Photostabilizing Efficiency of PVC in the Presence of Schiff Bases as Photostabilizers
Abstract
:1. Introduction
2. Results and Discussion





2.1. Variation of PVC Molecular Weight during Photolysis in the Presence of 2,5-Dimercapto-1,3,4-Thiadiazole Compounds



| Additive (0.5 wt %) | Quantum Yield of Main Chain Scission (Φcs) |
|---|---|
| PVC + I | 4.72 × 10−8 |
| PVC + II | 5.24 × 10−8 |
| PVC + III | 6.64 × 10−8 |
| PVC + IV | 7.55 × 10−8 |
| PVC + V | 8.96 × 10−8 |
| PVC (pure) | 8.54 × 10−8 |
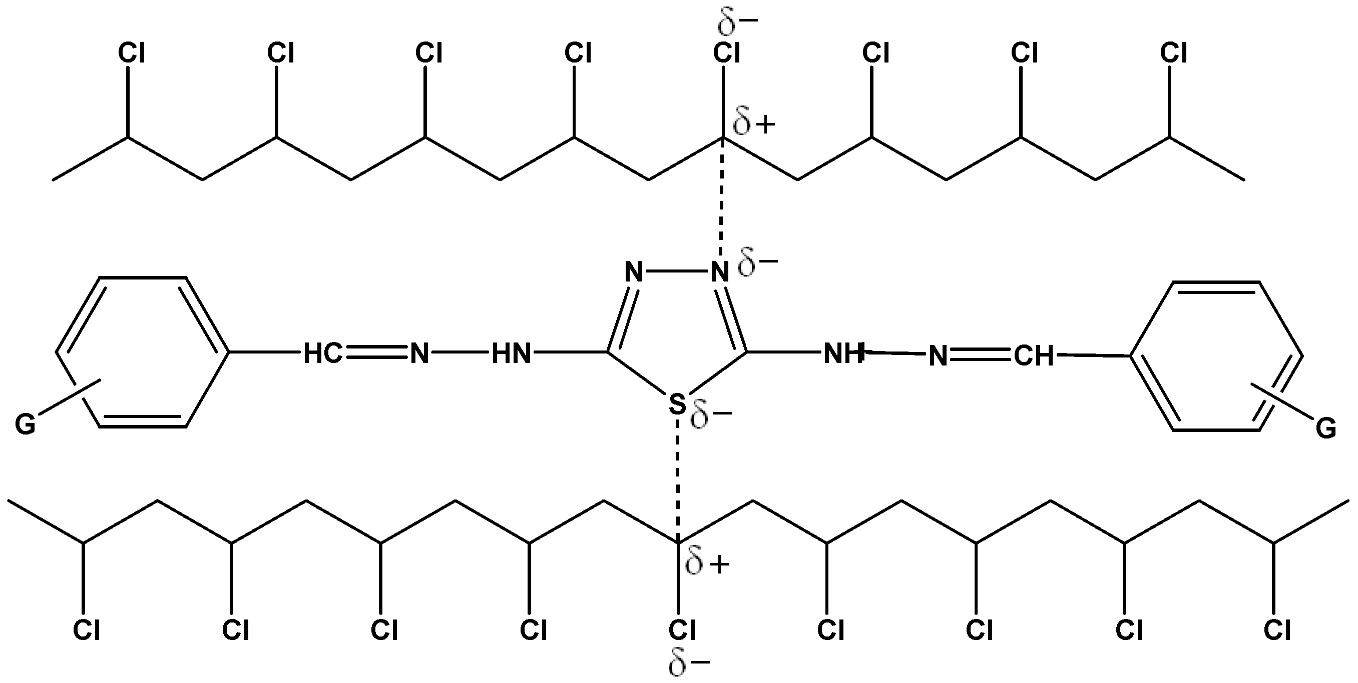
2.2. Suggested Mechanisms of Photostabilization of PVC by 2,5-Dimercapto-1,3,4-thiadiazole Compounds






3. Experimental Section
3.1. Materials

3.2. Films Preparation
3.3. Irradiation Experiments
3.4. Photo-Degradation Measuring Methods
3.4.1. Measuring the Photo-Degradation Rate of Polymer Films Using Infrared Spectrophotometry
3.4.2. Determination of the Average Molecular Weight Using the Viscometry Method
4. Conclusions
Acknowledgments
Author Contributions
Conflicts of Interest
References
- Rahman, A.; Ali, I.; Al Zahrani, S.; Eleithy, R.H. A Review of The Applications ff Nanocarbon Polymer Composites. NANO Brief Rep. Rev. 2011, 6, 185–203. [Google Scholar]
- Andrady, A.; Hamid, S.; Hu, X.; Torikai, A. Effects of increased solar ultraviolet radiation on materials. J. Photochem. Photobiol. B. 1998, 46, 96–103. [Google Scholar] [CrossRef]
- Andrady, A.; Searle, N. Photodegradation of rigid PVC formulations. II. Spectral sensitivity to light-induced yellowing by polychromatic light. J. Appl. Polym. Sci. 1989, 37, 2789–2802. [Google Scholar] [CrossRef]
- Allahvaisi, S.; Pourmirza, A.A.; Safaralizade, M.H. The study on polymers permeability for foodstuffs packaging by some serious species of stored pest insects and phosphine gas. J. Agric. Technol. 2010, 6, 747–759. [Google Scholar]
- Yousif, E.; Hameed, A.; Rasheed, R.; Mansoor, H.; Farina, Y.; Graisa, A.; Salih, N.; Salimon, J. Synthesis and photostability study of some modified poly(vinyl chloride) containing pendant benzothiazole and benzimidozole ring. Int. J. Chem. 2010, 2, 65–80. [Google Scholar] [CrossRef]
- Gardette, J.; Gaumet, S.; Philippart, J.L. Influence of the experimental conditions on the photooxidation of poly(vinyl chloride). J. Appl. Polym. Sci. 1993, 48, 1885–1895. [Google Scholar] [CrossRef]
- Bella, F.; Griffini, G.; Gerosa, M.; Turri, S.; Bongiovanni, R. Performance and stability improvements for dye-sensitized solar cells in the presence of luminescent coatings. J. Power Sources 2015, 283, 195–203. [Google Scholar] [CrossRef]
- Ahn, S.H.; Kim, D.J.; Chi, W.S.; Kim, J.H. Hierarchical double-shell nanostructures of TiO nanosheets on SnO hollow spheres for high-efficiency, solid-state, dye-sensitized solar cells. Adv. Funct. Mater. 2014, 24, 5037–5044. [Google Scholar] [CrossRef]
- Nair, J.R.; Porcarelli, L.; Bella, F.; Gerbaldi, C. Newly elaborated multipurpose polymer electrolyte encompassing rtils for smart energy-efficient devices. ACS Appl. Mater. Interface 2015, 7, 12961–12971. [Google Scholar] [CrossRef] [PubMed]
- Chen, H.W.; Chiang, Y.D.; Kung, C.W.; Sakai, N.; Ikegami, M.; Yamauchi, Y.; Wu, K.C.W.; Miyasaka, T.; Ho, K.C. Highly efficient plastic-based quasi-solid-state dye-sensitized solar cells with light-harvesting mesoporous silica nanoparticles gel-electrolyte. J. Power Sources 2014, 245, 411–417. [Google Scholar] [CrossRef]
- Saranya, K.; Rameez, M.; Subramania, A. Developments in conducting polymer based counter electrodes for dye-sensitized solar cells—An overview. Eur. Polym. J. 2015, 66, 207–227. [Google Scholar] [CrossRef]
- Ramachandran, R.; Mani, V.; Chen, S.M.; Kumar, G.P.G.; Gajendran, P.; Devi, N.B.; Devasenathipathy, R. Recent progress in electrode fabrication materials and various insights in solar cells: Review. Int. J. Electrochem. Sci. 2015, 10, 3301–3318. [Google Scholar]
- Cacialli, F.; Wilson, J.; Michels, J.; Daniel, C.; Silva, C.; Friend, R.; Severin, R.; Samorì, P.; Rabe, J.; O’Connell, M.; et al. Cyclodextrin-threaded conjugated polyrotaxanes as insulated molecular wires with reduced interstrand interactions. Nat. Mater. 2002, 1, 160–164. [Google Scholar] [CrossRef] [PubMed]
- Bella, F.; Sacco, A.; Salvador, G.; Bianco, S.; Tresso, E.; Pirri, C.F.; Bongiovanni, R. First Pseudohalogen Polymer Electrolyte for Dye-Sensitized Solar Cells Promising for In Situ Photopolymerization. J. Phys. Chem. C 2013, 117, 20421–20430. [Google Scholar] [CrossRef]
- Van der Velde, J.H.M.; Ploetz, E.; Hiermaier, M.; Oelerich, J.; de Vries, J.W.; Roelfes, G.; Cordes, T. Mechanism of Intramolecular Photostabilization in Self-Healing Cyanine Fluorophores. ChemPhysChem 2013, 14, 4084–4093. [Google Scholar] [CrossRef] [PubMed]
- Al-Amiery, A.A. Antimicrobial and antioxidant activities of new metal complexes derived from (E)-3-((5-phenyl-1,3,4-oxadiazol-2-ylimino)methyl)naphthalen-2-ol. Med. Chem. Res. 2012, 21, 3204–3213. [Google Scholar] [CrossRef]
- Al-Amiery, A.A. Synthesis and antioxidant, antimicrobial evaluation, DFT studies of novel metal complexes derivate from Schiff base. Res. Chem. Int. 2012, 38, 745–759. [Google Scholar] [CrossRef]
- Al-Amiery, A.A.; Kadhum, A.A.H.; Mohamad, A.B.; Junaedi, S. A novel hydrazinecarbothioamide as a potential corrosion inhibitor for mild steel in HCl. Materials 2013, 6, 1420–1431. [Google Scholar] [CrossRef]
- Al-Amiery, A.A.; Al-Bayati, R.I.H.; Saour, K.Y.; Radi, M.F. Cytotoxicity, antioxidant and antimicrobial activities of novel 2-quinolone derivatives derived from coumarins. Res. Chem. Intermediat. 2011, 38, 559–569. [Google Scholar] [CrossRef]
- Al-Amiery, A.A.; Musa, A.Y.; Kadhum, A.H.; Mohamad, A.B. The use of umbelliferone in the synthesis of new heterocyclic compounds. Molecules 2011, 16, 6833–6843. [Google Scholar] [CrossRef]
- Kadhum, A.A.H.; Al-Amiery, A.A.; Musa, A.Y.; Mohamad, A.B. The Antioxidant Activity of New Coumarin Derivatives. Int. J. Mol. Sci. 2011, 12, 5747–5761. [Google Scholar] [CrossRef] [PubMed]
- Al-Amiery, A.A.; Al-Majedy, Y.K.; Kadhum, A.A.H.; Mohamad, A.B. Novel macromolecules derived from coumarin: synthesis and antioxidant activity. Sci. Rep. 2015, 5. [Google Scholar] [CrossRef] [PubMed]
- Al-Amiery, A.A.; Al-Majedy, Y.K.; Kadhum, A.A.H.; Mohamad, A.B. Hydrogen Peroxide Scavenging Activity of Novel Coumarins Synthesized Using Different Approaches. PLoS ONE 2015, 10, e0132175. [Google Scholar] [CrossRef]
- Balakit, A.A.; Ahmed, A.; El-Hiti, G.A.; Smith, K.; Yousif, E. Synthesis of new thiophene derivatives and their use as photostabilizers for rigid poly(vinyl chloride). Int. J. Polym. Sci. 2015. [Google Scholar] [CrossRef]
- Rabek, J.; Ranby, B. Photodegradation, Photooxidation and Photostabilization of Polymers; John Wiley: New York, NY, USA, 1975. [Google Scholar]
- Sabaa, M.W.; Oraby, E.H.; Abdul Naby, A.S.; Mohamed, R.R. N-Phenyl-3-substituted-5-pyrazolone derivatives as organic stabilizer for rigid PVC against photodegradation. J. Appl. Polym. Sci. 2005, 101, 1543–1555. [Google Scholar] [CrossRef]
- Rasheed, R.; Mansoor, H.; Yousif, E.; Hameed, A.; Farina, Y.; Graisa, A. Photostabilizing of PVC films by 2-(aryl)-5-[4-(aryloxy)-phenyl]-1,3,4-oxadiazole compounds. Eur. J. Sci. Res. 2009, 30, 464–477. [Google Scholar]
- Rabek, J.; Ranby, B. Photo-Degradation, Photooxidation and Photo-Stabilization of Polymers; John Wiley: New York, NY, USA, 1975. [Google Scholar]
- Mark, J. Physical Properties of Polymers Handbook; Springer: New York, NY, USA, 2007. [Google Scholar]
- Nakajima, N.; Sadeghi, M.; Kyu, T. Photodegradation of poly(methyl methacrylate) by monochromatic light: Quantum yield, effect of wavelengths, and light intensity. J. Appl. Poly. Sci. 1990, 41, 889–899. [Google Scholar] [CrossRef]
- Decker, C. Degradation of poly(vinyl chloride) by UV radiation—II: mechanism. Eur. Polym. J. 1984, 20, 149–155. [Google Scholar] [CrossRef]
- Mori, F.; Koyama, M.; Oki, Y. Studies on photodegradation of poly(vinyl chloride) (part 1). Die Angew. Makromol. Chem. 1977, 64, 89–99. [Google Scholar] [CrossRef]
- Shyichuk, A.; White, J. Analysis of chain-scission and crosslinking rates in the photo-oxidation of polystyrene. J. Appl. Polym. Sci. 2000, 77, 3015–3023. [Google Scholar] [CrossRef]
- Yousif, E. Synthesis, spectroscopic studies and fungicidal activity of some diorganotin(IV) with 2-[(phenylcarbonyl)amino]propanoate. J. King Saud Univ. (Sci.) 2012, 24, 167–170. [Google Scholar] [CrossRef]
- Simon, P.; Valko, L. Kinetics of polymer degradation involving the splitting off of small molecules: Part 6—Dehydrochlorination of PVC in an atmosphere of HCl Polym. Polym. Degrad. Stabil. 1992, 35, 249–253. [Google Scholar] [CrossRef]
- Yousif, E.; Hameed, S.; Bakir, E. Synthesis and photochemical study of of poly(vinyl chloride)-1,3,4-oxadiazole and 1,3,4-thiadiazole. J. Al-Nahrain Univ. 2007, 10, 7–12. [Google Scholar]
- Wagner, H.L. The Mark-Houwink-Sakurada Equation for the ViscosSity of linear polyethylene. J. Phys. Chem. Ref. Data 1985, 14, 611–617. [Google Scholar] [CrossRef]
- Sample Availability: Samples of the Schiff bases compounds are available from the authors.
© 2015 by the authors. Licensee MDPI, Basel, Switzerland. This article is an open access article distributed under the terms and conditions of the Creative Commons by Attribution (CC-BY) license ( http://creativecommons.org/licenses/by/4.0/).
Share and Cite
Yousif, E.; Al-Amiery, A.A.; Kadihum, A.; Kadhum, A.A.H.; Mohamad, A.B. Photostabilizing Efficiency of PVC in the Presence of Schiff Bases as Photostabilizers. Molecules 2015, 20, 19886-19899. https://doi.org/10.3390/molecules201119665
Yousif E, Al-Amiery AA, Kadihum A, Kadhum AAH, Mohamad AB. Photostabilizing Efficiency of PVC in the Presence of Schiff Bases as Photostabilizers. Molecules. 2015; 20(11):19886-19899. https://doi.org/10.3390/molecules201119665
Chicago/Turabian StyleYousif, Emad, Ahmed A. Al-Amiery, Abdulhadi Kadihum, Abdul Amir H. Kadhum, and Abu Bakar Mohamad. 2015. "Photostabilizing Efficiency of PVC in the Presence of Schiff Bases as Photostabilizers" Molecules 20, no. 11: 19886-19899. https://doi.org/10.3390/molecules201119665
APA StyleYousif, E., Al-Amiery, A. A., Kadihum, A., Kadhum, A. A. H., & Mohamad, A. B. (2015). Photostabilizing Efficiency of PVC in the Presence of Schiff Bases as Photostabilizers. Molecules, 20(11), 19886-19899. https://doi.org/10.3390/molecules201119665

