ma, C.H.; Liu, T.T.; Yang, L.; Zu, Y.G.; Chen, X.Q.; Zhang, L.; Zhang, Y.; Zhao, C.J. Ionic liquid-based microwave-assisted extraction of essential oil and biphenyl cyclooctene lignans from Schisandra chinensis Baill fruits. J. Chromatogr. A 2011, 1218, 8573–8580. [Google Scholar] [CrossRef] [PubMed]
- Choi, Y.W.; Takamatsu, S.; Khan, S.I.; Srinivas, P.V.; Ferreira, D.; Zhao, J.; Khan, I.A. Schisandrene, a dibenzocyclooctadiene lignan from Schisandra chinensis: Structure-antioxidant activity relationships of dibenzocyclooctadiene lignans. J. Nat. Prod. 2006, 69, 356–359. [Google Scholar] [CrossRef] [PubMed]
- Ma, C.H.; Liu, T.T.; Yang, L.; Zu, Y.G.; Yang, F.J.; Zhao, C.J.; Zhang, L.; Zhang, Z.H. Preparation of high purity biphenyl cyclooctene lignans from Schisandra extract by ion exchange resin catalytic transformation combined with macroporous resin separation. J. Chromatogr. B 2011, 879, 3444–3451. [Google Scholar] [CrossRef] [PubMed]
- Ma, C.H.; Liu, T.T.; Yang, L.; Zu, Y.G.; Wang, S.Y.; Zhang, R.R. Study on ionic liquid-based ultrasonic-assisted extraction of biphenyl cyclooctene lignans from the fruit of Schisandra chinensis Baill. Anal. Chim. Acta 2011, 689, 110–116. [Google Scholar] [CrossRef] [PubMed]
- Ma, C.H.; Yang, L.; Yang, F.J.; Wang, W.J.; Zhao, C.J.; Zu, Y.G. Content and colour stability of anthocyanins isolated from Schisandra chinensis (Turcz.) Baill fruits. Int. J. Mol. Sci. 2012, 13, 14294–14310. [Google Scholar] [CrossRef] [PubMed]
- Bordonaba, J.G.; Crespo, P.; Terry, L.A. A new acetonitrile-free mobile phase for HPLC-DAD determination of individual anthocyanins in blackcurrant and strawberry fruits: A comparison and validation study. Food Chem. 2011, 129, 1265–1273. [Google Scholar] [CrossRef] [PubMed]
- Khanal, R.C.; Howard, L.R.; Prior, R.L. Effect of heating on the stability of grape and blueberry pomace procyanidins and total anthocyanins. Food Res. Int. 2010, 43, 1464–1469. [Google Scholar] [CrossRef]
- Elisia, I.; Hu, C.; Popovich, D.G.; Kitts, D.D. Antioxidant assessment of an anthocyanin-enriched blackberry extract. Food Chem. 2007, 101, 1052–1058. [Google Scholar] [CrossRef]
- Kırca, A.; Özkan, M.; Cemeroğlu, B. Effects of temperature, solid content and pH on the stability of black carrot anthocyanins. Food Chem. 2007, 101, 212–218. [Google Scholar] [CrossRef]
- Zou, T.B.; Wang, M.; Gan, R.Y.; Ling, W.H. Optimization of ultrasound-assisted extraction of anthocyanins from mulberry, using response surface methodology. Int. J. Mol. Sci. 2011, 12, 3006–3017. [Google Scholar] [CrossRef] [PubMed]
- Liang, Z.C.; Wu, B.H.; Fan, P.G.; Yang, C.X.; Duan, W.; Zheng, X.B.; Liu, C.Y.; Li, S.H. Anthocyanin composition and content in grape berry skin in Vitis germplasm. Food Chem. 2008, 111, 837–844. [Google Scholar] [CrossRef]
- Fan, G.J.; Han, Y.B.; Gu, Z.X.; Gu, F.R. Composition and colour stability of anthocyanins extracted from fermented purple sweet potato culture. LWT-Food Sci. Technol. 2008, 41, 1412–1416. [Google Scholar] [CrossRef]
- Chen, F.; Sun, Y.Z.; Zhao, G.H.; Liao, X.J.; Hu, X.S.; Wu, J.H.; Wang, Z.F. Optimization of ultrasound-assisted extraction of anthocyanins in red raspberries and identification of anthocyanins in extract using high-performance liquid chromatography-mass spectrometry. Ultrason. Sonochem. 2007, 14, 767–778. [Google Scholar] [CrossRef] [PubMed]
- Jia, G.T.; Lu, X.Y. Enrichment and purification of madecassoside and asiaticoside from Centella asiatica extracts with macroporous resins. J. Chromatogr. A 2008, 1193, 136–141. [Google Scholar] [CrossRef] [PubMed]
- Kim, S.H.; Lee, B.H.; Kim, J.C.; Choi, S.S.; Kim, G.W.; Joo, M.H.; Yoo, S.H. Compositional characterization and colorant identification of Omija (Schizandra chinensis) fruit extract. Food Sci. Biotechnol. 2008, 17, 787–793. [Google Scholar]
- Goiffon, J.P.; Mouly, P.P.; Gaydou, E.M. Anthocyanin pigment determination in red fruit juices, concentrated juices and syrups using liquid chromatography. Anal. Chim. Acta 1999, 382, 39–50. [Google Scholar] [CrossRef]
- Kim, S.H.; Joo, M.H.; Yoo, S.H. Structural identification and antioxidant properties of major anthocyanin extracted from Omija (Schizandra chinensis) fruit. J. Food Sci. 2009, 74, 134–140. [Google Scholar] [CrossRef] [PubMed]
- Hatano, T.; Edamatsu, R.; Hiramatsu, M.; Mori, A.; Fujita, Y.; Yasuhara, T.; Yoshida, T.; Okuda, T. Effect of interaction of tannins with co-existing substances VI. Effect of tannins and related polyphenols on superoxide anion radical and on DPPH radical. Chem. Pharm. Bull. 1989, 37, 2016–2021. [Google Scholar] [CrossRef]
- Meir, S.; Kanner, J.; Akiri, B.; Hadas, S.P. Determination and involvement of aqueous reducing compounds in oxidative defense systems of various senescing leaves. Agric. Food Chem. 1995, 43, 1813–1815. [Google Scholar] [CrossRef]
- Zu, Y.; Yan, M.; Fu, Y.; Liu, W.; Zhang, L.; Gu, C.; Efferth, T. Determination and quantification of astragalosides in Radix Astragali and its medicinal products using LC-MS. J. Sep. Sci. 2009, 32, 517–525. [Google Scholar] [CrossRef] [PubMed]
- Liu, X.; Jia, J.; Yang, L.; Yang, F.; Ge, H.; Zhao, C.; Zhang, L.; Zu, Y. Evaluation of antioxidant activities of aqueous extracts and fractionation from different parts of Elsholtzia ciliate. Molecules 2012, 17, 5430–5441. [Google Scholar] [CrossRef] [PubMed]
- Loo, A.Y.; Jain, K.; Darah, I. Antioxidant and radical scavenging activities of the pyroligneous acid from a mangrove plant. Food Chem. 2007, 104, 300–307. [Google Scholar] [CrossRef]
- Wojdylo, A.; Oszmia´nski, J.; Czemerys, R. Antioxidant activity and phenolic compounds in 32 selected herbs. Food Chem. 2007, 105, 940–949. [Google Scholar] [CrossRef]
- Ehlenfeldt, K.M.; Prior, L.R. Oxygen radical absorbance capacity (ORAC) and phenolic and anthocyanin concentration in fruit and leaf tissues of highbush blueberry. J. Agric. Food Chem. 2001, 49, 2222–2227. [Google Scholar] [CrossRef] [PubMed]
- Francis, F.G. Food colorants: Anthocyanins. Crit. Rev. Food Sci. Nutr. 1989, 28, 273–314. [Google Scholar] [CrossRef] [PubMed]
- Sample Availability: Samples of S. chinensis anthocyanins are not available from the authors.
© 2016 by the authors. Licensee MDPI, Basel, Switzerland. This article is an open access article distributed under the terms and conditions of the Creative Commons by Attribution (CC-BY) license ( http://creativecommons.org/licenses/by/4.0/).
Share and Cite
Yue, D.; Yang, L.; Liu, S.; Li, J.; Li, W.; Ma, C. A Continuous Procedure Based on Column Chromatography to Purify Anthocyanins from Schisandra chinensis by a Macroporous Resin plus Gel Filtration Chromatography. Molecules 2016, 21, 204. https://doi.org/10.3390/molecules21020204
Yue D, Yang L, Liu S, Li J, Li W, Ma C. A Continuous Procedure Based on Column Chromatography to Purify Anthocyanins from Schisandra chinensis by a Macroporous Resin plus Gel Filtration Chromatography. Molecules. 2016; 21(2):204. https://doi.org/10.3390/molecules21020204
Chicago/Turabian StyleYue, Daran, Lei Yang, Shouxin Liu, Jian Li, Wei Li, and Chunhui Ma. 2016. "A Continuous Procedure Based on Column Chromatography to Purify Anthocyanins from Schisandra chinensis by a Macroporous Resin plus Gel Filtration Chromatography" Molecules 21, no. 2: 204. https://doi.org/10.3390/molecules21020204
APA StyleYue, D., Yang, L., Liu, S., Li, J., Li, W., & Ma, C. (2016). A Continuous Procedure Based on Column Chromatography to Purify Anthocyanins from Schisandra chinensis by a Macroporous Resin plus Gel Filtration Chromatography. Molecules, 21(2), 204. https://doi.org/10.3390/molecules21020204

