Phytochemicals and Estrogen-Receptor Agonists from the Aerial Parts of Liriope platyphylla
Abstract
:1. Introduction
2. Results and Discussion
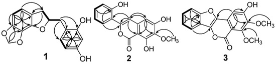
2.1. Structural Elucidation of the Isolated Compounds

| Position | 1 b | 2 b | 3 c | |||
|---|---|---|---|---|---|---|
| δH | δC, type | δH | δC, type | δH | δC, type | |
| 1 | 161.3, C | 158.1, C | ||||
| 2 | 5.08, m | 86.5, CH | ||||
| 3 | 3.04, m d 2.90, dd (15.2, 7.2) | 35.2, CH2 | 150.8, C | 138.4, C | ||
| 4 | 6.59, d (7.6) | 117.9, CH | 7.49, s | 108.3, CH | 136.9, C | |
| 4a | 136.5, C | 128.9, C | ||||
| 5 | 6.32, d (7.6) | 101.6, CH | 6.50, s | 105.3, CH | 7.16, s | 102.8, CH |
| 6 | 150.1, C | 156.0, C | 159.6. C | |||
| 7 | 131.1, C | 135.9, C | 143.7, C | |||
| 8 | 143.2, C | 143.5, C | 159.4, C | |||
| 8a | 98.7, C | 107.2, C | ||||
| 9 | 124.7, C | 7.80, ddd (7.8, 1.8, 0.6) | 119.9, CH | |||
| 9a | 120.8, C | |||||
| 10 | 7.43, td (7.2, 1.2) | 125.5, CH | ||||
| 11 | 7.51, td (7.2, 1.2) | 128.3, CH | ||||
| 12 | 7.68, dd (8.4, 1.2) | 113.8, CH | ||||
| 12a | 155.4, C | |||||
| 1' | 115.9, C | 119.6, C | ||||
| 2' | 157.5, C | 156.9, C | ||||
| 3' | 6.29, d, (2.4) | 103.4, CH | 6.93, dd (7.6, 1.2) | 117.4, CH | ||
| 4' | 158.2, C | 7.24, ddd (8.0, 7.6, 1.6) | 131.6, CH | |||
| 5' | 6.23, dd (8.4, 2.4) | 107.4, CH | 6.95, dd (8.0, 1.2) | 120.7, CH | ||
| 6' | 6.92, d (8.4) | 132.8, CH | 7.79, dd (8.0, 1.6) | 128.6, CH | ||
| 7' | 3.04, m d 2.81, dd (14.0, 8.0) | 36.6, CH2 | ||||
| 7-OCH3 | 3.90, s (3H) | 60.9, CH3 | 3.94, s (3H) | 62.3, CH3 | ||
| 8-OCH3 | 3.97, s (3H) | 62.6, CH3 | ||||
| OCH2O- | 5.86, s (2H) | 102.3, CH2 | ||||

2.2. The Binding Activity of the Isolates to ERα and/or β



3. Experimental Section
3.1. General Procedures
3.2. Plant Material
3.3. Extraction and Isolation
3.4. Experimental Data of the New Compounds 1–3
3.5. Bioassay Procedure–Estrogenic Activity
4. Conclusions
Supplementary Materials
Acknowledgments
Author Contributions
Conflicts of Interest
References
- Lee, J.H.; Choung, M.G. Identification and characterisation of anthocyanins in the antioxidant activity-containing fraction of Liriope platyphylla fruits. Food Chem. 2011, 127, 1686–1693. [Google Scholar] [CrossRef]
- Yang, S.O.; Ji, G.E. Inhibitory effects of ulmus parvifolia and liriope platyphylla wang et tang on histamine release from rat peritoneal mast cells. Food Sci. Biotechnol. 2006, 15, 363–368. [Google Scholar]
- Yu, B.Y.; Qiu, S.X.; Zaw, K.; Xu, G.J.; Hirai, Y.; Shoji, J.; Fong, H.H.; Kinghorn, A.D. Steroidal glycosides from the subterranean parts of Liriope spicata var. Prolifera. Phytochemistry 1996, 43, 201–206. [Google Scholar] [CrossRef]
- Li, W.J.; Cheng, X.L.; Liu, J.; Lin, R.C.; Wang, G.L.; Du, S.S.; Liu, Z.L. Phenolic compounds and antioxidant activities of Liriope muscari. Molecules 2012, 17, 1797–1808. [Google Scholar] [CrossRef] [PubMed]
- Hu, Z.F.; Chen, L.L.; Qi, J.; Wang, Y.H.; Zhang, H.; Yu, B.Y. Two new benzofuran derivatives with anti-inflammatory activity from Liriope spicata var. Prolifera. Fitoterapia 2011, 82, 190–192. [Google Scholar] [CrossRef]
- Cheng, Z.H.; Wu, T.; Bligh, S.A.; Bashall, A.; Yu, B.Y. Cis-eudesmane sesquiterpene glycosides from liriope m uscari and ophiopogon j aponicus. J. Nat. Prod. 2004, 67, 1761–1763. [Google Scholar] [CrossRef] [PubMed]
- Wu, F.; Cao, J.; Jiang, J.; Yu, B.; Xu, Q. Ruscogenin glycoside (lm-3) isolated from Liriope muscari improves liver injury by dysfunctioning liver-infiltrating lymphocytes. J. Pharm. Pharmacol. 2001, 53, 681–688. [Google Scholar] [CrossRef] [PubMed]
- Kim, S.W.; Chang, I.M.; Oh, K.B. Inhibition of the bacterial surface protein anchoring transpeptidase sortase by medicinal plants. Biosci Biotechnol. Biochem. 2002, 66, 2751–2754. [Google Scholar] [CrossRef] [PubMed]
- Wang, H.C.; Wu, C.C.; Cheng, T.S.; Kuo, C.Y.; Tsai, Y.C.; Chiang, S.Y.; Wong, T.S.; Wu, Y.C.; Chang, F.R. Active constituents from liriope platyphylla root against cancer growth in vitro. Evid. Based Complement. Alternat. Med. 2013, 2013. [Google Scholar]
- Bai, X.; Chen, X.; Liu, Y.; Tian, L.; Zhou, Q.; Liu, S.; Fang, J.; Chen, J. Effects of water extract and crude polysaccharides from Liriope spicata var. Prolifera on insr/irs-1/pi3k pathway and glucose metabolism in mice. J. Ethnopharmacol. 2009, 125, 482–486. [Google Scholar]
- Hur, J.; Lee, P.; Kim, J.; Kim, A.J.; Kim, H.; Kim, S.Y. Induction of nerve growth factor by butanol fraction of Liriope platyphylla in c6 and primary astrocyte cells. Biol. Pharm. Bull. 2004, 27, 1257–1260. [Google Scholar] [CrossRef] [PubMed]
- Tsai, Y.C.; Chiang, S.Y.; El-Shazly, M.; Wu, C.C.; Beerhues, L.; Lai, W.C.; Wu, S.F.; Yen, M.H.; Wu, Y.C.; Chang, F.R. The oestrogenic and anti-platelet activities of dihydrobenzofuroisocoumarins and homoisoflavonoids from liriope platyphylla roots. Food Chem. 2013, 140, 305–314. [Google Scholar] [CrossRef] [PubMed]
- Lee, S.Y.; Kim, K.H.; Lee, I.K.; Lee, K.H.; Choi, S.U.; Lee, K.R. A new flavonol glycoside from Hylomecon vernalis. Arch. Pharm. Res. 2012, 35, 415–421. [Google Scholar] [CrossRef] [PubMed]
- Veitch, N.C.; Sutton, P.S.; Kite, G.C.; Ireland, H.E. Six new isoflavones and a 5-deoxyflavonol glycoside from the leaves of ateleia herbert-smithii. J. Nat. Prod. 2003, 66, 210–216. [Google Scholar] [CrossRef] [PubMed]
- Ryu, Y.B.; Kim, J.H.; Park, S.J.; Chang, J.S.; Rho, M.C.; Bae, K.H.; Park, K.H.; Lee, W.S. Inhibition of neuraminidase activity by polyphenol compounds isolated from the roots of Glycyrrhiza uralensis. Bioorg. Med. Chem. Lett. 2010, 20, 971–974. [Google Scholar] [CrossRef] [PubMed]
- Ribeiro, D.; Freitas, M.; Tomé, S.M.; Silva, A.M.; Porto, G.; Fernandes, E. Modulation of human neutrophils’ oxidative burst by flavonoids. Eur. J. Med. Chem. 2013, 67, 280–292. [Google Scholar] [CrossRef] [PubMed]
- Liao, C.R.; Kuo, Y.H.; Ho, Y.L.; Wang, C.Y.; Yang, C.S.; Lin, C.W.; Chang, Y.S. Studies on cytotoxic constituents from the leaves of elaeagnus oldhamii maxim. In non-small cell lung cancer a549 cells. Molecules 2014, 19, 9515–9534. [Google Scholar]
- Yamauchi, K.; Mitsunaga, T.; Inagaki, M.; Suzuki, T. Synthesized quercetin derivatives stimulate melanogenesis in b16 melanoma cells by influencing the expression of melanin biosynthesis proteins mitf and p38 mapk. Bioorg. Med. Chem. 2014, 22, 3331–3340. [Google Scholar] [CrossRef] [PubMed]
- Wang, J.; Gao, H.; Zhao, J.; Wang, Q.; Zhou, L.; Han, J.; Yu, Z.; Yang, F. Preparative separation of phenolic compounds from halimodendron halodendron by high-speed counter-current chromatography. Molecules 2010, 15, 5998–6007. [Google Scholar] [CrossRef] [PubMed]
- Ibewuike, J.C.; Ogundaini, A.O.; Ogungbamila, F.O.; Martin, M.T.; Gallard, J.F.; Bohlin, L.; Païs, M. Piliostigmin, a 2-phenoxychromone, and c-methylflavonols from Piliostigma thonningii. Phytochemistry 1996, 43, 687–690. [Google Scholar] [CrossRef]
- Luyen, B.T.T.; Tai, B.H.; Thao, N.P.; Eun, K.J.; Cha, J.Y.; Xin, M.J.; Lee, Y.M.; Kim, Y.H. Anti-inflammatory components of Euphorbia humifusa willd. Bioorg. Med. Chem. Lett. 2014, 24, 1895–1900. [Google Scholar] [CrossRef] [PubMed]
- Stark, T.; Bareuther, S.; Hofmann, T. Sensory-guided decomposition of roasted cocoa nibs (Theobroma cacao) and structure determination of taste-active polyphenols. J. Aagric. Food Chem. 2005, 53, 5407–5418. [Google Scholar] [CrossRef]
- Fico, G.; Rodondi, G.; Flamini, G.; Passarella, D.; Tomé, F. Comparative phytochemical and morphological analyses of three italian primula species. Phytochemistry 2007, 68, 1683–1691. [Google Scholar] [CrossRef] [PubMed]
- Nguyen, A.T.; Fontaine, J.; Malonne, H.; Duez, P. Homoisoflavanones from Disporopsis aspera. Phytochemistry 2006, 67, 2159–2163. [Google Scholar] [CrossRef] [PubMed]
- Ortega, N.; Urban, S.; Beiring, B.; Glorius, F. Ruthenium nhc catalyzed highly asymmetric hydrogenation of benzofurans. Angew. Chem. Int. Ed. 2012, 51, 1710–1713. [Google Scholar] [CrossRef]
- Shahzad, S.A.; Venin, C.; Wirth, T. Diselenide-and disulfide-mediated synthesis of isocoumarins. Eur. J. Org. Chem. 2010, 2010, 3465–3472. [Google Scholar] [CrossRef]
- Ghosh, S.; Banerjee, I.; Baul, S. Studies on oxygen heterocycles part 2: Synthesis of 2-arylcoumaranones and 2-phenylbenzofuran. Tetrahedron 1999, 55, 11537–11546. [Google Scholar] [CrossRef]
- Yamaguchi, S.; Uchiuzoh, Y.; Sanada, K. The synthesis of benzofuroquinolines. IX. A benzofuroisoquinolinone and a benzofuroisocoumarin. J. Heterocycl. Chem. 1995, 32, 419–423. [Google Scholar]
- Charubala, R.; Guggisberg, A.; Hesse, M.; Schmid, H. Notiz über das natürliche auftreten von 3-phenylisocumarin. Helv. Chim. Acta 1974, 57, 1096–1097. [Google Scholar] [CrossRef]
- Lai, W.C.; Wang, H.C.; Chen, G.Y.; Yang, J.C.; Korinek, M.; Hsieh, C.J.; Nozaki, H.; Hayashi, K.I.; Wu, C.C.; Wu, Y.C. Using the per8: Gus reporter system to screen for phytoestrogens from Caesalpinia sappan. J. Nat. Prod. 2011, 74, 1698–1706. [Google Scholar] [CrossRef] [PubMed]
- Sample Availability: Samples of the compounds 1–20 are available from the authors.
© 2015 by the authors. Licensee MDPI, Basel, Switzerland. This article is an open access article distributed under the terms and conditions of the Creative Commons Attribution license ( http://creativecommons.org/licenses/by/4.0/).
Share and Cite
Tsai, Y.-C.; Hsu, C.-C.; El-Shazly, M.; Chiang, S.-Y.; Wu, C.-C.; Wu, C.-C.; Lai, W.-C.; Yen, M.-H.; Wu, Y.-C.; Chang, F.-R. Phytochemicals and Estrogen-Receptor Agonists from the Aerial Parts of Liriope platyphylla. Molecules 2015, 20, 6844-6855. https://doi.org/10.3390/molecules20046844
Tsai Y-C, Hsu C-C, El-Shazly M, Chiang S-Y, Wu C-C, Wu C-C, Lai W-C, Yen M-H, Wu Y-C, Chang F-R. Phytochemicals and Estrogen-Receptor Agonists from the Aerial Parts of Liriope platyphylla. Molecules. 2015; 20(4):6844-6855. https://doi.org/10.3390/molecules20046844
Chicago/Turabian StyleTsai, Yu-Chi, Chia-Chun Hsu, Mohamed El-Shazly, Shang-Yu Chiang, Chau-Chung Wu, Chin-Chung Wu, Wan-Chun Lai, Ming-Hong Yen, Yang-Chang Wu, and Fang-Rong Chang. 2015. "Phytochemicals and Estrogen-Receptor Agonists from the Aerial Parts of Liriope platyphylla" Molecules 20, no. 4: 6844-6855. https://doi.org/10.3390/molecules20046844
APA StyleTsai, Y.-C., Hsu, C.-C., El-Shazly, M., Chiang, S.-Y., Wu, C.-C., Wu, C.-C., Lai, W.-C., Yen, M.-H., Wu, Y.-C., & Chang, F.-R. (2015). Phytochemicals and Estrogen-Receptor Agonists from the Aerial Parts of Liriope platyphylla. Molecules, 20(4), 6844-6855. https://doi.org/10.3390/molecules20046844

