Mixed Antimony(V) Complexes with Different Sugars to Modulate the Oral Bioavailability of Pentavalent Antimonial Drugs
Abstract
:1. Introduction
2. Results and Discussion
2.1. Characterization of the Interaction between MA and Sugars by Circular Dichroism

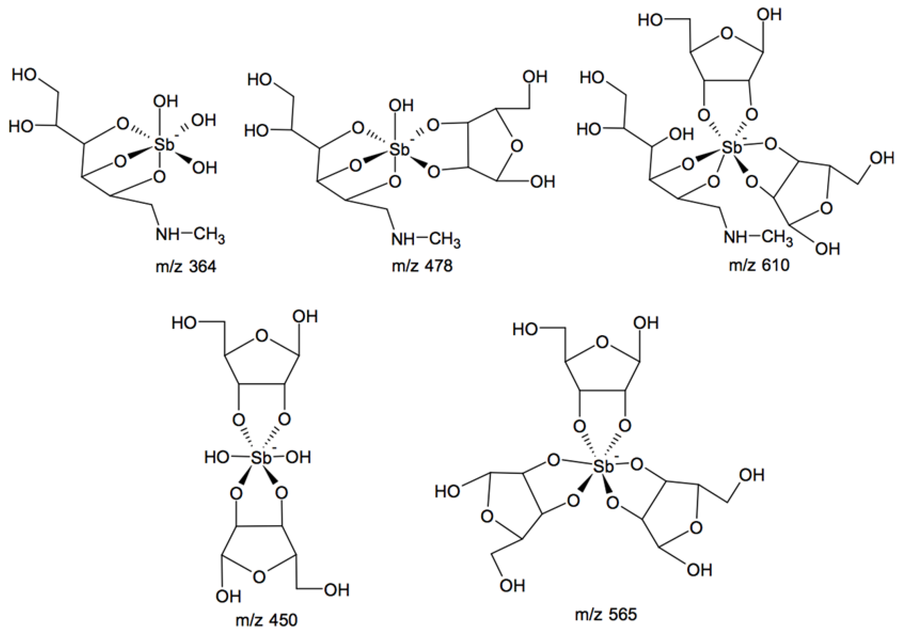
2.2. Characterization of the Different Molecular Species in MA/Sugar Compositions



| Anionic Species | m/z | Retention Time (min) |
|---|---|---|
| MA | ||
| [(NMG − 3H)Sb(OH)3 + H2O]− | 382 | 16.17–16.51 |
| [(NMG − 3H)Sb(OH)3 − H2O)]− | 346 | 17.22–18.59 |
| [(NMG − 3H)Sb(OH)3]− | 364 | 19.23–20.59 |
| MA/ribose | ||
| [(2Ribose − 4H)Sb(OH)2]− | 450 | 12.38–14.02 |
| [(3Ribose − 6H)Sb(OH)3]− | 565 | 12.38–14.02 |
| [(NMG − 2H)Sb(2Ribose-4H)]− | 610 | 18.08–19.52 |
| [(NMG − 4H)Sb(O3H) + (ribose-2OH)]− | 478 | 18.08–19.52 |
| 478 + H2O | 496 | 18.08–19.52 |
| MA/maltose | ||
| [(NMG − 3H)Sb(OH)3]− | 364 | 11.32–12.10 |
| 18.71–19.00 | ||
| 20.08–21.14 | ||
2.3. Kinetics of Change of Sb Complexation State upon Dissolution of the MA/Sugar Compositions

2.4. Serum Levels of Sb after Oral Administration in Mice


3. Experimental
3.1. Materials
3.2. Animals and Ethical Issues
3.3. Preparation of MA and MA/Sugar Complexes
3.4. Circular Dichroism Characterization
3.5. LCMS-IT-TOF Characterization of the Different Molecular Species
3.6. Serum Antimony Levels after Oral Absorption in Mice
4. Conclusions
Acknowledgments
Author contribution
Conflicts of Interest
References
- Alvar, J.; Velez, I.D.; Bern, C.; Herrero, M.; Desjeux, P.; Cano, J.; Jannin, J.; den Boer, M.; the WHO Leishmaniasis Control Team. Leishmaniasis worldwide and global estimates of its incidence. PLoS One 2012, 7, e35671. [Google Scholar]
- Berman, J.D. Human leishmaniasis: Clinical, diagnostic, and chemotherapeutic developments in the last 10 years. Clin. Infect. Dis. 1997, 24, 684–703. [Google Scholar] [CrossRef]
- Sundar, S.; Jha, TK.; Thakur, C.P.; Engel, J.; Sindermann, H.; Fischer, C.; Junge, K.; Bryceson, A.; Berman, J. Oral miltefosine for Indian visceral leishmaniasis. N. Engl. J. Med. 2002, 347, 1739–1746. [Google Scholar] [CrossRef]
- Sundar, S.; Singh, A.; Rai, M.; Prajapati, V.K.; Singh, A.K.; Ostyn, B.; Boelaert, M.; Dujardin, J.C.; Chakravarty, J. Efficacy of miltefosine in the treatment of visceral leishmaniasis in India after a decade of use. Clin. Infect. Dis. 2012, 55, 543–550. [Google Scholar] [CrossRef]
- Fernandes, F.R.; Ferreira, W.A.; Campos, M.A.; Ramos, G.S.; Kato, K.C.; Almeida, G.G.; Corrêa Junior, J.D.; Melo, M.N.; Demicheli, C.; Frézard, F. Amphiphilic antimony(V) complexes for oral treatment of visceral leishmaniasis. Antimicrob. Agents Chemother. 2013, 57, 4229–4236. [Google Scholar] [CrossRef]
- Martins, P.S.; Ochoa, R.; Pimenta, A.M.C.; Ferreira, L.A.M.; de Melo, A.L.; da Silva, J.B.B.; Sinisterra, R.D.; Demicheli, C.; Frézard, F. Mode of action of β-cyclodextrin as an absorption enhancer of the water-soluble drug meglumine antimoniate. Int. J. Pharm. 2006, 325, 39–47. [Google Scholar] [CrossRef]
- Frezard, F.; Martins, P.S.; Barbosa, M.C.M.; Pimenta, A.M.; Ferreira, W.A.; de Melo, J.E.; Mangrum, J.B.; Demicheli, C. New insights into the chemical structure and composition of the pentavalent antimonial drugs meglumine antimonate and sodium stibogluconate. J. Inorg. Biochem. 2008, 102, 656–665. [Google Scholar] [CrossRef]
- Demicheli, C.; Ochoa, R.; Silva, J.B.B.; de Melo, A.L.; Falcão, C.A.M.; Rossi-Bergmann, B.; Sinisterra, R.D.; Frézard, F. Oral delivery of meglumine antimoniate-beta-cyclodextrin complex for treatment of leishmaniasis. Antimicrob. Agents Chemother. 2004, 48, 100–103. [Google Scholar] [CrossRef]
- Frézard, F.; Martins, P.S.; Bahia, A.P.C.O.; le Moyec, L.; de Melo, A.L.; Pimenta, A.M.C.; Salerno, M.; da Silva, J.B.B.; Demicheli, C. Enhanced oral delivery of antimony from meglumine antimoniate/β-cyclodextrin nanoassemblies. Int. J. Pharm. 2008, 347, 102–108. [Google Scholar] [CrossRef]
- Ribeiro, R.R.; Ferreira, W.A.; Martins, P.S.; Neto, R.L.; Rocha, O.G.; le Moyec, L.; Demicheli, C.; Frézard, F. Prolonged absorption of antimony(V) by the oral route from non-i nclusion meglumine antimoniate-beta-cyclodextrin conjugates. Biopharm. Drug Dispos. 2010, 31, 109–119. [Google Scholar]
- Frézard, F.; Demicheli, C. New delivery strategies for the old pentavalent antimonial drugs. Expert Opin. Drug Deliv. 2010, 7, 1343–1358. [Google Scholar] [CrossRef]
- Demicheli, C.; Frézard, F.; Lecouvey, M.; Garnier-Suillerot, A. Antimony(V) complex formation with adenine nucleosides in aqueous solution. Biochim. Biophys. Acta 2002, 1570, 192–198. [Google Scholar]
- Demicheli, C.; Santos, L.S.; Ferreira, C.S.; Bouchemal, N.; Hantz, E.; Eberlin, M.N.; Frézard, F. Synthesis and characterization of Sb(V)–adenosine and Sb(V)–guanosine complexes in aqueous solution. Inorg. Chim. Acta 2006, 359, 159–167. [Google Scholar]
- Ferreira, C.S.; Pimenta, A.M.C.; Demicheli, C.; Frézard, F. Characterization of reactions of antimoniate and meglumine antimoniate with a guanine ribonucleoside at different pH. Biometals 2006, 19, 573–581. [Google Scholar] [CrossRef]
- Frézard, F.; Demicheli, C.; Ribeiro, R.R. Pentavalent antimonials: New perspectives for old drugs. Molecules 2009, 14, 2317–2336. [Google Scholar] [CrossRef]
- Hansen, H.R.; Pergantis, S.A. Mass spectrometric identification and characterization of antimony complexes with ribose-containing biomolecules. Anal. Bioanal. Chem. 2006, 385, 821–833. [Google Scholar] [CrossRef]
- Demicheli, C.; Ochoa, R.; Lula, I.S.; Gozzo, F.C.; Eberlin, M.; Frézard, F. Pentavalent organoantimonial derivatives: Two simple and efficient synthetic methods for meglumine antimonate. Appl. Organomet. Chem. 2003, 17, 226–231. [Google Scholar] [CrossRef]
- Demicheli, C.; de Figueiredo, T.L.; Carvalho, S.; Sinesterra, R.D.; Lopes, J.C.D.; Frézard, F. Physico-chemical characterization of meglumine antimoniate. BioMetals 1999, 12, 63–66. [Google Scholar] [CrossRef]
- Sample availability: Not available.
© 2014 by the authors. Licensee MDPI, Basel, Switzerland. This article is an open access article distributed under the terms and conditions of the Creative Commons Attribution license ( http://creativecommons.org/licenses/by/3.0/).
Share and Cite
Ferreira, W.A.; Islam, A.; Andrade, A.P.S.; Fernandes, F.R.; Frézard, F.; Demicheli, C. Mixed Antimony(V) Complexes with Different Sugars to Modulate the Oral Bioavailability of Pentavalent Antimonial Drugs. Molecules 2014, 19, 5478-5489. https://doi.org/10.3390/molecules19055478
Ferreira WA, Islam A, Andrade APS, Fernandes FR, Frézard F, Demicheli C. Mixed Antimony(V) Complexes with Different Sugars to Modulate the Oral Bioavailability of Pentavalent Antimonial Drugs. Molecules. 2014; 19(5):5478-5489. https://doi.org/10.3390/molecules19055478
Chicago/Turabian StyleFerreira, Weverson A., Arshad Islam, Aretha Priscilla S. Andrade, Flaviana R. Fernandes, Frédéric Frézard, and Cynthia Demicheli. 2014. "Mixed Antimony(V) Complexes with Different Sugars to Modulate the Oral Bioavailability of Pentavalent Antimonial Drugs" Molecules 19, no. 5: 5478-5489. https://doi.org/10.3390/molecules19055478
APA StyleFerreira, W. A., Islam, A., Andrade, A. P. S., Fernandes, F. R., Frézard, F., & Demicheli, C. (2014). Mixed Antimony(V) Complexes with Different Sugars to Modulate the Oral Bioavailability of Pentavalent Antimonial Drugs. Molecules, 19(5), 5478-5489. https://doi.org/10.3390/molecules19055478
