Antifungal Compounds Produced by Colletotrichum gloeosporioides, an Endophytic Fungus from Michelia champaca
Abstract
:1. Introduction

2. Results and Discussion
2.1. Biological Activities of the Endophytes
| Fungus Code | Fungus Identification | Antifungal Activity a | AChE Inhibition b | Anticancer Activity c | |
|---|---|---|---|---|---|
| C. sphaerospermum | C. cladosporioides | ||||
| Mc-1 | ++ | ++ | + | + | |
| Mc-2 | + | + | ++ | + | |
| Mc-3 | Xylaria sp. | +++ | +++ | ++ | + |
| Mc-4 | + | ++ | ++ | + | |
| Mc-5 | + | ++ | ++ | + | |
| Mc-6 | Phomopsis stipata | +++ | ++ | ++ | ++ |
| Mc-7 | Colletotrichum gloeosporioides | + | +++ | ++ | ++ |
| Mc-8 | +++ | +++ | + | ++ | |
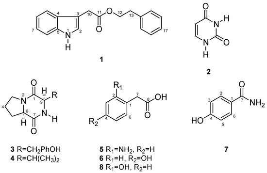
2.2. Molecular Structures and Activities of the Metabolites
| Pos. | 1 | ||
|---|---|---|---|
| δH (J in Hz) | δC | gHMBC | |
| 1 | 10.91 (s) | N | C-6 |
| 2 | 7.18 (m) | 127.0 | C-10 |
| 3 | - | 106.9 | - |
| 4 | - | 126.3 | - |
| 5 | - | 136.1 | - |
| 6 | 7.36 (d, 8.0) | 111.4 | C-2/C-8 |
| 7 | 7.08 (dt, 8.0/1.5) | 121.0 | C-5/C-8 |
| 8 | 6.96 (dt, 8.0/1.5) | 118.5 | C-4/C-6 |
| 9 | 7.42 (d, 8.0) | 118.4 | C-5/C-7 |
| 10 | 3.70 (s) | 30.8 | C-2/C-3/C-11 |
| 11 | - | 171.5 | - |
| 12 | 4.24 (dt, 6.8/1.2) | 64.6 | C-11/C-12/C-14 |
| 13 | 2.87 (t, 6.8) | 34.4 | C-12/C-13/C15/C-19 |
| 14 | - | 138.0 | - |
| 15 | 7.14 (m) | 128.8 | C-13/C-15/C-19 |
| 16 | 7.25 (m) | 128.3 | C-14/C-16/C-18 |
| 17 | 7.18 (m) | 124.0 | - |
| 18 | 7.25 (m) | 128.3 | C-14/C-16/C-18 |
| 19 | 7.14 (m) | 128.8 | C-13/C-15/C-19 |

3. Experimental Section
3.1. Isolation and Identification of the Endophytic Fungi
3.2. Fungal Growth and Extraction
3.3. Isolation and Identification of the Active Metabolites
3.4. Biological Activity
3.4.1. Antifungal Activity by Bioautography
3.4.2. Acetylcholinesterase (AChE) Inhibitory Activity
3.4.3. Anticancer Activity
4. Conclusions
Supplementary Materials
Supplementary Files
Supplementary File 1Acknowledgments
Author Contributions
Conflicts of Interest
References
- Maezza, G.; Dayan, F.E.; Wedge, D.E. Activity of quinones on Colletotrichum species. J. Agric. Food Chem. 2003, 51, 3824–3828. [Google Scholar] [CrossRef] [PubMed]
- Zou, W.X.; Meng, J.C.; Lu, H.; Chen, G.X.; Shi, G.X.; Zhang, T.Y.; Tan, R.X. Metabolites of Colletotrichum gloeosporioides, an endophytic fungus in Artemisia mongolica. J. Nat. Prod. 2000, 63, 1529–1530. [Google Scholar] [CrossRef] [PubMed]
- Ohra, J.; Morita, K.; Tsujino, Y.; Tazaki, H.; Fujimori, T.; Goering, M.; Evans, S.; Zorner, P. Production of the phytotoxin metabolite, ferricrocin, by the fungus Colletotrichum gloeosporioides. Biosci. Biotech. Biochem. 1995, 59, 113–114. [Google Scholar] [CrossRef]
- Meyer, W.L.; Lax, A.R.; Templeton, G.E.; Brannon, M.J. The structure of gloeosporone, a novel germination self-inhibitor from conidia of Colletotrichum gloesporioides. Tetrahedron Lett. 1983, 24, 5059–5062. [Google Scholar] [CrossRef]
- Trapial, S.; Kashyap, D.; Mehta, V.; Kumar, S.; Kumar, D. Antifertility effect of hydroalcoholic leaves extract of Michelia champaca L.: An ethnomedicine used by Bhatra women in Chhattisgarh state of India. J. Ethnopharmacol. 2013, 147, 671–675. [Google Scholar] [CrossRef] [PubMed]
- Wei, L.S.; Wee, W.; Siong, J.Y.F.; Syamsumi, D.F.S. Characterization of antimicrobial, antioxidant, anticancer property and chemical composition of Michelia champaca seed and flower extracts. J. Pharm. Sci. 2011, 4, 19–24. [Google Scholar]
- Matuo, R.; Sousa, F.G.; Soares, D.G.; Bonatto, D.; Saffi, J.; Escargueil, A.E.; Larsen, A.K.; Henriques, J.A. Saccharomyces cerevisiae as a model system to study the response to anticancer agents. Cancer Chemother. Pharmacol. 2012, 70, 491–502. [Google Scholar] [CrossRef] [PubMed]
- Cafeu, M.C.; Silva, G.H.; Teles, H.L.; Bolzani, V.S.; Araujo, A.R. Substancias antifungicas de Xylaria sp., um fungo endofitico isolado de Palicourea marcgravii (Rubiaceae). Quím. Nova 2005, 28, 991–995. [Google Scholar] [CrossRef]
- Chomeheon, P.; Wiyakrutta, S.; Sriubolmas, N.; Ngamrojanavanich, N.; Isarangkul, D.; Kittakoop, P. 3-Nitropropionic acid (3-NPA), a potent antimycobacterial agent from endophytic fungi: Is 3-NPA in some plants produced by endophytes? J. Nat. Prod. 2005, 68, 1103–1105. [Google Scholar] [CrossRef] [PubMed]
- Blicharska, B.; Kupka, T. Theoretical DFT and experimental NMR studies on uracil and 5-fluorouracil. J. Mol. Struct. 2002, 613, 153–166. [Google Scholar] [CrossRef]
- Fdhila, F.; Vazquez, V.; Sanchez, J.L.; Riguera, R. DD-Diketopiperazines: Antibiotics active against Vibrio anguillarum isolated from marine bacteria associated with cultures of Pecten maximus. J. Nat. Prod. 2003, 66, 1299–1301. [Google Scholar] [CrossRef] [PubMed]
- Wang, L.; Zheng, C.D.; Li, X.J.; Gao, J.M.; Zhang, X.C.; Wei, G.H. Cyclo(pro-tyr) from an endophytic rhizobium isolated from Glycyrrhiza uralensis. Chem. Nat. Compd. 2012, 47, 1040–1042. [Google Scholar] [CrossRef]
- Li, X.J.; Tang, H.Y.; Duan, J.L.; Gao, J.M.; Xue, Q.H. Bioactive alkaloids produced by Pseudomonas brassicacearum subsp. Neoaurantiaca, an endophytic bacterium from Salvia miltiorrhiza. Nat. Prod. Res. 2013, 27, 496–499. [Google Scholar]
- Shapiro, B.L.; Mohrmann, L.E. NMR spectral data: A compilation of aromatic proton chemical shifts in mono- and di-substituted benzenes. J. Phys. Chem. Refer. Data 1977, 6, 919–992. [Google Scholar] [CrossRef]
- Ohtani, K.; Fujioka, S.; Kawano, T.; Shimada, A.; Kimura, Y. Nematicidal activities of 4-hydroxyphenylacetic acid and oidiolactone D produced by the fungus Oidiodendron sp. Z. Naturforsch. C 2011, 66, 31–34. [Google Scholar] [CrossRef] [PubMed]
- Tsuno, Y.; Fujio, M.; Takai, Y.; Yukawa, Y. The substituent effect. IV. Proton NMR chemical shifts of phenols. Bull. Chem. Soc. Jpn. 1972, 45, 1519–1529. [Google Scholar] [CrossRef]
- Queiroz, M.M.; Queiroz, E.F.; Zeraik, M.L.; Ebrahimi, S.N.; Marcourt, L.; Cuendet, M.; Castro-Gamboa, I.; Hamburger, M.; Bolzani, V.S.; Wolfender, J.L. Chemical composition of the bark of Tetrapterys mucronata and identification of acetylcholinesterase inhibitory constituents. J. Nat. Prod. 2014, 77, 650–656. [Google Scholar] [CrossRef] [PubMed]
- Oliveira, C.M.; Silva, G.H.; Regasini, L.O.; Zanardi, L.M.; Evangelista, A.H.; Young, M.C.; Bolzani, V.S.; Araujo, A.R. Bioactive metabolites produced by Penicillium sp.1 and sp.2, two endophytes associated with Alibertia macrophylla (Rubiaceae). Z. Naturforsch. C 2009, 64, 824–830. [Google Scholar] [PubMed]
- Homans, A.L.; Fuchs, A. Direct bioautography on thin-layer chromatograms as a method for detecting fungitoxic substances. J. Chromatogr. A 1970, 51, 327–329. [Google Scholar] [CrossRef]
- Marston, A.; Kissling, J.; Hostettmann, K. A rapid TLC bioautographic method for the detection of acetylcholinesterase and butyrylcholinesterase inhibitors in plants. Phytochem. Anal. 2002, 13, 51–54. [Google Scholar] [CrossRef] [PubMed]
- Gunatilaka, A.A.L.; Kingston, D.G.I.; Johnson, R.K. Mechanism-based isolation and structure of some anticancer active natural-products. Pure Appl. Chem. 1994, 10, 2219–2222. [Google Scholar]
- Sample Availability: Samples of the compounds are not available.
© 2014 by the authors. Licensee MDPI, Basel, Switzerland. This article is an open access article distributed under the terms and conditions of the Creative Commons Attribution license ( http://creativecommons.org/licenses/by/4.0/).
Share and Cite
Chapla, V.M.; Zeraik, M.L.; Leptokarydis, I.H.; Silva, G.H.; Bolzani, V.S.; Young, M.C.M.; Pfenning, L.H.; Araújo, A.R. Antifungal Compounds Produced by Colletotrichum gloeosporioides, an Endophytic Fungus from Michelia champaca. Molecules 2014, 19, 19243-19252. https://doi.org/10.3390/molecules191119243
Chapla VM, Zeraik ML, Leptokarydis IH, Silva GH, Bolzani VS, Young MCM, Pfenning LH, Araújo AR. Antifungal Compounds Produced by Colletotrichum gloeosporioides, an Endophytic Fungus from Michelia champaca. Molecules. 2014; 19(11):19243-19252. https://doi.org/10.3390/molecules191119243
Chicago/Turabian StyleChapla, Vanessa Mara, Maria Luiza Zeraik, Ioanis Hcristos Leptokarydis, Geraldo Humberto Silva, Vanderlan Silva Bolzani, Maria Claudia M. Young, Ludwig Heinrich Pfenning, and Angela Regina Araújo. 2014. "Antifungal Compounds Produced by Colletotrichum gloeosporioides, an Endophytic Fungus from Michelia champaca" Molecules 19, no. 11: 19243-19252. https://doi.org/10.3390/molecules191119243
APA StyleChapla, V. M., Zeraik, M. L., Leptokarydis, I. H., Silva, G. H., Bolzani, V. S., Young, M. C. M., Pfenning, L. H., & Araújo, A. R. (2014). Antifungal Compounds Produced by Colletotrichum gloeosporioides, an Endophytic Fungus from Michelia champaca. Molecules, 19(11), 19243-19252. https://doi.org/10.3390/molecules191119243
