Abstract
Two novel and convenient routes to obtain enantiomerically enriched trans-β-aryl-δ-hydroxy-γ-lactones 5a–d with potential antifeedant and anticancer activity were developed. In the first method starting from corresponding enantiomers of γ,δ-unsaturated esters 4a–d derived from enzymatically resolved allyl alcohols 1a–d, both enantiomers of hydroxylactones 5a–d were synthesized with high enantiomeric excesses (73%–97%). Configurations of the stereogenic centers of the synthesized compounds were assigned based on the mechanism of acidic lactonization of esters 4a–d in the presence of m-chloroperbenzoic acid (m-CPBA). An alternative method for the production of optically active trans-β-aryl-δ-hydroxy-γ-lactones 5a–d was lipase-catalyzed kinetic resolution of their racemic mixtures by transesterification with vinyl propionate as the acyl donor. The most efficient enzyme in the screening procedure was lipase B from Candida antarctica. Its application on a preparative scale after 6 h afforded unreacted (+)-(4S,5R,6S)-hydroxylactones 5a–d and (+)-(4R,5S,6R)-propionates 6a–d, most of them with high enantiomeric excesses (92%–98%). Resolution of lactone 5d with bulky 1,3-benzodioxol ring provided products with significantly lower optical purity (ee = 89% and 84% for hydroxylactone 5d and propionate 6d, respectively). The elaborated methods give access to both enantiomers of trans-β-aryl-δ-hydroxy-γ-lactones 5a–d with the defined absolute configurations of stereogenic centers, which is crucial requirement for the investigations of relationship: spatial structure–biological activity.
1. Introduction
Lactones with an aromatic substituent are widely present in the plant kingdom. They are isolated from roots, tubers, knots, stalks, seeds and fruits [1,2,3] and have also been found in mushrooms and cyanobacteria [4,5]. They are reported to display a wide variety of biological activities such as anticancer [6,7], antioxidant [8,9], antifungal [10,11], antiviral [12,13], anti-inflammatory [14], antifeedant [15], anticonvulsant [16] and phytoestrogenic [17,18].
Optically active lactones are of high importance due to their application as building blocks in natural therapeutic compounds [19,20] and the well-known relationship between the configuration of stereogenic centers and their biological activity [21,22]. Therefore, there is a growing need to develop new methods for the synthesis of enantiomerically enriched lactones. These strategies involve i.a. alkylation of chiral precursors [23,24], catalytic asymmetric hydrogenation of butenolides [25], kinetic resolution of lactone precursors by hydrolysis of ester bond [26,27] and different whole-cell mediated reactions including reduction of unsaturated formyl esters [28], stereoselective reduction of a carbonyl group in γ-acetyl-γ-lactones [29] and enantioselective hydrolysis of nitriles [30].
With regard to these reports, we have taken up research on the synthesis of a series of racemic γ-lactones with various β-phenyl substituents at the lactone ring [31,32,33,34,35]. We have also developed convenient chemoenzymatic methods for the synthesis of optically active iodolactones with antiproliferative activity starting from enantiomerically enriched allyl alcohols with 4-arylbut-3-en-2-ol system as chiral precursors [36,37,38]. In this paper, we would like to present two novel, alternative methods for the production of optically active trans-β-aryl-δ-hydroxy-γ-lactones. One of these methods involves the application of chiral precursors, and an alternative method is based on lipase-catalyzed kinetic resolution of racemic mixtures in the transesterification process.
2. Results and Discussion
In our previous paper [33] using methodology reported earlier by Gowri-Shankar [39], we reported the synthesis of racemic trans-δ-hydroxy-γ-lactones 5a–d as the main products of lactonization of corresponding of γ,δ-unsaturated esters 4a–d. Because of their proven biological activities, i.e., antifeedant and antiproliferative, we decided to evaluate methods for the production of these compounds in an optically active form.
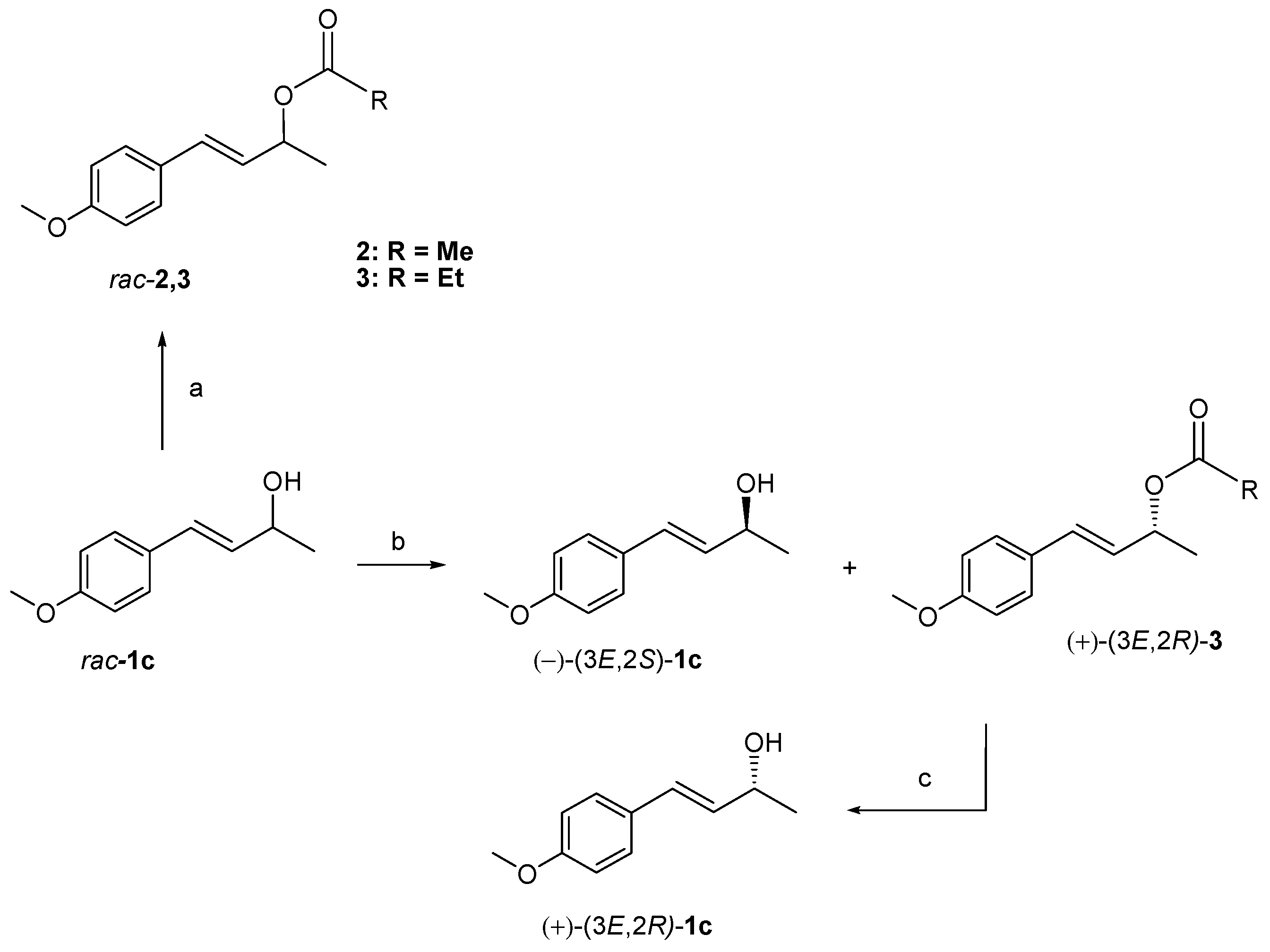
The first elaborated method was based on the lactonization of chiral precursors, enantiomerically enriched γ,δ-unsaturated esters 4a–d in the presence of m-CPBA. These precursors are products of the stereoselective Claisen–Johnson rearrangement of enzymatically resolved allyl alcohols 1a–d. During this reaction, a complete transfer of chirality from atom C-2 of alcohols to the benzylic position C-3 of ester is observed. The details of this two-step synthesis involving lipase-catalyzed enzymatic resolution of allyl alcohols 4a,b,d and their orthoester Claisen rearrangement were reported earlier for synthesis of enantiomeric pairs of esters with unsubstituted phenyl ring (4a), p-methylphenyl substituent (4b) and 1,3-benzodioxol ring (4d) [36,38]. In order to obtain both enantiomers of ester 4c with p-methoxyphenyl substituent, a kinetic resolution of racemic alcohol 1c via transesterification process catalyzed by lipase B from C. antarctica (CAL-B) was applied (Scheme 1). Reaction was monitored by chiral GC after derivatization of unreacted alcohol into acetate. Standards used in this analysis—racemic acetate 2 and propionate 3—were synthesized by the esterification of rac-1c with acetyl and propionyl chloride, respectively (Section 3.3).
Scheme 1.
Enzymatic resolution of racemic 4-(4’-methoxyphenyl)but-3-en-2-ol and synthesis of racemic esters 2,3. Reagents and conditions: (a) MeC(O)Cl or EtC(O)Cl, Et2O, pyridine, 0 °C to r.t., 24 h; (b) CAL-B, vinyl propionate, DIPE, r.t., 4 h; and (c) 5% NaOH, reflux, 3 h.
Vinyl propionate was used as the acyl donor because it was successfully used in the resolution of analogs of 1c with 4-phenylbut-3-en-2-ol system [36,37,38]. After 4 h (−)-(3E,2S)-4-(4′-methoxyphenyl)but-3-en-2-ol (1c) and its propionate (+)-(3E,2R)-3 were obtained in 45% and 43% yield and 78% and 82% ee, respectively. Products were separated by column chromatography. The configuration S of slowly reacting enantiomer of alcohol 1c was confirmed by the negative specific rotation sign corresponding with that reported in the literature for the known (S)-alcohol [40]. Consequently, the configuration of propionate (+)-3, product of faster reacting enantiomer of alcohol 1c, was assigned as R. Propionate (+)-(3E,2R)-3, which was not previously obtained in optically active form, was subsequently hydrolyzed under basic conditions to (+)-(3E,2R)-alcohol 1c (yield 98%, ee = 82%). Enantiomerically enriched alcohols (−)-(3E,2S)-1c and (+)-(3E,2R)-1c were subjected to Johnson–Claisen rearrangement. As expected, the reactions proceeded with complete retention of configuration of both stereogenic center and double bond. In the result, respective enantiomers of ester 4c: (+)-(4E,3S) and (−)-(4E,3R) with exactly the same enantiomeric excesses as starting alcohols were obtained as the only products (Scheme 2).
Scheme 2.
Synthesis of optically active hydroxylactones 5a−d from enantiomerically enriched alcohols 1a−d. Reagents and conditions: (a) CH3C(OEt)3, propionic acid, 138 °C, 24 h; and (b) m-CPBA, CF3COOH, CHCl3, 24 h.
Both enantiomeric forms of four γ,δ-unsaturated esters 4a–d were subjected to lactonization with m-CPBA and catalytic amount of trifluoroacetic acid (Scheme 2).
During the reaction two epoxyesters, threo and erythro are formed and four possible lactones could be the final products: two γ-lactones and two δ-lactones (Figure S1). Unfortunately, similarly to the reaction carried out earlier for racemic compounds [33], δ-lactones were isolated as the unseparable mixture of stereoisomers. cis γ-Lactones formed from erythro epoxyesters were not isolated and the only isomers isolated in pure form were trans γ-lactones 5a–d, which are the products of lactonization of threo epoxyesters. Advantageous formation of trans isomers 5a–d over the cis isomers can be explained by the fact that in threo epoxyesters oxygen of the epoxide ring is less hindered by large aromatic substituent compared with erythro epoxyesters (Scheme 3).
Scheme 3.
Formation of two epoxyesters from esters (4E,3S)-4a–d and mechanism of acidic lactonization of favoured threo isomer showing the configurations of stereogenic centers of isolated trans-δ-hydroxy-γ-lactones 5a–d.
Chiral GC analysis indicated that enantiomeric excesses of lactones 5a–d corresponded with those determined earlier for starting esters 4a–d and ranged from 73% to 90% in the case of hydroxylactones obtained from (S)-esters 4a–d and 82%–97% for their antipodes synthesized from (R)-esters 4a–d. The important challenge was the assignment of the configurations of stereogenic centers at C-4, C-5 and C-6 for newly synthesized enantiomers, which was made based on the mechanism of acidic lactonization (Scheme 3). Monitoring the composition of the reaction mixture did not show the presence of possible intermediate diolester, which excluded the opening of epoxide ring by water and confirmed the mechanism of lactonization proposed by Olejniczak et al. [41]. This mechanism involves the protonation of an oxirane ring followed by its nucleophilic opening by the attack of an oxygen from carboethoxy group with the simultaneous formation of hydroxy group. In the next step of reaction, nucleophilic addition of water to carboethoxy group takes place with subsequent release of the ethanol. Considering lactonization of (S)-esters 4a–d (Scheme 3), the configuration R at C-4 of forming trans-(−)-δ-hydroxy-γ-lactones 5a–d is the result of the configuration of starting ester, and its apparent change is only the result of different priority of substituents after formation of oxirane ring. The configurations S at C-5 and R at C-6 are the consequence of stereochemical course of reaction in which the carboethoxy group approaches the C-5 atom from the opposite side of the oxirane ring. Thus, the C-O bond of the γ-lactone ring and hydroxy group are oriented antiperiplanary. Similar reasoning let us assign the configuration of (+)-δ-hydroxy-γ-lactones 5a–d formed from (R)-esters 4a–d as 4S,5R and 6S. The presented stereochemical course of reaction was earlier confirmed for the products of lactonization of ethyl esters of 3,7-dimethyl-4,5-epoxyoctanoic acid and its 7-methyl homolog, in which the configurations of stereocenters were determined by CD (Circular Dichroism) measurements [42].
The alternative method for the production of trans-β-aryl-δ-hydroxy-γ-lactones 5a–d in enantiomerically enriched form was kinetic resolution of their racemic forms synthesized previously [33]. Due to the large difference in sizes of two substituents at the stereogenic center C-6 joined with a secondary hydroxy group, the hydroxylactones 5a–d seemed to be excellent substrates for the lipase-catalyzed transesterification [43,44], and high enantiomeric excesses of the products were expected. In the screening procedure, racemic trans-β-phenyl-δ-hydroxy-γ-lactone 5a as a model substrate was subjected to the action of four commercially available lipases in the presence of vinyl propionate as the acyl donor (Scheme 4). The reaction was conducted in diisopropyl ether (DIPE) and monitored by chiral gas chromatography with racemic lactones 5a–d [33] and racemic propionates 6a–d (Section 3.3) as the standards. The results are shown in Table 1.
Scheme 4.
Enzymatic resolution of racemic hydroxylactones 5a−d. Reagents and conditions: (a) EtC(O)Cl, Et2O, pyridine, 0 °C to r.t., 24 h; and (b) CAL-B, vinyl propionate, DIPE, r.t., 2 h.
Table 1.
Results of enzymatic transesterification of rac-δ-hydroxy-γ-lactone 5a with vinyl propionate.
The most effective biocatalyst was CAL-B. At 49% conversion after 1 h of the reaction catalyzed by this enzyme, the enantiomeric excesses of the slower reacting (+)-enantiomer of δ-hydroxy-γ-lactone 5a and its propionate (+)-6a were 96% and 99% respectively. Continuing the process, a slight decrease of ee for (+)-propionate 6a was observed, reaching 96% after 6 h, whereas ee of hydroxylactone 5a raised to 99%. Good results were achieved for Lipozyme TL IM (Thermomyces lanuginosus lipase) as well, but the transesterification proceeded at a lower rate. After 6 h, the 53% conversion was observed. During this period, the enantiomeric excess of unreacted (+)-hydroxylactone 5a gradually increased from 12% to 91%, whereas the optical purity of (+)-propionate 6a decreased from 99% to 80%. High enantioselectivity (E > 200) was found for Amano PS (lipase from Burkholderia cepacia). In this case, high enantiomeric enrichment of (+)-propionate 6a was found (ee = 99%), but the ee of unreacted (+)-hydroxylactone 5a even after 6 h was unsatisfactory (65%). After 6 h of the process catalyzed by CCL low (ee = 55%) and moderate (ee = 71%), enantiomeric purity of substrate 5a and ester 6a, respectively, was observed at the 44% conversion. For all enzymes, prolonging reaction time affected neither conversion nor enantiomeric composition of the products.
Taking into consideration the highest enantiomeric excesses obtained after 6 h for both hydroxylactone 5a and propionate 6a, CAL-B was selected as the biocatalyst for the kinetic resolution of hydroxylactones 5a–d on a preparative scale (Table 2). After 6 h of reaction, the conversion of the substrates in all cases was 50%–52%. The unreacted substrates 5a–d and their propionates 6a–d were separated by column chromatography in yields ranging from 34% to 45%, respectively, which is a very satisfactory result for kinetic resolution. (+)-δ-Hydroxy-γ-lactone 5a with unsubstituted phenyl ring and its (+)-propionate 6a were obtained with a very high enantiomeric excesses, 99% and 92%, respectively. Taking into consideration the increasing size of an aryl substituent at β-position in substrates 5b–d, comparably high enantioselectivity of the kinetic resolution was expected. It was confirmed in the case of (+)-hydroxylactones with p-methylphenyl- and p-methoxyphenyl ring (5b and 5c) (ee = 99% and 98%, respectively) and their corresponding (+)-propionates 6b and 6c (ee = 91% and 98%, respectively). The presence of additional 1,3-benzodioxol ring condensed with benzene resulted in the lowest effectiveness of kinetic resolution for hydroxylactone 5d, of which (+)-enantiomer was obtained with ee = 89%. Optical purity of its (+)-propionate 6d was comparably low (ee = 84%). A similar effect of the 1,3-benzodioxol ring on the enantioselectivity of lipase-catalyzed transesterification with vinyl propionate was also reported for allyl alcohol 1d [37]. It is likely that the steric hindrance in the molecules alcohol 1d and hydroxylactone 5d impedes the binding of these substrates to the active site of the lipase.
Table 2.
Results of CAL-B-catalyzed preparative transesterification of rac-δ-hydroxy-γ-lactones 5b–d with vinyl propionate after 6 h of process.
Comparison of the specific rotation signs of slowly transesterified δ-hydroxy-γ-lactones 5a–d and those found for isomers with defined absolute configurations synthesized earlier from (R)- and (S)-esters 4a–d let us establish undoubtedly the absolute configurations of both products of enzymatic transesterification. Slowly reacting (+)-δ-hydroxy-γ-lactones 5a–d possessed configurations 4S,5R,6S, and opposite configurations 4R,5S,6R were consequently ascribed to (+)-propionates 6a–d. The configuration of these products at C-6 is consistent with that predicted based on the Kazlauskas’ rule. In this case, taking into consideration that the order of substituents at stereogenic center C-6 follows the rule: OH > large substituent (β-aryl substituted γ-lactone ring) > medium substituent (methyl group), lipases preferentially catalyze the esterification of isomers with configuration 6R, leaving those with 6S configuration untouched.
3. Experimental Section
3.1. General
Analytical thin layer chromatography (TLC) was performed on silica gel-coated aluminum plates (DC-Alufolien Kieselgel 60 F254, Merck, Darmstadt, Germany), and the chromatograms were developed using hexane/acetone mixture (4:1, v/v) as the developing system. Compounds were detected by submersing the plates in a solution of 2 g H3[P(Mo3O10)4] and 1 g Ce(SO4)2 in 100 mL 10% H2SO4.
The course of reactions was monitored by gas chromatography (GC) on Agilent Technologies (Palo Alto, CA, USA) 6890N with hydrogen as the gas carrier and autosampler instrument using DB-5HT column (polyimide-coated fused silica tubing, 30 m × 0.25 mm × 0.10 µm). The temperature programme was as follows: injector 220 °C, detector (FID) 330 °C, initial column temperature column 90 °C, 90–330 °C (rate 20 °C·min−1), final column temperature 330 °C (hold 2 min).
Enantiomeric compositions of synthesized compounds were determined by chiral gas chromatography (CGC, Agilent Technologies) using CP (Chrompack)-Chiral-Dex CB (Cyclodextrin Beta) column (25 m × 0.25 mm × 0.25 μm, Varian, Palo Alto, CA, USA). The temperature programme was as follows: injector 260 °C, detector (FID) 280 °C; for acetate 2 and propionate 2: initial column temperature 80 °C, 80–200 °C (5 °C·min−1), final column temperature 200 °C (1 min); for esters 4a–d: initial column temperature 50 °C, 80–200 °C (0.5 °C·min−1), final column temperature 200 °C (1 min); for hydroxylactones 5a–d and the propionates 6a–d: initial column temperature: 80 °C, 80–200 °C (3 °C·min−1), final column temperature 200 °C (1 min). Racemic acetate 2 and racemic propionates 3 and 6a–d were used as standards.
Products of synthesis and enzymatic reactions were separated by preparative column chromatography on silica gel (Kieselgel 60, 230–400 mesh, Merck) using mixtures of various organic solvents as a mobile phase.
The NMR spectra (1H-NMR, 13C-NMR, HMBC and HMQC) were recorded in a CDCl3 solution on a Bruker Avance II 600 MHz spectrometer (Bruker, Rheinstetten, Germany). The IR spectra were determined using a Mattson IR 300 Thermo Nicolet spectrophotometer (Mattson, Waltham, MA, USA) using KBr pellets or as neats. High resolution mass spectra (HRMS) were recorded using electron spray ionization (ESI) technique on spectrometer Waters ESI-QTOF Premier XE (Waters Corp., Millford, MA, USA). The optical rotations were measured on a Jasco P-2000-Na digital polarimeter (Easton, PA, USA) with an intelligent Remote Module (iRM) controller. The indexes of refraction were measured on an Abbe refractometer (Carl Zeiss, Jena, Germany). Melting points were determined on Boetius apparatus (Nagema, Germany).
3.2. Chemicals and Enzymes
Diisopropyl ether (purity ≥ 98.5%), propionyl chloride (purity 99%), acetyl chloride (purity ≥ 99%), vinyl propionate (purity 98%), triethyl orthoacetate (purity 97%), 3-chloroperbenzoic acid (purity ≤ 77%), trifluoroacetic acid (purity 99%) and diatomaceous earth (Celite 560) were purchased from Sigma-Aldrich (St. Louis, MO, USA). Analytical grade chemicals: propionic acid, sodium hydrogen carbonate, sodium hydroxide, anhydrous magnesium sulphate, sodium chloride and hydrochloric acid (35%–37%) and organic solvents of analytical grade were purchased from POCH (Gliwice, Poland). Racemic trans-β-aryl-δ-hydroxy-γ-lactones (5a–d) were synthesized from corresponding racemic γ,δ-unsaturated ethyl esters 4a–d as described previously [33]. Racemic (E)-4-(4′-methoxyphenyl)but-3-en-2-ol (1c) was obtained from anisaldehyde according to the procedure described by Mazur et al. [31]. Enantiomerically enriched esters: (S)-4a (ee = 90%) and (R)-4a (ee = 97%), (S)-4b (ee = 83%) and (R)-4b (ee = 87%), (S)-4d (ee = 73%) and (R)-4d (ee = 82%) were obtained according to the procedures described by Gładkowski et al. [36,38]. Amano Lipase PS from Burkholderia cepacia (≥30,000 U/g), lipase B from Candida antarctica immobilized in a macroporous acrylic resin (CAL-B > 5000 U/g), lipase from Candida cylindracea (CCL, 5.18 U/mg) were purchased from Sigma-Aldrich and immobilized granulate Thermomyces lanuginosus lipase (Lipozyme TL IM, 250 U/g) from Novozymes (Bagsvaerd, Denmark).
3.3. General Procedure for the Synthesis of Racemic Esters 2, 3 and 6a–d
Racemic allyl alcohol 1c and racemic β-aryl-δ-hydroxy-γ-lactones (5a–d) (0.003 mol) were esterified according to the standard procedure [37] using propionyl chloride or acetyl chloride in dry diethyl ether and dry pyridine (Scheme 1).
(E)-4-(4′-Methoxyphenyl)but-3-en-2-yl acetate 2. Yield 83% (0.55 g); = 1.5439; spectroscopic data in accordance with those reported earlier [40].
(E)-4-(4′-Methoxyphenyl)but-3-en-2-yl propionate 3. Yield 85% (0.6 g); = 1.5263; IR (film, cm−1): 1732 (s), 1608 (s), 1512 (s) 1249 (s), 1187 (s), 1036 (s), 968 (m), 808 (m); 1H-NMR (300 MHz, CDCl3) δ: 1.15 (t, J = 7.8 Hz, 3H, CH3CH2C(O)), 1.39 (d, J = 6.3 Hz, 3H, CH3-1), 2.34 (quartet, J = 7.8 Hz, 2H, CH3CH2C(O)), 3.80 (s, 3H, –OCH3), 5.52 (m, 1H, H-2), 6.05 (dd, J = 15.9, 6.9 Hz, 1H, H-3), 6.55 (d, J = 15.9 Hz, 1H, H-4), 6.84, 7.30 (two m, 4H, –C6H4); 13C-NMR (75 MHz, CDCl3) δ: 9.08 (CH3CH2C(O)), 20.42 (C-1), 27.88 (CH3CH2C(O)), 55.23 (–OCH3), 70.99 (C-2), 113.91, 127.73 (C-2′, C-3′, C-5′, C-6′), 126.66 (C-3), 129.05 (C-1′), 131.06 (C-4), 159.38 (C-4′), 173.76 (CH3CH2C(O)); HRMS (ESI): m/z calcd. for C14H18O3 [M + H]+: 235.1334, found 235.1339.
4-Phenyl-5-(1-propionyloxyethyl)dihydrofuran-2-one 6a. Yield 87% (0.68 g); = 1.3834; IR (KBr, cm−1): 1786 (s), 1738 (s), 1456 (m), 1184 (s), 701 (m) cm−1; 1H-NMR (300 MHz, CDCl3) δ: 1.07 (t, J = 7.5 Hz, 3H, CH3CH2C(O)), 1.28 (d, J = 6.6 Hz, 3H, CH3-7), 2.17, 2.25 (two dq, J = 16.8, 7.5, 2H, CH3CH2C(O)), 2.65 (dd, J = 18.0, 8.1 Hz, 1H, one of CH2-3), 3.05 (dd, J = 18.0, 9.6 Hz, 1H, one of CH2-3), 3.58 (ddd, J = 9.6, 8.1, 6.6 Hz, 1H, H-4), 4.54 (dd, J = 6.6, 4.5 Hz, 1H, H-5), 5.15 (qd, J = 6.6, 4.5 Hz, 1H, H-6), 7.21–7.40 (m, 5H, H-2′, H-3′, H-4′, H-5′, H-6′); 13C-NMR (75 MHz, CDCl3) δ: 8.92 (CH3CH2C(O)), 15.80 (C-7), 27.62 (CH3CH2C(O)), 37.69 (C-3), 42.70 (C-4), 70.36 (C-6), 86.98 (C-5), 126.89 (C-2′, C-6′), 127.78 (C-4′), 129.33 (C-3′, C-5′), 140.65 (C-1′), 173.47 (CH3CH2C(O)), 175.31 (C-2); HRMS (ESI): m/z calcd. for C15H18O4 [M + H]+: 263.1283, found 263.1280.
4-(4′-Methylphenyl)-5-(1-propionyloxyethyl)dihydrofuran-2-one 6b. Yield 82% (0.68 g), = 1.5542, IR (KBr, cm−1): 1786 (s), 1736 (s), 1457 (m), 1182 (s), 814 (m) cm−1; 1H-NMR (300 MHz, CDCl3) δ: 1.07 (t, J = 7.5 Hz, 3H, CH3CH2C(O)), 1.26 (d, J = 6.6 Hz, 3H, CH3-7), 2.18, 2.25 (two dq, J = 15.9, 7.5, 2H, CH3CH2C(O)), 2.33 (s, 3H, CH3-11), 2.63 (dd, J = 18.0, 7.8 Hz, 1H, one of CH2-3), 3.02 (dd, J = 18.0, 9.3 Hz, 1H, one of CH2-3), 3.54 (ddd, J = 9.3, 7.8, 6.6 Hz, 1H, H-4), 4.51 (dd, J = 6.6, 4.2 Hz, 1H, H-5), 5.13 (qd, J = 6.6, 4.2 Hz, 1H, H-6), 7.09–7.12 (m, 2H, H-2′, H-6′), 7.16–7.18 (m, 2H, H-3′, H-5′); 13C-NMR (75 MHz, CDCl3) δ: 8.93 (CH3CH2C(O)), 15.66 (C-7), 20.05 (C-11), 27.63 (CH3CH2C(O)), 37.71 (C-3), 42.33 (C-4), 70.30 (C-6), 87.12 (C-5), 126.77 (C-2′, C-6′), 129.94 (C-3′, C-5′), 137.52 (C-1′), 137.59 (C-4′), 173.47 (CH3CH2C(O)), 175.45 (C-2); HRMS (ESI): m/z calcd. for C16H20O4 [M + H]+: 277.1440, found 277.1447.
4-(4′-Methoxyphenyl)-5-(1-propionyloxyethyl)dihydrofuran-2-one 6c. Yield 86% (0.75 g), = 1.5925, IR (KBr, cm−1): 1784 (s), 1736 (s), 1516 (s), 1253 (m), 1181 (s), 832 (m) cm−1; 1H-NMR (300 MHz, CDCl3) δ: 1.08 (t, J = 7.5 Hz, 3H, CH3CH2C(O)), 1.26 (d, J = 6.6 Hz, 3H, CH3-7), 2.19, 2.26 (two dq, J = 16.5, 7.5, 2H, CH3CH2C(O)), (2.61 (dd, J = 18.0, 8.1 Hz, 1H, one of CH2-3), 3.01 (dd, J = 18.0, 9.3 Hz, 1H, one of CH2-3), 3.53 (ddd, J = 9.3, 8.1, 6.6 Hz, 1H, H-4), 4.04 (s, 3H, CH3-11), 4.49 (dd, J = 6.6, 4.2 Hz, 1H, H-5), 5.13 (qd, J = 6.6, 4.2 Hz, 1H, H-6), 6.86–6.91 (m, 2H, H-3′, H-5′), 7.11–7.17 (m, 2H, H-2′, H-6′); 13C-NMR (75 MHz, CDCl3) δ: 8.94 (CH3CH2C(O)), 15.66 (C-7), 27.64 (CH3CH2C(O)), 3.78 (C-3), 41.9 (C-4), 55.38 (C-11), 70.25 (C-6), 87.16 (C-5), 114.64 (C-3′ and C-5′), 127.95 (C-2′ and C-6′), 132.45 (C-1′), 159.06 (C-4′), 173.49 (CH3CH2C(O)), 175.39 (C-2); HRMS (ESI): m/z calcd. for C16H20O5 [M + H]+: 293.1389, found 293.1386.
4-(Benzo[d][1′,3′]dioxol-5′-yl)-5-(1-propionyloxyethyl)dihydrofuran-2-one 6d. Yield 88% (0.81 g), = 1.4941, IR (KBr, cm−1): 1782 (s), 1735 (s), 1490 (m), 1251 (s), 1188 (s), 1037 (s), 932 (m), 736 (m) cm−1; 1H-NMR (300 MHz, CDCl3) δ: 1,09 (t, J = 7.5 Hz, 3H, CH3CH2C(O)), 1.26 (d, J = 6.3 Hz, 3H, CH3-7), 2.21, 2.28 (two dq, J = 18.0, 7.8 Hz, 2H, CH3CH2C(O)), 2.59 (dd, J = 18.0, 7.8 Hz, 1H, one of CH2-3), 3.00 (dd, J = 18.0, 9.6 Hz, 1H, one of CH2-3), 3.50 (ddd, J = 9.6, 7.8, 6.6 Hz, 1H, H-4), 4.47 (dd, J = 6.6, 4.2 Hz, 1H, H-5), 5.13 (qd, J = 6.3, 4.2 Hz, H-6), 5.97 (s, 2H, CH2-2′) 6.67 (dd, J = 7.8, 1.5 Hz, 1H, H-6′), 6.70 (d, J = 1.5 Hz, 1H, H-4′), 6.78 (d, J = 7.8 Hz, 1H, H-7′); 13C-NMR (75 MHz, CDCl3) δ: 8.95 (CH3CH2C(O)), 15.65 (C-7), 27.66 (CH3CH2C(O)), 37.70 (C-3), 42.39 (C-4), 70.22 (C-6), 87.07 (C-5), 101.37 (C-2′), 106.96 (C-4′), 108.79 (C-7′), 120.22 (C-6′), 134.32 (C-5′), 147.13 (C-3′a), 148.46 (C-7′a), 173.48 (CH3CH2C(O)), 175.20 (C-2); HRMS (ESI): m/z calcd. for C16H18O6 [M + H]+: 307.1182, found 307.1188.
3.4. Enzymatic Resolution of Racemic Allyl Alcohol 1c
To the solution of racemic alcohol 1c (5 g, 28 mmol) in DIPE (50 mL), 1 mL of vinyl propionate and lipase B from C. antartica (2 g) were added. The reaction was carried out in the 250 mL round-bottom flask on a magnetic stirrer at room temperature. The reaction was monitored by chiral GC after treating the samples with acetyl chloride to derivatize the unreacted alcohol into corresponding acetate 2. Racemic acetate 2 and propionate 3 were used as the standards. After 4 h of reaction, the enzyme was filtered off and the organic solvent was evaporated in vacuo. Products of enzymatic tranesterification were separated by column chromatography (hexane/acetone, 15:1) and analyzed by chiral GC.
(−)-(2S,3E)-4-(4′-Methoxyphenyl)but-3-en-2-ol (−)-1c. Yield (45%, 2.25 g); colourless crystals, Rf = 0.25 (hexane/acetone 4:1, v/v), m.p. 76–80 °C; ee = 78% (determined after derivatization into acetate); [α] = −28.5 (c 1.8, CH2Cl2) (lit. [40] [α] = −37.4 (c 0.84, CHCl3), ee = 99%), spectroscopic data identical to those reported for rac-1c [31].
(+)-(2R,3E)-4-(4′-Methoxyphenyl)but-3-en-2-yl propionate (+)-3. Yield 43% (2.82 g); pale-brown liquid, Rf = 0.66 (hexane/acetone 4:1, v/v), = 1.5263; ee = 82%, [α] = +113.5 (c 1.6, CH2Cl2); physical and spectroscopic data identical to those reported herein for rac-3.
Hydrolysis of (+)-(2R,3E)-4-(4′-methoxyphenyl)but-3-en-2-yl propionate. Ester (+)-3 (11 mmol) was hydrolyzed under reflux in 5% ethanolic solution of NaOH (40 mL). When the reaction was finished (3 h, TLC), ethanol was evaporated in vacuo and the residue was diluted with water. Alcohol (+)-1c was extracted with CH2Cl2 (3 × 30 mL) and the organic fractions were pooled, washed with brine until neutral and dried over anhydrous MgSO4. After evaporation of solvent in vacuo, pure alcohol (+)-1c was obtained.
(+)-(2R,3E)-4-(4′-Methoxyphenyl)but-3-en-2-ol (+)-1c. Yield 98% (1.61 g); colourless crystals, ee = 82%; [α] = +25.0 (c 1.6, CH2Cl2), (lit. [45] [α] = +30.68 (c 1.6, CHCl3), spectroscopic data identical to those reported for rac-1c [31].
3.5. Johnson–Claisen Rearrangement of Enantiomerically Enriched Allyl Alcohols (−)-1c and (+)-1c
Mixture of enantiomerically enriched alcohol (−)-1c or (+)-1c (0.012 mol), triethyl orthoacetate (25 mL) and a drop of propionic acid was heated at 138–140 °C under reflux for 24 h with simultaneous removal of ethanol by distillation. The crude product was purified by column chromatography (hexane/acetone, 10:1, v/v).
(+)-(3S,4E)-3-(4′-Methoxyphenyl)hex-4-enoic acid ethyl ester (+)-3c. Obtained from alcohol (−)-(S)-1c. Yield 2.5 g (83%), ee = 78%, [α] = +8.8 (c 3.6, CH2Cl2), Physical and spectroscopic data are consistent with those of rac-3c [31].
(−)-(3R,4E)-3-(4′-Methoxyphenyl)hex-4-enoic acid ethyl ester (−)-3c. Obtained from alcohol (+)-(R)-1c. Yield 2.6 g (82%), ee = 82%, [α] = −9.4 (c 1.8, CH2Cl2); Physical and spectroscopic data are consistent with those of rac-3c [31].
3.6. Lactonization of Enantiomerically Enriched γ,δ-Unsaturated Esters (S)-4a–d and (R)-4a–d
Enantiomerically enriched γ,δ-unsaturated ester (S)-4a–d or (R)-4a–d (0.007 mol) was dissolved in 50 mL of CHCl3 and m-CPBA (0.008 mol) and a drop of trifluoroacetic acid were added. The reaction mixture was stirred on a magnetic stirrer for 24 h. Then, the crude mixture was diluted with CHCl3 (100 mL), and successively washed with NaHSO3, NaHCO3 and brine. The combined organic layers were dried over anhydrous MgSO4 and filtered. The organic solvent was evaporated under vacuo and after column chromatography (silica gel, hexane/isopropanol/acetone/ethyl acetate/methylene chloride/diethyl ether (100:10:0.1:0.1:0.1:0.1, v/v/v/v/v/v) unseparable mixture of γ-hydroxy-δ-lactones and pure δ-hydroxy-γ-lactones 5a–d were isolated. Their spectroscopic data were consistent those reported for their racemic form [33].
(–)-trans-(4R,5S,6R)-5-(1-Hydroxyethyl)-4-phenyldihydrofuran-2-one (−)-5a. Obtained from ester (+)-(4E,3S)-4a. Yield 0.12 g (8%), [α] = −19.0 (c = 3.25, CH2Cl2), ee = 90%.
(+)-trans-(4S,5R,6S)-5-(1-Hydroxyethyl)-4-phenyldihydrofuran-2-one (+)-5a. Obtained from ester (−)-(4E,3R)-4a. Yield 0.12 g (8%), [α] = +20.6 (c = 2.45, CH2Cl2), ee = 97%.
(–)-trans-(4R,5S,6R)-5-(1-Hydroxyethyl)-4-(4′-methylphenyl)dihydrofuran-2-one (−)-5b. Obtained from ester (+)-(4E,3S)-4b. Yield 0.12 g (8%), [α] = −16.5 (c = 5.0, CH2Cl2), ee = 83%.
(+)-trans-(4S,5R,6S)-5-(1-Hydroxyethyl)-4-(4′-methylphenyl)dihydrofuran-2-one (+)-5b. Obtained from ester (−)-(4E,3R)-4b. Yield 0.11 g (7%), [α] = + 17.5 (c = 2.14, CH2Cl2), ee = 87%.
(–)-trans-(4R,5S,6R)-5-(1-Hydroxyethyl)-4-(4′-methoxyphenyl)dihydrofuran-2-one (−)-5c. Obtained from ester (+)-(4E,3S)-4c. Yield 0.12 g (7%), [α] = −8.3 (c = 3.53, CH2Cl2), ee = 78%.
(+)-trans-(4S,5R,6S)-5-(1-Hydroxyethyl)-4-(4′-methoxyphenyl)dihydrofuran-2-one (+)-5c. Obtained from ester (−)-(4E,3R)-4c. Yield 0.12 g (8%), [α] = +8.9 (c = 2.0, CH2Cl2), ee = 82%.
(–)-trans-(4R,5S,6R)-4-(Benzo[d][1′,3′]dioxol-5′-yl)-5-(1-hydroxyethyl)-dihydrofuran-2-one (−)-5d. Obtained from ester (−)-(4E,3R)-4d. Yield 0.13 g (7.5%), [α] = −6.3 (c = 4.40, CH2Cl2), ee = 73%.
(+)-trans-(4S,5R,6S)-4-(Benzo[d][1′,3′]dioxol-5′-yl)-5-(1-hydroxyethyl)-dihydrofuran-2-one (+)-5d. Obtained from ester (+)-(4E,3S)-4d. Yield 0.14 g (8%), [α] = +6.7 (c = 2.58, CH2Cl2), ee = 82%.
3.7. Enzymatic Resolution of Hydroxylactones 5a–d
3.7.1. Screening Procedure
To a solution of hydroxylactone 5a in 10 mL of DIPE 5 mg of lipase and 0.1 mL of vinyl propionate was added. The reaction mixture was stirred in a magnetic stirrer in 20 mL-vial at room temperature. At several time intervals, the samples (0.5 mL) were withdrawn from reaction mixture and filtered through Celite 560. The organic solvent was evaporated under vacuo, and the residue was dissolved in acetone (0.2 mL) and analyzed by CGC. The results are shown in Table 2.
3.7.2. Preparative Transesterification
To a solution of β-aryl-δ-hydroxy-γ-lactone 5a–d (0.97 mmol) in 50 mL of DIPE, 100 mg of lipase B from Candida antarctica (CAL-B) and 1 mL of vinyl propionate were added and the mixture was stirred at room temperature. The reaction was monitored by chiral GC and racemic hydroxylactones 5a–d and propionates 6a–d were used as the standards. After 6 h the enzyme was filtered off and organic solvent was evaporated in vacuo. Slowly reacting hydroxylactones 5a–d and propionates 6a–d were separated by column chromatography (hexane/acetone, 20:1, v/v). Their physical and spectroscopic data were in accordance with those of racemic forms of lactones [33] and propionates reported herein (Section 3.3).
(+)-trans-(4S,5R,6S)-5-(1-Hydroxyethyl)-4-phenyldihydrofuran-2-one (+)-5a. Yield 0.08 g (38%), Rf = 0.21 (hexane/acetone 4:1, v/v), [α] = +21.0 (c = 0.55, CH2Cl2), ee = 99%.
(+)-trans-(4R,5S,6R)-4-Phenyl-5-(1-propionyloxyethyl)-dihydrofuran-2-one (+)-6a. Yield 0.11 g (44%), Rf = 0.71 (hexane/acetone 4:1, v/v), [α] = + 33.7 (c = 0.60, CH2Cl2), ee = 92%.
(+)-trans-(4S,5R,6S)-5-(1-Hydroxyethyl)-4-(4′-methylphenyl)dihydrofuran-2-one (+)-5b. Yield 0.09 g (41%), Rf = 0.22 (hexane/acetone 4:1, v/v), [α] = +16.9 (c = 0.40, CH2Cl2), ee = 99%.
(+)-trans-(4R,5S,6R)-4-(4′-Methylphenyl)-5-(1-propionyloxyethyl)-dihydrofuran-2-one (+)-6b. Yield 0.12 g (44%), Rf = 0.68 (hexane/acetone 4:1, v/v), [α] = +30.1 (c = 0.65, CH2Cl2), ee = 91%.
(+)-trans-(4S,5R,6S)-5-(1-Hydroxyethyl)-4-(4′-methoxyphenyl)dihydrofuran-2-one (+)-5c. Yield 0.103 g (45%), Rf = 0.27 (hexane/acetone 4:1, v/v), [α] = +9.5 (c = 0.40, CH2Cl2), ee = 98%.
(+)-trans-(4R,5S,6R)-4-(4′-Methoxyphenyl)-5-(1-propionyloxyethyl)-dihydrofuran-2-one (+)-6c. Yield 0.10 g (36%), Rf = 0.67 (hexane/acetone 4:1, v/v), [α] = +14.4 (c = 2.8, CH2Cl2), ee = 98%.
(+)-trans-(4S,5R,6S)-4-(Benzo[d][1′,3′]dioxol-5′-yl)-5-(1-hydroxyethyl)-dihydrofuran-2-one (+)-5d. Yield 0.08 g (34%), Rf = 0.23 (hexane/acetone 4:1, v/v), [α] = +6.8 (c = 0.40, CH2Cl2), ee = 89%.
(+)-trans-(4R,5S,6R)-4-(Benzo[d][1′,3′]dioxol-5′-yl)-5-(1-propionyloxyethyl)-dihydrofuran-2-one (+)-6d. Yield 0.10 g (35%), Rf = 0.70 (hexane/acetone 4:1, v/v), [α] = +15.6 (c = 0.80, CH2Cl2), ee = 84%.
4. Conclusions
In conclusion, we have presented two alternative methods for the production of enantiomerically enriched trans-β-aryl-δ-hydroxy-γ-lactones 5a–d with the defined absolute configurations of their stereogenic centers, which were not reported previously in optically active forms. Chemoenzymatic synthesis gives direct access to both enantiomers of desired lactones (ee = 73%–97%), and kinetic resolution of their racemic mixtures by CAL-B delivers (+)-enantiomers 5a–d and (+)-propionates 6a–d, which can be further hydrolyzed to (−)-enantiomers of desired hydroxylactones. Most of the products of enzymatic reaction were obtained with excellent enantiomeric excesses (ee = 91%–99%). 1,3-Benzodioxol ring as the steric hindrance lowered enantioselectivity of resolution of lactone 5d. The methods presented above are convenient routes to obtain both enantiomers of optically active trans-β-aryl-δ-hydroxy-γ-lactones 5a–d, which will let us study the dependence between their spatial structure and biological activity.
Supplementary Materials
Supplementary materials can be accessed at: http://www.mdpi.com/1420-3049/21/11/1552/s1.
Acknowledgments
This research was supported financially by the European Union as a part of the European Social Fund, Human Capital Operational Programme. This publication was supported by Wroclaw Centre of Biotechnology, programme The Leading National Research Centre (KNOW) for years 2014–2018 (http://know.wroc.pl).
Author Contributions
Andrzej Skrobiszewski and Czesław Wawrzeńczyk conceived and designed the experiments; Andrzej Skrobiszewski performed the experiments; Witold Gładkowski and Czesław Wawrzeńczyk analyzed the data; Andrzej Skrobiszewski and Gabriela Maciejewska contributed analysis tools; Andrzej Skrobiszewski and Witold Gładkowski wrote the paper.
Conflicts of Interest
The authors declare no conflicts of interest.
References
- Willför, S.M.; Ahotupa, M.O.; Hemming, J.E.; Reunanen, M.H.T.; Eklund, P.C.; Sjöholm, R.E.; Eckerman, C.S.E.; Pohjamo, S.P.; Holmbom, B.H. Antioxidant activity of knotwood extractives and phenolic compounds of selected tree species. J. Agric. Food Chem. 2003, 51, 7600–7606. [Google Scholar] [CrossRef] [PubMed]
- Cornwell, T.; Cohick, W.; Raskin, I. Dietary phytoestrogens and health. Phytochemistry 2004, 65, 995–1016. [Google Scholar] [CrossRef] [PubMed]
- Raffaelli, B.; Hoikkala, A.; Leppälä, E.; Wähälä, K. Enterolignans. J. Chromatogr. B 2002, 777, 29–43. [Google Scholar] [CrossRef]
- Habrant, D.; Poigny, S.; Ségur-Derai, M.; Brunel, Y.; Heurtaux, B.; Le Gall, T.; Strehle, A.; Saladin, R.; Meunier, S.; Mioskowski, C.; et al. Evaluation of antioxidant properties of monoaromatic derivatives of pulvinic acids. J. Med. Chem. 2009, 52, 2454–2464. [Google Scholar] [CrossRef] [PubMed]
- Brown, G.D.; Wong, H-F. Total synthesis of (±)-maculalactone A, maculalactone B and maculalactone C and the determination of the absolute configuration of natural (+)-maculalactone A by asymmetric synthesis. Tetrahedron 2004, 60, 5439–5451. [Google Scholar] [CrossRef]
- Pawar, V.U.; Ghosh, S.; Chopade, B.A.; Shinde, V.S. Design and synthesis of harzialactone analogues: Promising anticancer agents. Bioorg. Med. Chem. Lett. 2010, 20, 7243–7245. [Google Scholar] [CrossRef] [PubMed]
- Alizadeh, B.H.; Foroumadi, A.; Emami, S.; Khoobi, M.; Panah, F.; Ardestani, S.K.; Shafiee, A. Isochaihulactone analogues: Synthesis and anti-proliferative activity of novel dibenzylbutyrolactones. Eur. J. Med. Chem. 2010, 45, 5979–5984. [Google Scholar] [CrossRef] [PubMed]
- Yamauchi, S.; Hayashi, Y.; Nakashima, Y.; Kirikihira, T.; Yamada, K.; Masuda, T. Effect of benzylic oxygen on the antioxidant activity of phenolic lignans. J. Nat. Prod. 2005, 68, 1459–1470. [Google Scholar] [CrossRef] [PubMed]
- Tiwari, A.K.; Srinivas, P.V.; Kumar, P.; Rao, J.M. Free radical scavenging active components from cedrus deodara. J. Agric. Food Chem. 2001, 49, 4642–4645. [Google Scholar] [CrossRef] [PubMed]
- Zapf, S.; Anke, T.; Sterner, O. Incrustoporin, a new antibiotic from Incrustoporia carneola (Bres.) Ryv. (Basidiomycetes). Acta Chem. Scand. 1995, 49, 233–234. [Google Scholar] [CrossRef] [PubMed]
- Pour, M.; Ŝpulák, M.; Balŝánek, V.; Kuneŝ, J.; Kubanová, P.; Buchta, V. Synthesis and structure-antifungal activity relationships of 3-aryl-5-alkyl-2,5-dihydrofuran-2-ones and their carbanalogues: Further refinement of tentative pharmacophore group. Bioorg. Med. Chem. 2003, 11, 2843–2866. [Google Scholar] [CrossRef]
- Singh, S.B.; Jayasuriya, H.; Dewey, R.; Polishook, J.D.; Dombrowski, A.W.; Zink, D.L.; Guan, Z.; Collado, J.; Platas, G.; Pelaez, F.; et al. Isolation, structure, and HIV-1-integrase inhibitory activity of structurally diverse fungal metabolites. J. Ind. Microbiol. Biotechnol. 2003, 301, 721–731. [Google Scholar]
- Bourdreux, Y.; Bodio, E.; Willis, C.; Billaud, C.; le Gall, T.; Mioskowski, C. Synthesis of vulpinic and pulvinic acids from tetronic acid. Tetrahedron 2008, 64, 8930–8937. [Google Scholar] [CrossRef]
- Da Silva, R.; de Souza, G.H.B.; da Silva, A.A.; de Souza, V.A.; Pereira, A.C.; de A. Royo, V.; de Silva, M.L.A.; Donate, P.M.; de M. Araújo, A.L.S.; Carvalho, J.C.T.; et al. Synthesis and biological activity evaluation of lignin lactones derived from (–)-cubebin. Bioorg. Med. Chem. Lett. 2005, 15, 1033–1037. [Google Scholar] [CrossRef] [PubMed]
- Harmatha, J.; Nawrot, J. Insect feeding deterrent activity of lignans and related phenylpropanoids with a methylenedioxyphenyl (piperonyl) structure moiety. Entomol. Exp. Appl. 2002, 104, 51–60. [Google Scholar] [CrossRef]
- Gonzales, E.B.; Bell-Horner, C.L.; de la Cruz, M.A.M.; Ferrendelli, J.A.; Covey, D.F.; Dillon, G.H. Enantioselectivity of α-benzyl-α-methyl-γ-butyrolactone-mediated modulation of anticonvulsant activity and GABAA receptor function. J. Pharmacol. Exp. Ther. 2010, 309, 677–683. [Google Scholar] [CrossRef] [PubMed]
- Landete, J.M. Plant and mammalian lignans: A review of source, intake, metabolism, intestinal bacteria and health. Food Res. Int. 2012, 46, 410–424. [Google Scholar] [CrossRef]
- Cosentino, M.; Marino, F.; Ferrari, M.; Rasini, E.; Bombelli, R.; Luini, A.; Legnaro, M.; Delle Canne, M.D.; Luzzani, M.; Crema, F.; et al. Estrogenic activity of 7-hydroxymatairesinol potassium acetate (HMR/lignan™) from Norway spruce (Picea abies) knots and of its active metabolite enterolactone in MCF-7 cells. Pharm. Res. 2007, 56, 140–147. [Google Scholar] [CrossRef] [PubMed]
- Koch, S.S.C.; Chamberlin, A.R. Enantioselective preparation of β-alkyl-γ-butyrolactones from functionalized ketene dithioacetals. J. Org. Chem. 1993, 58, 2725–2737. [Google Scholar] [CrossRef]
- Kondaveti, L.; Al-Azemi, T.F.; Bisht, K.S. Lipase-catalyzed solvent-free kinetic resolution of substituted racemic ε-caprolactones. Tetrahedron-Asymmetry 2002, 13, 129–135. [Google Scholar] [CrossRef]
- Brenna, E.; Fuganti, C.; Serra, S. Enantioselective perception of chiral odorants. Tetrahedron Asymmetry 2003, 14, 1–42. [Google Scholar] [CrossRef]
- Nawrot, J.; Dams, I.; Wawrzeńczyk, C. Feeding deterrent activity of terpenoid lactones with a p-menthane system against stored-product pests. J. Stored Prod. Res. 2009, 45, 221–225. [Google Scholar] [CrossRef]
- Sefkow, M.; Kelling, A.; Schilde, U. Enantioselective synthesis of α-hydroxylated enterolactone and analogs. Tetrahedron Lett. 2001, 42, 5101–5104. [Google Scholar] [CrossRef]
- Pohmakotr, M.; Soorukram, D.; Tuchinda, P.; Prabpai, S.; Kongsaeree, P.; Reutrakul, V. Highly diastereoselective alkylation of vicinal dianions of chiralsuccinic acid derivatives: a new general strategy to (R)-β-arylmethyl-γ-butyrolactones. Tetrahedron Lett. 2004, 45, 4315–4318. [Google Scholar] [CrossRef]
- Donate, P.M.; Frederico, D.; da Silva, R.; Constantino, M.G.; del Ponte, G.; Bonatto, P.S. Asymmetric synthesis of γ-butyrolactones by enantioselective hydrogenation of butenolides. Tetrahedron Asymmetry 2003, 14, 3253–3256. [Google Scholar] [CrossRef]
- Caro, Y.; Masaguer, C.F.; Raviña, E. Synthesis of optically active β-benzyl-γ-butyrolactone through lipase-catalyzed kinetic resolution. Tetrahedron Asymmetry 2001, 12, 1723–1726. [Google Scholar] [CrossRef]
- Berti, F.; Forzato, C.; Furlan, G.; Nitti, P.; Pitacco, G.; Valentin, E.; Zangrando, E. Synthesis of optically active α-benzyl paraconic acids and their esters and assignment of their absolute configuration. Tetrahedron Asymmetry 2009, 20, 313–321. [Google Scholar] [CrossRef]
- Koul, S.; Singh, B.; Taneja, C.; Qazi, G.N. New chemo and chemo-enzymatic synthesis of β-benzyl-γ-butyrolactones. Tetrahedron 2003, 59, 3487–3491. [Google Scholar] [CrossRef]
- Ribeiro, J.B.; Sousa, L.M.A.; Fraga, C.A.M.; Leita, S.G.F.; Ramos, M.C.K.V.; de Aquino Neto, F.R.; Aguiar, L.C.S.; de Souza, R.O.M.A.; Antunes, O.A.C. Microbial reduction of alpha-substituted-alpha-acetyl-gamma-butyrolactones. Catal. Commun. 2008, 9, 1782–1786. [Google Scholar] [CrossRef]
- Wang, M.-X.; Zhao, S.-M. Synthesis of enantiomerically enriched (S)-(+)-2-aryl-4-pentenoic acids and (R)-(–)-2-aryl-4-pentenamides via microbial hydrolysis of nitriles, a chemoenzymatic approach to stereoisomers of α,γ-disubstituted γ-butyrolactones. Tetrahedron Asymmetry 2002, 13, 1695–1702. [Google Scholar] [CrossRef]
- Mazur, M.; Gładkowski, W.; Wawrzeńczyk, C. Synteza chlorowcolaktonów z podstawnikiem metoksyfenylowym. Przem. Chem. 2011, 90/5, 286–294. [Google Scholar]
- Gładkowski, W.; Skrobiszewski, A.; Mazur, M.; Siepka, M.; Pawlak, A.; Obmińska-Mrukowicz, B.; Białońska, A.; Poradowski, D.; Drynda, A.; Urbaniak, M. Synthesis and anticancer activity of novel halolactones with β-aryl substituents from simple aromatic aldehydes. Tetrahedron 2013, 69, 10414–10423. [Google Scholar] [CrossRef]
- Skrobiszewski, A.; Gładkowski, W.; Lis, M.; Gliszczyńska, A.; Maciejewska, G.; Klejdysz, T.; Obmińska-Mrukowicz, B.; Nawrot, J.; Wawrzeńczyk, C. Laktony. Cz. XLVa). Synteza hydroksylaktonów z pierścieniem aromatycznym oraz ocena ich aktywności antyfidantnej i antyproliferacyjnej. Przem. Chem. 2014, 93, 1637–1643. [Google Scholar]
- Mazur, M.; Skrobiszewski, A.; Gładkowski, W.; Podkowik, M.; Bania, J.; Nawrot, J.; Klejdysz, T.; Wawrzeńczyk, C. Lactones 47. Synthesis, antifeedant and antibacterial activity of γ-lactones with p-methoxyphenyl substituent. Pest. Manag. Sci. 2016, 72, 489–496. [Google Scholar] [CrossRef] [PubMed]
- Skrobiszewski, A.; Gładkowski, W.; Walczak, P.; Gliszczyńska, A.; Maciejewska, G.; Klejdysz, T.; Nawrot, J.; Wawrzeńczyk, C. Synthesis of β-aryl-γ-lactones and relationship: Structure-antifeedant and antifungal activity. J. Chem. Sci. 2015, 127, 687–699. [Google Scholar] [CrossRef]
- Gładkowski, W.; Skrobiszewski, A.; Mazur, M.; Siepka, M.; Białońska, A. Convenient chemoenzymatic route to optically active β-aryl-δ-iodo-γ-lactones and β-aryl-γ-iodo-δ-lactones with the defined configurations of stereogenic centers. Eur. J. Org. Chem. 2015, 2015, 605–615. [Google Scholar] [CrossRef]
- Gładkowski, W.; Gliszczyńska, A.; Siepka, M.; Czarnecka, M.; Maciejewska, G. Kinetic resolution of (E)-4-(2ʹ,5ʹ-dimethylphenyl)-but-3-en-2-ol and (E)-4-(benzo[d][1ʹ,3ʹ]dioxol-5ʹ-yl)-but-3-en-2-ol through lipase-catalyzed transesterification. Tetrahedron-Asymmetry 2015, 26, 702–709. [Google Scholar] [CrossRef]
- Gładkowski, W.; Skrobiszewski, A.; Mazur, M.; Gliszczyńska, A.; Czarnecka, M.; Pawlak, A.; Obmińska-Mrukowicz, B.; Maciejewska, G.; Białońska, A. Chiral δ-iodo-γ-lactones derived from cuminaldehyde, 2,5-dimethylbenzaldehyde and piperonal: Chemoenzymatic synthesis and antiproliferative activity. Tetrahedron Asymmetry 2016, 27, 227–237. [Google Scholar] [CrossRef]
- GowriSankar, S.; Gon Lee, C.; Nyoung Kim, J. Facile synthesis of lactones and dihydronaphthalenes from methyl 2-isobutenyl (or 2-isopentenyl) cinnamates as the common intermediates. Tetrahedron Lett. 2004, 45, 6949–6953. [Google Scholar] [CrossRef]
- Akai, S.; Hanada, R.; Fujiwara, N.; Kita, Y.; Egi, M. One-pot synthesis of optically active allyl esters via lipase-vanadium combo catalysis. Org. Lett. 2010, 12, 4900–4903. [Google Scholar] [CrossRef] [PubMed]
- Olejniczak, T.; Nawrot, J.; Ciunik, Z.; Wawrzeńczyk, C. Synthesis of some terpenoid lactones from γ,δ-epoxy esters. Pol. J. Chem. 2000, 74, 673–680. [Google Scholar]
- Olejniczak, T.; Gawroński, J.; Wawrzeńczyk, C. Microbial lactonization of γ,δ-epoxy esters. Chirality 2001, 13, 302–307. [Google Scholar] [CrossRef] [PubMed]
- Kazlauskas, R.J.; Weissfloch, A.N.E. A structure-based rationalization of the enantiopreference of subtilisin toward secondary alcohols and isosteric primary amines. J. Mol. Catal. B Enzym. 1997, 3, 65–72. [Google Scholar] [CrossRef]
- Chojnacka, A.; Obara, R.; Wawrzeńczyk, C. Kinetic resolution of racemic secondary aliphatic allylic alcohols in lipase-catalyzed transesterification. Tetrahedron Asymmetry 2007, 18, 101–107. [Google Scholar] [CrossRef]
- He, P.; Liu, X.; Zheng, Z.; Li, W.; Lin, L.; Feng, X. Asymmetric 1,2-Reduction of Enones with Potassium Borohydride Catalyzed by Chiral N,Nʹ-Dioxide Scandium(III) Complexes. Org. Lett. 2012, 14, 5134–5137. [Google Scholar] [CrossRef] [PubMed]
- Sample Availability: Samples of the compounds 5a−d are available from the authors.
© 2016 by the authors. Licensee MDPI, Basel, Switzerland. This article is an open access article distributed under the terms and conditions of the Creative Commons Attribution (CC-BY) license ( http://creativecommons.org/licenses/by/4.0/).



