Dihydro-5,6-dehydrokavain (DDK) from Alpinia zerumbet: Its Isolation, Synthesis, and Characterization
Abstract
:1. Introduction
2. Chemical Structure of DDK

3. Isolation and Identification of DDK
3.1. DDK Isolation from Alpinia zerumbet
3.2. DDK Isolation from Kava
3.3. Identification

4. Efficacy of Extraction Solvents
5. Quantification of DDK
5.1. Approaches
5.2. Content of DDK in Alpinia zerumbet
| Chemical Name | Plant Part | References |
|---|---|---|
| Dihydro-5,6-dehydrokawain (DDK) | Leaves, stems, rhizomes | [15] |
| 5,6-Dehydrokawain (DK) | Leaves, stems, rhizomes | [15] |
| Essential oils | Leaves, roots | [17,18,19,20] |
| (E)-Labda-8(17)-12-diene-15-ol-16-al | Rhizomes | [21] |
| (E)-15,16-Bisnorlabda-8(17)-11-diene-13-one | Rhizomes | [21] |
| Phenolic acids | Leaves, stems, rhizomes | [14,17,18] |
| 12-Labdaiene-15,16-dial (labdadiene) | Rhizomes | [22] |
| Rutin | Leaves | [23] |
| Kaempferol-3-o-glucuronide | Leaves | [23] |
| (+) Catechin | Leaves | [23] |
| (−) Epicatechin | Leaves | [23] |
| p-Hydroxycinnamalehyde | Rhizomes | [24] |
| [Di-(p-hydroxy-cis-styryl)] methane | Rhizomes | [24] |
| 1,7-Diarylheptanoid | Rhizomes | [25] |
| Zerumin A | Seeds | [26] |
| Zerumin B | Seeds | [26] |
| Kaempferol-3-o-rutinoside | Leaves | [27] |
| Coronarin E | Seeds | [26,27] |
| (E)-15,16-Bisnorlabda-(8(17)-11-diene-13-one | Seeds | [28] |
| Dihydroflavokavain B | Rhizomes | [14] |
| Cardamonin (2′,4′-Dihydroxy-6′-methoxy chalcone) | Seeds | [28] |
| Alpinetin (7-hydroxy-5-methoxy flavanone) | Seeds | [28] |
| Trans-1-(4′-Hydroxy-3′-methoxyphenyl-7-phenylhept-1-en-3-one (yakuchinone-B) | Pericarps | [29] |
| 1-(4′-hydroxy-3′-methoxyphenyl)-7-phenyl-3-heptanone | Fruits | [30] |
| Labda-8(17),12-diene-15,16-dial | Rhizomes | [31] |
| Bisabolanes | Leaves | [31] |
| Steroids | Seeds | [32] |
| Compounds | Quantity (mg/g of Fresh Weight) | ||
|---|---|---|---|
| Leaves | Stems | Rhizomes | |
| Dihydro-5,6-dehydrokawain (DDK) | 410.0 | 80.0 | 350.0 |
| 5,6-Dehydrokawain (DK) | 10.0 | 20.0 | 100.0 |
5.3. Content of DDK in Kava
| Chemical Name | Plant Part | References |
|---|---|---|
| Phenolic acids | Rhizomes | [33] |
| Dihydro-5,6-dehydrokavain (DDK) | Rhizomes | [9] |
| 5,6-Dehydrokavain (DK) | Rhizomes | [9] |
| Other kavalactones: dihydromethysticin, 7,8-dihydrokavain, kavain, methysticin, desmethoxyyangonin, yangonin, dihydro-5,6-dehydrokavain, methoxyyangonin, hydroxykavain, 7,8-dihydrokavain, 11-hydroxy-12-methoxydihydrokavain, 5,6,7,8-tetrahydroyangonin, 5,6-dehydromethysticin 11,12-dimethoxydihydrokavain, 11-methoxy-12-hydroxydehydrokavain, 11-hydroxyyangonin | Rhizomes | [9] |
| Flavokavain A | Rhizomes | [9] |
| Flavokavain B | Rhizomes | [9,34,35] |
| Flavokavain C | Rhizomes | [9] |
| Cinnamic acid bornyl ester | Rhizomes | [9] |
| 5,7-Dimethoxyflavanone | Rhizomes | [9,35] |
| 2,5,8-Trimethyl-1-naphthol | Rhizomes | [9] |
| 5-Methyl-1-phenylhexen-3-yn-5-ol | Rhizomes | [9] |
| 8,11-Octadecadienoic acid-methyl ester | Rhizomes | [9] |
| Pinostrobin chalcone | Rhizomes | [9,35] |
| 5-hydroxy-4′-7-Dimethoxyflavanone | Rhizomes | [9] |
| 5,7(OH)2-4′-one-6,8-dimethylflavone | Rhizomes | [9] |
| Pipermethystine | Rhizomes | [9,36] |
| Glutathione | Rhizomes | [9] |
| Kavalactones | Moieties * | Quantity (mg/g Extracting Solvents) | |||||
|---|---|---|---|---|---|---|---|
| Water | Acetone | Chloroform | Methanol | Ethanol | Hexane | ||
| Dihydromethysticin | A | 31.5 | 51.9 | 18.9 | 5.4 | 3.2 | 3.6 |
| 7,8-Dihydrokavain | A | 3.8 | 55.1 | 23.0 | 18.6 | 9.4 | 10.1 |
| Kavain | B | 36.9 | 41.5 | 14.7 | 6.9 | 3.3 | 4.7 |
| Methysticin | B | 0.0 | 5.5 | 14.4 | 0.0 | 0.0 | 1.2 |
| Desmethoxyyangonin | C | 6.7 | 21.0 | 7.6 | 4.3 | 2.1 | 2.7 |
| Yangonin | C | 6.8 | 84.1 | 22.9 | 5.7 | 2.4 | 2.1 |
| Dihydro-5,6-dehydrokavain | D | 22.9 | 27.1 | 4.7 | 4.7 | 2.1 | 1.9 |
| Total kavalactones | 108.6 | 286.2 | 106.2 | 45.6 | 22.5 | 26.3 | |
6. DDK in Other Alpinia Species
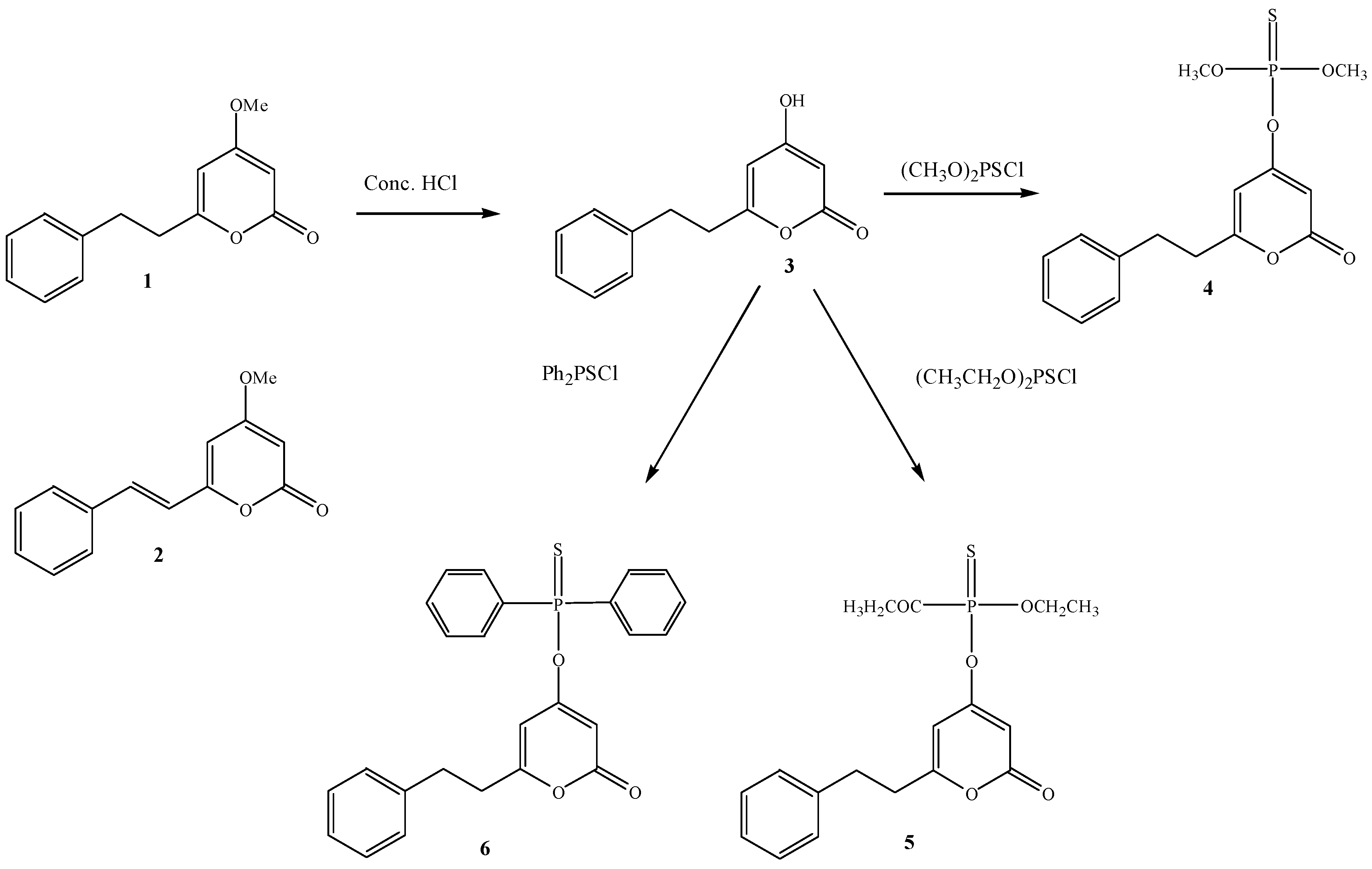
7. Synthesis of DDK and DDK Derivatives



8. Perspectives
9. Conclusions
Acknowledgments
Author Contributions
Conflicts of Interest
References
- Yob, N.Y.; Jofrry, S.M.; Meor, M.M.R.; Teh, L.K.; Salleh, M.Z.; Zakaria, Z.A. Zingiber zerumbet (L.) Smith: A review of its ethnomedicinal, chemical, and pharmacological uses. J. Evid. Based Complement. Altern. Med. 2011, 543216. [Google Scholar] [CrossRef] [PubMed]
- Ghosh, S.; Rangan, L. Alpinia: The gold mine of future therapeutics. 3 Biotech 2013, 3, 173–185. [Google Scholar] [CrossRef]
- Altman, R.D.; Marcussen, K.C. Effects of ginger extract on knee pain in patients with osteoarthritis. Arthritis Rheumat. 2001, 11, 2531–2538. [Google Scholar] [CrossRef]
- Zhang, X.; Shi, G.F.; Liu, X.Z.; An, L.J.; Guan, S. Anti-ageing effects of protocatechuic acid from Alpinia on spleen and liver antioxidative system of senescent mice. Cell Biochem. Funct. 2011, 29, 342–347. [Google Scholar] [CrossRef] [PubMed]
- Hadjzadeh, M.A.R.; Ghanbari, H.; Keshavarzi, Z.; Tavakol-Afshari, J. The effects of aqueous extract of Alpinia galanga on gastric cancer cells (AGS) and L929 cells in vitro. Iran. J. Cancer Prev. 2014, 7, 142–146. [Google Scholar] [PubMed]
- Rajasekar, R.; Manokaran, K.; Rajasekaran, N.; Duraisamy, G.; Kanakasabapathi, D. Effect of Alpinia calcarata on glucose uptake in diabetic rats—An in vitro and in vivo model. J. Diab. Meta Dis. 2014, 13, 33. [Google Scholar] [CrossRef] [PubMed]
- Tu, P.T.B.; Tawata, S. Anti-obesity effects of hispidin and Alpinia zerumbet bioactives in 3T3-adipocytes. Molecules 2014, 19, 16656–16671. [Google Scholar] [CrossRef] [PubMed]
- Rao, Y.K.; Shih, H.N.; Lee, Y.C.; Cheng, W.T.; Hung, H.C.; Wang, H.C.; Chen, C.J.; Tzeng, Y.M.; Lee, M.J. Purification of kavalactones from Alpinia zerumbet and their protective actions against hydrogen peroxide-induced cytotoxicity in PC12 cells. J. Biosci. Bioeng. 2014, 118, 679–688. [Google Scholar] [CrossRef] [PubMed]
- Xuan, T.D.; Fukuta, M.; Ao, C.W.; Elzaawely, A.A.; Khanh, T.D.; Tawata, S. Efficacy of extracting solvents to chemical components of kava (Piper methysticum) roots. J. Nat. Med. 2008, 62, 188–194. [Google Scholar] [CrossRef] [PubMed]
- Teschke, R.; Lebot, V. Proposal for a kava quality standardization code. Food Chem. Toxicol. 2011, 49, 2503–2516. [Google Scholar] [CrossRef] [PubMed]
- Teschke, R.; Qiu, S.X.; Xuan, T.D.; Lebot, V. Kava and kava hepatotoxicity: Requirements for novel experimental, ethnobotanical, and clinical studies based on a review of the evidence. Phytother. Res. 2011, 25, 1262–1274. [Google Scholar] [CrossRef] [PubMed]
- Vandenbroucke, H.; Mournet, P.; Glaszmann, J.C.; Chair, H.; Malapa, R.; Lebot, V. Comparative analysis of genetic variation in kava (Piper methysticum) assessed by SSR and DArT reveals zygotic foundation and clonal diversification. Genome 2015, 58, 1–11. [Google Scholar]
- Billia, A.R.; Gallori, S.; Vincieri, F.F. Kava-kava and anxiety: Growing knowledge about the efficacy and safety. Life Sci. 2002, 70, 2581–2597. [Google Scholar] [CrossRef]
- Itokawa, H.; Morita, M.; Mihashi, S. Phenolic compounds from the rhizomes of Alpinia speciosa. Phytochemistry 1981, 20, 2503–2506. [Google Scholar] [CrossRef]
- Tawata, S.; Taira, S.; Kobamoto, N.; Ishihara, M.; Toyama, S. Syntheses and biological activities of dihydro-5,6-dehydrokawain derivatives. Biosci. Biotech. Biochem. 1996, 60, 1643–1645. [Google Scholar] [CrossRef] [PubMed]
- Fujita, T.; Nishimura, H.; Kaburagi, K.; Mizutani, J. Plant growth inhibiting α-pyrones from Alpinia speciosa. Phytochemistry 1994, 36, 23–27. [Google Scholar] [CrossRef]
- Elzaawely, A.A.; Xuan, T.D.; Tawata, S. Changes in essential oils, kava pyrones and total phenolics of Alpinia zerumbet (Pers.) B.L. Burtt. & R.M. Sm. leaves exposed to copper sulphate. Environ. Exp. Bot. 2007, 59, 347–353. [Google Scholar]
- Elzaawely, A.A.; Xuan, T.D.; Tawata, S. Essential oils, kava pyrones and phenolic compounds from leaves and rhizomes of Alpinia zerumbet (Pers.) B.L. Burtt. & R.M. Sm. and their antioxidant activity. Food Chem. 2007, 103, 486–494. [Google Scholar]
- Tawata, S.; Fukuta, M.; Xuan, T.D.; Deba, F. Total utilization of tropical plants Leucaena leucocephala and Alpinia zerumbet. J. Pestic. Sci. 2008, 33, 40–43. [Google Scholar] [CrossRef]
- Pooter, H.L.; Omar, M.N.; Coolsaet, B.A.; Schamp, N.M. The essential oil of greater galanga (Alpinia galanga) from Malaysia. Phytochemistry 1985, 24, 93–96. [Google Scholar] [CrossRef]
- Itokawa, H.; Yoshimoto, S.; Morita, H. Diterpenes from the rhizome of Alpinia formosana. Phytochemistry 1988, 27, 435–438. [Google Scholar] [CrossRef]
- Chompoo, J.; Upadhyay, A.; Kishimoto, W.; Makise, T.; Tawata, S. Advanced glycation end product inhibitors from Alpinia zerumbet rhizomes. Food Chem. 2011, 128, 709–715. [Google Scholar] [CrossRef] [PubMed]
- Mpalantinos, M.A.; Moura, R.S.; Parente, J.P.; Kuster, R.M. Biological active flavonoids and kava pyrones from the aqueous extract of Alpinia zerumbet. Phytother. Res. 1998, 12, 442–444. [Google Scholar] [CrossRef]
- Barik, B.R.; Kundu, A.B.; Dey, A.K. Two phenolic constituents from Alpinia galanga rhizhomes. Phytochemistry 1987, 26, 2126–2127. [Google Scholar] [CrossRef]
- Athamaprasangsa, S.; Buntrarongroi, U.; Dampawan, P.; Ongkavoranan, N.; Rukachaisikirui, V.; Sethuinda, S.; Sornarintra, M.; Sriwub, P.; Taylor, W.C. A 1,7-diarylheptanoid from Alpinia conchigera. Phytochemistry 1994, 37, 371–373. [Google Scholar] [CrossRef]
- Xu, H.X.; Dong, H.; Sim, K.Y. Labdane diterpenes from Alpinia zerumbet. Phytochemistry 1996, 42, 149–151. [Google Scholar]
- Sirat, H.M.; Marsi, D.; Rahman, A.A. The distribution of labdane diterpenes in the Zingiberaceae of Malaysia. Phytochemistry 1994, 36, 699–701. [Google Scholar] [CrossRef]
- Krishna, M.B.; Chaganty, R.B. Cardamonin and alpinetin from the seeds of Alpinia speciosa. Phytochemistry 1973, 12, 238. [Google Scholar] [CrossRef]
- Itokawa, H.; Aiyama, R.; Ikuta, A. A pungent principle from Alpinia oxyphylla. Phytochemistry 1982, 21, 241–243. [Google Scholar] [CrossRef]
- Itokawa, H.; Aiyama, R.; Ikuta, A. A pungent diarylheptanoid from Alpinia oxyphylla. Phytochemistry 1981, 20, 769–771. [Google Scholar] [CrossRef]
- Sy, L.K.; Brown, G.D. Oxygenated bisabolanes from Alpinia densibracteata. Phytochemistry 1997, 45, 537–544. [Google Scholar]
- Chompoo, J.; Upadhyay, A.; Gima, S.; Fukuta, M.; Tawata, S. Antiatherogenic properties of acetone extract of Alpinia zerumbet seeds. Molecules 2012, 17, 6237–6248. [Google Scholar] [CrossRef] [PubMed]
- Xuan, T.D.; Tsuzuki, E.; Terao, H.; Matsuo, M.; Khanh, T.D. Identification of potential allelochemicals from kava (Piper methysticum L.) root. Allelopathy J. 2003, 12, 197–204. [Google Scholar]
- Wu, D.; Muraleedharan, G.N.; Dewitt, D.L. Novel compound from Piper methysticum Forst (Kava Kava) roots and their effect on cyclooxygenase enzyme. J. Agric. Food Chem. 2002, 50, 701–705. [Google Scholar] [CrossRef] [PubMed]
- Zhou, P.; Gross, S.; Liu, J.H.; Yu, B.Y.; Feng, L.L.; Nolta, J.; Sharma, V.; Piwnica-Worms, D.; Qiu, S.X. Flavokawain, B, the hepatotoxic constituent from kava root, induces GSH-sensitive oxidative stress trough modulation of IKK/NF-κB and MAPK signaling pathways. FASEB J. 2010, 24, 4722–4732. [Google Scholar] [CrossRef] [PubMed]
- Dragull, K.; Yoshida, W.Y.; Tang, C.S. Piperidine alkaloids from Piper methysticum. Phytochemistry 2003, 63, 193–198. [Google Scholar] [CrossRef]
- Kimura, Y.; Takido, M.; Nakano, K.; Takishita, S. Studies on the constituents of Alpinia. X. On the constituents of the rhizomata of Alpinia speciosa K. Schumann and A. kumatake Makino (A. formosana K. Schumann). Yakugaku Zasshi 1966, 86, 1184–1187. (In Japanese) [Google Scholar] [PubMed]
- Chauhan, V.S.; Swapna, M.; Singh, A. Phytochemical investigation and cytotoxic activity of methanolic extract of Alpinia galanga. Intel. J. Appl. Biol. Pharm. 2014, 5, 186–189. [Google Scholar]
- Chen, F.; Li, H.L.; Li, I.H.; Tan, Y.F.; Zhang, J.Q. Quantitative analysis of the major constituents in Chinese medicinal preparation SuoQuan formulae by ultrafast high performance liquid chromatography/quadrupole tandem mass spectrometry. Chem. Cent. J. 2013, 7, 131. [Google Scholar] [CrossRef] [PubMed]
- Qing, Z.J.; Yong, W.; Hui, L.Y.; Yong, L.W.; Long, L.H.; Ao, D.J.; Xia, P.L. Two new natural products from the fruits of Alpinia oxyphylla with inhibitory effects on nitric oxide production in lipopolysaccharide activated RAW264.7 macrophage cells. Arch. Pharm. Res. 1982, 35, 2143–2146. [Google Scholar] [CrossRef] [PubMed]
- Ali, M.S.; Banskota, A.H.; Tezuka, Y.; Saiki, I.; Kadota, S. Antiproliferative activity of diarylheptanoids from the seeds of Alpinia blepharocalyx. Biol. Pharm. Bull. 2001, 24, 525–528. [Google Scholar] [CrossRef] [PubMed]
- Smith, T.E.; Djiang, M.; Velander, A.J.; Downey, C.W.; Carrol, K.A.; Alphen, S.V. Versatile asymmetric synthesis of the kavalactones: First synthesis of (+)-kavain. Org. Lett. 2004, 6, 2317–2320. [Google Scholar] [CrossRef] [PubMed]
- Izawa, T.; Mukaiyama, T. A convenient method for the preparation of δ-hydroxy-β-ketoesters and 6-akyl-5,6-dihydro-4-hydroxy-2-pyrones. Application to the syntheses of kawain and dihydrokawain. Chem. Lett. 1975, 2, 161–164. [Google Scholar] [CrossRef]
- Singer, R.A.; Carreira, E.M.J. Catalytic, enantioselective dienolate additions to aldehydes: Preparation of optically active acetoacetate aldol adducts. Am. Chem. Soc. 1995, 117, 12360–12361. [Google Scholar] [CrossRef]
- Sato, M.; Sunami, S.; Sugita, Y.; Kaneko, C. Use of 1,3-dioxin-4-ones and related compounds in synthesis. XLIV. Asymmetric aldol reaction of 4-trimethylsiloxy-6-methylene-1,3-dioxines: Use of tartaric acid-derived (acyloxy) borane complex as the catalyst. Chem. Pharm. Bull. 1994, 42, 839–845. [Google Scholar] [CrossRef]
- Farina, V.; Krishnamurthy, V.; Scott, W.J. The Stille Reaction; John Wiley & Sons: New York, NY, USA, 1998. [Google Scholar]
© 2015 by the authors. Licensee MDPI, Basel, Switzerland. This article is an open access article distributed under the terms and conditions of the Creative Commons Attribution license ( http://creativecommons.org/licenses/by/4.0/).
Share and Cite
Xuan, T.D.; Teschke, R. Dihydro-5,6-dehydrokavain (DDK) from Alpinia zerumbet: Its Isolation, Synthesis, and Characterization. Molecules 2015, 20, 16306-16319. https://doi.org/10.3390/molecules200916306
Xuan TD, Teschke R. Dihydro-5,6-dehydrokavain (DDK) from Alpinia zerumbet: Its Isolation, Synthesis, and Characterization. Molecules. 2015; 20(9):16306-16319. https://doi.org/10.3390/molecules200916306
Chicago/Turabian StyleXuan, Tran Dang, and Rolf Teschke. 2015. "Dihydro-5,6-dehydrokavain (DDK) from Alpinia zerumbet: Its Isolation, Synthesis, and Characterization" Molecules 20, no. 9: 16306-16319. https://doi.org/10.3390/molecules200916306
APA StyleXuan, T. D., & Teschke, R. (2015). Dihydro-5,6-dehydrokavain (DDK) from Alpinia zerumbet: Its Isolation, Synthesis, and Characterization. Molecules, 20(9), 16306-16319. https://doi.org/10.3390/molecules200916306
