Supercritical CO2 Foaming of Radiation Cross-Linked Isotactic Polypropylene in the Presence of TAIC
Abstract
:1. Introduction
2. Results and Discussion
2.1. Gel Content and Melt Flow Index Analyses
2.2. Melting Point and Crystallinity
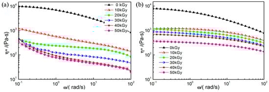
2.3. Dynamic Shear Rheological Properties
2.4. Morphology of Cross-Linked PP Foams
2.5. Morphology of Pristine PP Foams
2.6. Volume Expansion Ratio and Foaming Rate of PP Foam
2.7. Foaming Temperature Window of the Cross-Linked PP
2.8. Comparison of Pristine PP Foam and Cross-Linked PP Foam
3. Experimental Section
3.1. Materials
3.2. Sample Preparation
3.3. Gel Content Measurement
3.4. Melt Flow Index (MFI)
3.5. Melting Point and Crystallization
3.6. Rheological Characterization
3.7. Foaming Process
3.8. Morphology of Foam
4. Conclusions
Acknowledgments
Author Contributions
Conflicts of Interest
References
- Suh, K.W.; Park, C.P.; Maurer, M.J.; Tusim, M.H.; de Genova, R.; Broos, R.; Sophiea, D.P. Lightweight cellular plastics. Adv. Mater. 2000, 12, 1779–1789. [Google Scholar] [CrossRef]
- Kumar, V. Microcellula polymers—Novel materials for the 21st-century. Cell. Polym. 1993, 12, 207–223. [Google Scholar]
- Collias, D.I.; Baird, D.G.; Borggreve, R.J.M. Impact toughening of polycarbonate by microcellular foaming. Polymer 1994, 35, 3978–3983. [Google Scholar] [CrossRef]
- Xu, Z.M.; Jiang, X.L.; Liu, T.; Hu, G.H.; Zhao, L.; Zhu, Z.N.; Yuan, W.K. Foaming of polypropylene with supercritical carbon dioxide. J. Supercrit. Fluids 2007, 41, 299–310. [Google Scholar] [CrossRef]
- Pientka, Z.; Nemestothy, N.; Belafi-Bako, K. Application of polymeric foams for separation, storage and absorption of hydrogen. Desalination 2009, 241, 106–110. [Google Scholar] [CrossRef]
- Wu, D.C.; Xu, F.; Sun, B.; Fu, R.W.; He, H.K.; Matyjaszewski, K. Design and preparation of porous polymers. Chem. Rev. 2012, 112, 3959–4015. [Google Scholar] [CrossRef] [PubMed]
- Krause, B.; Sijbesma, H.J.P.; Munuklu, P.; van der Vegt, N.F.A.; Wessling, M. Bicontinuous nanoporous polymers by carbon dioxide foaming. Macromolecules 2001, 34, 8792–8801. [Google Scholar] [CrossRef]
- Doroudiani, S.; Park, C.B.; Kortschot, M.T. Effect of the crystallinity and morphology on the microcellular foam structure of semicrystalline polymers. Polym. Eng. Sci. 1996, 36, 2645–2662. [Google Scholar] [CrossRef]
- Wang, B.; Wang, M.; Xing, Z.; Zeng, H.; Wu, G. Preparation of radiation crosslinked foams from low-density polyethylene/ethylene-vinyl acetate (LDPE/EVA) copolymer blend with a supercritical carbon dioxide approach. J. Appl. Polym. Sci. 2013, 127, 912–918. [Google Scholar] [CrossRef]
- Nofar, M.; Ameli, A.; Park, C.B. Development of polylactide bead foams with double crystal melting peaks. Polymer 2015, 69, 83–94. [Google Scholar] [CrossRef]
- Nofar, M.; Park, C.B. Poly (lactic acid) foaming. Prog. Polym. Sci. 2014, 39, 1721–1741. [Google Scholar] [CrossRef]
- Keshtkar, M.; Nofar, M.; Park, C.B.; Carreau, P.J. Extruded PLA/clay nanocomposite foams blown with supercritical CO2. Polymer 2014, 55, 4077–4090. [Google Scholar] [CrossRef]
- Ameli, A.; Nofar, M.; Jahani, D.; Rizvi, G.; Park, C.B. Development of high void fraction polylactide composite foams using injection molding: Crystallization and foaming behaviors. Chem. Eng. J. 2015, 262, 78–87. [Google Scholar] [CrossRef]
- Li, Y.; Yao, Z.; Chen, Z.H.; Qiu, S.L.; Zeng, C.C.; Cao, K. High melt strength polypropylene by ionic modification: Preparation, rheological properties and foaming behaviors. Polymer 2015, 70, 207–214. [Google Scholar] [CrossRef]
- Vilaplana, F.; Morera-Escrich, V.; del Hierro-Navarro, P.; Monrabal, B.N.; Ribes-Greus, A. Performance of crystallization analysis fractionation and preparative fractionation on the characterization of gamma-irradiated low-density polyethylene. J. Appl. Polym. Sci. 2004, 94, 1803–1814. [Google Scholar] [CrossRef]
- Khonakdar, H.A.; Jafari, S.H.; Wagenknecht, U.; Jehnichen, D. Effect of electron-irradiation on cross-link density and crystalline structure of low- and high-density polyethylene. Radiat. Phys. Chem. 2006, 75, 78–86. [Google Scholar] [CrossRef]
- Hlangothi, S.P.; Krupa, I.; Djokovic, V.; Luyt, A.S. Thermal and mechanical properties of cross-linked and uncross-linked linear low-density polyethylene-wax blends. Polym. Degrad. STable 2003, 79, 53–59. [Google Scholar] [CrossRef]
- Sawasaki, T.; Nojiri, A. Radiation cross-linking of polypropylene. Radiat. Phys. Chem. 1988, 31, 877–886. [Google Scholar]
- Han, D.H.; Shin, S.H.; Petrov, S. Crosslinking and degradation of polypropylene by electron beam irradiation in the presence of trifunctional monomers. Radiat. Phys. Chem. 2004, 69, 239–244. [Google Scholar] [CrossRef]
- Zhao, T.B.; Wu, H.; Guo, S.Y.; Sun, X.J.; Liang, W.B. Morphology and properties of polypropylene foaming sheet with alternating multilayered structure. Polym. Plast. Technol. Eng. 2015, 54, 899–906. [Google Scholar] [CrossRef]
- Wang, M.Y.; Xie, L.S.; Qian, B.; Ma, Y.L.; Zhou, N.Q. Extrusion foaming behavior of a polypropylene/nanoclay microcellular foam. J. Appl. Polym. Sci. 2016, 133. [Google Scholar] [CrossRef]
- Yousefian, H.; Rodrigue, D. Nano-crystalline cellulose, chemical blowing agent, and mold temperature effect on morphological, physical/mechanical properties of polypropylene. J. Appl. Polym. Sci. 2015, 132. [Google Scholar] [CrossRef]
- Shukushima, S.; Hayami, H.; Ito, T.; Nishimoto, S. Modification of radiation cross-linked polypropylene. Radiat. Phys. Chem. 2001, 60, 489–493. [Google Scholar] [CrossRef]
- Xing, Z.; Wu, G.; Huang, S.; Chen, S.; Zeng, H. Preparation of microcellular cross-linked polyethylene foams by a radiation and supercritical carbon dioxide approach. J. Supercrit. Fluids 2008, 47, 281–289. [Google Scholar] [CrossRef]
- Liang, M.T.; Wang, C.M. Production of engineering plastics foams by supercritical CO2. Ind. Eng. Chem. Res. 2000, 39, 4622–4626. [Google Scholar] [CrossRef]
- Yao, Z.; Lu, Z.Q.; Zhao, X.; Qu, B.W.; Shen, Z.C.; Cao, K. Synthesis and characterization of high-density polypropylene-grafted polyethylene via a macromolecular reaction and Its rheological behavior. J. Appl. Polym. Sci. 2009, 111, 2553–2561. [Google Scholar] [CrossRef]
- Wang, H.; Xu, L.; Li, R.; Hu, J.; Wang, M.; Wu, G. Improving the creep resistance and tensile property of UHMWPE sheet by radiation cross-linking and annealing. Radiat. Phys. Chem. 2016, 125, 41–49. [Google Scholar] [CrossRef]
- Li, J.X.; Zhang, C.; Chen, T.; Li, L.F.; Li, J.Y. Irradiation and flame retardant effect of poly bis(phenoxyphosphazene) and magnesium hydroxide in LDPE composites. Nucl. Sci. Tech. 2015, 26. [Google Scholar] [CrossRef]
- Velasco, J.I.; Morhain, C.; Martinez, A.B.; Rodriguez-Perez, M.A.; de Saja, J.A. The effect of filler type, morphology and coating on the anisotropy and microstructure heterogeneity of injection-moulded discs of polypropylene filled with aluminium and magnesium hydroxides. Part 2. Thermal and dynamic mechanical properties. Polymer 2002, 43, 6813–6819. [Google Scholar] [CrossRef]
- Lee, S.; Zhu, L.; Maia, J. The effect of strain-hardening on the morphology and mechanical and dielectric properties of multi-layered PP foam/PP film. Polymer 2015, 70, 173–182. [Google Scholar] [CrossRef]
- Kong, W.-L.; Bao, J.-B.; Wang, J.; Hu, G.-H.; Xu, Y.; Zhao, L. Preparation of open-cell polymer foams by CO2 assisted foaming of polymer blends. Polymer 2016, 90, 331–341. [Google Scholar] [CrossRef]
- Li, D.C.; Liu, T.; Zhao, L.; Yuan, W.K. Solubility and Diffusivity of Carbon Dioxide in Solid-State Isotactic Polypropylene by the Pressure-Decay Method. Ind. Eng. Chem. Res. 2009, 48, 7117–7124. [Google Scholar] [CrossRef]
- Huang, S.; Wu, G.; Chen, S. Preparation of open cellular PMMA microspheres by supercritical carbon dioxide foaming. J. Supercrit. Fluids 2007, 40, 323–329. [Google Scholar] [CrossRef]
- Yang, C.; Zhe, X.; Zhang, M.; Wang, M.; Wu, G. Radiation effects on the foaming of atactic polypropylene with supercritical carbon dioxide. Radiat. Phys. Chem. 2017, 131, 35–40. [Google Scholar] [CrossRef]
- Guo, H.M.; Nicolae, A.; Kumar, V. Solid-state microcellular and nanocellular polysulfone foams. J. Polym. Sci. Part B Polym. Phys. 2015, 53, 975–985. [Google Scholar] [CrossRef]
- Sample Availability: Samples of the compounds are available from the authors.










| Dose (kGy) | Pristine PP | PP/TAIC | ||
|---|---|---|---|---|
| Xc (%) | Tm (°C) | Xc (%) | Tm (°C) | |
| 0 | 58.1 | 169.1 | 61.8 | 171.0 |
| 10 | 49.7 | 166.7 | 41.5 | 168.4 |
| 20 | 43.5 | 164.9 | 41.2 | 167.5 |
| 30 | 42.6 | 164.9 | 34.9 | 166.7 |
| 40 | 46.6 | 164.2 | 32.4 | 165.1 |
| 50 | 41.8 | 163.5 | 33.7 | 164.0 |
© 2016 by the authors. Licensee MDPI, Basel, Switzerland. This article is an open access article distributed under the terms and conditions of the Creative Commons Attribution (CC-BY) license ( http://creativecommons.org/licenses/by/4.0/).
Share and Cite
Yang, C.-G.; Wang, M.-H.; Zhang, M.-X.; Li, X.-H.; Wang, H.-L.; Xing, Z.; Ye, L.-F.; Wu, G.-Z. Supercritical CO2 Foaming of Radiation Cross-Linked Isotactic Polypropylene in the Presence of TAIC. Molecules 2016, 21, 1660. https://doi.org/10.3390/molecules21121660
Yang C-G, Wang M-H, Zhang M-X, Li X-H, Wang H-L, Xing Z, Ye L-F, Wu G-Z. Supercritical CO2 Foaming of Radiation Cross-Linked Isotactic Polypropylene in the Presence of TAIC. Molecules. 2016; 21(12):1660. https://doi.org/10.3390/molecules21121660
Chicago/Turabian StyleYang, Chen-Guang, Mou-Hua Wang, Ming-Xing Zhang, Xiao-Hu Li, Hong-Long Wang, Zhe Xing, Lin-Feng Ye, and Guo-Zhong Wu. 2016. "Supercritical CO2 Foaming of Radiation Cross-Linked Isotactic Polypropylene in the Presence of TAIC" Molecules 21, no. 12: 1660. https://doi.org/10.3390/molecules21121660
APA StyleYang, C.-G., Wang, M.-H., Zhang, M.-X., Li, X.-H., Wang, H.-L., Xing, Z., Ye, L.-F., & Wu, G.-Z. (2016). Supercritical CO2 Foaming of Radiation Cross-Linked Isotactic Polypropylene in the Presence of TAIC. Molecules, 21(12), 1660. https://doi.org/10.3390/molecules21121660
