Abstract
A DFT study of the photochemical dimerization of methyl 3-(2-furyl)acrylate is reported. The photochemical reaction gave a mixture of two dimers with high regioselectivity and good stereoselectivity. Calculations showed that benzophenone was able to act as a photosensitizer of the reaction. This compound populated the first excited triplet state of the substrate. The frontier orbitals interaction between LSOMO of the triplet state and HOMO of the ground state accounted for the observed high regioselectivity. Furthermore, the energy of all the possible triplet biradicals has been calculated, showing that the precursor of the main product was the triplet biradical with the lowest energy. The coupling of the atomic coefficients on the radical centres in the biradical intermediates allowed to justify the observed products. The same behavior was observed in the case of the photochemical dimerization of an urocanate ester and in the dimerization of liquid methyl cinnamate.
1. Introduction
The dimerization of conjugated double bonds is one of most ancient known photochemical reactions, as Ciamician published his results on the solid phase photodimerization of cinnamic acid, stilbene, and coumarin in 1902 [1,2].
The dimerization of cinnamic acid derivatives has been recently reviewed [3]. Cinnamic acid (1), irradiated in the solid state, gave the corresponding dimers depending on the crystal form of the starting material: the metastable β-form was reported to yield β-truxinic acid (2), while the stable α-form gave α-truxillic acid (3) (Scheme 1) [4,5,6,7,8,9,10]. Recently, solid-state NMR analysis of this reaction has been performed [11].
Scheme 1.
Photodimerization of cinnamic acid.
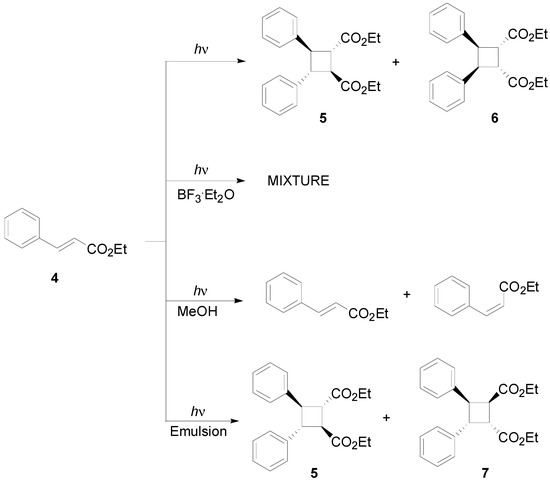
The same type of photodimers was obtained when the reaction was performed on 3-(2-furyl)acrylic acid or on 3-(2-thienyl)acrylic acid in the solid state [12]. The irradiation of the same compounds in methanol showed only the E-Z isomerization of the starting materials [13]. The irradiation of liquid ethyl cinnamate (4) furnished a mixture of two compounds, 5 and 6, in 55% and 25% yields, respectively (Scheme 2) [14,15].
Scheme 2.
Photodimerization of ethyl cinnamate.
When the reaction was performed in a mixture of water (82.1%), cyclohexane (3.2%), butanol (9.8%), and sodium dodecyl sulfate (4.9%), an 8:2 mixture of the trans-diesters 5 and 7 was obtained (Scheme 2) [16]. On the other hand, the irradiation in methanolic solution did not furnish any dimerization product, giving instead only E-Z isomerization [17], while, the irradiation in the presence of BF3, furnished a mixture of seven dimers (Scheme 2) [18,19]. However, the application of this methodology to methyl 3,4-dimethoxycinnamate failed [20]. Cyclodextrin was used in order to perform the photochemical dimerization of 3,4-dimethoxycinnamic derivatives [21]. However, the irradiation of methoxy-, dimethoxy-, and trimethoxycinnamate esters gave the corresponding dimers in acetonitrile both in the presence or in absence of a triplet sensitizer [22]. Recently, dimerization in solution of cinnamic acid derivatives has been attempted by using γ-cyclodexrin [23], cucurbiturils [23,24], or Pd nanocage [25]. Furthermore, the role of ammonium ion to induce a supramolecular assembly of cinnamic acid has been studied [26].
Dimers of cinnamic acid and its derivatives were found in several plants and showed some interesting biological properties [27,28,29,30].
Some years ago we reported that the irradiation of a solution of furylacrylate esters in the presence of benzophenone gave the corresponding dimers with high regioselectivity and good stereoselectivity [31,32].
Some years later, we showed that allyl urocanate under the same conditions gave the corresponding dimer with high regio- and stereoselectivity [33]. We attempted a rationalization of the photochemical behaviour on the basis of semiempirical calculations, showing that: (a) the observed high regioselectivity could be explained on the basis of a frontier orbitals control, (b) the interaction of the excited triplet state of the furylacrylate ester with another molecule of the reagent in the ground state gave the corresponding biradical intermediates where the more stable one has the same stereochemistry of the most abundant product, and (c) the following ring closure to obtain the products are under kinetic control [34,35]. In the meantime, several accurate approaches to the treatment of photochemical dimerization occurred. For example, the CASSCF/CASPT2 study of the photodimerization of cytosine showed the most probable evolution of the reaction along the potential energy hypersurfaces [36,37,38]. In this paper, we wish to report a DFT study of these reactions which not only explains the observed photochemical behavior, confirming the results obtained by using simple semiempirical methods, but also shows that a different approach has to be followed in order to explain the ring closure reaction. Density functional theory was largely used in the treatment of diradical species [39,40,41].
2. Computational Details
Gaussian09 has been used for the discussions about the computed geometries [42]. All the computations were based on the Density Functional Theory (DFT) [43] and Time-Dependent DFT (TD-DFT) [44,45] by using the B3LYP hybrid xc functional [46]. Geometry optimizations and TD-DFT results from the Gaussian09 program have been obtained at the B3LYP/6-31G+(d,p) level of approximation. Geometry optimization were performed in some cases at B3LYP/aug-cc-pVDZ level of approximation. Geometry optimizations were performed with default settings on geometry convergence (gradients and displacements), integration grid and electronic density (SCF) convergence. Redundant coordinates were used for the geometry optimization as produced by the Gaussian09 program. Analytical evaluation of the energy second derivative matrix w.r.t. Cartesian coordinates (Hessian matrix) at the B3LYP/6-31G+(d,p) and B3LYP/aug-cc-pVDZ levesl of approximation confirmed the nature of minima on the energy surface points associated to the optimized structures.
3. Results and Discussion
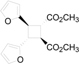
The irradiation of methyl 3-(2-furyl)acrylate (8) in acetonitrile in the presence of benzophenone as sensitizer furnished a mixture of two compounds 9 and 10 in 61% and 27%, respectively (Scheme 3) [31,32]. Kinetic and spectroscopic properties are in agreement with a mechanism where the furylacrylate dimerization occurs in the triplet state of the molecule and where this triplet state is obtained via energy transfer from benzophenone [47].
Scheme 3.
Photochemical dimerization of furylacrylate derivatives.
The reaction showed a high regioselectivity and a good stereoselectivity (only two stereoisomers were obtained when eleven ones were possible). To explain the observed regio- and stereoselectivity we performed DFT and TD-DFT calculations at B3LYP/6-31G+(d,p) and B3LYP/aug-cc-pVDZ level of theory using Gaussian09 [42].
Figure 1.
Energy transfer between benzophenone and 8.
TD-DFT calculations on 8 showed that the S1 state had an energy of 93.30 kcal·mol−1, corresponding to a n→π* transition at 306 nm (experimental 299 nm) between the HOMO-1 to the LUMO (Figure 1). Experimental results showed that this excited singlet state was able to give only trans→cis isomerization [47]. On the basis of these experimental results, the triplet state, found at 39.33 kcal·mol−1, cannot be populated through an intersystem crossing from the excited singlet state (Figure 1). Benzophenone showed a triplet state with an energy of 68.6 kcal·mol−1 (Figure 1). It can act as a sensitizer of the excited triplet state of 8 (Figure 1).
The triplet state of 8 can interact with the singlet state of another molecule of 8. Admitting a frontier orbitals control of the reaction, the best interaction was observed between the LSOMO of the triplet 8 and the HOMO of the singlet state (Figure 2). Furthermore, we could see that there was a total superposition between the LSOMO of the triplet state and the HOMO of the singlet state (Figure 3, Table 1). The complete superposition between LSOMO and HOMO represents the best explanation of the observed regioselectivity.
Figure 2.
Interaction between frontier orbitals of triplet excited state of 8 and 8 in its ground state.
Figure 3.
Frontier orbitals in the photodimerization of furylacrylate derivatives.
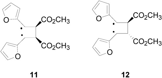
The superposition between two molecules of 8 allowed the formation of two possible biradical intermediates, where the relative configuration of two carbon atom on the future cyclobutane ring was defined. Cis or trans biradical intermediates 11 and 12 could be obtained (Figure 4).
Table 1.
Atomic coefficients of the pz orbitals in the HOMO of the S0 state and in the LSOMO of the T1 state of 8.
| Atom | S0 | T1 |
|---|---|---|
| 1 | −0.22321 | −0.21131 |
| 2 | 0.16272 | 0.11673 |
| 3 | 0.30938 | 0.31608 |
| 4 | −0.02587 | 0.04881 |
| 5 | −0.29943 | −0.25936 |
| 6 | 0.12484 | 0.07397 |
| 7 | 0.29891 | 0.36801 |
| 8 | 0.02106 | 0.03188 |
| 9 | −0.17997 | −0.18654 |
| 10 | −0.03305 | −0.12168 |
| 11 | −0.01552 | 0.04035 |
Figure 4.
Biradical intermediates in the photochemical dimerization of 8.
Figure 5.
Actual structure of most stable conformer the biradical intermediates in the photochemical dimerization of 8.
In Figure 5 the actual structure of the most stable conformer of the biradicals is showed. It is noteworthy that the cis biradical intermediate 11 showed that the bond between α carbon atom of the furan ring and the radical carbon atom was a double bond: it showed a large delocalization of the radical between the aromatic rings and the radical carbons atoms.
The cis biradical intermediate 11 was more stable than the trans 12 by 2.2 kcal·mol−1. This difference in the stability of the biradical intermediate could explain the observed ratio between the products. In fact, the main product of the reaction derived from the cis biradical while the minor product derived from the trans biradical.
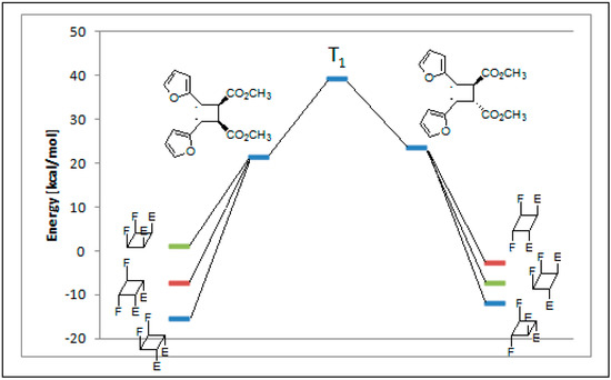
The coupling between the radical carbon atoms after intersystem crossing allowed the formation of the cyclobutane ring. The energy of all the possible cyclobutanes that can be obtained starting from the biradical intermediates 11 and 12 was calculated. The results are collected in Figure 6 and Table 2.
Figure 6.
Relative energy of biradical intermediates 11 and 12 and of all the possible cyclobutane derivatives (DFT/B3LYP/6-31G+(d,p) level). F = 2-furyl; E = -CO2CH3.
We can see that, at 6-31G+(d,p) level, the observed products in the reactions were the more stable cyclobutane derivatives that can be obtained starting from the cis and trans biradical intermediates.
We performed also some calculations by using a different basis set (aug-cc-pVDZ). This basis set is larger than 6-31G+(d,p), allowing, in theory, to obtain more accurate results; however, it has to be noted some results appeared where aug-cc-pVDZ basis set was not able to give satisfactory results [48]. Anyway, we decided to compare the results obtained with this basis set, also considering that, in the calculation of the energy of the biradical intermediates 11 and 12, aug-cc-pVDZ basis set gave results in agreement with those reported above (2.4 kcal·mol−1). In this case the most stable dimer was that corresponding to entry 2 of Table 2. It was a trans-anti dimer. It has to be noted that, in this case, the most stable cis dimer was not that at the entry 1 of the Table 2, but that of entry 5. On the basis of these results, considering that different basis sets gave different orders of stability, we were not able to verify if the assumption that the reaction gave the more stable ones can be accepted. On the basis of the above reported considerations on the problems encountered in the use of some basis sets, we cannot establish which method is able to give more accurate results. We can only note that they give different results. Furthermore, Table 2 showed also that the most important contribution to the dimers stability is an enthalpic one.
Table 2.
Energy of suitable cyclobutane derivatives that can be obtained in the photochemical dimerization of 8.
| Entry | Cyclobutane | Relative Energy (kcal·mol−1) | H [kcal·mol−1] | G [kcal·mol−1] | ||
|---|---|---|---|---|---|---|
| a | b | c | aug-cc-pVDZ | |||
| 1 | ![]() | 0 | 0.00 | 5.62 | 5.42 | 5.84 |
| 2 | ![]() | 1010 | 3.73 | 0.00 | 0.00 | 0.00 |
| 3 | ![]() | 34 | 12.87 | 8.94 | 8.62 | 9.42 |
| 4 | ![]() | 214 | 8.34 | 3.63 | 3.90 | 4.69 |
| 5 | ![]() | 21 | 8.26 | 4.51 | 4.37 | 5.09 |
| 6 | ![]() | 247 | 16.69 | 12.55 | 12.30 | 14.05 |
a: at AM1-UHF level (Ref. 21b); b: at DFT/B3LYP/6-31G+(d,p) level.; c: at DFT/B3LYP/aug-cc-pVDZ level.
In conclusion, our calculations showed that the regiochemistry of the reaction can be explained considering the superposition between the LSOMO of the triplet state of 8 and the HOMO of the same molecule in the ground state. The relative stability between the biradical intermediates accounts for the observed stereoselectivity while the use of different basis sets does not allow us to assert that the effective products obtained in the reaction depend on the relative stability of cyclobutane derivatives (see below). To confirm this behaviour we tested this methodology with another reaction. Some years ago we reported the photochemical dimerization of the ester of urocanic acid [33].
In particular, we reported that allyl urocanate 13 gave the corresponding dimer 14 with high regioselectivity and high stereoselectivity (Scheme 4).
Scheme 4.
Photochemical dimerization of allyl urocanate
The TD-B3LYP calculated first excited singlet state of 13 showed an energy of 95.30 kcal·mol−1, corresponding to a transition at 300 nm due to a HOMO→LUMO transition. The triplet state has been determined at 51.19 kcal·mol−1. Therefore, benzophenone could act as sensitizer also in this case populating the first excited allyl urocanate triplet state. The HOMO of 13 showed an energy of −0.23382 H while the LUMO was found at −0.07697 H. The triplet state of 13 showed a LSOMO at −0.25870 H while the HSOMO was found at −0.15706 H. Therefore, the best interaction between the frontier orbitals was found between the HOMO of the ground state and the LSOMO of the triplet state.
Table 3 collects the atomic coefficients of HOMO of 13 in the ground state and the LSOMO of the same compound in its triplet state. We can see that, with the exception of atom 4 and 8, we observe a good superposition between the two orbitals, in agreement with a head-to-head regiochemical control of the reaction.
Table 3.
Atomic coefficients of the pz orbitals in the HOMO of the S0 state and in the LSOMO of the T1 state of 13.
| Atom | S0 | T1 |
|---|---|---|
| 1 | 0.33944 | 0.15839 |
| 2 | −0.06852 | −0.08282 |
| 3 | −0.25121 | −0.17719 |
| 4 | −0.15484 | 0.01599 |
| 5 | 0.28130 | 0.16271 |
| 6 | −0.11141 | −0.08653 |
| 7 | −0.20234 | −0.19414 |
| 8 | −0.00484 | 0.00584 |
| 9 | 0.04775 | 0.11575 |
| 10 | −0.01751 | −0.08307 |
| 11 | 0.00554 | 0.13532 |
| 12 | 0.10280 | 0.08023 |
| 13 | 0.00708 | 0.14128 |
The superposition between two molecules of 13 allowed the formation of two possible biradical intermediates. We can obtain the cis and trans biradical intermediates 15 and 16 (Figure 7).
Figure 7.
Biradical intermediates in the photochemical dimerization of 13.
In Figure 8 the actual structure of the most stable conformers of 15 and 16 is shown. In this case, the observed delocalization of the radical on the aromatic ring, showed in 11, was not present. On the contrary, this delocalization was present in the trans biradical 16.
Figure 8.
Actual structure of most stable conformer the biradical intermediates in the photochemical dimerization of 13.
The cis biradical intermediate 15 was less stable than the trans one 16 for 29.99 kcal·mol−1. This difference in the stability of the biradical intermediate can explain the observed that only a trans cyclobutane derivate was obtained. Furthermore, the energy of cis biradical intermediate (66.02 kcal·mol−1) is higher than the energy of the triplet state (51.19 kcal·mol−1). Therefore, the cis biradical intermediate 15 cannot be obtained in the reaction mixture.
The coupling between the radical carbon atoms after intersystem crossing allowed the formation of the cyclobutane ring. We calculated the energy of all the possible cyclobutanes that can be obtained starting from the biradical intermediates 15 and 16. The results are collected in Figure 9 and Table 4.
We can see that the cis biradical intermediate cannot be formed and the product can be obtained only by the trans biradical intermediate. However, the energy of the cyclobutane derivatives that can be obtained starting from 16 are very close each other.
In this case, we considered also the possible effect of the solvent (acetonitrile) on the relative stability of the dimers. The results are presented in Table 4. In this case, the most stable dimer was that at the entry 2 of the Table: however, the energy difference between the dimers did not account for the observed selectivity.
Figure 9.
Relative energy of biradical intermediates 15 and 16 and of all the possible cyclobutane derivatives (DFT/B3LYP/6-31G+(d,p) level). U = 5-imidazolyl; E = -CO2CHCH=CH2.
Table 4.
Energy of suitable cyclobutane derivatives that can be obtained in the photochemical dimerization of 13.
| Entry | Cyclobutane | Relative Energy (kcal·mol−1) | |
|---|---|---|---|
| 6-31G+(d,p) | Solvent | ||
| 1 | ![]() | 4.48 | 3.89 |
| 2 | ![]() | 1.30 | 0.00 |
| 3 | ![]() | 2.58 | 1.63 |
| 4 | ![]() | 0.00 | 0.25 |
| 5 | ![]() | 1.48 | 2.43 |
| 6 | ![]() | 4.21 | 4.59 |
Therefore, on the basis of the unresolved questions appeared in the cyclization reaction in both furylacrylates and urocanates, a more accurate examination of the ring closure reaction has been performed.
We examined the LSOMO and the HSOMO of the biradical intermediates 11 and 16. Considering the atomic coefficients at the radical carbon atom in these orbitals, the coupling between these orbitals, after the intersystem crossing, can occur in the case of 11 (Figure 10A) giving only the product 9, while in the case of 16 (Figure 10B) the coupling can give only the product 14. Obviously, the biradical intermediate 12 will give the dimer 10. This type of approach has been frequently used in order to justify the stereochemistry of [2+2] cycloaddition reactions [49,50,51].
Figure 10.
Coupling of LSOMO and HSOMO in the biradical intermediates 11 and 16. (a) Ring closure in the biradical 11; (b) Ring closure in the biradical 16.
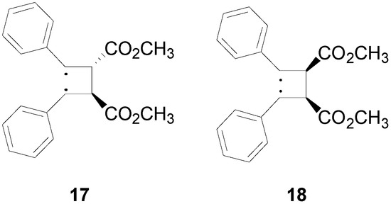
Finally, we tested the above described approach in the photochemical dimerization of ethyl cinnamate. In this case, a mixture of 5 and 6 were obtained (Scheme 2) [14,15]. We performed our calculations on the methyl cinnamate. The reaction occurred in the triplet state and, also in this case, we can observe a complete superposition of the HOMO of methyl cinnamate with the LSOMO of triplet state of another molecule of the same compound (Figure 11). The interaction between these orbitals allowed the formation of only the head-to-head dimers. The coupling between these two molecules could afford the corresponding cis and trans biradical intermediates 17 and 18 (Figure 12).
Figure 11.
Frontier orbitals in the photodimerization of methyl cinnamate.
The trans biradical intermediate 17 was more stable than the cis one 18 by 10.83 kcal·mol−1, in agreement with the observed products. Furthermore, considering the subsequent coupling of the biradicals, the atomic coefficents at the radical carbon atoms in the HSOMO and in the LSOMO of 17 allowed the formation of a cyclobutane where a trans-anti-trans relationship is present between the substituents. On the other hand, the atomic coefficents at the radical carbon atoms in the HSOMO and in the LSOMO of 18 allowed the formation of a cyclobutane where a cis-anti-cis relationship is present.
Figure 12.
Biradical intermediates in the photochemical dimerization of methyl cinnamate.
4. Conclusions
In this paper we have shown that regio- and stereochemical behaviour of heteroarylacrylates dimerization in solution can be understood by using simple calculation procedures. The reaction is a sensitized reaction from the excited triplet state and the regiochemistry is controlled by the frontier orbitals superposition of the two reagents. The coupling allows the formation of the most stable biradical intermediate, thus inducing a control in the possible stereochemical behavior. Furthermore, the coupling of the two radical carbon atoms explained the observed stereochemistry.
Acknowledgments
GIF (Gruppo Italiano di Fotochimica) and the Italian Photochemistry Meetings organized by GIF are gratefully acknowledged for the important stimulus I received to continue this study
Conflicts of Interest
The author declare no conflict of interest.
References
- Ciamician, G.; Silber, P. Chemische Lichtwirkungen. Ber. Dtsch. Chem. Ges. 1902, 35, 1992–2000. [Google Scholar]
- Ciamician, G.; Silber, P. Chemische Lichtwirkungen. Ber. Dtsch. Chem. Ges. 1903, 36, 1575–1583. [Google Scholar]
- Bassani, D.M. The dimerization of cinnamic acid derivatives. In CRC Handbook of Organic Photochemistry and Photobiology; Horspool, W., Lenci, F., Eds.; CRC Press: Boca Raton, FL, USA, 2004; Volume 2, pp. 20.1–20.20. [Google Scholar]
- Stobbe, H. Lichtreaktionen der Allo- und Isozimtsäuren. Ber. Dtsch. Chem. Ges. 1919, 52, 666–672. [Google Scholar]
- Stobbe, H.; Bremer, A. Zur Photochemie der Zimtsäuren, der Chalkone und ihrer Derivate. (II. Mitteilung Über Truxill- und Truxinketone). Mit 4 Figuren. J. Prakt. Chem. 1929, 123, 1–60. [Google Scholar]
- Cohen, M.D.; Schmidt, G.M.J.; Sonntag, F.I. Topochemistry. Part II. The photochemistry of trans-cinnamic acids. J. Chem. Soc. 1964, 2000–2013. [Google Scholar]
- Schmidt, G.M.J. Topochemistry. Part III. The crystal chemistry of some trans-cinnamic acids. J. Chem. Soc. 1964, 2014–2021. [Google Scholar]
- Bregman, J.; Osaki, K.; Schmidt, G.M.J.; Sonntag, F.I. Topochemistry. Part IV. The crystal chemistry of some cis-cinnamic acids. J. Chem. Soc. 1964, 2021–2030. [Google Scholar]
- Schmidt, G.M.J. Photodimerization in the solid state. Pure Appl. Chem. 1971, 27, 647–678. [Google Scholar] [CrossRef]
- Nakanishi, F.; Nakanishi, H.; Tsuchiya, M.; Hasegawa, M. Water-Participation in the Crystalline-State Photodimerization of Cinnamic Acid Derivatives. A New Type of Organic Photoreaction. Bull. Chem. Soc. Jpn. 1976, 49, 3096–3099. [Google Scholar] [CrossRef]
- Khan, M.; Brunklaus, G.; Enkelmann, V.; Spiess, H.-W. Transient states in [2+2] photodimerization of cinnamic acid: Correlation of solid-state NMR and X-ray analysis. J. Am. Chem. Soc. 2008, 130, 1741–1748. [Google Scholar] [CrossRef]
- Lahav, M.; Schmidt, G.M.J. Topochemistry. Part XVIII. The solid-state photochemistry of some heterocyclic analogues of trans-cinnamic acid. J. Chem. Soc. B 1967, 239–243. [Google Scholar]
- Norval, M.; Simpson, T.J.; Bardshiri, E.; Howiè, S.E.M. Urocanic acid analogues and the suppression of the delayed type hypersensitivity response to Herpes simplex virus. Photochem. Photobiol. 1989, 49, 633–639. [Google Scholar] [CrossRef] [PubMed]
- Egerton, P.L.; Hyde, E.M.; Trigg, J.; Payne, A.; Beynon, P.; Mijovic, M.V.; Reiser, A. Photocycloaddition in liquid ethyl cinnamate and in ethyl cinnamate glasses. The photoreaction as a probe into the micromorphology of the solid. J. Am. Chem. Soc. 1981, 103, 3859–3863. [Google Scholar]
- Bolt, J.; Quina, F.H.; Whitten, D.G. Solid state photodimerization of surfactant esters of cinnamic acid. Tetrahedron Lett. 1976, 17, 2595–2598. [Google Scholar] [CrossRef]
- Amarouche, H.; de Bourayne, C.; Riviere, M.; Lattes, A. Réactivité chimique et photochimique dans les milieux micellaires at dan les microémulsions. VIII. Photoréactivité des dérivés cinnamiques dans les microémulsions. C. R. Acad. Sci. Paris 1984, 298, (Serie II). 121–123. [Google Scholar]
- Curme, H.C.; Natale, C.C.; Kelley, D.J. Photosensitized reactions of cinnamate esters. J. Phys. Chem. 1967, 71, 767–770. [Google Scholar] [CrossRef]
- Lewis, F.D.; Oxman, J.D. Photodimerization of Lewis acid complexes of cinnamate esters in solution and the solid state. J. Am. Chem. Soc. 1984, 106, 466–468. [Google Scholar] [CrossRef]
- Lewis, F.D.; Quillen, S.L.; Hale, P.D.; Oxman, J.D. Lewis acid catalysis of photochemical reactions. 7. Photodimerization and cross-cycloaddition of cinnamic esters. J. Am. Chem. Soc. 1988, 110, 1261–1267. [Google Scholar] [CrossRef]
- Botta, B.; Iacomacci, P.; Vinciguerra, V.; Delle Monache, G.; Gacs-Baitz, E.; Botta, M.; Misiti, D. Non-oxidative dimerization of 3,4-dioxygenated cinnamates to aryltetralin lignans. Chem. Pharm. Bull. 1990, 38, 3238–3241. [Google Scholar] [CrossRef]
- Hirayama, F.; Utsuki, T.; Uekama, K. Stoichiometry-dependent photodimerization of tranilast in a γ-cyclodextrin inclusion complex. J. Chem. Soc. Chem. Commun. 1991, 887–888. [Google Scholar]
- D’Auria, M.; Vantaggi, A. Photochemical dimerization of methoxy substituted cinnamic acid methyl esters. Tetrahedron 1992, 48, 2523–2528. [Google Scholar] [CrossRef]
- Pattabimaran, M.; Natarajan, A.; Kaanumalle, L.S.; Ramamurthy, V. Templating photodimerization of trans-cinnamic acids with cucurbit[8]uril and γ-cyclodextrin. Org. Lett. 2005, 7, 529–532. [Google Scholar] [PubMed]
- Pattabiraman, M.; Kaanumalle, L.S.; Natarajan, A.; Ramamurthy, V. Regioselective photodimerization of cinnamic acid in water: templation with cucurbituriis. Langmuir 2006, 22, 7605–7609. [Google Scholar] [CrossRef] [PubMed]
- Karthikeyan, S.; Ramamurthy, V. Templating photodimerization of trans-cinnamic acid esters with a water-soluble Pd nanocage. J. Org. Chem. 2007, 72, 452–458. [Google Scholar] [PubMed]
- Chowdhury, M.; Kariuki, B.M. Supramolecular assembly in cinnamate structures: The influence of the ammonium ion and halogen interaction. Cryst. Growth Des. 2006, 6, 774–780. [Google Scholar] [CrossRef]
- Novak, M.; Salemink, C.A.; Khan, I. Biological activity of the alkaloids of Erythroxylum coca and Erythroxylum novogranatense. J. Ethnopharmacol. 1984, 10, 261–274. [Google Scholar] [CrossRef]
- Liebermann, C. Ueber ein Nebenalkaloïn des Cocaïns, das Isatropylcocaïn. Chem. Ber. 1888, 21, 2342–2355. [Google Scholar] [CrossRef]
- Ford, C.W.; Hartley, R.D. GC/MS characterisation of cyclodimers from p-coumaric and ferulic acids by photodimerisation—A possible factor influencing cell wall biodegradability. J. Sci. Food Agric. 1989, 46, 301–310. [Google Scholar] [CrossRef]
- Hartley, R.D.; Whatley, E.R.; Harris, P.J. 4,4'-Dihydroxytruxillic acid as a component of cell walls of Lolium multiflorum. Phytochemistry 1988, 27, 349–350. [Google Scholar]
- D’Auria, M.; Piancatelli, G.; Vantaggi, A. Photochemical dimerization of methyl 2-furyl- and 2-thienylacrylate and related compounds in solution. J. Chem. Soc. Perkin Trans. 1 1990, 2999–3002. [Google Scholar]
- D’Auria, M. Regio- and stereochemical control in the photodimerization of methyl 3-(2-furyl)acrylate. Heterocycles 1996, 43, 959–968. [Google Scholar] [CrossRef]
- D’Auria, M.; Racioppi, R. Photochemical dimerization of esters of urocanic acid. J. Photochem. Photobiol. A 1998, 112, 145–148. [Google Scholar] [CrossRef]
- D’Auria, M.; Racioppi, R. Photochemical dimerization in solution of arylacrylonitrile derivatives. Tetrahedron 1997, 53, 17307–17316. [Google Scholar] [CrossRef]
- D’Auria, M.; Emanuele, L.; Esposito, V.; Racioppi, R. The Photochemical dimerization of 3-heteroaryl-acrylates. Arkivoc 2002, 11, 65–78. [Google Scholar] [CrossRef]
- González-Ramírez, I.; Roca-Sanjuán, D.; Climent, T.; Serrano-Pérez, J.J.; Merchán, M.; Serrano-Andrés, L. On the photoproductionof DNA/RNA cyclobutane pyrimidine dimers. Theor. Chem. Acc. 2011, 128, 705–711. [Google Scholar]
- Climent, T.; González-Ramírez, I.; González-Luque, R.; Merchán, M.; Serrano-Andrés, L. Cyclobutane pyrimidine photodimerization of DNA/RNA nucleobases in the triplet state. J. Phys. Chem. Lett. 2010, 1, 2072–2076. [Google Scholar] [CrossRef]
- Roca-Sajuán, D.; Olaso-González-Ramírez, I.; Serrano-Andrés, L.; Merchán, M. Molecular basis of DNA photodimerization: Intrinsic production of cyclobutane cytosine dimers. J. Am. Chem. Soc. 2008, 130, 10768–10779. [Google Scholar] [CrossRef] [PubMed]
- Ko, K.C.; Park, Y.G.; Cho, D.; Lee, J.Y. Simple but useful scheme toward understanding of intramolecular magnetic interactions: Benzene-bridged oxoverdazyl diradicals. J. Phys. Chem. A 2014, 118, 9596–9606. [Google Scholar] [CrossRef] [PubMed]
- Gromov, O.I.; Golubeva, E.N.; Khrustalev, V.N.; Kalai, T.; Hideg, T.; Kokorin, A.I. EPR, X-ray structure and DFT calculations of the nitroxide biradical with one acetylene group in the bridge. Appl. Magn. Reson. 2014, 45, 981–992. [Google Scholar] [CrossRef]
- Sumanovac Ramlja, T.; Sohora, M.; Antol, I.; Kontrec, D.; Basaric, N.; Mlinaric-Majerski, K. Memory of chirality in the phthalilide photocyclization of adamantane dipeptides. Tetrahedron Lett. 2014, 55, 4078–4081. [Google Scholar] [CrossRef]
- Frisch, M.J.; Trucks, G.W.; Schlegel, H.B.; Scuseria, G.E.; Robb, M.A.; Cheeseman, J.R.; Scalmani, G.; Barone, V.; Mennucci, B.; Petersson, G.A.; et al. Gaussian 09, Revision A.1; Gaussian, Inc.: Wallingford, CT, USA, 2009. [Google Scholar]
- Parr, R.G.; Yang, W. Density Functional Theory of Atoms and Molecules; Oxford University Press: Oxford, UK, 1989. [Google Scholar]
- Casida, M.E. Time-dependent density-functional response theory for molecules. In Recent Advances in Density Functional Methods; Chong, D.P., Ed.; World Scientific: Singapore, Singapore, 1995; Volume 1, pp. 155–192. [Google Scholar]
- Casida, M.E.; Jamorski, C.; Casida, K.C.; Salahub, D.R. Molecular excitation energies to high-lying bound states from time-dependent density-functional response theory: Characterization and correction of the time-dependent local density approximation ionization threshold. J. Chem. Phys. 1998, 108, 4439–4449. [Google Scholar] [CrossRef]
- Becke, A.D. Density-functional thermochemistry. III. The role of exact exchange. J. Chem. Phys. 1993, 98, 5648–5652. [Google Scholar] [CrossRef]
- D’Auria, M.; D’Annibale, A.; Ferri, T. Photochemical behaviour of furylidene carbonyl compounds. Tetrahedron 1992, 48, 9323–9336. [Google Scholar] [CrossRef]
- Wiberg, K.B. Basis set effects on calculated geometries: 6-311++G** vs. aug-cc-pVDZ. J. Comput. Chem. 2004, 25, 1342–1346. [Google Scholar] [CrossRef] [PubMed]
- D’Auria, M.; Emanuele, L.; Racioppi, R. Regio- and stereoselectivity in the Paternò-Büchi reaction between 2,3-dihydrofuran and furan with benzaldehyde. Lett. Org. Chem. 2006, 3, 244–246. [Google Scholar] [CrossRef]
- D’Auria, M.; Racioppi, R. A DFT study of 1,4-biradical intermediates involved in stereoselective Paternò-Büchi reactions. Eur. J. Org. Chem. 2010, 2010, 3831–3836. [Google Scholar] [CrossRef]
- D’Auria, M. Regio- and stereochemistry of the [2+2]-cycloaddition reaction between enones and alkenes. A DFT study. Tetrahedron 2012, 68, 8699–8703. [Google Scholar] [CrossRef]
- Sample Availability: Samples of the compounds 9, 10, and 14 are not available from the authors, others are available form authors.
© 2014 by the authors. Licensee MDPI, Basel, Switzerland. This article is an open access article distributed under the terms and conditions of the Creative Commons Attribution license ( http://creativecommons.org/licenses/by/4.0/).











