Design, Synthesis and Bioactivity of Novel Glycosylthiadiazole Derivatives
Abstract
:1. Introduction

2. Results and Discussion
2.1. Synthesis of the Title Compounds


| Compd. | R1 | R2 | Formula | Status | m.p./°C | Yield (%) |
|---|---|---|---|---|---|---|
| F-1 | Ac | 4-Br-C6H4- | C17H18BrN3O5S | White foamy solid | 204.1–204.7 | 79 |
| F-2 | Ac | 4-CH3-C6H4- | C18H21N3O5S | White foamy solid | 187.9–188.1 | 82 |
| F-3 | Ac | 4-CH3O-C6H4- | C18H21N3O6S | yellow foamy solid | 177.7–178.7 | 73 |
| F-4 | Ac | 2,4-(CH3)2-C6H4- | C19H23N3O5S | White foamy solid | 133.7–134.3 | 81 |
| F-5 | Ac | 3,4-Cl2-C6H4- | C17H17Cl2N3O5S | White foamy solid | 147.7–148.5 | 83 |
| F-6 | Ac | 2,5-Cl2-C6H4- | C17H17Cl2N3O5S | White foamy solid | 61.8–62.9 | 85 |
| F-7 | Ac | 1-Naphthyl- | C21H21N3O5S | White foamy solid | 57.0–58.1 | 65 |
| F-8 | Ac | 4-Cl-3-CF3-C6H3- | C18H17ClF3N3O5S | White foamy solid | 140.0–141.2 | 77 |
| F-9 | Ac | C6H4- | C17H19N3O5S | White foamy solid | 195.1–195.5 | 78 |
| F-10 | Ac | 4-NO2-C6H4- | C17H18N4O7S | yellow foamy solid | 198.4–198.7 | 73 |
| G-1 | All | 4-Br-C6H4- | C18H20BrN3O4S | White foamy solid | 204.1–204.7 | 68 |
| G-2 | All | 4-CH3-C6H4- | C19H23N3O4S | White foamy solid | 187.9–188.1 | 74 |
| G-3 | All | 4-CH3O-C6H4- | C19H23N3O5S | White foamy solid | 177.7–178.7 | 78 |
| G-4 | All | 2,4-(CH3)2-C6H4- | C20H25N3O4S | White foamy solid | 133.7–134.3 | 76 |
| G-5 | All | 3,4-Cl2-C6H4- | C18H19Cl2N3O4S | White foamy solid | 147.7–148.5 | 81 |
| G-6 | All | 2,5-Cl2-C6H4- | C18H19Cl2N3O4S | White foamy solid | 61.8–62.9 | 76 |
| G-7 | All | 1-Naphthyl- | C22H23N3O4S | yellow foamy solid | 57.0–58.1 | 68 |
| G-8 | All | 4-Cl-3-CF3-C6H3- | C19H19ClF3N3O4S | White foamy solid | 140.0–141.2 | 86 |
| G-9 | All | C6H4- | C18H21N3O4S | White foamy solid | 195.1–195.5 | 91 |
| G-10 | All | 4-NO2-C6H4- | C18H20N4O6S | White foamy solid | 198.4–198.7 | 71 |
2.2. Fungicidal Activity of Compounds F/G against Six Fungus Species
| Compds No. | S. sclerotiorum | P. parasitica Dast | B. cinerea | R. solani | P. oryzae Cav. | P. asparagi saecrdo |
|---|---|---|---|---|---|---|
| F-1 | 68 | 11 | 14 | 60 | 29 | −8 |
| F-2 | 76 | 40 | 50 | 65 | 52 | 35 |
| F-3 | 80 | 22 | 26 | 70 | 27 | 5 |
| F-4 | 84 | 35 | 32 | 69 | 58 | 50 |
| F-5 | 91 | 21 | 24 | 67 | 76 | 23 |
| F-6 | 94 | 97 | 66 | 77 | 72 | 25 |
| F-7 | 88 | 67 | 74 | 62 | 70 | 43 |
| F-8 | 89 | 37 | 51 | 53 | 46 | 21 |
| F-9 | 68 | 27 | −11 | 63 | 56 | 54 |
| F-10 | 52 | 12 | 6 | 59 | 41 | 25 |
| G-1 | 79 | 30 | 72 | 58 | 80 | 26 |
| G-2 | 87 | 32 | 79 | 77 | 81 | 15 |
| G-3 | 74 | 65 | 50 | 80 | 79 | 66 |
| G-4 | 93 | 61 | 88 | 62 | 87 | 51 |
| G-5 | 85 | 74 | 84 | 56 | 85 | 84 |
| G-6 | 90 | 63 | 77 | 63 | 87 | 98 |
| G-7 | 92 | 42 | 85 | 68 | 85 | 66 |
| G-8 | 98 | 64 | 80 | 59 | 83 | 71 |
| G-9 | 86 | 40 | 64 | 55 | 79 | 85 |
| G-10 | 91 | 43 | 81 | 55 | 78 | 57 |
| Chlorothalonil | 93 | 92 | 84 | 100 | 82 | 94 |
2.3. Precise Fungicidal Activity of Compounds F/G Against S. sclerotiorum
| Compds No. | Regression eq | r | EC50 (μg/mL) | EC90 (μg/mL) |
|---|---|---|---|---|
| F-1 | Y = 4.93 + 0.57x | 0.9416 | 1.33 | 247.14 |
| F-2 | Y = 3.96 + 1.39x | 0.9880 | 5.64 | 47.03 |
| F-3 | Y = 4.77 + 0.58x | 0.9791 | 2.45 | 382.78 |
| F-4 | Y = 4.11 + 1.04x | 0.9717 | 7.11 | 120.46 |
| F-5 | Y = 5.31 + 0.58x | 0.9349 | 0.29 | 47.38 |
| F-6 | Y = 3.93 + 1.80x | 0.9758 | 3.94 | 20.30 |
| F-7 | Y = 2.04 + 2.18x | 0.9937 | 22.53 | 87.03 |
| F-8 | Y = 4.80 + 1.11x | 0.9543 | 1.50 | 21.6 |
| F-9 | Y = 4.51 + 0.72x | 0.9798 | 4.70 | 276.27 |
| F-10 | Y = 4.13 + 0.56x | 0.9765 | 37.13 | 7558.45 |
| G-1 | Y = 3.84 + 1.29x | 0.9059 | 8.01 | 79.59 |
| G-2 | Y = 3.94 + 1.58x | 0.9993 | 4.70 | 30.32 |
| G-3 | Y = 4.75 + 0.63x | 0.9457 | 2.51 | 273.14 |
| G-4 | Y = 2.48 + 2.52x | 0.9859 | 9.92 | 31.89 |
| G-5 | Y = 4.83 + 0.96x | 0.9880 | 1.50 | 32.10 |
| G-6 | Y = 4.80 + 0.94x | 0.9871 | 1.62 | 37.28 |
| G-7 | Y = 4.68 + 1.06x | 0.9940 | 2.00 | 32.30 |
| G-8 | Y = 5.34 + 0.99x | 0.9961 | 0.46 | 8.91 |
| G-9 | Y = 4.32 + 1.26x | 0.9809 | 3.44 | 35.81 |
| G-10 | Y = 4.69 + 1.00x | 0.9534 | 2.02 | 38.63 |
| Chlorothalonil | 5.19 + 0.84x | 0.9784 | 0.59 | 19.56 |
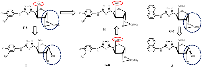
2.4. Effect of Structure Modifications on the Sugar Ring around Compound F/G
| Compds No. | Regression eq | r | EC50 | EC90 |
|---|---|---|---|---|
| H | Y = 4.40 + 0.91x | 0.8678 | 4.61 | 119.37 |
| I | Y = 4.27 + 0.80x | 0.9963 | 8.18 | 321.93 |
| J | Y = 2.80 + 1.72x | 0.9228 | 18.91 | 105.14 |
| Compd No. | Inhibition Rate (%) | Compd No. | Inhibition Rate (%) |
|---|---|---|---|
| F-1 | 13.2 | G-1 | 12.0 |
| F-2 | 15.3 | G-2 | 10.8 |
| F-3 | 17.7 | G-3 | 16.1 |
| F-4 | 18.5 | G-4 | 15.2 |
| F-5 | 18.3 | G-5 | 25.8 |
| F-6 | 19.1 | G-6 | 17.4 |
| F-7 | 17.9 | G-7 | 28.1 |
| F-8 | 18.1 | G-8 | 26.5 |
| F-9 | 14.7 | G-9 | 20.3 |
| F-10 | 13.3 | G-10 | 24.2 |
| H | 29.4 | J | 36.2 |
| I | 35.8 |
2.5. Bioassay of Enzyme Inhibitory Activities [34,35,36,37]
is the average concentration of glucosamine-6-phosphate in the blank test, and
is the average concentration of glucosamine-6-phosphate in the presence of target compounds. The inhibition rates were given in Table 5 at 0.35 mm.3. Experimental
3.1. General Methods
3.2. Chemical Synthesis
3.3. Fungicidal Assays
3.4. Enzyme Inhibitory Activities Bioassay
4. Conclusions
Supplementary Materials
Acknowledgments
Author Contributions
Conflicts of Interest
References
- Horii, S.; Kameda, Y.; Kawahara, K. Studies on validamycins, new antibiotics. VIII. Validamycins C, D, E and F. J. Antibiot. 1972, 25, 48–53. [Google Scholar] [CrossRef]
- Asano, N.; Takeuchi, M.; Kameda, Y.; Matsui, K.; Kono, Y. Trehalase inhibitors, validoxylamine A and related compounds as insecticides. J. Antibiot. 1990, 43, 722–726. [Google Scholar] [CrossRef]
- Kyosseva, S.V.; Kyossev, Z.N.; Elbein, A.D. Elbein, Inhibitors of pig kidney trehalase. Arch. Biochem. Biophys. 1995, 316, 821–826. [Google Scholar] [CrossRef]
- Schatz, A.; Bugie, E.; Waksman, S.A. Streptomycin, a substance exhibiting antibiotic activity against Gram-positive and Gram-negative bacteria. Proc. Soc. Exp. Biol. Med. 1944, 55, 66–69. [Google Scholar] [CrossRef]
- Hamada, M.; Hashimoto, T.; Takahashi, T.; Yokoyama, S.; Miyake, M.; Takeuchi, T.; Okami, Y.; Umezawa, H.A. Antimicrobial activity of kasugamycin. J. Antibiot. Ser. A 1965, 18, 104–106. [Google Scholar]
- Geopffrey, H.; Davis, I. Avermectins and milbemycins Part I. Chem. Soc. Rev. 1991, 20, 211–260. [Google Scholar] [CrossRef]
- Chabala, J.C.; Fisher, M.H. Selective Hydrogenation Products of C-076 Compounds and Derivatives Thereof. U.S. Patent 4,199,569, 22 4 1980. [Google Scholar]
- Mrozik, H.; Eskola, P.; Linn, B.O.; Lusi, A.; Shih, T.L.; Tischler, M.; Waksmunski, F.S.; Wyvratt, M.J.; Hilton, N.J. Discovery of novel avermectins with unprecedented insecticidal activity. Experientia 1989, 45, 315–316. [Google Scholar] [CrossRef]
- Gary, D.; Thomapson, R.D.; Thomas, C.S. Spinosad-a case study: An example from a natural products discovery programme. Pest. Manag. Sci. 2000, 56, 696–702. [Google Scholar] [CrossRef]
- Da Rocha, D.R.; Santos, W.C.; Lima, E.S.; Ferreira, V.F. Synthesis of 1,2,3-triazole glycoconjugates as inhibitors of α-glucosidases. Carbohydr. Res. 2012, 350, 14–19. [Google Scholar]
- Zhang, P.; Wei, C.; Wang, E.; Wang, W.; Liu, M.; Yin, Q.; Chen, H.; Wang, K.; Li, X.; Zhang, J. Synthesis and biological activities of novel isoxazoline-linked pseudo-disaccharide derivatives. Carbohydr. Res. 2012, 351, 7–16. [Google Scholar]
- Chen, H.; Jiao, L.; Guo, Z.; Li, X.; Ba, C.; Zhang, J. Synthesis and biological activity of novel thiazolidin-4-ones with a carbohydrate moiety. Carbohydr. Res. 2008, 343, 3015–3020. [Google Scholar]
- Bokor, E.; Docsa, T.; Gergely, P.; Somsak, L. Synthesis of 1-(-glucopyranosyl)-1,2,3-triazoles and their evaluation as glycogen phosphorylase inhibitors. Bioorg. Med. Chem. 2010, 18, 1171–1180. [Google Scholar] [CrossRef]
- Noolvi, M.; Patel, H.; Singh, N.; Gadad, A.; Cameotra, S.; Badiger, A. Synthesis and anticancer evaluation of novel 2-cyclopropylimidazo[2,1-b] [1,3,4]-thiadiazole derivatives. Eur. J. Med. Chem. 2011, 46, 4411–4418. [Google Scholar] [CrossRef]
- Shen, X.; Zhong, H.; Zheng, H.; Zhang, H.; Zhao, G.; Wu, Q.; Mao, H.; Wang, E.; Zhu, Y. Crystal structure, thermal decomposition kinetics and antimicrobial activities of [Zn(eatz)2(OAc)2] (eatz=5-ethyl-2-amino-1,3,4-thiadiazole). Polyhedron 2004, 23, 1851–1857. [Google Scholar] [CrossRef]
- Oruc, E.; Rollas, S.; Kandemirli, F.; Shvets, N.; Dimoglo, A. 1,3,4-Thiadiazole derivatives. Synthesis, structure elucidation, and structure-antituberculosis activity relationship investigation. J. Med. Chem. 2004, 47, 6760–6767. [Google Scholar] [CrossRef]
- Pattanayak, P.; Sharma, R. 2-Amino-5-sulphanyl-1,3,4-thiadiazole derivatives as anticonvulsant agents: Synthesis and evaluation. Indian J. Chem. B. 2011, 49B, 1531–1534. [Google Scholar]
- Kadi, A.; Al-Abdullah, E.; Shehata, I.; Habib, E.; Ibrahim, T.; El-Emam, A. Synthesis, antimicrobial and anti-inflammatory activities of novel 5-(1-adamantyl)-1,3,4-thiadiazole derivatives. Eur. J. Med. Chem. 2010, 45, 5006–5011. [Google Scholar] [CrossRef]
- Schenone, S.; Brullo, C.; Bruno, O.; Bondavalli, F.; Ranise, A.; Filippelli, W.; Rinaldi, B.; Capuano, A.; Falcone, G. New 1,3,4-thiadiazole derivatives endowed with analgesic and anti-inflammatory activities. Bioorg. Med. Chem. 2006, 14, 1698–1705. [Google Scholar]
- Chen, C.; Song, B.; Yang, S.; Xu, G.; Bhadury, P.S.; Jin, L.; Hu, D.; Li, Q.; Liu, F.; Xue, W.; et al. Synthesis and antifungal activities of 5-(3,4,5-trimethoxyphenyl)-2-sulfonyl-1,3,4-thiadiazole and 5-(3,4,5-trimethoxyphenyl)-2-sulfonyl-1,3,4-oxadiazole derivatives. Bioorg. Med. Chem. 2007, 15, 3981–3989. [Google Scholar]
- Niewiadomy, A.; Matysiak, J. Fungicidal evaluation of substituted 4-(1,3,4-thiadiazol-2-yl) benzene-1,3-diols. Pestycydy 2011, 1–4, 5–14. [Google Scholar]
- Wan, R.; Zhang, J.; Han, F.; Wang, P.; Yu, P.; He, Q. Synthesis and insecticidal activities of novel 1,3,4-thiadiazole 5-fluorouracil acetamides derivatives: An RNA interference insecticide. Nucleos. Nucleot. Nucleic Acids 2011, 30, 280–292. [Google Scholar] [CrossRef]
- Wang, T.; Miao, W.; Wu, S.; Bing, G.; Zhang, X.; Qin, Z.; Yu, H.; Qin, X.; Fang, J. Synthesis, crystal structure, and herbicidal activities of 2-cyanoacrylates containing 1,3,4-thiadiazole moieties. Chin. J. Chem. 2011, 29, 959–967. [Google Scholar] [CrossRef]
- Chen, C.; Zhang, Z.; Du, M.; Wang, S.; Wang, Y. Synthesis of N-[[(5-mercapto-1,3,4-thiadiazol-2-yl)amino]carbonyl]benzamide and 2-(phenoxy)-N-[[(5-mercapto-1,3,4-thiadiazol-2-yl)amino]carbonyl]acetamide derivatives and determination of their activity as plant growth regulators. Chin. J. Org. Chem. 2007, 27, 1444–1447. [Google Scholar]
- Chen, L.; Wang, D.; Jin, S. Synthesis and fungicidal activity of 2-(1,11-undecylidene)-5-substituted imino-Δ3–1,3,4-thiadiazolines. Chin. J. Appl. Chem. 2002, 19, 212–215. [Google Scholar]
- Yang, X.; Jin, S.; Yang, C.; Wang, D. Synthesis and fungicidal activity of 2-(1,5-pentamethylene)-5-substituted imino-Δ3-1,3,4-thiadiazolines. Chin. J. Pest. Sci. 2004, 6, 22–25. [Google Scholar]
- Li, J.; Liang, X.; Jin, S.; Zhang, J.; Yuan, H.; Qi, S.; Chen, F.; Wang, D. Synthesis, fungicidal activity, and structure-activity relationship of spiro-compounds containing macrolactam (macrolactone) and thiadiazoline rings. J. Agric. Food Chem. 2010, 58, 2659–2663. [Google Scholar]
- Zhang, J.; Wang, D.; Yan, S.; Liang, X.; Wu, J. Preparation of Thiadiazoline and Furan Ring-Containing Spirocyclic Compounds as Fungicides. CN 101624396, 13 1 2010. [Google Scholar]
- Zhang, J.; Zong, G.; Liang, X.; Wang, D. Preparation of Furanosyl-Modified 1,3,4-thiadiazole Derivatives as Agricultural Bactericides. CN 102153602, 24 2 2011. [Google Scholar]
- Durand, P.; Golinelli-Pimpaneau, B.; Mouilleron, S.; Badet, B.; Badet-Denisot, M.A. Highlights of glucosamine-6P synthase catalysis. Arch. Biochem. Biophys. 2008, 474, 302–317. [Google Scholar]
- Zou, X.J.; Lai, L.H.; Jin, G.Y.; Zhang, Z.X. Synthesis, fungicidal activity, and 3D-QSAR of pyridazinone-substituted 1,3,4-oxadiazoles and 1,3,4-thiadiazoles. J. Agric. Food Chem. 2002, 50, 3757–3760. [Google Scholar] [CrossRef]
- Kalidhar, U.; Kaur, A. 1,3,4-Thiadiazole derivatives and their biological activities: A review. Res. J. Pharm. Biol. Chem. Sci. 2011, 2, 1091–1106. [Google Scholar]
- Han, M.J.; Yoo, K.S.; Kim, Y.H.; Chang, J.Y. Polymeric enzyme mimics: Catalytic activity of ribose-containing polymers for a phosphate substrate. Org. Biomol. Chem. 2003, 1, 2276–2282. [Google Scholar] [CrossRef]
- Olchowy, J.; Kur, K.; Sachadyn, P. Construction, purification, and functional characterization of his-tagged candida albicans glucosamine-6-phosphate synthase expressed in escherichia coli. Protein Expr. Purif. 2006, 46, 309–315. [Google Scholar] [CrossRef]
- Chittur, S.V.; Griffith, R.K. Multisubstrate analogue inhibitors of glucosamine-6-phosphate synthase from candida albicans. Bioorg. Med. Chem. Lett. 2002, 12, 2639–2642. [Google Scholar] [CrossRef]
- Bearne, S.L. Active site-directed inactivation of escherichia coli glucosamine-6-phosphate synthase. J. Biol. Chem. 1996, 271, 3052–3057. [Google Scholar]
- Dias, D.F.; Roux, C.; Durand, P.; Iorga, B.; Badet-Denisot, M.A.; Badet, B.; Alves, R.J. Design, synthesis and In Vitro evaluation on glucosamine-6P synthase of aromatic analogs of 2-aminohexitols-6P. J. Braz. Chem. Soc. 2010, 21, 680–685. [Google Scholar] [CrossRef]
- Zhao, H.Q.; Zhou, M.J.; Duan, L.F.; Wang, W.; Zhang, J.J.; Wang, D.Q.; Liang, X.M. Efficient Synthesis and Anti-Fungal Activity of Oleanolic Acid Oxime Esters. Molecules 2013, 18, 3615–3629. [Google Scholar] [CrossRef]
- Kaliappan, K.P.; Kumar, N. Efficient metathesis route to the B-ring of eleutherobin and other medium-sized cyclic ethers. Tetrahedron 2005, 61, 7461–7469. [Google Scholar] [CrossRef]
- Tisler, M. Syntheses in the 4-substituted thiosemicarbazide series. Croat. Chem. Acta 1956, 28, 147–154. [Google Scholar]
- Li, X.H.; Yang, X.L.; Ling, Y.; Fan, Z.J.; Liang, X.M.; Wang, D.Q.; Chen, F.H.; Li, Z.M. Synthesis and fungicidal activity of novel 2-oxocycloalkylsulfonylureas. J. Agric. Food Chem. 2005, 53, 2202–2206. [Google Scholar] [CrossRef]
- Sample Availability: Samples of the compounds C-5, C-6, C-8, F-8 and G-8 are available from the authors.
© 2014 by the authors. licensee MDPI, Basel, Switzerland. This article is an open access article distributed under the terms and conditions of the Creative Commons Attribution license ( http://creativecommons.org/licenses/by/3.0/).
Share and Cite
Zong, G.; Zhao, H.; Jiang, R.; Zhang, J.; Liang, X.; Li, B.; Shi, Y.; Wang, D. Design, Synthesis and Bioactivity of Novel Glycosylthiadiazole Derivatives. Molecules 2014, 19, 7832-7849. https://doi.org/10.3390/molecules19067832
Zong G, Zhao H, Jiang R, Zhang J, Liang X, Li B, Shi Y, Wang D. Design, Synthesis and Bioactivity of Novel Glycosylthiadiazole Derivatives. Molecules. 2014; 19(6):7832-7849. https://doi.org/10.3390/molecules19067832
Chicago/Turabian StyleZong, Guanghui, Hanqing Zhao, Rui Jiang, Jianjun Zhang, Xiaomei Liang, Baoju Li, Yanxia Shi, and Daoquan Wang. 2014. "Design, Synthesis and Bioactivity of Novel Glycosylthiadiazole Derivatives" Molecules 19, no. 6: 7832-7849. https://doi.org/10.3390/molecules19067832
APA StyleZong, G., Zhao, H., Jiang, R., Zhang, J., Liang, X., Li, B., Shi, Y., & Wang, D. (2014). Design, Synthesis and Bioactivity of Novel Glycosylthiadiazole Derivatives. Molecules, 19(6), 7832-7849. https://doi.org/10.3390/molecules19067832
