Chemical Profile Analysis and Comparison of Two Versions of the Classic TCM Formula Danggui Buxue Tang by HPLC-DAD-ESI-IT-TOF-MSn
Abstract
:1. Introduction
2. Results and Discussion
2.1. Optimization the Conditions of HPLC and Mass Spectrometry
2.2. The Identification and Analysis of 19 Reference Compounds
| NO. | TR (min) | [M+H]+ | [M−H]− | Predicted Formula | Fragment Ions Da | Error (ppm) | The Name of the Reference Compounds |
|---|---|---|---|---|---|---|---|
| 1(T1) | 28.595 | 447.1290 | C22H22O10 | 447,285,270,225 | 0.89 | Calycosin-7-O-β-d-glucopyranoside | |
| 2(AW) | 29.162 | 193.0501 | C10H10O4 | 193,178,134 | −2.59 | Ferulic acid | |
| 3(T2) | 34.545 | 431.1326 | C22H22O9 | 431,269,253,237,213,197,163,134,107 | −2.55 | Ononin | |
| 4(T3) | 36.038 | 485.1400 | [M+Na]+ | C23H26O10 | 485,463,323,301 | −3.71 | Astrapterocarpan-7-O-β-d-glucopyranoside |
| 5(T4) | 36.785 | 487.1574 | [M+Na]+ | C23H28O10 | 487,303,167 | −0.21 | Astraisoflavan-7-O-β-d-glucopyranoside |
| 6(T5) | 38.055 | 285.0754 | C16H12O5 | 285,270,253,225,197,137 | −1.40 | Calycosin | |
| 7(T6) | 40.123 | 473.1432 | C24H24O10 | 473,269 | −2.11 | 6''-O-acetyl-ononin | |
| 8(T7) | 41.942 | 529.1691 | [M+Na]+ | C25H30O11 | 529,507,303 | 2.08 | 6''-O-acetyl-astraisoflavan-7-O-β-d-glucopyranoside |
| 9(T8) | 45.410 | 269.0795 | C16H12O4 | 269,270,237 | −4.83 | Formononetin | |
| 10(T9) | 46.062 | 301.1076 | C17H16O5 | 301,271,251,167,151,134 | 1.66 | (6aR,11aR)-3-hydroxy-9,10-dimethoxypterocarpan; Astrapterocarpan | |
| 11(T10) | 46.655 | 303.1213 | C17H18O5 | 303,181,167,149,123 | −4.62 | (3R)-7,2'-dihydroxy-3',4'-dimethoxyisoflavan; Astraisoflavan | |
| 12(GⅤ) | 41.110 | [M+HCOO]− | 991.5156 | C47H78O19 | 991,783,397 | 3.73 | Astragaloside Ⅴ |
| 13(GⅣ) | 42.775 | [M+HCOO]− | 829.4615 | C41H68O14 | 829,783,621,489,383 | 2.89 | Astragaloside Ⅳ |
| 14(GⅢ) | 43.410 | [M+HCOO]− | 829.4585 | C41H68O14 | 829,783,651,489 | −0.72 | Astragaloside Ⅲ |
| 15(GⅡ) | 44.628 | [M+HCOO]− | 871.4693 | C43H70O15 | 871,765,717 | −0.46 | Astragaloside Ⅱ |
| 16(GⅠ) | 50.525 | [M+HCOO]− | 913.4802 | C45H72O16 | 913,867,807 | 0.00 | Astragaloside Ⅰ |
| 17(HHQC) | 51.855 | 513.3550 | [M+Na]+ | C30H50O5 | 513,515,405,229 | 0.00 | Cycloastragenol(HHQC) |
| 18(ZL) | 55.477 | 191.1056 | C12H14O2 | 191,173,117 | −5.76 | Z-ligustilide | |
| 19(EL) | 58.102 | 191.1066 | C12H14O2 | 191,173 | −0.52 | E-ligustilide |


2.3. Profiling and Identifying Chemical Compounds of the Two Crude Extracts (DBT1, and DBT2) by HPLC-DAD-ESI-IT-TOF-MSn
2.3.1. Identification of the Chemical Profiles of DBT1 by HPLC-DAD-ESI-IT-TOF-MSn
| NO. | TR (min) | [M+H]+ | [M−H]− | Predicted Formula | Fragment Ions Da | Error ppm | Identification | DBT1 | DBT2 |
|---|---|---|---|---|---|---|---|---|---|
| 1 | 2.395 | 173.1044 | C6H14N4O2 | 0.00 | Arginine | C1 | c1 | ||
| 2 | 2.692 | 195.0502 | C6H12O7 | −4.10 | Gluconic acid | C2 | c2 | ||
| 3 | 2.695 | 341.1074 | C12H22O11 | −4.40 | d(+)sucrose | C3 | c3 | ||
| 4 | 3.643 | 191.0187 | C6H8O7 | 191,173 | −5.24 | Citric acid | C4 | c4 | |
| 5 | 4.477 | 328.0427 | C11H11N3O9 | 1.22 | -- | C5 | c5 | ||
| 6 | 6.480 | 346.0529 | C11H11N3O10 | 3.47 | -- | C6 | c6 | ||
| 7 | 9.063 | 433.1364 | C18H26O12 | 301,191 | 4.91 | -- | C7 | -- | |
| 8 | 9.120 | 443.1146 | [M+Na]+ | C17H24O12 | −3.16 | ---- | -- | c7 | |
| 9 | 9.345 | 267.1369 | C18H18O2 | 267,225 | −4.12 | Magnolol | -- | c8 | |
| 10 | 9.398 | 433.1364 | C18 H26O12 | 433,351,301,223 | 2.77 | -- | C8 | -- | |
| 11 | 10.773 | 188.0688 | C9 H11NO2 | 146 | 3.19 | L-phenylalanine | C9 | c9 | |
| 12 | 11.125 | 431.1192 | C18 H24O12 | 431,299 | −0.70 | -- | C10 | -- | |
| 13 | 12.653 | 384.1127 | C13H21NO12 | −2.60 | -- | C11 | c10 | ||
| 14 | 13.840 | 461.1283 | C19H26O13 | 461,167 | −3.90 | -- | -- | c11 | |
| 15 | 13.847 | 485.1224 | [M+Na]+ | C26H22O8 | 485,317 | 3.50 | -- | C12 | -- |
| 16 | 17.807 | 205.0701 | C8H14O6 | −8.29 | -- | C13 | -- | ||
| 17 | 21.147 | 315.2004 | C20H28O3 | 12.06 | -- | C14 | -- | ||
| 18 | 21.207 | 433.1129 | C21H22O10 | 433,285 | −2.54 | -- | -- | c12 | |
| 19 | 21.322 | 433.1121 | C21H22O10 | 433,285,241 | −4.39 | -- | -- | c13 | |
| 20 | 22.020 | 417.1017 | C17H22O12 | 417,285,152 | -5.03 | -- | C15 | c14 | |
| 21 | 23.080 | 389.2325 | C23H32O5 | 0.51 | -- | C16 | c16 | ||
| 22 | 23.018 | 401.1445 | C18H26O10 | 401,269,161 | −1.99 | -- | C17 | c15 | |
| 23 | 23.590 | 503.1175 | C24H24O12 | 503,443,299 | −3.98 | 6''-O-acetyl-pratensein-7-O-β-d-glucoside | C18 | -- | |
| 24 | 24.347 | 239.0568 | C11H12O6 | 2.93 | -- | C19 | -- | ||
| 25 | 25.662 | 331.2296 | C21H30O3 | 331,299 | 8.45 | -- | C20 | -- | |
| 26 | 26.743 | 470.1534 | C18H23N5O10 | 3.40 | -- | C21 | -- | ||
| 27 | 26.967 | 289.1747 | C13H24N2O5 | 289,272,152 | −3.80 | -- | C22 | c17 | |
| 28 | 30.653 | 479.1492 | C30H24O6 | 479,317 | −1.67 | -- | C26 | -- | |
| 29 | 30.773 | [M+HCOO]− | 671.2155 | C29H38O15 | 671,625,463,301 | −5.66 | Astraisoflavan-di-7-O-β-d-glucoside | C27 | -- |
| 30 | 31.005 | 579.2062 | C23H36N2O15 | 579,417,387 | 3.28 | -- | C28 | -- | |
| 31 | 31.348 | 445.1123 | C22H22O10 | 445,283 | −3.82 | Glycetein-4'-O-β-d-glucoside | C29 | -- | |
| 32 | 32.078 | 463.1203 | C22H22O11 | 463,301 | −6.91 | Kaempferide-7-O-β-d-glucoside | C30 | -- | |
| 33 | 32.662 | 533.1267 | C25H24O13 | 533,285 | −4.31 | 6''-O-malonate-calycosin-7-O-β-d-glucoside | C31 | -- | |
| 34 | 34.207 | 489.1398 | C24H24O11 | 489,285 | 1.43 | 6''-O-acetyl-calycosin-7-O-β-d-glucoside | C32 | -- | |
| 35 | 34.517 | 431.1322 | C22H22O9 | 431,269,237,118 | −3.48 | Ononin | C33 | c18 | |
| 36 | 35.348 | 489.1340 | C24H26O11 | 489,285,271,159 | −12.68 | 6''-O-acetyl-isosakuranetin-7-O-β-d-glucoside | C34 | -- | |
| 37 | 35.580 | 549.1174 | C25H24O14 | 549,301 | −11.84 | 6''-O-malonate-kaempferide-7-O-β-d-glucoside | C35 | -- | |
| 38 | 36.027 | 463.1615 | C23H26O10 | 485(+Na+),463,301 | 3.45 | Astrapterocarpan-7-O-β-d-glucopyranoside | C36 | -- | |
| 39 | 36.773 | 463.1577 | C23H28O10 | 463,301,271 | −7.13 | Astraisoflavan-7-O-β-d-glucopyranoside | C37 | -- | |
| 40 | 37.480 | 255.0657 | C15H12O4 | 255,135 | −2.35 | Isoliquiritigenin | -- | c19 | |
| 41 | 38.035 | 285.0744 | C16H12O5 | 285,270,225,137 | −4.91 | Calycosin | C38 | c20 | |
| 42 | 39.917 | 269.0807 | C16H14O4 | 269,253,227 | −4.46 | Isomer of alpinetin | -- | c21 | |
| 43 | 39.977 | 255.0657 | C15H12O4 | 255,237 | −2.35 | Liquiritigenin | -- | c22 | |
| 44 | 38.653 | 315.0844 | C17H14O6 | −6.03 | 4-methoxy-maackiain or the isomer | C39 | -- | ||
| 45 | 38.653 | 473.1445 | C24H24O10 | 473,269 | 0.63 | The isomer of 6''-O-acetyl-ononin | C40 | -- | |
| 46 | 38.773 | 447.1264 | C22H22O10 | 447,285 | −4.92 | Glycetein-7-O-β-d-glucoside | C41 | -- | |
| 47 | 38.997 | 549.1545 | C26H28O13 | 549,301 | −10.56 | 6''-O-malonate-astrapterocarpan-glucoside | C42 | -- | |
| 48 | 39.452 | 517.1301 | C25H24O12 | 517,269 | −7.73 | 6''-O-malonate-ononin | C43 | -- | |
| 49 | 39.683 | 505.1699 | C25H30O11 | 505,301 | −3.17 | 6''-O-acetyl-astraisoflavan-7-O-β-d-glucoside | C44 | -- | |
| 50 | 39.745 | 957.5030 | C48H78O19 | 957,541,453 | −3.66 | Soyasaponin Ba | C45 | c23 | |
| 51 | 40.138 | 473.1424 | C24H24O10 | 473,269 | −3.80 | 6''-O-acetyl-ononin | C46 | -- | |
| 52 | 40.903 | 927.4915 | C47H76O18 | −4.74 | Akebia saponin d | -- | c24 | ||
| 53 | 40.430 | 503.1154 | C24H24O12 | 503,299 | −8.15 | 6''-O-acetyl-kaempferide-7-O-β-d-glucoside | C47 | -- | |
| 54 | 40.825 | 785.4629 | C41H70O14 | −8.15 | Cyclocanthoside E | C48 | -- | ||
| 55 | 41.108 | 991.5086 | C48H80O21 | −3.33 | Astragaloside V | C49 | -- | ||
| 56 | 41.273 | 285.0751 | C16H14O5 | 285,194,109 | −5.96 | Isomer of isosakuranetin | -- | c25 | |
| 57 | 41.772 | 269.0456 | C15H10O5 | 269,237 | 0.37 | Genistein | -- | c26 | |
| 58 | 41.778 | 315.0868 | C17H16O6 | 315,253 | −1.90 | Astragaluquinone or isomer | C50 | -- | |
| 59 | 41.950 | 533.1243 | C25H24O13 | 533,285 | −8.82 | 6''-O-malonate-glycetein-7-O-β-d-glucoside | C51 | -- | |
| 60 | 42.062 | 867.4635 | C45H72O16 | −13.03 | Isoastragaloside I | C52 | -- | ||
| 61 | 42.243 | 283.0602 | C16H12O5 | 283,268,224 | −3.53 | Glycetein | -- | c27 | |
| 62 | 42.612 | [M+HCOO]− | 829.4572 | C41H68O14 | −2.29 | Astragaloside IV | C53 | -- | |
| 63 | 42.560 | 825.4532 | C43H70O15 | 871,825 | −13.33 | Isoastragaloside II | C54 | -- | |
| 64 | 42.965 | 329.2319 | C18H34O5 | −4.25 | -- | -- | c28 | ||
| 65 | 43.197 | 955.4857 | C48H76O19 | −5.34 | -- | -- | c29 | ||
| 66 | 44.690 | 287.0577 | C15H12O6 | 5.57 | Dihydro-kaempferol | -- | c30 | ||
| 67 | 44.982 | 255.0649 | C15H12O4 | 256,135 | −5.49 | Isomer of Liquiritigenin | -- | c31 | |
| 68 | 45.315 | 269.0791 | C16H12O4 | 269,254,237,118 | −6.32 | Formononetin | C56 | c32 | |
| 69 | 44.190 | 941.5081 | C48H78O18 | 941,525,437 | −3.61 | Soyasaponin Bb | C55 | c35 | |
| 70 | 45.745 | 299.0911 | C17H14O5 | 299,284,166 | Pterocarpin | -- | c33 | ||
| 71 | 45.935 | 329.2299 | C18H34O5 | −10.33 | -- | C57 | -- | ||
| 72 | 46.080 | 283.0599 | C16H12O5 | 283,255,240 | −4.59 | The isomer of glycetein | -- | c34 | |
| 73 | 46.158 | 301.1052 | C17H16O5 | −6.31 | Astraoptercarpan | C58 | -- | ||
| 74 | 46.708 | 303.1181 | C17H18O5 | −15.18 | Astraisoflavan | C59 | -- | ||
| 75 | 46.768 | [M+HCOO]− | 871.4656 | C43H70O15 | 871,825,603 | −4.70 | Astragaloside II | C60 | -- |
| 76 | 47.172 | [M+HCOO]− | 911.4668 | C45H70O16 | 955,911 | 2.41 | -- | C61 | -- |
| 77 | 47.772 | 299.0552 | C16H12O6 | −3.01 | Kaempferide or isomer | -- | c36 | ||
| 78 | 47.943 | 909.4836 | C47H74O17 | −1.87 | Acetylastragaloside I | -- | c37 | ||
| 79 | 48.347 | [M+HCOO]− | 911.5011 | C46H74O15 | 0.11 | Castaraleside H | -- | c38 | |
| 80 | 49.432 | 285.0423 | C15H10O6 | 285,163 | 6.31 | Kaempferol or isomer | C62 | -- | |
| 81 | 50.065 | 939.4925 | C48H76O18 | −3.62 | -- | -- | c39 | ||
| 82 | 50.435 | 285.0748 | C16H12O5 | 285,253,152 | −3.51 | Isomer of calycosin | -- | c40 | |
| 83 | 50.667 | 335.2180 | [M+Na]+ | C18H32O4 | −3.88 | -- | C63 | c41 | |
| 84 | 50.713 | [M+HCOO]− | 913.4777 | C45H72O16 | −2.74 | Astragaloside I | C64 | -- | |
| 85 | 51.560 | 193.1212 | C12H16O2 | −5.70 | Senkyunolide A | -- | c42 | ||
| 86 | 51.607 | [M+HCOO]− | 953.4637 | C47H72O17 | 953,909 | −12.06 | -- | C65 | -- |
| 87 | 52.363 | 437.3374 | [M+Na]+ | C28H46O2 | −3.66 | -- | C66 | -- | |
| 88 | 55.212 | 191.1043 | C12H14O2 | −12.56 | n-butyl-phthalide | -- | c43 | ||
| 89 | 59.250 | 213.0876 | [M+Na]+ | C12H14O2 | 403,213 | −4.69 | Z-ligustilide | C67 | c44 |
| 90 | 61.708 | 403.1867 | [2M+Na]+ | C12H14O2 | 403,381,191 | −3.22 | E-ligustilide | C68 | c45 |
| 91 | 69.093 | 283.0257 | C15H8O6 | 283,203,147 | 3.18 | -- | C69 | c46 |

2.3.2. Identification of the Chemical Profiles of DBT2 by HPLC-DAD-ESI-IT-TOF-MSn

| N. | ID. | S-ID. | T.ID. | S% | H + S | S% |
|---|---|---|---|---|---|---|
| DBT1 | 69 | 24 | 115−24 = 91 | 26.37 | 56 | 61.54 |
| DBT2 | 46 | |||||
| DBT1-U | 44 | 19 | 78−19 = 59 | 32.20 | 48 | 81.35 |
| DBT2-U | 34 |
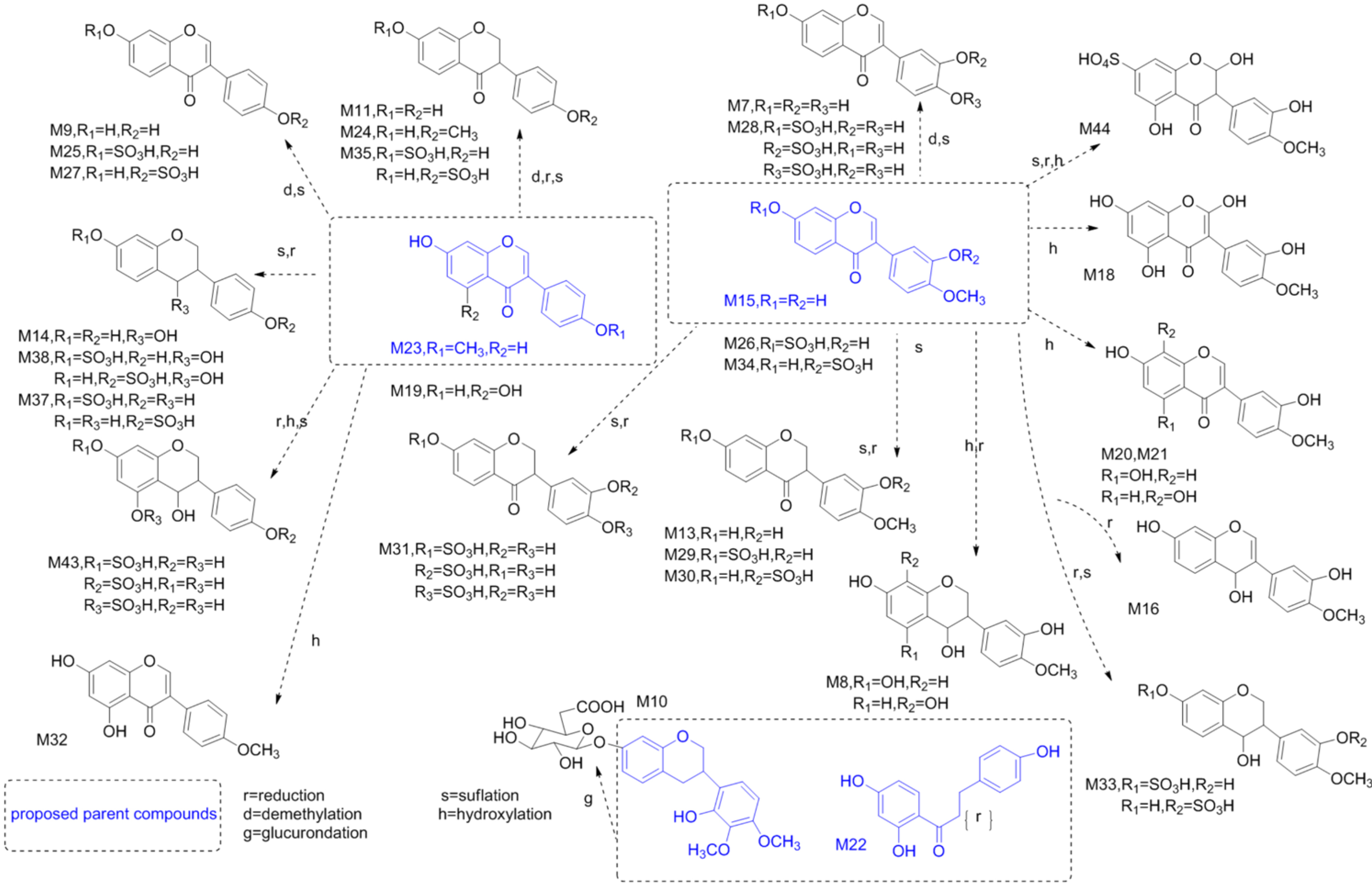
2.4. Profiling and Identifying Chemical Profiles of the Urine Samples after Administration of the DBT1 and DBT2 Performed by HPLC-DAD-ESI-IT-TOF-MSn
2.4.1. Identification of the Chemical Profiles of Urine Sample after Administration of the DBT1 by HPLC-DAD-ESI-IT-TOF-MSn
| NO. | TR (min) | [M+H]+ | [M-H]− | Predicted Formula | Fragment Ions | Error ppm | Identification | DBT1 | DBT2 |
|---|---|---|---|---|---|---|---|---|---|
| 1 | 4.132 | 287.0065 | C10H8O10 | 6.97 | -- | M1 | m1 | ||
| 2 | 28.200 | 231.0768 | C12H12N2O3 | 463,231 | −3.03 | -- | M2 | m2 | |
| 3 | 29.298 | 233.0115 | C12H2N4O2 | 233,169 | 4.29 | -- | M3 | m3 | |
| 4 | 29.298 | 337.1408 | C16H22N2O6 | 337,253 | 0.89 | -- | M4 | m4 | |
| 5 | 31.083 | 268.1164 | 266.1021 | C13H17NO5 | −4.89 | -- | -- | m5 | |
| 6 | 31.338 | 275.0209 | C13H8O7 | 275,195 | 4.36 | -- | M5 | m6 | |
| 7 | 32.927 | 273.0056 | C13H6O7 | 273,193 | 5.49 | -- | M6 | m7 | |
| 8 | 33.038 | 271.0585 | C15H10O5 | −5.90 | Hydroxydaidzein | M7 | -- | ||
| 9 | 34.518 | [M+HCOO]− | 475.1244 | C22H22O9 | 475,267 | −0.42 | Isomer of ononin | -- | m8 |
| 10 | 36.155 | 303.0863 | C16H16O6 | 303,151 | −3.63 | Hydroxylcalycosin, direduction(C2=C3; C4=O) | M8 | -- | |
| 11 | 36.705 | 253.0492 | C15H10O4 | −5.53 | Daidzein | M9 | m9 | ||
| 12 | 36.808 | 477.1372 | C23H26O11 | 477,301 | −6.29 | Astraisoflavan, glucuronidation | M10 | -- | |
| 13 | 36.868 | 255.0662 | C15H12O4 | 255,149 | −0.39 | Daidzein, reduction(C2=C3) | M11 | m10 | |
| 14 | 37.255 | 385.1478 | C18H24O9 | −3.89 | Hydroligustilide, glucuronidation | M12 | -- | ||
| 15 | 37.442 | 255.0655 | C15H12O4 | −3.14 | Daidzein, reduction(C4=O) | -- | m11 | ||
| 16 | 37.502 | 285.0751 | C16H14O5 | 285,269,149 | −5.96 | Calycosin, reduction(C2=C3) | M13 | m12 | |
| 17 | 37.195 | 257.0809 | C15H14O4 | −3.89 | Daidzein, direduction(C2=C3; C4=O) | M14 | -- | ||
| 18 | 38.033 | 283.0608 | C16H12O5 | 283,268 | −1.41 | Calycosin | M15 | m13 | |
| 19 | 38.362 | 285.0751 | C16H14O5 | 285,270 | −5.96 | Calycosin, reduction(C4=O) | M16 | -- | |
| 20 | 39.047 | 273.0761 | C15H14O5 | 273,240,109 | −2.56 | Hydroxydaidzein, direduction (C2=C3; C4=O) | -- | m14 | |
| 21 | 39.367 | 233.0098 | C12H2N4O2 | −3.00 | -- | M17 | m15 | ||
| 22 | 40.260 | [M+HCOO]− | 363.0748 | C16H14O7 | 7.16 | Dihydroxycalycosin, reduction(C2=C3) | M18 | -- | |
| 23 | 41.630 | 283.0609 | C16H12O5 | 283,268,224 | −1.06 | Isomer of calycosin | m16 | ||
| 24 | 41.755 | 269.0441 | C15H10O5 | −5.20 | Hydroxydaidzein | M19 | -- | ||
| 25 | 42.180 | 283.0603 | C16H12O5 | 283,268,224 | −3.18 | Isomer of calycosin | -- | m17 | |
| 26 | 42.365 | 299.0554 | C16H12O6 | 299,284 | −2.34 | Hydroxycalycosin, or isomer | M20 | -- | |
| 27 | 42.923 | 299.0556 | C16H12O6 | 299,284 | −1.67 | Hydroxycalycosin | M21 | -- | |
| 28 | 44.315 | 257.0819 | C15H14O4 | 0.00 | Isoliquiritigenin, reduction(C=C) | M20 | m18 | ||
| 29 | 45.322 | 269.0796 | C16H12O4 | 269,253,237 | −4.46 | Formononetin | M23 | m19 | |
| 30 | 45.733 | 269.0804 | C16H14O4 | 269,254,135 | −5.57 | Formononetin, reduction(C2=C3) | M24 | m20 | |
| 31 | 46.290 | 335.0201 | C15H10O7S | 335,255 | −5.67 | Daidzein, sulfation | M25 | m21 | |
| 32 | 47.775 | 299.0556 | C16H12O6 | 299,256 | −1.67 | Hydroxycalycosin | -- | m22 | |
| 33 | 47.862 | 363.0174 | C16H12O8S | 363,268 | −1.65 | Calycosin, sulfation | M26 | -- | |
| 34 | 47.922 | 333.0059 | C15H10O7S | 333,253,225 | −4.50 | Daidzein, sulfation | M27 | -- | |
| 35 | 48.747 | 365.0347 | C16H14O8S | 365,285 | 2.74 | Calycosin, reduction(C2=C3), sulfation | M29 | -- | |
| 36 | 49.072 | 333.0056 | C15H10O7S | 333,253,208 | −5.41 | Daidzein, sulfation | -- | m23 | |
| 37 | 49.543 | 333.0059 | C15H10O7S | 333,253 | −4.50 | Isomer of daidzein, sulfation | -- | m24 | |
| 38 | 49.193 | 365.0360 | C16H14O8 S | 365,285 | 6.30 | Calycosin, reduction(C2=C3), sulfation | M30 | -- | |
| 39 | 49.810 | 349.0033 | C15H10O8S | 349,269,225 | 2.58 | Hydroxydaidzein, sulfation | M28 | m25 | |
| 40 | 49.623 | 351.0187 | C15H12O8S | 351,271,149 | 1.99 | Hydroxydaidzein, reduction(C2=C3), sulfation | M31 | -- | |
| 41 | 50.325 | 337.0395 | C15H14O7S | 337,257 | 2.37 | Daidzein, direduction(C2=C3; C4=O), sulfation | -- | m27 | |
| 42 | 50.467 | 283.0595 | C16H12O5 | 283,268 | −6.01 | Isomer of calycosin | M32 | -- | |
| 43 | 50.973 | 367.0483 | C16H16O8S | 367,272,150 | −2.72 | Calycosin, direduction(C2=C3; C4=O), sulfation | M33 | -- | |
| 44 | 51.515 | 363.0180 | C16H12O8S | 363,283 | 0.00 | Calycosin, sulfation | M34 | m26 | |
| 45 | 52.563 | 335.0250 | C15H12O7S | 335,255,135 | 5.67 | Daidzein, reduction(C2=C3), sulfation | M35 | -- | |
| 46 | 53.637 | 343.0835 | C18H16O7 | 3.50 | -- | M36 | -- | ||
| 47 | 55.693 | 351.0172 | C15H12O8S | 351,271 | −2.28 | Hydroxydaidzein, reduction(C2=C3), sufaltion | -- | m28 | |
| 48 | 55.165 | 321.0417 | C15H14O6S | 321,241 | −6.54 | Equol, sulfation | M37 | m29 | |
| 49 | 59.468 | 337.0388 | C15H14O7S | 337,257,243 | 0.30 | Daidzein, direduction(C2=C3; C4=O), sulfation | M38 | -- | |
| 50 | 59.728 | 619.3669 | [M+Na]+ | C36H52O7 | 10.33 | Related to astragaloside | -- | m30 | |
| 51 | 61.838 | 683.4277 | C35H64O11 | −9.57 | Related to astragaloside | M39 | -- | ||
| 52 | 62.002 | 639.4061 | C35H58O10 | −6.57 | Related to astragaloside | M40 | -- | ||
| 53 | 62.113 | 595.3742 | C33H54O9 | −16.63 | Related to astragaloside | M41 | m31 | ||
| 54 | 63.292 | 509.3599 | C33H50O4 | −7.26 | Related to astragaloside | -- | m32 | ||
| 55 | 62.414 | 507.3296 | C29H46O7 | −3.94 | Related to astragaloside | M42 | -- | ||
| 56 | 71.557 | 353.0324 | C15H14O8S | 353,273 | −3.68 | Hydroxydaidzein, direduction(C2=C3;C4=O) sulfation | M43 | -- | |
| 57 | 71.557 | 397.0250 | C16H14O10S | 397,317 | 3.78 | Dihydroxycalycosin, reduction(C2=C3), sulfation | M44 | -- | |
| 58 | 72.797 | 363.0197 | C16H12O8S | 363,283 | 4.68 | Calycosin, sulfation | -- | m33 | |
| 59 | 73.543 | 347.0213 | C16H12O7S | 347,267 | −5.19 | Formononetin, sulfation | -- | m34 |

2.4.2. Identification of the Chemical Profiles of Urine Sample after Administration of the DBT2 by HPLC-DAD-ESI-IT-TOF-MSn

3. Experimental
3.1. Materials and Reagents
3.2. Sample Preparation
3.3. Animals and Administration
3.4. Urine Sample Collection and Pretreatment
3.5. Instrumentations and Conditions
3.6. Data Analysis
4. Conclusions
Supplementary Materials
Acknowledgements
Authors Contributions
Conflict of Interest
References
- Zhang, W.L.; Choi, R.C.; Zhan, J.Y.; Chen, J.P.; Luk, W.K.; Yao, P.; Dong, T.T.; Tsim, K.W. Can Hedysari Radix replace Astragali Radix in Danggui Buxue Tang, a Chinese herbal decoction for woman aliment? Phytomedicine 2013, 20, 1076–1081. [Google Scholar] [CrossRef]
- Zheng, K.Y.Z.; Choi, R.C.Y.; Xie, H.Q.H.; Cheung, A.W.H.; Guo, A.J.Y.; Leung, K.W.; Chen, V.P.; Bi, C.W.C.; Zhu, K.Y.; Chan, G.K.L.; et al. The expression of erythropoietin triggered by Danggui Buxue Tang, a Chinese herbal decoction prepared from Radix Astragali and Radix Angelicae Sinensis, is mediated by the hypoxia-inducible factor in cultured HEK293T cells. J. Ethnopharmacol. 2010, 132, 259–267. [Google Scholar] [CrossRef]
- Yang, M.; Chan, G.C.F.; Deng, R.X.; Margaret, H.N.; Cheng, S.W.; Lau, C.P.; Ye, J.Y.; Wang, L.J.; Liu, C. An herbal decoction of Radix astragali and Radix angelicae sinensis promotes hematopoiesis and thrombopoiesis. J. Ethnopharmacol. 2009, 124, 87–97. [Google Scholar] [CrossRef]
- Zhang, H.M.; Chen, S.W.; Deng, X.F.; Yang, X.G.; Huang, X. The effects of Danggui-Buxue-Tang on blood lipid and expression of genes related to foam cell formation in the early stage of atherosclerosis in diabetic GK rats. Diabetes Res. Clin. Pr. 2007, 77, 479–481. [Google Scholar] [CrossRef]
- Zhang, H.M.; Chen, S.W.; Deng, X.F.; Yang, X.G.; Huang, X. Danggui–Buxue–Tang decoction has an anti-inflammatory effect in diabetic atherosclerosis rat model. Diabetes Res. Clin. Pr. 2006, 74, 194–196. [Google Scholar] [CrossRef]
- Gao, J.; Huang, Y.; Li, P.; Xu, D.J.; Li, J.; Liu, Y.; Huang, Z.G.; Wu, Q.; Shao, X. Antifibrosis effects of total glucosides of Danggui-Buxue-Tang in a rat model of bleomycin-induced pulmonary fibrosis. J. Ethnopharmacol. 2011, 136, 21–26. [Google Scholar] [CrossRef]
- Xie, Q.F.; Xie, J.H.; Dong, T.T.X.; Su, J.Y.; Cai, D.K.; Chen, J.P.; Liu, L.F.; Li, Y.C.; Lai, X.P.; Tsim, K.W.K.; et al. Effect of a derived herbal recipe from an ancient Chinese formula, Danggui BuxueTang, on ovariectomized rats. J. Ethnopharmacol. 2012, 144, 567–575. [Google Scholar] [CrossRef]
- Gao, Q.T.; Choi, R.C.Y.; Cheung, A.W.H.; Zhu, J.T.T.; Li, J.; Chu, G.K.Y.; Duan, R.; Cheung, J.K.H.; Jiang, Z.Y.; Dong, X.B.; et al. Danggui Buxue Tang-A Chinese herbal decoction activates the phosphorylations of extracellular signal-regulated kinase and estrogen receptor a in cultured MCF-7 cells. FEBS Lett. 2007, 581, 233–240. [Google Scholar] [CrossRef]
- Gao, Q.T.; Cheung, J.K.H.; Li, J.; Jiang, Z.Y.; Chu, G.K.Y.; Duan, R.; Cheung, A.W.H.; Zhao, K.J.; Choi, R.C.Y.; Dong, T.T.X.; et al. A Chinese herbal decoction, Danggui Buxue Tang, activates extracellular signal-regulated kinase in cultured T-lymphocytes. FEBS Lett. 2007, 581, 5087–5093. [Google Scholar]
- Li, W.Z.; Li, J.; Bi, C.W.; Cheung, A.W.; Huang, W.; Duan, R.; Choi, R.C.; Chen, I.S.; Zhao, K.J.; Dong, T.T.; et al. Can rhizoma chuanxiong replace Radix angelia sinensis in the traditional chinese herbal decoction Danggui Buxue Tang? Planta Med. 2009, 75, 602–606. [Google Scholar] [CrossRef]
- Zhang, Y.Z.; Xu, F.; Liang, J.; Tang, J.S.; Shang, M.Y.; Wang, X.; Cai, S.Q. Isoflavonoids from the roots of Astragalus membranaceus var. Mongholicus. Zhongguo Zhong Yao Za Zhi 2012, 37, 3243–3248. [Google Scholar]
- Fan, L.L.; Yi, T.; Xu, F.; Zhang, Y.Z.; Zhang, J.Y.; Li, D.P.; Xie, Y.J.; Qin, S.D.; Chen, H.B. Characterization of flavonoids in the ethomedicine fordiae cauliflorae radix and its adulterant millettiae pulchrae radix by HPLC-DAD-ESI-IT-TOF-MSn. Molecules 2013, 18, 15134–15152. [Google Scholar] [CrossRef]
- Li, C.Y.; Qi, L.W.; Li, P. Correlative analysis of metabolite profiling of Danggui Buxue Tang in rat biological fluids by rapid resolution LC-TOF/MS. J. Pharm. Biomed. Anal. 2011, 55, 146–160. [Google Scholar] [CrossRef]
- Yi, L.Z.; Liang, Y.Z.; Wu, H.; Yuan, D.L. The analysis of Radix Angelicae Sinensis (Danggui). J. Chromatogr. A 2009, 1216, 1991–2001. [Google Scholar]
- Polat, E.; Bedir, E.; Perrone, A.; Piacente, S.; Alankus-Caliskan, O. Triterpenoid saponins from Astragalus wiedemannianus Fischer. Phytochemistry 2010, 71, 658–662. [Google Scholar] [CrossRef]
- Zhang, Y.Z.; Xu, F.; Dong, J.; Liang, J.; Hashi, Y.; Shang, M.Y.; Yang, D.H.; Wang, X.; Cai, S.Q. Profiling and identification of the metabolites of calycosin in rat hepatic 9000 × g supernatant incubation system and the metabolites of calycosin-7-O-β-d-glucoside in rat urine by HPLC–DAD–ESI-IT-TOF-MSn technique. J. Pharm. Biomed. Anal. 2012, 70, 425–439. [Google Scholar] [CrossRef]
- Wen, X.D.; Liu, E.H.; Yang, J.; Li, C.Y.; Gao, W.; Qi, L.W.; Wang, C.Z.; Yuan, C.S.; Li, P. Identification of metabolites of Buyang Huanwu decoction in rat urine using liquid chromatography–quadrupole time-of-flight mass spectrometry. J. Pharm. Biomed. Anal. 2012, 67, 114–122. [Google Scholar]
- Qi, L.W.; Cao, J.; Li, P.; Yu, Q.T.; Wen, X.D.; Wang, Y.X.; Li, C.Y.; Bao, K.D.; Ge, X.X.; Cheng, X.L. Qualitative and quantitative analysis of Radix Astragali products by fast high-performance liquid chromatography-diode array detection coupled with time-of-flight mass spectrometry through dynamic adjustment of fragmentor voltage. J. Chromatogr. A 2008, 1203, 27–35. [Google Scholar]
- Liu, M.H.; Tong, X.; Wang, J.X.; Zou, W.; Cao, H.; Sua, W.W. Rapid separation and identification of multiple constituents in traditional Chinese medicine formula Shenqi Fuzheng Injection by ultra-fast liquid chromatography combined with quadrupole-time-of-flight mass spectrometry. J. Pharm. Biomed. Anal. 2013, 74, 141–155. [Google Scholar] [CrossRef]
- Liu, C.F.; Qiao, X.; Liu, K.D.; Miao, W.J.; Li, Y.J.; Liu, Y.; Jiang, Y.Y.; Bo, T.; Shi, R.B.; Guo, D.A.; et al. In vivo metabolites and plasma exposure of TongMai Keli analyzed by UHPLC/DAD/qTOF-MS and LC/MS/MS. J. Ethnopharmacol. 2013, 145, 509–516. [Google Scholar] [CrossRef]
- Qi, L.W.; Wen, X.D.; Cao, J.; Li, C.Y.; Li, P.; Yi, L.; Wang, Y.X.; Cheng, X.L.; Ge, X.X. Rapid and sensitive screening and characterization of phenolic acids, phthalides, saponins and isoflavonoids in Danggui Buxue Tang by rapid resolution liquid chromatography/diode-array detection coupled with time-of-flight mass spectrometry. Rapid Commun. Mass Sp. 2008, 16, 2493–509. [Google Scholar]
- Wu, W.N.; McKown, L.A. Optimization in Drug Discovery; Humana Press: Totowa, NJ, USA, 2004; pp. 163–184. [Google Scholar]
- Williams, C.A. Flavonoids: Chemistry, Biochemistry and Applications; Andersen, O.M., Markham, K.R., Eds.; CRC Press: Boca Raton, FL, USA, 2006; pp. 757–761. [Google Scholar]
- Zuo, A.H.; Wang, L.; Xiao, H.B.; Li, L.M.; Liu, Y.H.; Yi, J.H. Identification of the absorbed components and metabolites in rat plasma after oral administration of Rhizoma Chuanxiong decoction by HPLC-ESI-MS/MS. J. Pharm. Biomed. Anal. 2011, 56, 1046–1056. [Google Scholar] [CrossRef]
- Lao, S.C.; Li, S.P.; Kelvin, K.W.; Kan, Li P.; Wan, J.B.; Wang, Y.T.; Dong, T.T.; Tsim, K.W. Identification and quantification of 13 components in Angelica sinensis (Danggui) by gas chromatography–mass spectrometry coupled with pressurized liquid extraction. Anal. Chim. Acta 2004, 526, 131–137. [Google Scholar] [CrossRef]
- Tanaka, K.; Tamura, T.; Fukuda, S.; Batkhuu, J.; Sanchir, C.; Komatsu, K. Quality evaluation of Astragali Radix using a multivariate statistical approach. Phytochemistry 2008, 69, 2081–2087. [Google Scholar] [CrossRef]
- Napolitano, A.; Akay, S.; Maria, A.; Bedir, E.; Pizza, C.; Piacente, S. An analytical approach based on ESI-MS, LC–MS and PCA for the quali-quantitative analysis of cycloartane derivatives in Astragalus spp. J. Pharm. Biomed. Anal. 2013, 85, 46–54. [Google Scholar] [CrossRef]
- Wen, X.D.; Qi, L.W.; Li, P.; Bao, K.D.; Yan, X.W.; Yi, L.; Li, C.Y. Simultaneous determination of calycosin-7-O-β-d-glucoside, ononin, astragaloside IV, astragaloside I and ferulic acid in rat plasma after oral administration of Danggui Buxue Tang extract for their pharmacokinetic studies by liquid chromatography-mass spectrometry. J. Chromatogr. B 2008, 865, 99–105. [Google Scholar] [CrossRef]
- Xu, F.; Zhang, Y.; Xiao, S.; Lu, X.; Yang, D.H.; Yang, X.; Li, C.; Shang, M.; Tu, P.; Cai, S. Absorption and metabolism of Astragali Radix decoction: In silico, in vitro, and a case study in vivo. Drug Metab. Dispos. 2006, 34, 913–924. [Google Scholar]
- Yu, D.; Duan, Y.; Bao, Y.; Wei, C.; An, L. Isoflavonoids from Astragalus mongholicus protect PC12 cells from toxicity induced by l-glutamate. J. Ethnopharmacol. 2005, 98, 89–94. [Google Scholar] [CrossRef]
- Sample Availability: Samples of the compounds are available from the authors.
© 2014 by the authors. Licensee MDPI, Basel, Switzerland. This article is an open access article distributed under the terms and conditions of the Creative Commons Attribution license ( http://creativecommons.org/licenses/by/3.0/).
Share and Cite
Zhang, Y.-Z.; Xu, F.; Yi, T.; Zhang, J.-Y.; Xu, J.; Tang, Y.-N.; He, X.-C.; Liu, J.; Chen, H.-B. Chemical Profile Analysis and Comparison of Two Versions of the Classic TCM Formula Danggui Buxue Tang by HPLC-DAD-ESI-IT-TOF-MSn. Molecules 2014, 19, 5650-5673. https://doi.org/10.3390/molecules19055650
Zhang Y-Z, Xu F, Yi T, Zhang J-Y, Xu J, Tang Y-N, He X-C, Liu J, Chen H-B. Chemical Profile Analysis and Comparison of Two Versions of the Classic TCM Formula Danggui Buxue Tang by HPLC-DAD-ESI-IT-TOF-MSn. Molecules. 2014; 19(5):5650-5673. https://doi.org/10.3390/molecules19055650
Chicago/Turabian StyleZhang, Ya-Zhou, Feng Xu, Tao Yi, Jian-Ye Zhang, Jun Xu, Yi-Na Tang, Xi-Chen He, Jing Liu, and Hu-Biao Chen. 2014. "Chemical Profile Analysis and Comparison of Two Versions of the Classic TCM Formula Danggui Buxue Tang by HPLC-DAD-ESI-IT-TOF-MSn" Molecules 19, no. 5: 5650-5673. https://doi.org/10.3390/molecules19055650
APA StyleZhang, Y.-Z., Xu, F., Yi, T., Zhang, J.-Y., Xu, J., Tang, Y.-N., He, X.-C., Liu, J., & Chen, H.-B. (2014). Chemical Profile Analysis and Comparison of Two Versions of the Classic TCM Formula Danggui Buxue Tang by HPLC-DAD-ESI-IT-TOF-MSn. Molecules, 19(5), 5650-5673. https://doi.org/10.3390/molecules19055650
