Next Article in Journal
Insight of Saffron Proteome by Gel-Electrophoresis
Next Article in Special Issue
Room Temperature Ionic Liquids as Green Solvent Alternatives in the Metathesis of Oleochemical Feedstocks
Previous Article in Journal
Olive Oil and the Hallmarks of Aging
Previous Article in Special Issue
Unimolecular Solvolyses in Ionic Liquid: Alcohol Dual Solvent Systems
 
 
Font Type:
Arial Georgia Verdana
Font Size:
Aa Aa Aa
Line Spacing:
Column Width:
Background:
Article

A Sustainable Approach to the Stereoselective Synthesis of Diazaheptacyclic Cage Systems Based on a Multicomponent Strategy in an Ionic Liquid

by
Raju Suresh Kumar
1,*,
Abdulrahman I. Almansour
1,
Natarajan Arumugam
1,
Mohammad Altaf
2,
José Carlos Menéndez
3,
Raju Ranjith Kumar
4 and
Hasnah Osman
5
1
Department of Chemistry, College of Science, King Saud University P. O. Box 2455, Riyadh 11451, Saudi Arabia
2
Central Laboratory, College of Science, King Saud University P. O. Box 2455, Riyadh 11451, Saudi Arabia
3
Departamento de Química Orgánica y Farmacéutica, Facultad de Farmacia, Universidad Complutense, Madrid 28040, Spain
4
Department of Organic Chemistry, School of Chemistry, Madurai Kamaraj University, Madurai 625 021, Tamil Nadu, India
5
School of Chemical Sciences, Universiti Sains Malaysia, Minden 11800, Penang, Malaysia
*
Author to whom correspondence should be addressed.
Molecules 2016, 21(2), 165; https://doi.org/10.3390/molecules21020165
Submission received: 14 December 2015 / Revised: 21 January 2016 / Accepted: 26 January 2016 / Published: 29 January 2016
(This article belongs to the Special Issue Ionic Liquids in Organic Synthesis)

Abstract

:
The microwave-assisted three-component reactions of 3,5-bis(E)-arylmethylidene]tetrahydro-4(1H)-pyridinones, acenaphthenequinone and cyclic α-amino acids in an ionic liquid, 1-butyl-3-methylimidazolium bromide, occurred through a domino sequence affording structurally intriguing diazaheptacyclic cage-like compounds in excellent yields.

Graphical Abstract

1. Introduction

Achieving molecular complexity and diversity from common starting materials with a minimum number of synthetic steps and short reaction time is a major challenge for synthetic chemists [1,2,3,4,5]. Multi-component reactions (MCR) have proven to be one of the most effective and attractive methods to achieve this goal [6,7,8]. These reactions allow several bond-forming or bond-breaking transformations to occur in a single step, thereby obviating the time-consuming and costly processes of isolation or purification of various intermediates formed in each steps, and also the tedious operations of protection or deprotection of functional groups. Consequently, these reactions are environmentally benign and often proceed with excellent stereoselectivities [9]. Therefore, the design of new selective MCRs for the synthesis of diverse heterocycles of biological significance is a continuing challenge at the forefront of synthetic organic chemistry.
On the other hand, the choice of an appropriate reaction medium is crucial for a successful synthesis. Recently, more emphasis has been focused on the use of eco-friendly solvents. In this regard, ionic liquids are widely recognized as “green” solvents as an alternative to the volatile organic solvents and are suitable for executing diverse organic reactions [10,11]. The development of multicomponent reactions in ionic liquids, although relatively unexplored [12], is of great interest.
Furthermore, microwave-assisted reactions have been reported to proceed in dramatically shortened reaction times as compared to reactions under conventional heating. Under these conditions, the reactions are usually cleaner, affording enhanced product yields and avoiding the formation of unnecessary side products. Microwave-assisted synthesis has significant advantages in several chemical transformations [13,14], including cycloadditions [15].
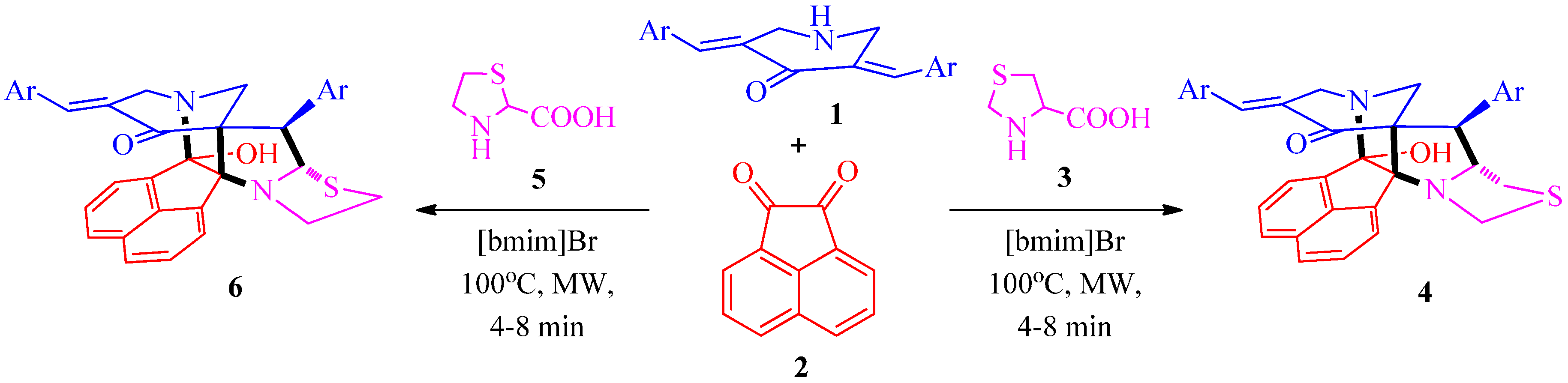
The synthesis of cage-like compounds has received considerable attention in view of their biological activities and applications as artificial receptors [16]. Gambogic acid, a naturally occurring cage-like compound has been identified as a potent antitumor agent [17] and has recently finished phase IIa clinical trials [18]. The biological evaluation of Gambogic acid derivatives indicated that the peripheral moieties were suitable sites for diverse modification while the α,β-unsaturated moiety in the caged ring was essential for antitumor activity [19]. A recent study from our laboratory revealed that several polycyclic cage compounds embedded with an α,β-unsaturated moiety displayed promising AChE inhibitory activity [20,21]. Several reports pertaining to the synthesis of polycyclic caged structures are available in the literature. However, these methods have mostly relied on multi-step sequences and therefore the development of greener, step-economic routes is imperative. Herein we report the stereoselective synthesis of structurally diverse heptacyclic cage-like frameworks from the three-component domino reactions of 3,5-bis(E)-arylmethylidene]tetrahydro-4(1H)-pyridinones 1, acenaphthenequinone 2 and cyclic α-amino acids 3 or 5 in ionic liquid under microwave conditions (Scheme 1) with the aim of studying their pharmacological profiles in the near future. Furthermore, the present work also stems from our ongoing investigation aimed at synthesizing novel heterocycles employing green chemical protocols [20,21,22,23,24,25,26,27,28,29,30,31].
Scheme 1. Synthesis of diazaheptacycles 4 and 6.
Scheme 1. Synthesis of diazaheptacycles 4 and 6.
Molecules 21 00165 g003

2. Results and Discussion

Initially, the precursor 3,5-bis[(E)-arylmethylidene]tetrahydro-4(1H)-pyridinones 1 was synthesized following a literature method [32]. Then, the optimized reaction condition established in our earlier report for the synthesis of analogous cage-like compounds [23] was employed in the present investigation for the synthesis of two series of novel diazaheptacycles 4 and 6 (Scheme 1 and Table 1). In a typical reaction, an equimolar mixture of the starting materials 1, 2 and 3 or 5 in 100 mg of ionic liquid [bmim]Br was subjected to microwave irradiation at 100 °C for 4–8 min (Scheme 1 and Table 1). After completion of the reaction, the products 4 and 6 were isolated by extraction and crystallization. After extraction of the product, the ionic liquid [bmim]Br was dried under vacuum, and its recyclability was investigated by successive syntheses of compounds 4 or 6, which revealed that its efficacy was not significantly diminished after up to three subsequent runs. Furthermore, these reactions gain importance from the viewpoint of green chemistry as the crude reaction products were clean enough to be purified just by crystallization, thereby eliminating the need for chromatography, the main source of waste from synthetic activities.
Table 1. Reaction time, yield and melting point of diazaheptacycles 4an and 6am.
Table 1. Reaction time, yield and melting point of diazaheptacycles 4an and 6am.
EntryArComp.Reaction Time (min)Yield (%) am.p. (°C)Comp.Reaction Time (min)Yield (%) am.p. (°C)
1C6H54a492140–1426a493135–137
22-CH3C6H44b690127–1296b690179–181
32-OCH3C6H44c885166–1686c884175–177
42-BrC6H44d491184–1866d492172–174
52-ClC6H44e490146–1486e687134–136
62-FC6H44f688150–1526f690162–164
73-NO2C6H44g691176–1786g489180–182
82,4-Cl2C6H34h490144–1466h691146–147
94-CH3C6H44i493141–1436i692190–192
104-OCH3C6H44j687137–1396j686144–146
114-BrC6H44k492171–1736k490156–158
124-ClC6H44l495154–1566l492164–166
134-FC6H44m693132–1346m691136–138
141-Naphthyl4n689158–160----
a Isolated yield.
The arbitrary atom numbering of heptacyclic cage compounds 4 and 6 are shown in Scheme 2. The structures of cage compounds 4 and 6 were elucidated using Infrared (IR) and Nuclear Magnetic Resonance (NMR) spectroscopic studies (vide Supplementary Materials) as discussed for 4i. In the IR spectrum, the absorptions at 3416, 1723, 1682 and 1594 cm−1 were attributed to the O-H, C=H (arylmethylidene), C=O and C=H (aromatic ring) stretching frequency, respectively. In the 1H-NMR spectrum of 4i, the singlet at 6.29 ppm was readily assigned to the arylmethylidene proton (H-25) on the basis of its multiplicity. Furthermore, H-25 showed HMBCs with the carbon signal at 53.3 ppm assignable to C-12 besides showing correlation with C-10 and C-11, the ipso and ortho carbons of the p-methylphenyl ring. From the C,H-COSY correlation of C-12, the doublet at 3.34 ppm (J 17.6 Hz) and the doublet of doublets at 3.68 ppm (J 17.6, 2.0 Hz) was assigned to H-12a and H-12b, respectively. The other doublets at 3.43 ppm and 3.81 ppm (J 11.2 Hz) were due to H-24a and H-24b. The multiplet in the range 4.24–4.31 ppm was due to H-8 and the C,H-COSY assigned the carbon at 51.0 ppm to C-8. The multiplet in the range 4.65–4.69 ppm was assigned to H-7 as it showed H,H-COSY with H-8. The multiplet in the range 3.03–3.09 ppm accounting for two protons was assigned to H-4a and H-6a. The doublet of doublets at 3.21 ppm (J 12.0, 6.4 Hz) was assigned to H-6b, whereas H-4b appeared as multiplet in the range 4.24–4.31 ppm. The two CH3 protons appeared as singlets at 2.23 and 2.33 ppm and the aromatic protons appeared as multiplet in the range 6.34–7.83 ppm. The carbon signals at 73.0 and 96.2 ppm was assigned to the spiro-carbons C-9 and C-2, respectively (Scheme 3). Similarly, the structure of the other heptacyclic cage-like compounds 6 was also assigned using NMR spectroscopy and X-ray crystallographic studies.
Scheme 2. Arbitrary atom numbering of 4 and 6.
Scheme 2. Arbitrary atom numbering of 4 and 6.
Molecules 21 00165 g004
Scheme 3. Selected 1H- and 13C-NMR chemical shifts of 4i.
Scheme 3. Selected 1H- and 13C-NMR chemical shifts of 4i.
Molecules 21 00165 g005
The X-ray crystallographic study of a single crystal of 4j (Figure 1) [33] and 6f (Figure 2) [34] confirms the structure deduced from NMR spectroscopic studies.
Figure 1. Oak Ridge Thermal Ellipsoid Plot (ORTEP) diagram of 4j.
Figure 1. Oak Ridge Thermal Ellipsoid Plot (ORTEP) diagram of 4j.
Molecules 21 00165 g001
Figure 2. ORTEP diagram of 6f.
Figure 2. ORTEP diagram of 6f.
Molecules 21 00165 g002
A viable mechanism for the formation of diazaheptacycles 4 and 6 is shown in Scheme 4. Initially, the interaction of [bmim]Br with the carbonyl group of acenaphthenequinone 2 via hydrogen bonding would increase the electrophilicity of the carbonyl carbon, facilitating the nucleophilic attack of the NH of thiaproline 3. Subsequent dehydration and concomitant decarboxylation furnishes azomethine ylide 7, which may exist in the resonating forms 7a and 7b [35]. The interaction of [bmim]Br with the carbonyl group of 3,5-bis[(E)-arylmethylidene]tetrahydro-4(1H)-pyridinones 1 presumably activates the exocyclic double bond, allowing the initial addition reaction with the azomethine ylide that, in principle, can take place via reaction of 7a (route A) or 7b (route B) with the more electron deficient β-carbon of 1 to afford the spiropyrrolothiazoles 8 or 9, respectively. However, the exclusive formation of 4 in the above reaction proves the selective cycloaddition of 7a with 1 via route A to form 8. Subsequently, the interaction of [bmim]Br with the second carbonyl group of the acenaphthenequinone ring of spiropyrrolothiazole 8 presumably increases the electrophilicity of that carbonyl carbon, facilitating further annulation by the reaction of amino function of piperidone ring with the proximate carbonyl group resulting in the formation of the cage framework 4. In addition, the cycloaddition via route B is also ruled out from the fact that the dispiro intermediate 9 may not favor the subsequent annulation step to afford cage-like compounds in view of the higher distance between the reacting groups in 9.
Scheme 4. Probable mechanism for the formation of diazaheptacycles 4.
Scheme 4. Probable mechanism for the formation of diazaheptacycles 4.
Molecules 21 00165 g006

3. Experimental Section

3.1. General Methods

Melting points were taken using open capillary tubes and are uncorrected. 1H, 13C and two-dimensional NMR spectra were recorded on a Bruker 400 or 300 MHz instruments (Faellanden, Switzerland) in CDCl3 using Tetramethylsilane (TMS) as internal standard. Standard Bruker software was used throughout. Chemical shifts are given in parts per million (δ-scale) and the coupling constants are given in Hertz. IR spectra were recorded on a Perkin Elmer system 2000 FT-IR instrument (KBr) (Shelton, AL, USA). Single crystal X-ray data set for 4j and 6f was collected on Bruker APEXII DUO CCD area detector diffractometer (Karlsruhe, Germany) with Mo Kα (λ = 0.71073 Å) radiation. Elemental analyses were performed on a Perkin Elmer 2400 Series II Elemental CHNS analyzer (Waltham, MA, USA).

3.2. General Procedure for the Synthesis of Diazaheptacyclic Cage Compounds 4an or 6am

An equimolar mixture of 3,5-bis[(E)-arylmethylidene]tetrahydro-4(1H)-pyridinone 1, acenaphthenequinone 2 and thiaproline 3 or 5 in 100 mg of [bmim]Br was irradiated in a CEM microwave synthesizer at 100 °C for 4–8 min. After completion of the reaction (TLC), ethyl acetate (10 mL) was added and the reaction mixture stirred for 15 min. The ethyl acetate layer was then separated, washed with water (50 mL) and the solvent evaporated under reduced pressure. The resultant precipitate was dried in vacuum and subjected to crystallization from petroleum ether–ethyl acetate mixture (2:8) to obtain pure 4 or 6. The ionic liquid [bmim]Br after extraction of the product was dried under vacuum and reused for subsequent reactions.
14-Hydroxy-8-(phenyl)-11-[(E)-phenylmethylidene]-5-thia-3,13-diazaheptacyclo-[13.7.1.19,13.02,9.02,14.03,7.019,23]tetracosa-1(22),15(23),16,18,20-pentaen-10-one (4a) White solid, 92% (0.175 g), m.p. 140–142 °C, IR (KBr) υmax 3420, 1721, 1685, 1602 cm−1; 1H-NMR (300 MHz, CDCl3): δH 3.03–3.12 (m, 2H, H-4a and H-6a), 3.22 (dd, J = 12.0, 6.3 Hz, 1H, H-6b), 3.35 (d, J = 17.4 Hz, 1H, H-12a), 3.44 (d, J = 11.4 Hz, 1H, H-24a), 3.68 (dd, J = 17.4, 1.8 Hz, 1H, H-12b), 3.81 (d, J = 11.4 Hz, 1H, H-24b), 4.27–4.35 (m, 2H, H-4b and H-8), 4.67–4.73 (m, 1H, H-7), 6.27 (s, 1H, H-25), 6.39–6.42 (m, 2H, ArH), 7.06–7.11 (m, 3H, ArH), 7.25–7.38 (m, 4H, ArH), 7.50–7.60 (m, 5H, ArH), 7.74 (d, J = 8.1 Hz, 1H, ArH), 7.83 (d, J = 6.9 Hz, 1H, ArH); 13C-NMR (75 MHz, CDCl3): δc 38.1, 51.4, 53.4, 56.4, 57.0, 72.7, 73.2, 96.3, 104.1, 121.6, 125.2, 126.2, 126.8, 127.8, 128.0, 128.2, 128.4, 128.8, 129.1, 129.6, 130.0, 131.2, 133.2, 134.2, 134.5, 136.2, 136.9, 137.0, 138.5, 196.7. Anal. calcd for C34H28N2O2S: C, 77.24; H, 5.34; N, 5.30. Found: C, 77.39; H, 5.23; N, 5.38%.
14-Hydroxy-8-(2-methylphenyl)-11-[(E)-(2-methylphenyl)methylidene]-5-thia-3,13-diazaheptacyclo[13.7.1.19,13.02,9.02,14.03,7.019,23]tetracosa-1(22),15(23),16,18,20-pentaen-10-one (4b) Pale yellow solid, 90% (0.165 g), m.p. 127–129 °C, IR (KBr) υmax 3422, 1725, 1680, 1598 cm−1; 1H-NMR (300 MHz, CDCl3): δH 1.56 (s, 3H, CH3), 2.82 (s, 3H, CH3), 2.98 (d, J = 12.3 Hz, 1H, H-6a), 3.14 (dd, J = 12.3, 6.3 Hz, 1H, H-6b), 3.32–3.44 (m, 3H, H-4a, H-12a and H-24a), 3.72 (d, J = 17.4 Hz, 1H, H-12b), 3.83 (d, J = 11.4 Hz, 1H, H-24b), 4.47–4.65 (m, 3H, H-4b and H-8 and H-7), 6.03 (d, J = 7.5 Hz, 1H, ArH), 6.53 (s, 1H, H-25), 6.84–7.04 (m, 3H, ArH), 7.18–7.45 (m, 5H, ArH), 7.57–7.69 (m, 3H, ArH), 7.78 (d, J = 8.1 Hz, 1H, ArH), 7.89 (d, J = 6.9 Hz, 1H, ArH); 13C-NMR (75 MHz, CDCl3): δc 19.6, 21.2, 37.2, 46.3, 52.8, 56.6, 57.4, 73.9, 74.9, 96.6, 103.8, 121.8, 125.1, 125.4, 126.1, 126.3, 126.8, 126.9, 127.7, 128.2, 128.4, 128.5, 128.9, 130.1, 131.3, 131.8, 132.7, 133.4, 134.4, 135.4, 135.8, 137.1, 137.5, 138.7, 139.3, 196.2. Anal. calcd for C36H32N2O2S: C, 77.67; H, 5.79; N, 5.03. Found: C, 77.80; H, 5.70; N, 5.12%.
14-Hydroxy-8-(2-methoxylphenyl)-11-[(E)-(2-methoxylphenyl)methylidene]-5-thia-3,13-diazaheptacyclo[13.7.1.19,13.02,9.02,14.03,7.019,23]tetracosa-1(22),15(23),16,18,20-pentaen-10-one (4c) Pale yellow solid, 85% (0.149 g), m.p. 166–168 °C, IR (KBr) υmax 3426, 1722, 1683, 1600 cm−1; 1H-NMR (300 MHz, CDCl3): δH 3.03 (d, J = 12.0 Hz, 1H, H-6a), 3.12 (dd, J = 12.0, 6.3 Hz, 1H, H-6b), 3.28–3.40 (m, 3H, H-4a, H-12a and H-24a), 3.56 (s, 3H, OCH3), 3.68 (dd, J = 17.7, 2.1 Hz, 1H, H-12b), 3.81 (d, J = 11.1 Hz, 1H, H-24b), 3.96 (s, 3H, OCH3), 4.59–4.83 (m, 3H, H-4b and H-8 and H-7), 5.99 (dd, J = 7.8, 1.2 Hz, 1H, ArH), 6.47 (s, 1H, H-25), 6.57–6.63 (m, 2H, ArH), 6.93–7.11 (m, 3H, ArH), 7.22–7.37 (m, 2H, ArH), 7.48 (dd, J = 8.1, 1.8 Hz, 1H, ArH), 7.55–7.60 (m, 3H, ArH), 7.74 (d, J = 8.1 Hz, 1H, ArH), 7.90 (d, J = 6.9 Hz, 1H, ArH); 13C-NMR (75 MHz, CDCl3): δc 37.6, 47.1, 53.1, 55.2, 56.2, 56.3, 57.6, 71.8, 73.8, 96.0, 103.5, 110.3, 112.0, 119.8, 121.1, 121.4, 123.4, 125.2, 125.5, 126.0, 126.6, 127.8, 128.3, 129.1, 129.9, 130.4, 131.3, 131.8, 131.9, 133.0, 134.5, 137.1, 138.7, 157.7, 158.9, 196.5. Anal. calcd for C36H32N2O4S: C, 73.45; H, 5.48; N, 4.76. Found: C, 73.63; H, 5.39; N, 4.89%.
8-(2-Bromophenyl)-11-[(E)-(2-bromophenyl)methylidene]-14-hydroxy-5-thia-3,13-diazaheptacyclo[13.7.1.19,13.02,9.02,14.03,7.019,23]tetracosa-1(22),15(23),16,18,20-pentaen-10-one (4d) White solid, 91% (0.144 g), m.p. 184–186 °C, IR (KBr) υmax 3424, 1725, 1680, 1595 cm−1; 1H-NMR (300 MHz, CDCl3): δH 3.11 (dd, J = 12.3, 6.3 Hz, 1H, H-6b), 3.20 (d, J = 12.3 Hz, 1H, H-6a), 3.36–3.42 (m, 3H, H-4a, H-12a and H-24a), 3.68 (dd, J = 17.7, 3.0 Hz, 1H, H-12b), 3.82 (d, J = 11.4 Hz, 1H, H-24b), 4.37–5.07 (m, 3H, H-4b and H-8 and H-7), 5.82–5.87 (m, 1H, ArH), 6.51 (s, 1H, H-25), 6.93–7.00 (m, 2H, ArH), 7.12–7.18 (m, 1H, ArH), 7.27–7.50 (m, 4H, ArH), 7.57–7.76 (m, 4H, ArH), 7.82 (d, J = 8.1 Hz, 1H, ArH), 7.96 (d, J = 6.9 Hz, 1H, ArH); 13C-NMR (75 MHz, CDCl3): δc 36.6, 49.3, 52.4, 56.3, 57.2, 74.0, 74.7, 96.3, 103.5, 121.6, 124.2, 125.4, 126.5, 126.9, 127.4, 127.7, 127.9, 128.2, 128.3, 128.7, 129.3, 129.5, 130.0, 131.5, 132.9, 133.7, 133.9, 134.6, 134.7, 135.3, 137.0, 137.1, 138.5, 195.3. Anal. calcd for C34H26Br2N2O2S: C, 59.49; H, 3.82; N, 4.08. Found: C, 59.64; H, 3.70; N, 4.21%.
8-(2-Chlorophenyl)-11-[(E)-(2-chlorophenyl)methylidene]-14-hydroxy-5-thia-3,13-diazaheptacyclo[13.7.1.19,13.02,9.02,14.03,7.019,23]tetracosa-1(22),15(23),16,18,20-pentaen-10-one (4e) White solid, 90% (0.156 g), m.p. 146–148 °C, IR (KBr) υmax 3418, 1720, 1681, 1601 cm−1; 1H-NMR (300 MHz, CDCl3): δH 3.12–3.14 (m, 2H, H-6a and H-6b), 3.34–3.42 (m, 3H, H-4a, H-12a and H-24a), 3.69 (dd, J = 17.7, 2.7 Hz, 1H, H-12b), 3.81 (d, J = 11.4 Hz, 1H, H-24b), 4.39–5.06 (m, 3H, H-4b and H-8 and H-7), 5.98 (d, J = 7.5 Hz, 1H, ArH), 6.51 (s, 1H, H-25), 6.90–7.13 (m, 3H, ArH), 7.19–7.29 (m, 2H, ArH), 7.37–7.62 (m, 5H, ArH), 7.69 (d, J = 8.1 Hz, 1H, ArH), 7.80 (d, J = 8.4 Hz, 1H, ArH), 7.95 (d, J = 6.9 Hz, 1H, ArH); 13C-NMR (75 MHz, CDCl3): δc 36.9, 46.5, 52.7, 56.3, 57.4, 74.0, 74.4, 96.3, 103.6, 121.6, 125.3, 126.2, 126.5, 127.3, 127.4, 128.0, 128.3, 128.7, 129.0, 129.7, 130.0, 131.2, 131.4, 132.7, 132.9, 133.7, 134.2, 134.4, 135.3, 136.6, 137.0, 138.4, 195.5. Anal. calcd for C34H26Cl2N2O2S: C, 68.34; H, 4.39; N, 4.69. Found: C, 68.50; H, 4.48; N, 4.52%.
8-(2-Fluorophenyl)-11-[(E)-(2-fluorophenyl)methylidene]-14-hydroxy-5-thia-3,13-diazaheptacyclo[13.7.1.19,13.02,9.02,14.03,7.019,23]tetracosa-1(22),15(23),16,18,20-pentaen-10-one (4f) Light brown solid, 88% (0.160 g), m.p. 150–152 °C, IR (KBr) υmax 3419, 1724, 1680, 1598 cm−1; 1H-NMR (300 MHz, CDCl3): δH 3.02 (d, J = 12.3 Hz, 1H, H-6a), 3.16–3.31 (m, 3H, H-4a, H-6b and H-12a), 3.43 (d, J = 11.1 Hz, 1H, H-24a), 3.67 (dd, J = 17.7, 1.8 Hz, 1H, H-12b), 3.82 (d, J = 11.4 Hz, 1H, H-24b), 4.46–4.77 (m, 3H, H-4b and H-8 and H-7), 6.12–6.22 (m, 3H, H-25 and ArH), 6.76–6.86 (m, 2H, ArH), 7.08–7.31 (m, 4H, ArH), 7.51–7.62 (m, 4H, ArH), 7.79 (d, J = 8.4 Hz, 1H, ArH), 7.88 (d, J = 6.9 Hz, 1H, ArH); 13C-NMR (75 MHz, CDCl3): δc 37.7, 46.3, 53.3, 56.3, 57.3, 71.6, 73.8, 96.0, 103.7, 115.5, 116.8, 121.5, 122.1, 123.6, 123.8, 124.7, 125.2, 126.2, 127.1, 127.8, 128.2, 128.5, 129.7, 130.5, 130.9, 131.2, 131.9, 134.1, 135.1, 137.0, 138.4, 159.5, 162.8, 196.2. Anal. calcd for C34H26F2N2O2S: C, 72.32; H, 4.64; N, 4.96. Found: C, 72.20; H, 4.75; N, 4.80%.
14-Hydroxy-8-(3-nitrophenyl)-11-[(E)-(3-nitrophenyl)methylidene]-5-thia-3,13-diazaheptacyclo[13.7.1.19,13.02,9.02,14.03,7.019,23]tetracosa-1(22),15(23),16,18,20-pentaen-10-one (4g) Dark brown solid, 91% (0.154 g), m.p. 176–178 °C, IR (KBr) υmax 3424, 1716, 1686, 1616 cm−1; 1H-NMR (400 MHz, CDCl3): δH 3.02–3.09 (m, 2H, H-4a and H-6a), 3.23 (d, J = 17.6Hz, 1H, H-12a), 3.28 (dd, J = 12.4, 6.4 Hz, 1H, H-6b), 3.48 (d, J = 11.6 Hz, 1H, H-24a), 3.65 (dd, J = 17.6, 2.8 Hz, 1H, H-12b), 3.85 (d, J = 11.6 Hz, 1H, H-24b), 4.37–4.40 (m, 2H, H-4b and H-8), 4.75–4.80 (m, 1H, H-7), 6.16 (s, 1H, H-25), 6.69 (d, J = 8.0 Hz, 1H, ArH), 7.12 (s, 1H, ArH), 7.24–7.30 (m, 2H, ArH), 7.50–7.51 (m, 3H, ArH), 7.65–7.69 (m, 1H, ArH), 7.84–7.88 (m, 2H, ArH), 7.95 (d, J = 7.6 Hz, 1H, ArH), 7.99 (dd, J = 8.0, 1.6 Hz, 1H, ArH), 8.18 (dd, J = 7.2, 1.2 Hz, 1H, ArH), 8.46–8.48 (m, 1H, ArH); 13C-NMR (100 MHz, CDCl3): δc 37.9, 50.9, 53.2, 56.4, 56.9, 72.2, 73.5, 96.3, 104.1, 121.8, 123.2, 123.3, 124.2, 124.5, 125.2, 126.2, 127.2, 128.1, 128.7, 129.2, 130.2, 131.3, 133.1, 134.1, 134.9, 135.1, 135.9, 136.0, 136.9, 138.2, 139.0, 148.0, 148.9, 196.4. Anal. calcd for C34H26N4O6S: C, 66.01; H, 4.24; N, 9.06. Found: C, 66.19; H, 4.45; N, 9.19%.
8-(2,4-Dichlorophenyl)-11-[(E)-(2,4-dichlorophenyl)methylidene]-14-hydroxy-5-thia-3,13-diazaheptacyclo[13.7.1.19,13.02,9.02,14.03,7.019,23]tetracosa-1(22),15(23),16,18,20-pentaen-10-one (4h) Light brown solid, 90% (0.145 g), m.p. 144–146 °C, IR (KBr) υmax 3409, 1686, 1605 cm−1; 1H-NMR (300 MHz, CDCl3): δH 3.07–3.16 (m, 2H, H-4a and H-6a), 3.27–3.49 (m, 3H, H-6b, H-12a and H-24a), 3.67 (dd, J = 18.0, 3.0 Hz, 1H, H-12b), 3.82 (d, J = 11.4 Hz, 1H, H-24b), 4.36–4.99 (m, 3H, H-4b, H-7 and H-8), 5.92 (d, J = 8.4 Hz, 1H, ArH), 6.40 (s, 1H, H-25), 6.93 (dd, J = 8.4, 2.1 Hz, 1H, ArH), 7.15–7.48 (m, 3H, ArH), 7.43–7.48 (m, 1H, ArH), 7.54–7.64 (m, 3H, ArH), 7.71 (d, J = 8.1 Hz, 1H, ArH), 7.81 (d, J = 8.1 Hz, 1H, ArH), 7.91 (m, J = 6.6 Hz, 1H, ArH); 13C-NMR (75 MHz, CDCl3): δc 36.8, 46.1, 52.6, 56.3, 57.2, 74.0, 74.2, 96.2, 103.6, 121.6, 125.3, 126.5, 126.7, 127.4,127.6, 128.2,128.7, 129.1, 129.6, 130.3, 131.0, 131.1, 131.3, 131.7, 133.5, 133.8, 134.3, 134.6, 135.1, 135.2, 136.9, 137.3, 138.3, 195.3. Anal. calcd for C34H24Cl4N2O2S: C, 61.28; H, 3.63; N, 4.20. Found: C, 61.46; H, 3.49; N, 4.33%.
14-Hydroxy-8-(4-methylphenyl)-11-[(E)-(4-methylphenyl)methylidene]-5-thia-3,13-diazaheptacyclo[13.7.1.19,13.02,9.02,14.03,7.019,23]tetracosa-1(22),15(23),16,18,20-pentaen-10-one (4i) Light brown solid, 93% (0.170 g), m.p. 141–143 °C, IR (KBr) υmax 3416, 1723, 1682, 1594 cm−1; 1H-NMR (400 MHz, CDCl3): δH 2.23 (s, 3H, CH3), 2.33 (s, 3H, CH3), 3.03–3.09 (m, 2H, H-4a and H-6a), 3.21 (dd, J = 12.0, 6.4 Hz, 1H, H-6b), 3.34 (d, J = 17.6 Hz, 1H, H-12a), 3.43 (d, J = 11.2 Hz, 1H, H-24a), 3.68 (dd, J = 17.6, 2.0 Hz, 1H, H-12b), 3.81 (d, J = 11.2 Hz, 1H, H-24b), 4.24–4.31 (m, 2H, H-4b and H-8), 4.65–4.69 (m, 1H, H-7), 6.29 (s, 1H, H-25), 6.35 (d, J = 8.0 Hz, 2H, ArH), 6.88 (d, J = 8.0 Hz, 2H, ArH), 7.17 (d, J = 8.0 Hz, 2H, ArH), 7.30–7.34 (m, 1H, ArH), 7.43 (d, J = 8.0 Hz, 2H, ArH), 7.52–7.61 (m, 3H, ArH), 7.72 (d, J = 8.0 Hz, 1H, ArH), 7.82 (d, J = 6.8 Hz, 1H, ArH); 13C-NMR (100 MHz, CDCl3): δc 21.5, 21.7, 38.1, 51.0, 53.3, 56.4, 56.8, 72.7, 73.0, 96.2, 104.1, 121.5, 125.2, 126.3, 126.7, 127.9, 128.4, 129.0, 129.4, 129.8, 130.2, 131.2, 131.5, 132.1, 133.9, 134.5, 136.5, 137.0, 137.6, 138.5, 139.2, 196.4. Anal. calcd for C36H32N2O2S: C, 77.67; H, 5.79; N, 5.03. Found: C, 77.79; H, 5.68; N, 5.12%.
14-Hydroxy-8-(4-methoxyphenyl)-11-[(E)-(4-methoxyphenyl)methylidene]-5-thia-3,13-diazaheptacyclo[13.7.1.19,13.02,9.02,14.03,7.019,23]tetracosa-1(22),15(23),16,18,20-pentaen-10-one (4j) Pale yellow solid, 87% (0.152 g), m.p. 137–139 °C, IR (KBr) υmax 3422, 1720, 1684, 1600 cm−1; 1H-NMR (300 MHz, CDCl3): δH 3.03–3.11 (m, 2H, H-4a and H-6a), 3.22 (dd, J = 12.0, 6.6 Hz, 1H, H-6b), 3.34 (d, J = 17.1 Hz, 1H, H-12a), 3.42–3.49 (m, 1H, H-24a), 3.68–3.70 (m, 2H, H-12b and H-24b), 3.73 (s, 3H, OCH3), 3.79 (s, 3H, OCH3), 4.23–4.30 (m, 2H, H-4b and H-8), 4.63–4.68 (m, 1H, H-7), 6.27 (s, 1H, H-25), 6.47 (d, J = 8.7 Hz, 2H, ArH), 6.62 (d, J = 8.7 Hz, 2H, ArH), 6.89 (d, J = 8.7 Hz, 2H, ArH), 7.31–7.36 (m, 1H, ArH), 7.45–7.63 (m, 5H, ArH), 7.71 (d, J = 8.1 Hz, 1H, ArH), 7.82 (d, J = 6.9 Hz, 1H, ArH); 13C-NMR (75 MHz, CDCl3): δc 38.0, 50.6, 53.4, 55.6, 55.7, 56.4, 56.8, 72.7, 72.9, 96.1, 104.1, 113.8, 114.4, 121.5, 125.1, 126.2, 126.6, 127.1, 127.9, 128.3, 129.0, 130.5, 131.0, 131.2, 132.1, 134.7, 136.1, 137.0, 138.6, 159.3, 160.2, 196.7. Anal. calcd for C36H32N2O4S: C, 73.45; H, 5.48; N, 4.76. Found: C, 73.31; H, 5.34; N, 4.87%.
8-(4-Bromophenyl)-11-[(E)-(4-bromophenyl)methylidene]-14-hydroxy-5-thia-3,13-diazaheptacyclo[13.7.1.19,13.02,9.02,14.03,7.019,23]tetracosa-1(22),15(23),16,18,20-pentaen-10-one (4k) Light brown solid, 92% (0.146 g), m.p. 171–173 °C, IR (KBr) υmax 3418, 1724, 1680, 1597 cm−1; 1H-NMR (300 MHz, CDCl3): δH 3.00–3.06 (m, 2H, H-4a and H-6a), 3.20–3.30 (m, 1H, H-6b and H-12a), 3.44 (d, J = 11.4 Hz, 1H, H-24a), 3.63 (dd, J = 17.7, 2.1 Hz, 1H, H-12b), 3.81 (d, J = 11.4 Hz, 1H, H-24b), 4.22–4.29 (m, 2H, H-4b and H-8), 4.62–4.68 (m, 1H, H-7), 6.16 (s, 1H, H-25), 6.26 (d, J = 8.4 Hz, 2H, ArH), 7.21–7.60 (m, 10H, ArH), 7.75 (d, J = 8.1 Hz, 1H, ArH), 7.80 (d, J = 6.9 Hz, 1H, ArH); 13C-NMR (75 MHz, CDCl3): δc 38.0, 50.7, 53.2, 56.4, 56.8, 72.4, 73.1, 96.2, 104.1, 121.7, 122.1, 123.3, 125.1, 126.3, 126.9, 128.1, 128.5, 130.4, 131.2, 131.4, 131.5, 132.2, 133.0, 133.7, 134.9, 135.9, 135.4, 136.9, 138.3, 196.5. Anal. calcd for C34H26Br2N2O2S: C, 59.49; H, 3.82; N, 4.08. Found: C, 59.62; H, 3.90; N, 4.21%.
8-(4-Chlorophenyl)-11-[(E)-(4-chlorophenyl)methylidene]-14-hydroxy-5-thia-3,13-diazaheptacyclo[13.7.1.19,13.02,9.02,14.03,7.019,23]tetracosa-1(22),15(23),16,18,20-pentaen-10-one (4l) Brown solid, 95% (0.165 g), m.p. 154–156 °C, IR (KBr) υmax 3402, 1719, 1686, 1601 cm−1; 1H-NMR (400 MHz, CDCl3): δH 2.99–3.04 (m, 2H, H-4a and H-6a), 3.19–3.29 (m, 2H, H-6b and H-12a), 3.43 (d, J = 11.6 Hz, 1H, H-24a), 3.62 (dd, J = 17.6, 2.4 Hz, 1H, H-12b), 3.80 (d, J = 11.2 Hz, 1H, H-24b), 4.23–4.27 (m, 2H, H-4b and H-8), 4.61–4.66 (m, 1H, H-7), 6.17 (s, 1H, H-25), 6.32 (d, J = 8.4 Hz, 2H, ArH), 7.05 (d, J = 8.4 Hz, 2H, ArH), 7.27–7.35 (m, 3H, ArH), 7.48 (d, J = 8.4 Hz, 2H, ArH), 7.55–7.69 (m, 3H, ArH), 7.73 (d, J = 8.4 Hz, 1H, ArH), 7.79 (d, J = 6.8 Hz, 1H, ArH); 13C-NMR (100 MHz, CDCl3): δc 38.0, 50.7, 53.2, 56.4, 56.8, 72.4, 73.1, 96.2, 104.1, 121.7, 125.1, 126.3, 126.9, 128.1, 128.4, 128.5, 128.8, 129.3, 130.9, 131.2, 132.5, 133.6, 133.9, 134.3, 134.8, 134.9, 135.4, 136.9, 138.3, 196.5. Anal. calcd for C34H26Cl2N2O2S: C, 68.34; H, 4.39; N, 4.69. Found: C, 68.45; H, 4.51; N, 4.78%.
8-(4-Fluorophenyl)-11-[(E)-(4-fluorophenyl)methylidene]-14-hydroxy-5-thia-3,13-diazaheptacyclo[13.7.1.19,13.02,9.02,14.03,7.019,23]tetracosa-1(22),15(23),16,18,20-pentaen-10-one (4m) White solid, 93% (0.169 g), m.p. 132–134 °C, IR (KBr) υmax 3416, 1682, 1601 cm−1; 1H-NMR (400 MHz, CDCl3): δH 3.02–3.09 (m, 2H, H-4a and H-6a), 3.21–3.26 (m, 1H, H-6b), 3.30 (d, J = 17.6 Hz, 1H, H-12a), 3.45 (d, J = 11.2 Hz, 1H, H-24a), 3.67 (dd, J = 17.2, 2.0 Hz, 1H, H-12b), 3.82 (d, J = 11.6 Hz, 1H, H-24b), 4.25–4.31 (m, 2H, H-4b and H-8), 4.64–4.68 (m, 1H, H-7), 6.20 (s, 1H, H-25), 6.39–6.42 (m, 2H, ArH), 6.76–6.81 (m, 2H, ArH), 7.04–7.08 (m, 2H, ArH), 7.31–7.34 (m, 1H, ArH), 7.51–7.56 (m, 3H, ArH), 7.59 (d, J = 6.8 Hz, 2H, ArH), 7.74 (d, J = 8.4 Hz, 1H, ArH), 7.81 (d, J = 7.2 Hz, 1H, ArH); 13C-NMR (100 MHz, CDCl3): δC 38.0, 50.6, 53.3, 56.4, 56.9, 72.6, 73.1, 96.2, 104.1, 115.4, 116.0, 121.6, 125.1, 126.2, 126.8, 128.0, 128.4, 130.3, 131.0, 131.2, 131.9, 132.5, 133.0, 134.5, 135.0, 137.0,138.4, 161.5,163.9, 196.7. Anal. calcd for C34H26F2N2O2S: C, 72.32; H, 4.64; N, 4.96. Found: C, 73.20; H, 4.79; N, 4.78%.
14-Hydroxy-8-(naphthyl)-11-[(E)-naphthylmethylidene]-5-thia-3,13-diazaheptacyclo-[13.7.1.19,13.02,9.02,14.03,7.019,23]tetracosa-1(22),15(23),16,18,20-pentaen-10-one (4n) White solid, 89% (0.149 g), m.p. 158–160 °C, IR (KBr) υmax 3423, 1721, 1684, 1590 cm−1; 1H-NMR (300 MHz, CDCl3): δH 2.96 (d, J = 12.3 Hz, 1H, H-6a), 3.13 (dd, J = 12.3, 6.3 Hz, 1H, H-6b), 3.30 (d, J = 18.0 Hz, 1H, H-12a), 3.41–3.52 (m, 2H, H-4a and H-24a), 3.73 (dd, J = 18.0, 2.1 Hz, 1H, H-12b), 3.88 (d, J = 11.4 Hz, 1H, H-24b), 4.66–4.77 (m, 2H, H-4b and H-7), 5.32 (d, J = 10.2 Hz, 1H, H-8), 6.22 (d, J = 6.9 Hz, 1H, ArH), 6.69 (d, J = 8.4 Hz, 1H, ArH), 6.93 (s, 1H, H-25), 7.11–7.91 (m, 16H, ArH), 8.15 (d, J = 6.9 Hz, 1H, ArH), 8.92 (d, J = 8.7 Hz, 1H, ArH); 13C-NMR (75 MHz, CDCl3): δc 37.6, 44.8, 53.2, 56.6, 57.8, 73.8, 75.5, 97.0, 104.0, 121.6, 124.8, 125.0, 125.2, 125.4, 126.1, 126.3, 126.4, 127.0, 127.1, 128.1, 128.4, 128.5, 128.8, 129.2, 129.4, 131.2, 131.3, 131.4, 133.3, 133.6, 134.0, 134.1, 134.4, 134.7, 134.8, 137.2, 138.5, 196.4. Anal. calcd for C42H32N2O2S: C, 80.23; H, 5.13; N, 4.46. Found: C, 80.38; H, 5.29; N, 4.35%.
14-Hydroxy-8-(phenyl)-11-[(E)-phenylmethylidene]-6-thia-3,13-diazaheptacyclo-[13.7.1.19,13.02,9.02,14.03,7.019,23]tetracosa-1(22),15(23),16,18,20-pentaen-10-one (6a) White solid, 93% (0.178 g), m.p. 135–137 °C, IR (KBr) υmax 3418, 1721, 1692, 1599 cm−1; 1H-NMR (300 MHz, CDCl3): δH 2.79–2.99 (m, 5H, H-4a, H-4b, H-5a, H-24a and H-24b), 3.40 (d, J = 17.4 Hz, 1H, H-12a), 3.67 (dd, J = 17.4, 2.7 Hz, 1H, H-12b), 4.25 (dd, J = 12.6, 2.1 Hz, 1H, H-5b), 4.91 (d, J = 6.9 Hz, 1H, H-8), 5.70 (d, J = 7.2 Hz, 1H, H-7), 5.94 (brs, 1H, OH), 6.28 (s, 1H, H-25), 6.40–6.43 (m, 2H, ArH), 7.05–7.15 (m, 3H, ArH), 7.25–7.39 (m, 4H, ArH), 7.51–7.62 (m, 6H, ArH), 7.74 (dd, J = 6.9, 2.1 Hz, 1H, ArH); 13C-NMR (75 MHz, CDCl3): δc 33.9, 53.1, 53.5, 53.9, 57.6, 75.2, 78.0, 95.1, 103.8, 121.7, 124.2, 126.3, 126.8, 127.8, 128.1, 128.2, 128.5, 128.9, 129.0, 129.1, 130.0, 131.2, 133.3, 134.1, 136.0, 136.5, 137.2, 137.3, 138.2, 196.4. Anal. calcd for C34H28N2O2S: C, 77.24; H, 5.34; N, 5.30. Found: C, 77.43; H, 5.20; N, 5.17%.
14-Hydroxy-8-(2-methylphenyl)-11-[(E)-(2-methylphenyl)methylidene]-6-thia-3,13-diazaheptacyclo[13.7.1.19,13.02,9.02,14.03,7.019,23]tetracosa-1(22),15(23),16,18,20-pentaen-10-one (6b) Pale yellow solid, 90% (0.165 g), m.p. 179–181 °C, IR (KBr) υmax 3398, 1719, 1680, 1598 cm−1; 1H-NMR (300 MHz, CDCl3): δH 1.56 (s, 3H, CH3), 2.79–2.96 (m, 7H, CH3, H-4a, H-4b, H-24a and H-24b), 3.23 (d, J = 12.6 Hz, 1H, H-5a), 3.38 (d, J = 18.0 Hz, 1H, H-12a), 3.77 (dd, J = 17.7, 2.7 Hz, 1H, H-12b), 4.63 (d, J = 12.6 Hz, 1H, H-5b), 5.07 (d, J = 7.8 Hz, 1H, H-8), 5.46 (d, J = 8.1 Hz, 1H, H-7), 6.06 (d, J = 7.5 Hz, 1H, ArH), 6.55 (s, 1H, H-25), 6.84–6.91 (m, 2H, ArH), 7.00 (d, J = 7.2 Hz, 1H, ArH), 7.15–7.26 (m, 3H, ArH), 7.39 (d, J = 6.9 Hz, 1H, ArH), 7.44 (d, J = 7.8 Hz, 1H, ArH), 7.56–7.62 (m, 3H, ArH), 7.67 (d, J = 8.1 Hz, 1H, ArH), 7.78 (dd, J = 6.3, 2.7 Hz, 1H, ArH); 13C-NMR (75 MHz, CDCl3): δc 19.6, 21.0, 33.4, 50.4, 52.8, 53.1, 57.7, 75.7, 80.3, 95.5, 103.6, 121.9, 124.1, 125.4, 126.2, 126.6, 126.8, 127.4, 127.7, 128.3, 128.5, 128.6, 129.0, 130.1, 131.3, 131.7, 132.7, 133.3, 135.7, 135.9, 136.0, 137.3, 137.6, 138.5, 139.1, 195.8. Anal. calcd for C36H32N2O2S: C, 77.67; H, 5.79; N, 5.03. Found: C, 77.51; H, 5.91; N, 5.15%.
14-Hydroxy-8-(2-methoxylphenyl)-11-[(E)-(2-methoxylphenyl)methylidene]-6-thia-3,13-diazaheptacyclo[13.7.1.19,13.02,9.02,14.03,7.019,23]tetracosa-1(22),15(23),16,18,20-pentaen-10-one (6c) White solid, 84% (0.147 g), m.p. 175–177 °C, IR (KBr) υmax 3416, 1721, 1681, 1601 cm−1; 1H-NMR (300 MHz, CDCl3): δH 2.72–2.97 (m, 4H, H-4a, H-4b, H-24a and H-24b), 3.09 (d, J = 12.6 Hz, 1H, H-5a), 3.26 (d, J = 17.4 Hz, 1H, H-12a), 3.56 (s, 3H, OCH3), 3.62 (d, J = 17.4 Hz, 1H, H-12b), 3.92 (s, 3H, OCH3), 4.62 (d, J = 12.6 Hz, 1H, H-5b), 5.05 (d, J = 6.9 Hz, 1H, H-8), 5.96 (d, J = 6.9 Hz, 1H, H-7), 6.01 (d, J = 7.5 Hz, 1H, ArH), 6.51 (s, 1H, H-25), 6.55–6.62 (m, 2H, ArH), 6.90–7.59 (m, 9H, ArH), 7.66 (d, J = 6.6 Hz, 1H, ArH), 7.73 (d, J = 8.1 Hz, 1H, ArH); 13C-NMR (75 MHz, CDCl3): δc 33.7, 51.8, 52.9, 53.1, 55.2, 55.9, 57.5, 75.7, 76.9, 94.6, 103.5, 110.3, 111.9, 119.8, 121.2, 121.5, 123.3, 124.4, 125.2, 126.1, 126.5, 128.0, 128.4, 129.1, 129.9, 130.5, 131.2, 132.2, 133.0, 136.3, 137.3, 138.5, 157.7, 158.5, 195.9. Anal. calcd for C36H32N2O4S: C, 73.45; H, 5.48; N, 4.76. Found: C, 73.60; H, 5.32; N, 4.68%.
8-(2-Bromophenyl)-11-[(E)-(2-bromophenyl)methylidene]-14-hydroxy-6-thia-3,13-diazaheptacyclo[13.7.1.19,13.02,9.02,14.03,7.019,23]tetracosa-1(22),15(23),16,18,20-pentaen-10-one (6d) White solid, 92% (0.146 g), m.p. 172–174 °C, IR (KBr) υmax 3396, 1718, 1681, 1602 cm−1; 1H-NMR (300 MHz, CDCl3): δH 2.83–2.99 (m, 4H, H-4a, H-4b, H-24a and H-24b), 3.29 (d, J = 12.3 Hz, 1H, H-5a), 3.40 (d, J = 17.7 Hz, 1H, H-12a), 3.68 (dd, J = 17.7, 2.7 Hz, 1H, H-12b), 4.65 (d, J = 12.3 Hz, 1H, H-5b), 5.37 (d, J = 8.4 Hz, 1H, H-8), 5.41 (d, J = 8.7 Hz, 1H, H-7), 5.91–5.94 (m, 1H, ArH), 6.11 (brs, 1H, OH), 6.54 (s, 1H, H-25), 6.96–6.99 (m, 2H, ArH), 7.11–7.78 (m, 10H, ArH), 7.82 (d, J = 7.5 Hz, 1H, ArH); 13C-NMR (75 MHz, CDCl3): δc 33.4, 52.4, 53.1, 53.4, 57.4, 75.6, 79.2, 95.0, 103.4, 121.7, 124.1, 124.3, 126.6, 126.9, 127.2, 127.4, 127.8, 128.4, 128.6, 128.7, 129.3, 129.6, 130.1, 131.5, 133.0, 133.8, 134.5, 134.6, 135.2, 135.7, 136.7, 137.1, 138.3, 194.8. Anal. calcd for C34H26Br2N2O2S: C, 59.49; H, 3.82; N, 4.08. Found: C, 59.32; H, 3.73; N, 4.17%.
8-(2-Chlorophenyl)-11-[(E)-(2-chlorophenyl)methylidene]-14-hydroxy-6-thia-3,13-diazaheptacyclo[13.7.1.19,13.02,9.02,14.03,7.019,23]tetracosa-1(22),15(23),16,18,20-pentaen-10-one (6e) White solid, 87% (0.150 g), m.p. 134–136 °C, IR (KBr) υmax 3398, 1725, 1685, 1603 cm−1; 1H-NMR (300 MHz, CDCl3): δH 2.83–3.02 (m, 4H, H-4a, H-4b, H-24a and H-24b), 3.25 (d, J = 12.3 Hz, 1H, H-5a), 3.37 (d, J = 17.7 Hz, 1H, H-12a), 3.69 (dd, J = 17.7, 2.7 Hz, 1H, H-12b), 4.64 (dd, J = 12.3, 2.1 Hz, 1H, H-5b), 5.39 (d, J = 8.4 Hz, 1H, H-8), 5.49 (d, J = 8.1 Hz, 1H, H-7), 6.03–6.09 (m, 1H, ArH), 6.55 (s, 1H, H-25), 6.91–7.14 (m, 3H, ArH), 7.20–7.63 (m, 8H, ArH), 7.70 (d, J = 8.1 Hz, 1H, ArH), 7.81 (d, J = 7.8 Hz, 1H, ArH); 13C-NMR (75 MHz, CDCl3): δc 33.6, 52.1, 53.5, 53.7, 57.6, 75.5, 79.8, 95.2, 103.6, 121.6, 124.0, 124.2, 126.5, 126.9, 127.1, 127.5, 127.8, 128.2, 128.6, 128.8, 129.5, 129.8, 130.2, 131.7, 133.1, 133.6, 134.3, 134.5, 135.1, 135.8, 136.4, 137.3, 138.6, 194.3. Anal. calcd for C34H26Cl2N2O2S: C, 68.34; H, 4.39; N, 4.69. Found: C, 68.47; H, 4.30; N, 4.81%.
8-(2-Fluorophenyl)-11-[(E)-(2-fluorophenyl)methylidene]-14-hydroxy-6-thia-3,13-diazaheptacyclo[13.7.1.19,13.02,9.02,14.03,7.019,23]tetracosa-1(22),15(23),16,18,20-pentaen-10-one (6f) Pale yellow solid, 90% (0.163 g), m.p. 162–164 °C, IR (KBr) υmax 3418, 1724, 1690, 1599 cm−1; 1H-NMR (300 MHz, CDCl3): δH 2.77–3.01 (m, 4H, H-4a, H-4b, H-24a and H-24b), 3.13 (d, J = 12.6 Hz, 1H, H-5a), 3.24 (d, J = 17.7 Hz, 1H, H-12a), 3.65 (dd, J = 17.7, 2.1 Hz, 1H, H-12b), 4.53 (d, J = 12.6 Hz, 1H, H-5b), 4.98 (d, J = 7.2 Hz, 1H, H-8), 5.78 (d, J = 7.2 Hz, 1H, H-7), 5.96 (brs, 1H, OH), 6.17–6.24 (m, 2H, ArH and H-25), 6.77–6.86 (m, 2H, ArH), 7.08–7.32 (m, 5H, ArH), 7.54–7.64 (m, 5H, ArH), 7.80 (d, J = 7.8 Hz, 1H, ArH); 13C-NMR (75 MHz, CDCl3): δC 33.7, 50.4, 53.1, 53.4, 57.5, 57.6, 75.8, 94.7, 103.7, 115.5, 116.8, 121.6, 122.0, 123.6, 123.9, 124.2, 124.7, 126.3, 127.0, 128.0, 128.5, 129.7, 130.4, 130.5, 130.9, 131.2, 132.5, 135.2, 135.7, 137.3, 138.2, 160.2, 161.7, 195.7. Anal. calcd for C34H26F2N2O2S: C, 72.32; H, 4.64; N, 4.96. Found: C, 72.47; H, 4.52; N, 4.87%.
14-Hydroxy-8-(3-nitrophenyl)-11-[(E)-(3-nitrophenyl)methylidene]-6-thia-3,13-diazaheptacyclo[13.7.1.19,13.02,9.02,14.03,7.019,23]tetracosa-1(22),15(23),16,18,20-pentaen-10-one (6g) Dark brown solid, 89% (0.150 g), m.p. 180–182 °C, IR (KBr) υmax 3416, 1719, 1694, 1601 cm−1; 1H-NMR (400 MHz, CDCl3): δH 2.76–3.02 (m, 5H, H-4a, H-4b, H-5a, H-24a and H-24b), 3.31 (d, J = 17.6 Hz, 1H, H-12a), 3.67 (d, J = 17.6 Hz, 1H, H-12b), 4.36 (d, J = 12.0 Hz, 1H, H-5b), 4.97 (d, J = 7.2 Hz, 1H, H-8), 5.74 (d, J = 7.2 Hz , 1H, H-7), 6.15 (s, 1H, H-25), 6.71 (d, J = 7.2 Hz, 1H, ArH), 7.12 (s, 1H, ArH), 7.23–7.34 (m, 2H, ArH), 7.51–7.73 (m, 4H, ArH), 7.88 (d, J = 8.4 Hz, 1H, ArH), 7.93 (d, J = 8.0 Hz, 1H, ArH), 8.00 (d, J = 8.0 Hz, 1H, ArH), 8.17–8.24 (m, 2H, ArH), 8.46 (s, 1H, ArH); 13C-NMR (100 MHz, CDCl3): δC 34.0, 48.2, 52.9, 53.3, 53.6, 57.6, 75.5, 95.0, 103.9, 121.8, 123.0, 123.3, 123.8, 124.1, 124.5, 124.9, 126.2, 127.0, 128.1, 128.8, 129.3, 130.1, 131.2, 133.2, 133.8, 134.9, 135.6, 136.2, 136.5, 138.0, 139.4, 147.9, 148.7, 196.1. Anal. calcd for C34H26N4O6S: C, 66.01; H, 4.24; N, 9.06. Found: C, 66.15; H, 4.10; N, 9.21%.
8-(2,4-Dichlorophenyl)-11-[(E)-(2,4-dichlorophenyl)methylidene]-14-hydroxy-6-thia-3,13-diazaheptacyclo[13.7.1.19,13.02,9.02,14.03,7.019,23]tetracosa-1(22),15(23),16,18,20-pentaen-10-one (6h) Light brown solid, 91% (0.147 g), m.p. 146–147 °C, IR (KBr) υmax 3380, 1723, 1690, 1601 cm−1; 1H-NMR (400 MHz, CDCl3): δH 2.86–2.99 (m, 4H, H-4a, H-4b, H-24a, and H-24b), 3.21 (d, J = 12.0 Hz, 1H, H-5a), 3.33 (d, J = 18.0 Hz, 1H, H-12a), 3.66 (dd, J = 17.6, 2.8 Hz, 1H, H-12b), 4.59 (d, J = 12.4 Hz, 1H, H-5b), 5.30 (d, J = 8.4 Hz, 1H, H-8), 5.41 (d, J = 8.0 Hz 1H, H-7), 5.99 (d, J = 8.4 Hz 1H, ArH), 6.43 (s, 1H, H-25), 6.94 (dd, J = 8.4, 2.0 Hz, 1H, ArH), 7.15–7.28 (m, 2H, ArH), 7.37 (d, J = 8.8 Hz, 1H, ArH), 7.45 (d, J = 7.2 Hz, 1H, ArH), 7.51–7.62 (m, 4H, ArH), 7.71 (d, J = 8.4 Hz, 1H, ArH), 7.80 (dd, J = 6.4, 4.0 Hz, 1H, ArH); 13C-NMR (100 MHz, CDCl3): δC 33.5, 50.4, 52.7, 53.1, 57.4, 75.6, 78.7, 95.0, 103.5, 121.7, 124.1, 126.6, 126.7, 127.4, 127.5, 128.4, 128.7, 129.6, 129.8, 130.4, 130.9, 131.0, 131.3, 132.0, 133.6, 134.3, 134.6, 135.1, 135.2, 135.3, 136.9, 137.0, 138.1, 194.8. Anal. calcd for C34H24Cl4N2O2S: C, 61.28; H, 3.63; N, 4.20. Found: C, 61.15; H, 3.72; N, 4.35%.
14-hydroxy-8-(4-methylphenyl)-11-[(E)-(4-methylphenyl)methylidene]-6-thia-3,13-diazaheptacyclo[13.7.1.19,13.02,9.02,14.03,7.019,23]tetracosa-1(22),15(23),16,18,20-pentaen-10-one (6i) Orange solid, 92% (0.168 g), m.p. 190–192 °C, IR (KBr) υmax 3394, 1723, 1682, 1598 cm−1; 1H-NMR (300 MHz, CDCl3): δH 2.23 (s, 3H, CH3), 2.32 (s, 3H, CH3), 2.79–2.97 (m, 5H, H-4a, H-4b, H-5a, H-24a and H-24b), 3.40 (d, J = 17.4 Hz, 1H, H-12a), 3.67 (dd, J = 17.4, 2.8 Hz, 1H, H-12b), 4.23 (d, J = 12.3 Hz, 1H, H-5b), 4.87 (d, J = 7.2 Hz, 1H, H-8), 5.67 (d, J = 7.2 Hz, 1H, H-7), 6.29 (s, 1H, H-25), 6.36 (d, J = 8.1 Hz, 2H, ArH), 6.89 (d, J = 7.8 Hz, 2H, ArH), 7.15 (d, J = 8.1 Hz, 2H, ArH), 7.28–7.33 (m, 1H, ArH), 7.40 (d, J = 8.1 Hz, 2H, ArH), 7.52–7.61 (m, 4H, ArH), 7.72 (dd, J = 6.9, 1.8 Hz, 1H, ArH); 13C-NMR (75 MHz, CDCl3): δC 21.4, 21.7, 33.8, 53.1, 53.5, 53.7, 57.5, 75.0, 78.0, 95.0, 103.8, 121.6, 124.2, 126.3, 126.6, 128.1, 128.4, 128.9, 129.0, 129.7, 130.2, 131.2, 131.5, 132.3, 134.2, 136.1, 136.7, 137.2, 138.4, 139.2, 196.3. Anal. calcd for C36H32N2O2S: C, 77.67; H, 5.79; N, 5.03. Found: C, 77.84; H, 5.62; N, 5.16%.
14-Hydroxy-8-(4-methoxyphenyl)-11-[(E)-(4-methoxyphenyl)methylidene]-6-thia-3,13-diazaheptacyclo[13.7.1.19,13.02,9.02,14.03,7.019,23]tetracosa-1(22),15(23),16,18,20-pentaen-10-one (6j) White solid, 86% (0.150 g), m.p. 144–146 °C, IR (KBr) υmax 3398, 1719, 1681, 1600 cm−1; 1H-NMR (300 MHz, CDCl3): δH 2.80–2.99 (m, 5H, H-4a, H-4b, H-5a, H-24a and H-24b), 3.39 (d, J = 17.4 Hz, 1H, H-12a), 3.69 (dd, J = 17.4, 2.4 Hz, 1H, H-12b), 3.74 (s, 3H, OCH3), 3.79 (s, 3H, OCH3), 4.22 (d, J = 12.6, 2.1 Hz, 1H, H-5b), 4.85 (d, J = 7.5 Hz, 1H, H-8), 5.64 (d, J = 7.5 Hz, 1H, H-7), 5.95 (s, 1H, OH), 6.28 (s, 1H, H-25), 6.46 (d, J = 8.7 Hz, 2H, ArH), 6.62 (d, J = 8.7 Hz, 2H, ArH), 6.88 (d, J = 8.7 Hz, 2H, ArH), 7.27–7.35 (m, 1H, ArH), 7.43 (d, J = 8.7 Hz, 2H, ArH), 7.51–7.58 (m, 3H, ArH), 7.61 (d, J = 6.6 Hz, 1H, ArH), 7.71 (dd, J = 6.3, 2.7 Hz, 1H, ArH); 13C-NMR (75 MHz, CDCl3): δC 33.8, 53.1, 53.4, 53.5, 55.6, 55.7, 57.4, 74.9, 78.0, 95.0, 103.8, 113.8, 114.4, 121.6, 124.1, 126.3, 126.6, 127.0, 128.1, 128.4, 129.3, 130.0, 131.1, 131.2, 132.1, 136.1, 136.4, 137.2, 138.3, 159.2, 160.3, 196.3. Anal. calcd for C36H32N2O4S: C, 73.45; H, 5.48; N, 4.76. Found: C, 73.59; H, 5.32; N, 4.60%.
8-(4-Bromophenyl)-11-[(E)-(4-bromophenyl)methylidene]-14-hydroxy-6-thia-3,13-diazaheptacyclo[13.7.1.19,13.02,9.02,14.03,7.019,23]tetracosa-1(22),15(23),16,18,20-pentaen-10-one (6k) Brown solid, 90% (0.142 g ), m.p. 156–158 °C, IR (KBr) υmax 3390, 1723, 1681, 1603 cm−1; 1H-NMR (300 MHz, CDCl3): δH 2.83–2.95 (m, 5H, H-4a, H-4b, H-5a, H-24a and H-24b), 3.34 (d, J = 17.4 Hz, 1H, H-12a), 3.62 (d, J = 17.4, 2.1 Hz, 1H, H-12b), 4.20 (d, J = 12.6 Hz, 1H, H-5b), 4.83 (d, J = 7.2 Hz, 1H, H-8), 5.63 (d, J = 7.2 Hz, 1H, H-7), 6.17 (s, 1H, H-25), 6.27 (d, J = 8.4 Hz, 2H, ArH), 7.23 (d, J = 8.4 Hz, 2H, ArH), 7.32–7.41 (m, 3H, ArH), 7.49 (d, J = 8.4 Hz, 2H, ArH), 7.56–7.61 (m, 4H, ArH), 7.72–7.76 (m, 1H, ArH); 13C-NMR (75 MHz, CDCl3): δC 33.9, 53.1, 53.4, 53.5, 57.5, 75.1, 77.6, 95.0, 103.8, 121.8, 121.9, 123.3, 124.2, 126.4, 126.8, 128.3, 128.5, 130.7, 131.2, 131.4, 131.5, 132.2, 132.9, 133.5, 135.1, 135.8, 136.2, 137.1, 138.1, 196.1. Anal. calcd for C34H26Br2N2O2S: C, 59.49; H, 3.82; N, 4.08. Found: C, 59.40; H, 3.71; N, 4.24%.
8-(4-Chlorophenyl)-11-[(E)-(4-chlorophenyl)methylidene]-14-hydroxy-6-thia-3,13-diazaheptacyclo[13.7.1.19,13.02,9.02,14.03,7.019,23]tetracosa-1(22),15(23),16,18,20-pentaen-10-one (6l) Brown solid, 92% (0.160 g ), m.p. 164–166 °C, IR (KBr) υmax 3357, 1719, 1682, 1605 cm−1; 1H-NMR (400 MHz, CDCl3): δH 2.84–2.94 (m, 5H, H-4a, H-4b, H-5a, H-24a and H-24b), 3.35 (d, J = 17.6 Hz, 1H, H-12a), 3.63 (d, J = 17.6, 2.4 Hz, 1H, H-12b), 4.28 (d, J = 12.4 Hz, 1H, H-5b), 4.83 (d, J = 6.4 Hz, 1H, H-8), 5.65 (d, J = 6.4 Hz, 1H, H-7), 6.02 (s, 1H, OH), 6.15 (s, 1H, H-25), 6.71 (d, J = 7.6 Hz, 1H, ArH), 7.12 (s, 1H, ArH), 7.23–7.34 (m, 2H, ArH), 7.51–7.73 (m, 4H, ArH), 7.88 (d, J = 8.4 Hz, 2H, ArH), 7.93 (d, J = 8.0 Hz, 1H, ArH), 8.00 (d, J = 8.0 Hz, 1H, ArH), 8.17–8.24 (m, 2H, ArH ); 13C-NMR (100 MHz, CDCl3): δC 33.8, 52.7, 53.0, 53.3, 57.3, 75.2, 78.2, 94.7, 103.9, 121.4, 123.8, 126.1, 126.5, 127.9, 128.2, 128.3, 128.8, 130.3, 130.9, 131.0, 132.3, 133.2, 133.9, 134.4, 134.5, 135.9, 136.0, 136.9, 138.2, 196.1. Anal. calcd for C34H26Cl2N2O2S: C, 68.34; H, 4.39; N, 4.69. Found: C, 68.20; H, 4.57; N, 4.60%.
8-(4-Fluorophenyl)-11-[(E)-(4-fluorophenyl)methylidene]-14-hydroxy-6-thia-3,13-diazaheptacyclo[13.7.1.19,13.02,9.02,14.03,7.019,23]tetracosa-1(22),15(23),16,18,20-pentaen-10-one (6m) Light brown solid, 91% (0.165 g), m.p. 136–138 °C, IR (KBr) υmax 3424, 1723, 1682, 1598 cm−1; 1H-NMR (400 MHz, CDCl3): δH 2.85–2.99 (m, 5H, H-4a, H-4b, H-5a, H-24a and H-24b), 3.35 (d, J = 17.6 Hz, 1H, H-12a), 3.65 (dd, J = 17.6, 2.4 Hz, 1H, H-12b), 4.23 (dd, J = 12.8, 2.4 Hz, 1H, H-5b), 4.86 (d, J = 7.2 Hz, 1H, H-8), 5.64 (d, J = 7.6 Hz, 1H, H-7), 6.20 (s, 1H, H-25), 6.39–6.43 (m, 2H, ArH), 6.77–6.82 (m, 2H, ArH), 7.03–7.08 (m, 2H, ArH), 7.27–7.34 (m, 1H, ArH), 7.48–7.62 (m, 6H, ArH), 7.75 (dd, J = 6.4, 2.4, 1H, ArH); 13C-NMR (100 MHz, CDCl3): δC 33.9, 52.6, 53.1, 53.4, 57.6, 75.1, 77.9, 95.0, 103.8, 115.4, 115.9, 121.7, 124.1, 126.3, 126.8, 128.1, 128.4, 130.2, 130.6, 131.2, 131.9, 132.0, 133.1, 135.3, 135.9, 137.2, 138.1, 162.5, 162.9, 196.3. Anal. calcd for C34H26F2N2O2S: C, 72.32; H, 4.64; N, 4.96. Found: C, 73.45; H, 4.73; N, 4.82%.

4. Conclusions

An efficient three-component domino protocol has been achieved for the stereoselective synthesis of novel heptacyclic cage-like compounds in ionic liquid under microwave irradiation conditions. The similar reactivity found for azomethine ylides generated from thiazolidine-2-carboxylic acid and thiazolidine-4-carboxylic acid allowed discarding any influence on dipolar cycloadditions of the well-known [36] carbanion stabilization by adjacent sulfur effect. Further studies on the synthetic applications of this methodology with diverse 1,2-diketones and α-amino acids are currently under progress in our laboratories.

Supplementary Materials

Supplementary materials can be accessed at: https://www.mdpi.com/1420-3049/21/2/165/s1.

Acknowledgments

The authors acknowledge the Deanship of Scientific Research at King Saud University for Research Grant No. RGP-VPP-026.

Author Contributions

Raju Suresh Kumar, Abdulrahman I. Almansour, Natarajan Arumugam, Raju Ranjith Kumar and Hasnah Osman contributed to the design, synthesis and characterization of the final products. Mohammad Altaf contributed to the characterization of the final products. José Carlos Menéndez coordinated the work. The manuscript was written by Raju Suresh Kumar and José Carlos Menéndez.

Conflicts of Interest

The authors declare no conflict of interest.

References

  1. Snyder, S.A.; Breazzano, S.P.; Ross, A.G.; Lin, Y.; Zografos, A.L. Total synthesis of diverse carbogenic complexity within the resveratrol class from a common building block. J. Am. Chem. Soc. 2009, 131, 1753–1765. [Google Scholar] [CrossRef] [PubMed]
  2. Wender, P.A.; Gamber, G.G.; Hubbard, R.D.; Pham, S.M.; Zhang, L. Multicomponent cycloadditions: The four-component [5+1+2+1] cycloaddition of vinylcyclopropanes, alkynes, and CO. J. Am. Chem. Soc. 2005, 127, 2836–2837. [Google Scholar] [CrossRef] [PubMed]
  3. Trost, B.M. Atom economy—A challenge for organic synthesis: Homogeneous catalysis leads the way. Angew. Chem. Int. Ed. Engl. 1995, 34, 259–281. [Google Scholar] [CrossRef]
  4. Tietze, L.F.; Brazel, C.C.; Holsken, S.; Magull, J.; Ringe, A. Total synthesis of polyoxygenated cembrenes. Angew. Chem. Int. Ed. 2008, 47, 5246–5249. [Google Scholar] [CrossRef] [PubMed]
  5. Lu, M.; Zhu, D.; Lu, Y.; Hou, B.; Tan, B.; Zhong, G. Organocatalytic asymmetric alpha-aminoxylation/aza-Michael reactions for the synthesis of functionalized tetrahydro-1,2-oxazines. Angew. Chem. Int. Ed. 2008, 47, 10187–10191. [Google Scholar] [CrossRef] [PubMed]
  6. Tietze, L.F. Domino reactions in organic synthesis. Chem. Rev. 1996, 96, 115–136. [Google Scholar] [CrossRef] [PubMed]
  7. Schwier, T.; Sromek, A.W.; Chernyak, D.; Gevorgyan, V. Mechanistically diverse copper-, silver-, and gold-catalyzed acyloxy and phosphatyloxy migrations: Efficient synthesis of heterocycles via cascade migration/cycloisomerization approach. J. Am. Chem. Soc. 2007, 129, 9868–9878. [Google Scholar] [CrossRef] [PubMed]
  8. Waldmann, H.; Kuhn, M.; Liu, W.; Kumar, K. Reagent-controlled domino synthesis of skeletally-diverse compound collections. Chem. Commun. 2008, 1211–1213. [Google Scholar] [CrossRef] [PubMed]
  9. Tietze, L.F.; Haunert, F. Stimulating Concepts in Chemistry; Vögtle, F., Stoddart, J.F., Shibasaki, M., Eds.; Wiley-VCH: Weinheim, Germany, 2000; pp. 39–64. [Google Scholar]
  10. Gao, J.; Song, Q.-W.; He, L.-N.; Liu, C.; Yang, Z.-Z.; Han, X.; Li, X.-D.; Song, Q.-C. Preparation of polystyrene-supported Lewis acidic Fe(III) ionic liquid and its application in catalytic conversion of carbon dioxide. Tetrahedron 2012, 68, 3835–3842. [Google Scholar] [CrossRef]
  11. Narayana Kumar, G.G.K.S.; Aridoss, G.; Laali, K.K. Condensation of propargylic alcohols with indoles and carbazole in [bmim][PF6]/Bi(NO3)3·5H2O: A simple high yielding propargylation method with recycling and reuse of the ionic liquid. Tetrahedron Lett. 2012, 53, 3066–3069. [Google Scholar] [CrossRef]
  12. Isambert, N.; Duque, M.M.S.; Plaquevent, J.C.; Genisson, Y.; Rodriguez, J.; Constantieux, T. Multicomponent reactions and ionic liquids: A perfect synergy for eco-compatible heterocyclic synthesis. Chem. Soc. Rev. 2011, 40, 1347–1357. [Google Scholar] [CrossRef] [PubMed]
  13. Santagada, V.; Perissutti, E.; Caliendo, G. The application of microwave irradiation as new convenient synthetic procedure in drug discovery. Curr. Med. Chem. 2002, 9, 1251–1283. [Google Scholar] [CrossRef] [PubMed]
  14. Microwaves in Organic Synthesis; Loupy, A. (Ed.) Wiley-VCH: Weinheim, Germany, 2002.
  15. De la Hoz, A.; Díaz-Ortiz, A.; Moreno, A.; Langa, F. Cycloadditions under microwave irradiation conditions: Methods and applications. Eur. J. Org. Chem. 2000, 22, 3659–3673. [Google Scholar] [CrossRef]
  16. Geldenhuys, W.J.; Malan, S.F.; Bloomquist, J.R.; Marchand, A.P.; van der Schyf, C.J. Pharmacology and structure-activity relationships of bioactive polycyclic cage compounds: A focus on pentacycloundecane derivatives. Med. Res. Rev. 2005, 25, 21–48. [Google Scholar] [CrossRef] [PubMed]
  17. Han, Q.B.; Xu, H.X. Caged Garcinia xanthones: Development since 1937. Curr. Med. Chem. 2009, 16, 3775–3796. [Google Scholar] [CrossRef] [PubMed]
  18. Chi, Y.; Zhan, X.K.; Yu, H.; Xie, G.R.; Wang, Z.Z.; Xiao, W.; Wang, Y.G.; Xiong, F.X.; Hu, J.F.; Yang, L.; et al. An open-labeled, randomized, multicenter phase IIa study of gambogic acid injection for advanced malignant tumors. Chin. Med. J. (Engl.) 2013, 126, 1642–1646. [Google Scholar] [PubMed]
  19. Wang, J.; Zhao, L.; Hu, Y.; Guo, Q.; Zhang, L.; Wang, X.; Li, N.; You, Q. Studies on chemical structure modification and biology of a natural product, Gambogic acid (I): Synthesis and biological evaluation of oxidized analogues of gambogic acid. Eur. J. Med. Chem. 2009, 44, 2611–2620. [Google Scholar] [CrossRef] [PubMed]
  20. Suresh Kumar, R.; Almansour, A.I.; Arumugam, N.; Ali, M.A. An expedient synthesis and screening for antiacetylcholinesterase activity of piperidine-embedded novel pentacyclic cage compounds. Med. Chem. 2014, 10, 228–236. [Google Scholar] [CrossRef]
  21. Suresh Kumar, R.; Ali, M.A.; Osman, H.; Ismail, R.; Choon, T.S.; Yoon, Y.K.; Wei, A.C.; Pandian, S.; Manogaran, E. Synthesis and discovery of novel hexacyclic cage compounds as inhibitors of acetylcholinesterase. Bioorg. Med. Chem. Lett. 2011, 21, 3997–4000. [Google Scholar] [CrossRef] [PubMed]
  22. Suresh Kumar, R.; Osman, H.; Perumal, S.; Menéndez, J.C.; Ali, M.A.; Ismail, R.; Choon, T.S. A facile three-component [3+2]-cycloaddition/annulation domino protocol for the regio- and diastereoselective synthesis of novel penta- and hexacyclic cage systems, involving the generation of two heterocyclic rings and five contiguous stereocenters. Tetrahedron 2011, 67, 3132–3139. [Google Scholar] [CrossRef]
  23. Suresh Kumar, R.; Almansour, A.I.; Arumugam, N.; Menéndez, J.C.; Osman, H.; Ranjith Kumar, R. Dipolar cycloaddition-based multicomponent reactions in ionic liquids: A green, fully stereoselective synthesis of novel polycyclic cage systems with the generation of two new azaheterocyclic rings. Synthesis 2015, 47, 2721–2730. [Google Scholar] [CrossRef]
  24. Suresh Kumar, R.; Almansour, A.I.; Arumugam, N.; Basiri, A.; Kia, Y.; Ranjith Kumar, R. Ionic liquid-promoted synthesis and cholinesterase inhibitory activity of highly functionalized spiropyrrolidines. Aust. J. Chem. 2015, 68, 863–871. [Google Scholar] [CrossRef]
  25. Almansour, A.I.; Suresh Kumar, R.; Arumugam, N.; Basiri, A.; Kia, Y.; Ali, M.A.; Farooq, M.; Murugaiyah, V. A facile ionic liquid promoted synthesis, cholinesterase inhibitory activity and molecular modeling study of novel highly functionalized spiropyrrolidines. Molecules 2015, 20, 2296–2309. [Google Scholar] [CrossRef] [PubMed]
  26. Malathi, K.; Kanchithalaivan, S.; Ranjith Kumar, R.; Almansour, A.I.; Suresh Kumar, R.; Arumugam, N. Multicomponent [3+2] cycloaddition strategy: Stereoselective synthesis of novel polycyclic cage-like systems and dispiro compounds. Tetrahedron Lett. 2015, 56, 6132–6135. [Google Scholar] [CrossRef]
  27. Arumugam, N.; Almansour, A.I.; Suresh Kumar, R.; Menéndez, J.C.; Sultan, M.A.; Karama, U.; Ghabbour, H.A.; Fun, H.-K. An expedient regio- and diastereoselective synthesis of hybrid frameworks with embedded spiro[9,10]dihydroanthracene [9,3′]-pyrrolidine and spiro[oxindole-3,2′-pyrrolidine] motifs via an ionic liquid-mediated multicomponent reaction. Molecules 2015, 20, 16142–16153. [Google Scholar] [CrossRef] [PubMed]
  28. Almansour, A.I.; Suresh Kumar, R.; Arumugam, N.; Basiri, A.; Kia, Y.; Ali, M.A. An expedient synthesis, acetylcholinesterase inhibitory activity, and molecular modeling study of highly functionalized hexahydro-1,6-naphthyridines. BioMed. Res. Int. 2015, 2015, 965987. [Google Scholar] [CrossRef] [PubMed]
  29. Almansour, A.I.; Suresh Kumar, R.; Beevi, F.; Shirazi, A.N.; Osman, H.; Ismail, R.; Choon, T.S.; Sullivan, B.; McCaffrey, K.; Nahhas, A.; et al. Facile, regio- and diastereoselective synthesis of spiro-pyrrolidine and pyrrolizine derivatives and evaluation of their antiproliferative activities. Molecules 2014, 19, 10033–10055. [Google Scholar] [CrossRef] [PubMed]
  30. Kumar, R.S.; Ramar, A.; Perumal, S.; Almansour, A.I.; Arumugam, N.; Ali, M.A. Three-component synthesis and 1,3-dipolar cycloaddition of highly functionalized pyrans with nitrile oxides: Easy access to 1,2,4-oxadiazoles. Synth. Commun. 2013, 43, 2763–2772. [Google Scholar] [CrossRef]
  31. Arumugam, N.; Almansour, A.I.; Kumar, R.S.; Perumal, S.; Ghabbour, H.A.; Fun, H.-K. A 1,3-dipolar cycloaddition–annulation protocol for the expedient regio-, stereo- and product-selective construction of novel hybrid heterocycles comprising seven rings and seven contiguous stereocentres. Tetrahedron Lett. 2013, 54, 2515–2519. [Google Scholar] [CrossRef]
  32. Dimmock, J.R.; Padmanilayam, M.P.; Puthucode, R.N.; Nazarali, A.J.; Motaganahalli, N.L.; Zello, G.A.; Quail, J.W.; Oloo, E.O.; Kraatz, H.B.; Prisciak, J.S.; et al. A conformational and structure-activity relationship study of cytotoxic 3,5-bis(arylidene)-4-piperidones and related N-acryloyl analogues. J. Med. Chem. 2001, 44, 586–593. [Google Scholar] [CrossRef] [PubMed]
  33. Suresh Kumar, R.; Osman, H.; Abdul Rahim, A.S.; Hemamalini, M.; Fun, H.-K. 14-Hydroxy-11-[(E)-4-methoxybenzylidene]-8-(4-methoxyphenyl)-5-thia-3,13-diazaheptacyclo-[13.7.1.19,13.02,9.02,14.03,7.019,23]tetracosa-1(22),15(23),16,-18,20-pentaen-10-one. Acta Crystallogr. 2011, E67, o2881–o2882. [Google Scholar]
  34. Suresh Kumar, R.; Osman, H.; Almansour, A.I.; Arshad, S.; Razak, I.A. 11-[(E)-2-Fluorobenzylidene]-8-(2-fluorophenyl)-14-hydroxy-6-thia-3,13-diazaheptacyclo-[13.7.1.19,13.02,9.02,14.03,7.019,23]tetracosa-1(22),15(23),16,18,20-pentaen-10-one. Acta Crystallogr. 2012, E68, o2094–o2095. [Google Scholar]
  35. Haddad, S.; Boudriga, S.; Porzio, F.; Soldera, A.; Askri, M.; Knorr, M.; Rousselin, Y.; Kubicki, M.M.; Golz, C.; Strohmann, C. Regio- and stereoselective synthesis of spiropyrrolizidines and piperazines through azomethine ylide cycloaddition reaction. J. Org. Chem. 2015, 80, 9064–9075. [Google Scholar] [CrossRef] [PubMed]
  36. Bernasconi, C.F.; Kittredge, K.W. Carbanion stabilization by adjacent sulfur: Polarizability, resonance, or negative hyperconjugation? Experimental distinction based on intrinsic rate constants of proton transfer from (phenylthio)nitromethane and 1-nitro-2-phenylethane. J. Org. Chem. 1998, 63, 1944–1953. [Google Scholar] [CrossRef]
  • Sample Availability: Samples of the compounds are available from the authors.

Share and Cite

MDPI and ACS Style

Suresh Kumar, R.; Almansour, A.I.; Arumugam, N.; Altaf, M.; Menéndez, J.C.; Kumar, R.R.; Osman, H. A Sustainable Approach to the Stereoselective Synthesis of Diazaheptacyclic Cage Systems Based on a Multicomponent Strategy in an Ionic Liquid. Molecules 2016, 21, 165. https://doi.org/10.3390/molecules21020165

AMA Style

Suresh Kumar R, Almansour AI, Arumugam N, Altaf M, Menéndez JC, Kumar RR, Osman H. A Sustainable Approach to the Stereoselective Synthesis of Diazaheptacyclic Cage Systems Based on a Multicomponent Strategy in an Ionic Liquid. Molecules. 2016; 21(2):165. https://doi.org/10.3390/molecules21020165

Chicago/Turabian Style

Suresh Kumar, Raju, Abdulrahman I. Almansour, Natarajan Arumugam, Mohammad Altaf, José Carlos Menéndez, Raju Ranjith Kumar, and Hasnah Osman. 2016. "A Sustainable Approach to the Stereoselective Synthesis of Diazaheptacyclic Cage Systems Based on a Multicomponent Strategy in an Ionic Liquid" Molecules 21, no. 2: 165. https://doi.org/10.3390/molecules21020165

APA Style

Suresh Kumar, R., Almansour, A. I., Arumugam, N., Altaf, M., Menéndez, J. C., Kumar, R. R., & Osman, H. (2016). A Sustainable Approach to the Stereoselective Synthesis of Diazaheptacyclic Cage Systems Based on a Multicomponent Strategy in an Ionic Liquid. Molecules, 21(2), 165. https://doi.org/10.3390/molecules21020165

Article Metrics

Back to TopTop