A Pair of New Antioxidant Phenolic Acid Stereoisomers Isolated from Danshen Injection (Lyophilized Powder)
Abstract
:1. Introduction

2. Results and Discussion
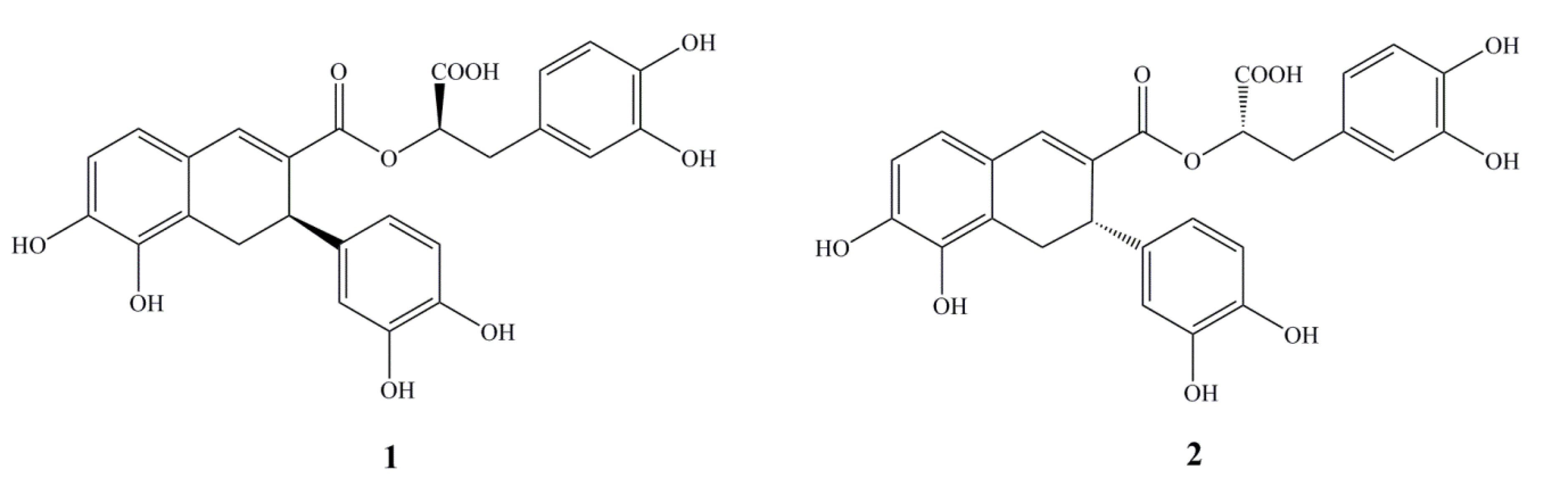
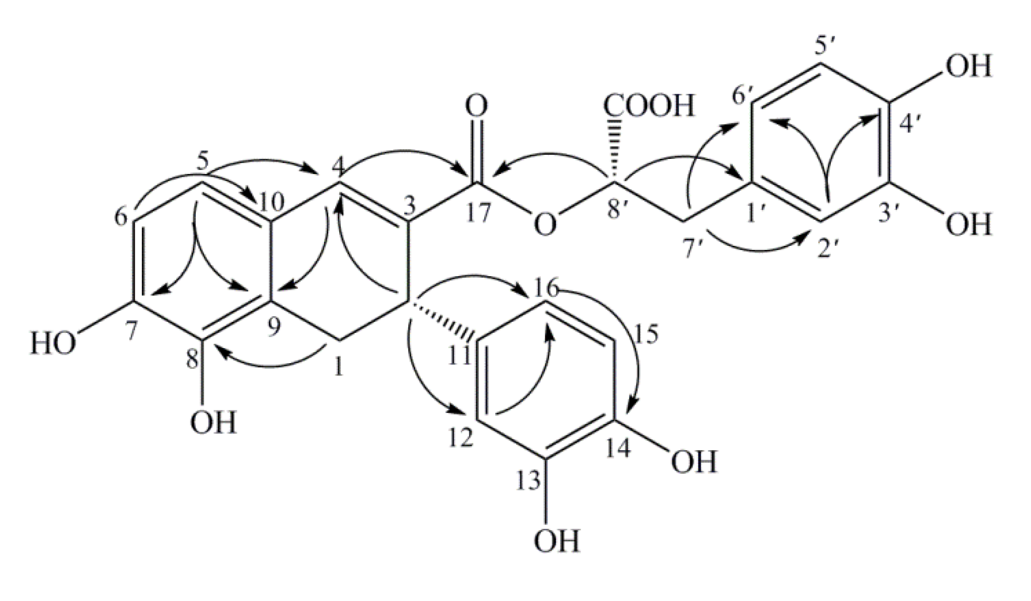
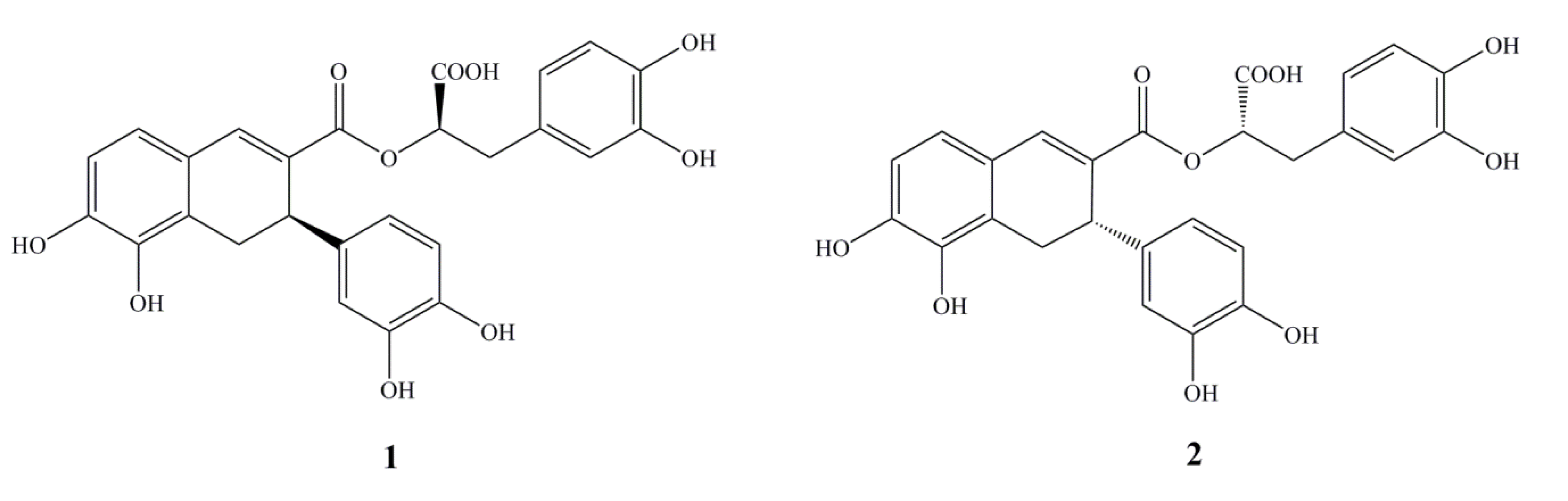
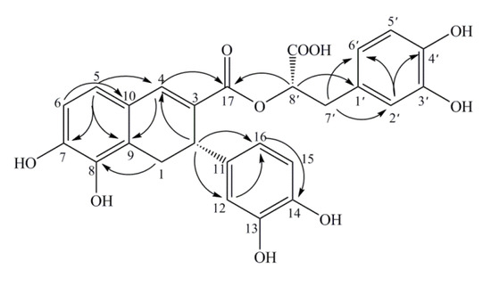
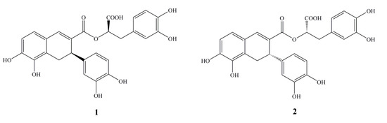
2.1. Structural Elucidation of the Isomers




| position | 1 | 2 | |||
|---|---|---|---|---|---|
| δH (ppm) | δC (ppm) | δH (ppm) | δC (ppm) | ||
| 1 | CH2 | 3.38 (1H, br d, 16.5); 2.97 (1H, dd, 16.5, 8.5) | 30.4 | 3.38 (1H, br d, 16.5); 2.97 (1H, dd, 16.5, 8.0) | 30.5 |
| 2 | CH | 4.01 (1H, d, 8.0) | 37.2 | 4.06 (1H, d, 8.0) | 37.2 |
| 3 | C | 128.5 | 128.6 | ||
| 4 | CH | 7.68 (1H, s) | 138.4 | 7.68 (1H, s) | 138.7 |
| 5 | CH | 6.80 (1H, d, 8.0) | 122.1 | 6.80 (1H, d, 8.5) | 122.0 |
| 6 | CH | 6.73 (1H, d, 8.0) | 113.4 | 6.72 (1H, d, 8.0) | 113.4 |
| 7 | C | 148.2 | 148.2 | ||
| 8 | C | 143.4 | 143.4 | ||
| 9 | C | 122.7 | 122.6 | ||
| 10 | C | 126.1 | 126.2 | ||
| 11 | C | 136.1 | 135.9 | ||
| 12 | CH | 6.60 (1H, d, 2.0) | 115.1 | 6.60 (1H, d, 2.0) | 115.1 |
| 13 | C | 145.2 | 145.2 | ||
| 14 | C | 144.2 | 144.3 | ||
| 15 | CH | 6.56 (1H, d, 8.0) | 115.6 | 6.58 (1H, d, 8.0) | 115.7 |
| 16 | CH | 6.44 (1H, dd, 8.5, 2.0) | 119.5 | 6.48 (1H, dd, 9.0, 1.5) | 119.6 |
| 17 | C | 166.8 | 167.0 | ||
| 1′ | C | 129.1 | 129.2 | ||
| 2′ | CH | 6.86 (1H, d, 1.5) | 117.5 | 6.79 (1H, br s) | 117.3 |
| 3′ | C | 145.6 | 145.5 | ||
| 4′ | C | 144.7 | 144.7 | ||
| 5′ | CH | 6.76 (1H, d, 8.0) | 116.0 | 6.69 (1H, d, 8.0) | 116.0 |
| 6′ | CH | 6.66 (1H, dd, 7.5, 2.0) | 121.8 | 6.50 (1H, dd, 9.5, 1.5) | 121.9 |
| 7′ | CH2 | 3.09 (1H, dd, 14.0, 4.5); 3.03 (1H, dd, 14.5, 8.0) | 37.5 | 3.04 (1H, dd, 14.0, 4.5); 2.98 (1H, dd, 13.5, 8.0) | 37.6 |
| 8′ | CH | 5.11 (1H, dd, 8.0, 4.5) | 73.8 | 5.14 (1H, dd, 8.0, 4.5) | 73.9 |
| 9′ | C | 171.1 | 171.1 | ||
2.2. In Vitro Antioxidant Activity
| DPPH· scavenging activity | ABTS·+ scavenging activity | |||||||
|---|---|---|---|---|---|---|---|---|
| Compounds | DS | 1 | 2 | Sal B | DS | 1 | 2 | Sal B |
| IC50 (μM) | 9.5 | 6.9 | 27.1 | 7.8 | 11.1 | 9.7 | 25.3 | 7.1 |
3. Experimental
3.1. General
3.2. Compound Isolation
3.3. Antioxidant Activity In Vitro
3.3.1. DPPH Assay
3.3.2. ABTS Assay
4. Conclusions
Supplementary Materials
Acknowledgments
Conflicts of Interest
References
- Lu, Y.R.; Foo, L.Y. Polyphenolics of Salvia- a review. Phytochemistry 2002, 59, 117–140. [Google Scholar] [CrossRef]
- Liu, J.; Dai, Z.; Wang, G.L.; Lin, R.C. Progress in bioactive constituents and isolation and analysis method of Salvia miltiorrhizae radix et ehizoma. Chin. J. Exp. Trad. Med. Form. 2012, 18, 288–295. [Google Scholar]
- Jiang, R.W.; Lau, K.; Hon, P.M.; Mark, T.C.W.; Woo, K.S.; Fung, K.P. Chemistry and biological activities of caffeic acid derivatives from Salvia miltiorrhiza. Curr. Med. Chem. 2005, 12, 237–246. [Google Scholar] [CrossRef]
- Chang, H.M.; Cheng, K.P.; Choang, T.F.; Chow, H.F.; Chui, K.Y.; Hon, P.M.; Tan, F.W.L.; Zhong, Z.P.; Lee, C.M.; Sham, H.L.; Chan, C.F.; Cui, Y.X.; Wong, H.N.C. Structure elucidation and total synthesis od new tanshinones isolated from Salvia miltiorrhizae Bunge (Danshen). J. Org. Chem. 1990, 55, 3537–3543. [Google Scholar] [CrossRef]
- Ho, J.H.C.; Hong, C.Y. Salvianolic acids: small compounds with multiple mechanisms for cardiovascular protection. J. Biomed. Sci. 2011, 18, 30–34. [Google Scholar] [CrossRef]
- Yang, L.; Ding, G.H.; Lin, H.Y.; Cheng, H.N.; Kong, Y.; Wei, Y.K.; Fang, X.; Liu, R.Y.; Chen, X.Y.; Yang, C.Q. Transcriptome analysis of medicinal plant Salvia miltiorrhiza and identification of genes related to tanshinone biosynthesis. PLoS One 2013, 8, e80464. [Google Scholar]
- Jing, W.G.; Zhang, J.; Zhang, L.Y.; Wang, D.Z.; Wang, Y.S.; Liu, A. Application of a rapid and efficient quantitative analysis method for traditional Chinese medicines: the case study of quality assessment of Salvia miltiorrhiza Bunge. Molecules 2013, 18, 6919–6935. [Google Scholar] [CrossRef]
- Wang, T.; Zhang, H.; Liu, Q.; Zhang, L.; Jiang, Y.Y.; Wang, M.; Zhou, Y.H.; Yang, R.W.; Ding, C.B.; Wang, X.L. Simultaneous determination of three major active components in Salvia miltiorrhiza and its relative species by HPLC. Asian J. Chem. 2013, 25, 7088–7092. [Google Scholar]
- Du, G.H.; Zhang, J.T. The study progress of water-soluble active constituents of Salvia miltiorrhiza-salvianolic acids. Basic Med. Sci. Clin. 2000, 20, 10–14. [Google Scholar]
- Li, D.Y.; Xu, L.N.; Liu, X.G. Effects of water-soluble components isolated from Salvia miltiorrhiza on oxygen free radical generation and lipid peroxidation. J. Chin. Pharm. Sci. 1995, 4, 107–112. [Google Scholar]
- Liu, Y.; Zhang, J.T. Hydroxyl radical scavenging effect of salvianolic acids. J. Chin. Pharm. Sci. 1994, 3, 43–50. [Google Scholar]
- Zhao, G.R.; Zhang, H.G.; Ye, T.X.; Xiang, Z.J.; Yuan, Y.J.; Guo, Z.; Zhao, L.B. Characterization of the radical scavenging and antioxidant activities of danshensu and salvianolic acid B. Food Chem. Toxicol. 2008, 46, 73–81. [Google Scholar] [CrossRef]
- Celik, B.; Lee, J.H.; Min, D.B. Effects of light, oxygen and pH on the 2,2-diphenyl-1-picrylhydra-zyl (DPPH) method to evaluate antioxidants. J. Food Sci. 2003, 68, 487–490. [Google Scholar] [CrossRef]
- Jasprica, I.; Bojic, M.; Mornar, A.; Besic, E.; Bucan, K.; Medic-Saric, M. Evaluation of antioxidative activity of Croatian Propolis samples using DPPH· and ABTS·+ stable free radical assay. Molecules 2007, 12, 1006–1021. [Google Scholar] [CrossRef]
- Li, L.N.; Tan, R.; Chen, W.M. Salvianolic acid A, a new depside from roots of Salvia miltiorrhiza. Planta Med. 1984, 50, 227–228. [Google Scholar] [CrossRef]
- Ai, C.B.; Li, L.N. Stereostructure of salvianolic acid B and isolation of salvianolic acid C from Salvia miltiorrhiza. J. Nat. Prod. 1988, 51, 145–149. [Google Scholar] [CrossRef]
- Person, R.V.; Monde, K.; Humpf, H.U.; Berova, N.; Nakanishi, K. A new approach inecxiton-coupled circular dichroism (ECCD)—insertion of an auxiliary stereogenic center. Chirality 1995, 7, 128–135. [Google Scholar]
- Tian, H.L. A Symmetric Synthesis Research of Danshensu and the Derivatives. M.S. Thesis, The Fourth Military Medical University, Xi’an, China, 2012. [Google Scholar]
- Floegel, A.; Kim, D.O.; Chung, S.J.; Koo, S.I.; Chun, O.K. Comparison of ABTS/DPPH assays to antioxidant capacity in popular antioxidant-rich US foods. J. Food Compos. Anal. 2011, 24, 1043–1048. [Google Scholar] [CrossRef]
- Sample Availability: Samples of the compounds 1 and 2 are available from the authors.
© 2014 by the authors. Licensee MDPI, Basel, Switzerland. This article is an open access article distributed under the terms and conditions of the Creative Commons Attribution license ( http://creativecommons.org/licenses/by/3.0/).
Share and Cite
Liu, J.; Zhao, J.; Dai, Z.; Lin, R.; Wang, G.; Ma, S. A Pair of New Antioxidant Phenolic Acid Stereoisomers Isolated from Danshen Injection (Lyophilized Powder). Molecules 2014, 19, 1786-1794. https://doi.org/10.3390/molecules19021786
Liu J, Zhao J, Dai Z, Lin R, Wang G, Ma S. A Pair of New Antioxidant Phenolic Acid Stereoisomers Isolated from Danshen Injection (Lyophilized Powder). Molecules. 2014; 19(2):1786-1794. https://doi.org/10.3390/molecules19021786
Chicago/Turabian StyleLiu, Jing, Jianfeng Zhao, Zhong Dai, Ruichao Lin, Gangli Wang, and Shuangcheng Ma. 2014. "A Pair of New Antioxidant Phenolic Acid Stereoisomers Isolated from Danshen Injection (Lyophilized Powder)" Molecules 19, no. 2: 1786-1794. https://doi.org/10.3390/molecules19021786
APA StyleLiu, J., Zhao, J., Dai, Z., Lin, R., Wang, G., & Ma, S. (2014). A Pair of New Antioxidant Phenolic Acid Stereoisomers Isolated from Danshen Injection (Lyophilized Powder). Molecules, 19(2), 1786-1794. https://doi.org/10.3390/molecules19021786
