Abstract
d-Xylose-based ionic liquids have been prepared from d-xylose following a five steps reaction sequence, the key step being a click cycloaddition. These ionic liquids (ILs) have been characterized through classical analytical methods (IR, NMR, mass spectroscopy, elemental analysis) and their stability constants, Tg and Tdec, were also determined. Considering their properties and their hydrophilicity, these compounds could be alternative solvents for chemical applications under mild conditions.
1. Introduction
In the last two decades, ionic liquids (ILs) have attracted considerable attention due to their unique properties (non-flammability, good electrolytic properties, unique solubility, negligible vapor pressure, good thermal stability, etc.) [,,]. Due to the increasing growth of their applications as alternative to volatile solvents in catalytic applications [,,,], biocatalysis [,], synthetic chemistry [], electrochemistry [,,,,], analytical applications [,,,,], or for separations and extractions [,,,,,,], the development of new IL structures is always being sought. Thanks to the click chemistry reaction, a large variety of 1,2,3-triazole structures can be obtained [,,], but surprisingly, few ionic liquids derived from triazole have been reported (Figure 1) [,,,,].
Figure 1.
Triazolium based ionic liquids [].
Carbohydrates are among the most abundant and low-cost natural sources of chiral materials and represent building blocks of choice for the formation of various compounds with a broad spectrum of applications []. The use of ILs as solvents for the transformation of carbohydrates was first reviewed by Linhardt in 2005 []. Next, ILs have been shown to exhibit excellent solubilizing properties, facilitating a wide range of chemical transformations, including acetylation, ortho-esterification, benzylidenation and glycosylation reactions of carbohydrates [,,,,,]. Recently, Afonso and Tran discussed respectively the application of ILs in carbohydrate dissolution [] and the recent developments of ionic liquids in oligosaccharide synthesis []. Therefore, sugar-based chiral ionic liquids (CILs) could be used as solvent or catalyst in asymmetric synthesis [,,,,] or as chiral phases in gas chromatography [].
Only a few examples of carbohydrates-based ILs were reported in the literature [,,,,,,,] (Figure 2). First, in 2003 Dickenson et al. published the preparation of ILs derived from fructose as a promising solvent for implementing fully “green chemistry” methods []. Glucose was also used as starting material for the elaboration of either a new class of chiral solvents from low-cost natural sources [] or multiphase particles for cosmetic applications []. Next, isomanide or isosorbide-based ILs were prepared as solvents for chiral discrimination or asymmetric organic reactions [,,,,].
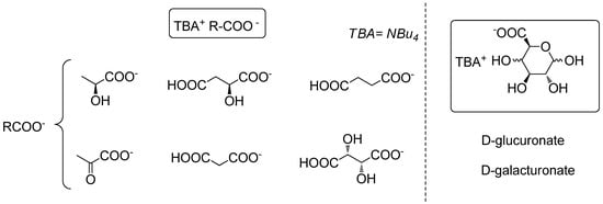
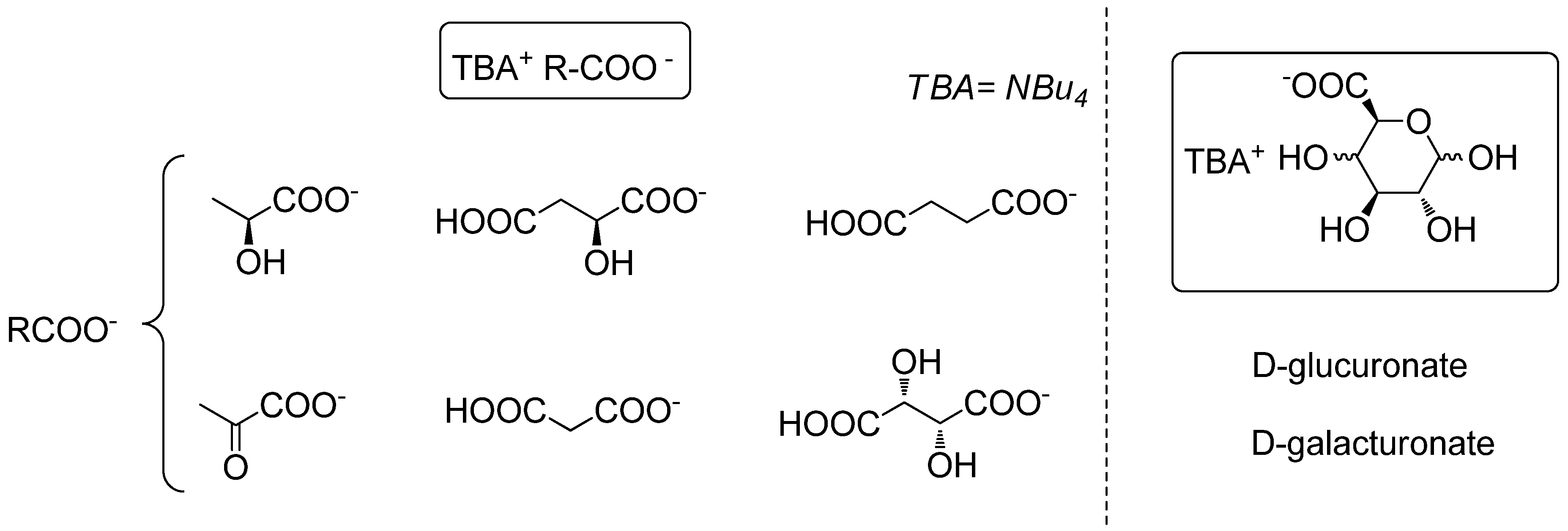
For our part, we recently reported the preparation (and the use as solvent for catalysis) of biomass- derived ionic liquids from natural organic acids, among them osidic acids [] (Figure 3). In this context, as we have been studying for many years the valuation of pentoses issued from hemicelluloses as surfactants [,,,,,] or glycodendrimers [,,], we wish to report here a new way of valuation of these sugars as new ILs in which 1,2,3-triazolium salts [,,,,,,,,,,] serve as the IL part and xyloside units are covalently tethered at the “4” position of the triazolium ring. To the best of our knowledge, no ionic liquid derived from d-xylose was previously described in the literature.
Figure 2.
Carbohydrates-based ILs.
Figure 3.
Biomass derived ILs.
2. Results and Discussion
For the glycosylation step, treatment of peracetylated d-xylose with propargyl alcohol in the presence of BF3·Et2O was used to access the β-propargyl xyloside 1 []. This method was preferred because previous trials on d-xylose using the Fisher method [] with para-toluenesulfonyl acid as catalyst led to a mixture of anomers which are could not be separated, even after acetylation.
CuI-“catalyzed” Huisgen 1,3-dipolar cycloaddition reaction of the modified alkynyl sugar with phenyl or hexyl azide, was carried out in the presence of an excess of CuI in a homogeneous THF/water mixture (Scheme 1). Several reactions were performed with catalytic and stoichiometric amounts of copper, but led to very poor yields, a part of the copper salt probably being involved in the complexation of the acetate groups. The propargyl xyloside/azide ratio was also optimized after several trials to afford good yields for the cycloaddition adducts.
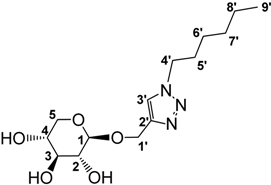
The excess of Cu salt was removed as [Cu(NH3)2(H2O)2][SO4] by washing with an ammonia solution. Purification by precipitation with CH2Cl2/petroleum ether in order to remove the excess of sugar provided compounds 2 and 3 in good yields. The presence of signals at 7.42 ppm and 7.49 ppm for 2 and 3, respectively, in their 1H-NMR spectrum, unambiguously proved the formation of the triazole ring. The composition of compounds 2 and 3 was further confirmed by 13C-NMR and elemental analysis. The acetylated benzyl and hexyl compounds 2 and 3 were then deprotected in the presence of sodium methanolate to give the corresponding derivatives 4 and 5 with free hydroxyl groups (Scheme 1). No signals were found for methyl groups or carbonyl carbons in the 1H- and 13C-NMR spectra, respectively. This set of derivatives was purified by precipitation.
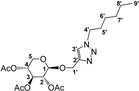
Scheme 1.
Synthesis of ILs 6 and 7.
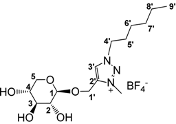
In line with previous observations, trimethyloxonium tetrafluoroborate (Meerwein’s salt) proved to be a very powerful methylating agent (29 equivalents used as described []), affording benzyl and hexyl triazolium salts 6 and 7 in good isolated yields in 5 h at room temperature in dry MeCN (Scheme 1). Alternative reaction conditions applied to the hexyl derivative, using methyl iodide (20 equivalents) in dry MeCN under reflux gave improved yields (95%) but required longer reaction times (85 h). The new ILs 6 and 7 were highly soluble in water and in methanol and insoluble in diethyl ether, therefore their purification was done by precipitation of the crude products from MeOH/Et2O. The presence of signals around 4.32 ppm in their 1H-NMR spectrum and at 38.7 ppm in their 13C-NMR spectrum for the benzyl and hexyl derivatives, respectively, showed the quaternisation of the triazole ring.
In addition of the IR, NMR, elemental analyses and mass spectroscopy, ILs 6 and 7 were characterized by DSC (Table 1) and TGA (Figure 4). Both compounds are stable until 120 °C and 150 °C, respectively, and showed a slight positive glass transition temperature (Tg). As previously described for tetrabutylammonium galacturonate and glucuronate [], positive Tg and low decomposition temperature are observed what seems to be in relation with the presence of sugar moities. Considering these temperatures, 6 and 7 could be used only under mild conditions as solvents or chiral agents for chemical transformations or catalysis.
Table 1.
Glass transition and decomposition temperatures of ILs 6 and 7.
| IL | Tg (°C) a | Tdec (°C) b |
|---|---|---|
![]() | 4 | 150 |
| 6 | ||
![]() | 2.7 | 120 |
| 7 |
a Tg = Onset temperature measured at 10 K/min under argon; b Tdec = Onset temperature measured at 10 K/min under argon.
Figure 4.
Thermogravimetric analysis of compounds 6 and 7.
The thermal stability of 6 and 7 was determined by thermogravimetric analysis (TGA) under argon (Figure 4). The TG curve shows an initial weight loss of 1.33% and 0.76% of water respectively for 6 and 7 between room temperature and 110 °C followed by a second loss of water (3.20% and 3.01%). Such a noticeable mass loss corresponds to the hydroxyl groups. The thermal degradation (Tdec) occurring during the second step gives a loss of F (m/z = 19) fragments by mass spectrometry analysis originating from BF4− decomposition.
3. Experimental
3.1. General Procedures
All reagents were commercially available and used as received. CH2Cl2 was dried over CaH2 and distilled under argon before use. CH3CN was dried using a Pure Solv solvent drying system over aluminum oxide under an argon atmosphere before use. 1H-NMR (250.1 MHz), 13C-NMR (62.9 MHz) and 19F-NMR (235.4 MHz) spectra were recorded on an AC 250 Bruker instrument in CDCl3 or MeOD with TMS as reference for 1H spectra and CDCl3 (δ 77.0) or MeOD (δ 49.9) for 13C spectra. IR spectra were recorded on a Nicolet AVATAR 320 FT-IR. C and H analyses were performed on a Perkin Elmer 2400 CHN equipment. Chromatographies were carried out on SDS Silica 60 (40–63 µm) or Silica 60 F254 (TLC plates). All experiments (MS and HRMS) were obtained on a hybrid tandem quadrupole/time-of-flight (Q-TOF) instrument, equipped with a pneumatically assisted electrospray (Z-spray) ion source (Micromass, Manchester, UK) operated in positive and negative mode. The electrospray potential was set to 3 kV in positive ion mode (flow of injection 5 μL/min.) and the extraction cone voltage was usually varied between 30 and 90 V. Optical rotations were measured on a Perkin Elmer 241 polarimeter. Thermogravimetric analyses coupled with a mass spectrometer were performed between 30 °C and 300 °C under a constant flow of dry argon (50 mL·min−1) using a Simultaneous Thermal Analyzer STA 449C Jupiter from Netzsch, and a heating rate of 10 K/min. The isothermal drift and sensitivity values are 0.6 µg/h and 0.1 µg, respectively. Alumina crucibles were loaded with 10–20 mg of sample. The DSC experiments were carried out on a Netzsch DSC 204F1 heat flux differential calorimeter at a heating rate of 10 K/min under a constant flow of dry argon (200 mL·min−1). Aluminum crucibles were loaded with 10–15 mg of sample.
3.2. Synthetic Procedures
3.2.1. Preparation of 1-((1-Benzyl-1,2,3-triazol-4-yl)methoxy)2,3,4-tri-O-acetyl-β-d-xylopyranoside (2)

To a solution of β-propargyl xyloside 1 (2.08 g, 6.3 mmol) in a THF/water 1:1 (v:v) (20 mL) mixture were added benzyl azide (560 mg, 4.2 mmol), CuSO4·5H2O (4.2 g, 16.9 mmol), and sodium ascorbate (3.3 g, 16.9 mmol). The mixture was stirred at room temperature under an argon atmosphere for 18 h. The mixture was concentrated and CH2Cl2 was added. The organic layer was washed with aqueous ammonium hydroxide (0.8 M) until a colorless aqueous layer was obtained, then with water to neutrality. The organic phase was concentrated to dryness in vacuo. The crude product was dissolved in a minimum of CH2Cl2 and precipitated with an excess of petroleum ether. Compound 2 was obtained as a white solid in 80% yield (2.25 g). IR (KBr) ν cm−1: 2959, 2876, 1755, 1652, 1487, 1456, 1371, 1224, 1172, 1123, 1046. 1H-NMR (CDCl3) 1.82, 1.91, 1.96 (3 × s, 9H, CH3Ac), 3.37 (dd, J = 9 Hz, J = 11.7 Hz, 1H, H5), 4.11 (dd, J = 5 Hz, J = 11.7 Hz, 1H, H5), 4.61 (d, J = 5 Hz, 1H, H1β), 4.73–4.97 (overlap, 2H + 1H + 1H, H1’ + H2 + H4), 5.14 (t, J = 8.5 Hz, 1H, H3), 5.52 (s, 2H, H4’), 7.26–7.42 (overlapped, 5H, Harom), 7.42 (s, 1H, H3’). 13C-NMR (CDCl3) 20.4, 20.5, 20.6 (CH3Ac), 54.0 (C1’), 61.9, 62.3 (C5, C4’), 68.7, 70.5, 71.2 (C2, C3, C4), 99.6 (C1β), 122.6 (C3’), 128.1, 128.7, 129.0 (CHarom), 134.5 (Cqarom), 144.5 (C2’), 169.3, 169.7, 169.8 (C = OAc). Anal. Found (Calcd) for C21H25N3O8: C 56.39 (56.31), H 5.41 (5.62). [α]D20 = −71.9 (c 4.7, CHCl3).
3.2.2. Preparation of 1-((1-Hexyl-1,2,3-triazol-4-yl)methoxy)2,3,4-tri-O-acetyl-β-d-xylopyranoside (3)

Same procedure as described for compound 2 was followed with a solution of β-propargyl xyloside 1 (3 g, 9.5 mmol) in a THF/water 1:1 (v:v) (20 mL) mixture, hexyl azide (809 mg, 6.4 mmol), CuSO4·5H2O (6.5 g, 26.0 mmol), and sodium ascorbate (5.1 g, 26.0 mmol). Compound 3 was obtained as a white solid in 86% yield (2.34 g). IR (KBr) ν cm−1: 2957, 2870, 1758, 1637, 1464, 1435, 1228, 1122, 1046. 1H-NMR (CDCl3) 0.85 (m, 3H, H9’), 1.30 (overlapped, 6H, H6’ + H7’ + H8’), 1.90 (m, 2H, H5’), 2.01, 2.03, 2.05 (3 × s, 9H, CH3Ac), 3.40 (dd, J = 9 Hz, J = 11.2 Hz, 1H, H5), 4.15 (dd, J = 5 Hz, J = 11.7 Hz, 1H, H5), 4.35 (t, J = 7.5 Hz, H4’), 4.64 (d, J = 6.5 Hz, 1H, H1β), 4.89–4.97 (overlapped, 2H + 1H + 1H, H1’ + H2 + H4), 5.17 (t, J = 10 Hz, 1H, H3), 7.49 (s, 1H, H3’). NMR 13C (62.9 MHz, CDCl3) 13.8 (C9’), 20.5 (CH3Ac), 22.9, 26.0, 30.1, 30.9 (C5’, C6’, C7’, C8’), 50.2 (C1’), 61.9, 62.4 (C5, C4’), 68.7, 70.6, 71.2 (C2, C3, C4), 99.6 (C1β), 122.3 (C3’), 144.0 (C2’), 169.3, 169.7, 169.8 (C = OAc). Anal. Found (Calcd) for C20H31N3O8: C 54.34 (54.41), H 7.01 (7.08). [α]D20 = −67.0 (c 4.2, CHCl3).
3.2.3. Preparation of 1-((1-Benzyl-1,2,3-triazol-4-yl)methoxy)β-d-xylopyranoside (4)

The acetylated compound 2 (170 mg, 0.38 mmol) was dissolved in CH2Cl2/MeOH 1:1 (v:v) (5 mL) under Ar and NaOMe (61.8 mg, 1.14 mmol) was then added. After stirring for 24 h at room temperature, the mixture was neutralized with Amberlite IR120 and filtered. The organic phase was concentrated to dryness in vacuo. The crude product was dissolved in a minimum of MeOH and precipitated with an excess of diethylether. Compound 4 was obtained as a white solid in 70% yield (m = 85 mg). 1H-NMR (CD3OD). 3.13–3.28 (overlapped, 1H + 1H + 1H, H2 + H3 + H5), 3.44 (m, 1H, H4), 3.82 (dd, J = 5 Hz, J = 11.2 Hz, H5), 4.26 (d, J = 7.5 Hz, 1H, H1β), 4.67 (d, J = 12.5 Hz, H1’), 4.87 (overlap, 3H + 1H, OH + H1’), 5.56 (s, 2H, H4’), 7.30 (m, 5H, Harom), 7.94 (s, 1H, H3’). 13C-NMR (CD3OD) 54.7 (C1’), 62.8 (C4’), 66.7 (C5), 70.9, 74.5, 77.3 (C2, C3, C4), 104.0 (C1β), 125.1 (C3’), 128.9, 129.4, 129.8 (CHarom), 136.5 (Cqarom), 145.7 (C2’). Anal. Found (Calcd) for C15H19N3O5: C 55.97 (56.03), H 5.94 (5.92). [α]D20 = −36.7 (c 6.0, H2O).
3.2.4. Preparation of 1-((1-Hexyl-1,2,3-triazol-4-yl)methoxy)β-d-xylopyranoside (5)

The same procedure as described for compound 4 was followed with compound 3 (2.34 g, 5.5 mmol) dissolved in CH2Cl2/MeOH 1:1 (v:v) (40 mL) and NaOMe (887 mg, 16.4 mmol). The compound 5 was obtained as a white solid in 63% yield (m = 1.09 g). 1H-NMR (CD3OD) 0.88 (m, 3H, H9’), 1.32 (overlapped, 6H, H6’ + H7’ + H8’), 1.88 (m, 2H, H5’), 3.18–3.31 (overlapped, 1H + 1H + 1H, H2 + H3 + H5), 3.48 (m, 1H, H4), 3.87 (dd, J = 5 Hz, J = 11.2 Hz, 1H, H5), 4.30 (d, J = 7.5 Hz, 1H, H1β), 4.38 (t, J = 7.5 Hz, 1H, H4’), 4.70 (d, J = 12.5 Hz, 1H, H1’), 4.87 (overlapped, 3H + 1H, OH + H1’), 7.97 (s, 1H, H3’). 13C-NMR (CD3OD) 13.9 (C9’), 22.0, 25.5, 29.7, 30.6 (C5’, C6’, C7’, C8’), 49.3 (C1’), 61.5 (C4’), 65.8 (C5), 69.6, 73.2, 76.6 (C2, C3, C4), 102.8 (C1β), 124.0 (C3’), 143.6 (C2’). Anal. Found (Calcd) for C14H25N3O5: C 53.28 (53.32), H 7.88 (7.99). [α]D20 = −40.0 (c 2.4, H2O).
3.2.5. Preparation of 1-((1-Benzyl-3-methyl-1,2,3-triazol-4-yl)methoxy)β-d-xylopyranoside tetrafluoroborate (6)

The corresponding triazole 4 (936 mg, 2.9 mmol) and Me3OBF4 (517 mg, 3.5 mmol) were stirred in dry acetonitrile (40 mL) for 5 h at room temperature. The reaction was quenched with MeOH (10 mL), and the solvent was removed under reduced pressure to give the crude product, which was in a minimum of MeOH and precipitated with excess of diethyl ether. Compound 6 was obtained as a white wax in 23% yield (m = 291 mg). IR: ν cm−1: 3363, 2891, 1737, 1635, 1589, 1456, 1348, 1286, 1244, 1155, 1035. 1H-NMR (CD3OD) 3.13–3.29 (overlapped, 1H + 1H + 1H, H2 + H3 + H5), 3.36 (m, 1H, H4), 3.85 (dd, J = 5 Hz, J = 11.2 Hz, H5), 4.35 (s, CH3Tr), 4.41 (d, J = 7.5 Hz, 1H, H1β), 4.87 (sl, 3H, OH), 5.05 (dd, J = 15 Hz, J = 20 Hz, 2H, H1’), 5.85 (s, 2H, H4’), 7.50 (m, 5H, Harom), 8.72 (s, 1H, H3’). 13C-NMR (CD3OD) 38.7 (CH3Tr), 58.0, 59.5 (C1’, C4’), 66.9 (C5), 70.8, 74.6, 77.5 (C2, C3, C4), 104.6 (C1β), 129.5 (C3’), 129.8, 130.0, 130.5 (CHarom), 133.4 (Cqarom), 142.2 (C2’). 19F-NMR (CD3OD) 154.8 (s, BF4). Anal. Found (Calcd) for C15H19N3O5 + 1 H2O: C 43.96 (43.56), H 5.18 (5.48). [α]D20 = −13.1 (c 4.1 MeOH). HRMS calcd. for C16H22N3O5+: 336.1559, found 336.1555
3.2.6. Preparation of 1-((1-Hexyl-3-methyl-1,2,3-triazol-4-yl)methoxy)β-d-xylopyranoside tetrafluoroborate (7)

The same procedure as described for compound 6 was followed with the triazole 5 (900 mg, 2.8 mmol) and Me3OBF4 (506 mg, 3.4 mmol) in dry acetonitrile (40 mL). Compound 7 was obtained as as a white wax in 78% (m = 896 mg). IR: ν cm−1: 3392, 3140, 2956, 2929, 2872, 2494, 1589, 1460, 1356, 1323, 1286, 1247, 1038. 1H-NMR (250 MHz, CD3OD) 0.93 (m, 3H, H9’), 1.37 (overlap, 6H, H6’ + H7’ + H8’), 2.01 (m, 2H, H5’), 3.17–3.34 (overlap, 1H + 1H + 1H, H2 + H3 + H5), 3.49 (m, 1H, H4), 3.85 (dd, J = 5 Hz, J = 11.2 Hz, 1H, H5), 4.32 (s, 3H, CH3Tr), 4.37 (d, J = 7.5 Hz, 1H, H1β), 4.61 (t, J = 7.5 Hz, 1H, H4’), 4.87 (sl, 3H, OH sugar), 5.03 (dd, J = 7.5 Hz, J = 22.5 Hz, 2H, H1’), 8.71 (s, 1H, H3’). 13C-NMR (CD3OD) 14.3 (C9’), 23.4, 26.7, 30.1, 32.1 (C5’, C6’, C7’, C8’), 38.9 (CH3Tr), 54.9 (C4’), 59.6 (C1’), 67.0 (C5), 70.9, 74.5, 77.4 (C2, C3, C4), 104.8 (C1β), 130.7 (C3’), 142.0 (C2’). NMR 19F (235.4 MHz, CD3OD) 155.1 (s, BF4). Anal. Found (Calcd) for C14H25N3O5 + 1.5 H2O: C 40.11 (40.56), H 6.67 (7.03). [α]20D = −20.4 (c 4.4 MeOH). HRMS calcd. for C15H28N3O5+: 330.2029, found 330.2033.
4. Conclusions
d-Xylose-based ILs have been prepared from d-xylose following an original pathway, the key step being a click cycloaddition. These ILs have been fully characterized and are hydrophilic. After determination of their ecotoxicity and their biodegradability in a near future, these solvents could be used as alternative solvents or chiral agents for synthesis or catalysis in water under mild conditions.
Acknowledgments
This work was supported by the Fondation du Site Paris Reims (post doctoral fellowship for Nadège Ferlin) and the FEDER for material funds.
Conflicts of Interest
The authors declare no conflict of interest.
References
- Wasserscheid, P.; Welton, T. Ionic Liquids in Synthesis; Wiley-VCH-Verlag GmbH & Co.: Weinheim, Germany, 2002. [Google Scholar]
- Earle, M.J.; Esperança, J.M.S.S.; Gilea, M.A.; Lopes, J.N.C.; Rebelo, L.P.N.; Magee, J.W.; Seddon, K.R.; Widegren, J.A. The distillation and volatility of ionic liquids. Nature 2006, 439, 831–834. [Google Scholar] [CrossRef]
- Couling, D.J.; Bernot, R.J.; Docherty, K.M.; Dixon, J.K.; Maginn, E.J. Assessing the factors responsible for ionic liquid toxicity to aquatic organisms via quantitative structure-property relationship modeling. Green Chem. 2006, 8, 82–90. [Google Scholar] [CrossRef]
- Olivier-Bourbigou, H.; Magna, L.; Morvan, D. Ionic liquids and catalysis: Recent progress from knowledge to applications. Appl. Catal. A 2010, 373, 1–56. [Google Scholar] [CrossRef]
- Procuranti, B.; Myles, L.; Gathergood, N.; Connon, S.J. Pyridinium ion catalysis of carbonyl protection reactions. Synthesis 2009, 23, 4082–4086. [Google Scholar]
- Myles, L.; Gore, R.; Spulak, M.; Gathergood, N.; Connon, S.J. Highly recyclable, imidazolium derived ionic liquids of low antimicrobial and antifungal toxicity: A new strategy for acid catalysis. Green Chem. 2010, 12, 1157–1162. [Google Scholar] [CrossRef]
- Van Rantwijk, F.; Sheldon, R.A. Biocatalysis in ionic liquids. Chem. Rev. 2007, 107, 2757–2785. [Google Scholar] [CrossRef]
- Plaquevent, J.-C.; Levillain, J.; Guillen, F.; Malhiac, C.; Gaumont, A.-C. Ionic liquids: New targets and media for α-amino acid and peptide chemistry. Chem. Rev. 2008, 108, 5035–5060. [Google Scholar] [CrossRef]
- Welton, T. Room-temperature ionic liquids. Solvents for synthesis and catalysis. Chem. Rev. 1999, 99, 2071–2083. [Google Scholar] [CrossRef]
- Wei, D.; Ivaska, A. Applications of ionic liquids in electrochemical sensors. Anal. Chim. Acta 2008, 607, 126–135. [Google Scholar] [CrossRef]
- Buzzeo, M.C.; Evans, R.G.; Compton, R.G. Non-haloaluminate room-temperature ionic liquids in electrochemistry—A review. ChemPhysChem 2004, 5, 1106–1120. [Google Scholar] [CrossRef]
- Galinski, M.; Lewandowski, A.; Stepniak, I. Ionic liquids as electrolytes. Electrochim. Acta 2006, 51, 5567–5580. [Google Scholar] [CrossRef]
- Electrochemical Aspects of Ionic Liquids, 2nd ed.; Ohno, H. (Ed.) John Wiley & Sons, Inc.: Hoboken, NJ, USA, 2011.
- sterholm, A.; Damlin, P.; Kvarnström, C.; Ivaskaa, A. Studying electronic transport in polyazulene-ionic liquid systems using infrared vibrational spectroscopy. Phys. Chem. Chem. Phys. 2011, 13, 11254–11263. [Google Scholar] [CrossRef]
- Liu, J.-F.; Jiang, G.-B.; Jönsson, J.A. Application of ionic liquids in analytical chemistry. TrAC Trends Anal. Chem. 2005, 24, 20–27. [Google Scholar] [CrossRef]
- Baker, G.A.; Baker, S.N.; Pandey, S.; Bright, F.V. An analytical view of ionic liquids. Analyst 2005, 130, 800–808. [Google Scholar] [CrossRef]
- Pandey, S. Analytical applications of room-temperature ionic liquids: A review of recent efforts. Anal. Chim. Acta 2006, 556, 38–45. [Google Scholar] [CrossRef]
- Soukup-Hein, R.J.; Warnke, M.M.; Armstrong, D.W. Ionic liquids in analytical chemistry. Annu. Rev. Anal. Chem. 2009, 2, 145–168. [Google Scholar] [CrossRef]
- Sun, P.; Armstrong, D.W. Ionic liquids in analytical chemistry. Anal. Chim. Acta 2010, 661, 1–16. [Google Scholar] [CrossRef]
- Baltus, R.E.; Counce, R.M.; Culbertson, B.H.; Luo, H.; DePaoli, D.W.; Dai, S.; Duckworth, D.C. Examination of the potential of ionic liquids for gas separations. Sep. Sci. Technol. 2005, 40, 525–541. [Google Scholar] [CrossRef]
- Han, X.; Armstrong, D.W. Ionic liquids in separations. Acc. Chem. Res. 2007, 40, 1079–1086. [Google Scholar] [CrossRef]
- Arce, A.; Earle, M.J.; Katdare, S.P.; Rodriguez, H.; Seddon, K.R. Application of mutually immiscible ionic liquids to the separation of aromatic and aliphatic hydrocarbons by liquid extraction: A preliminary approach. Phys. Chem. Chem. Phys. 2008, 10, 2538–2542. [Google Scholar] [CrossRef]
- Luis, P.; Garea, A.; Irabien, A. Ionic liquids and membranes. J. Membr. Sci. 2009, 330, 80–89. [Google Scholar] [CrossRef]
- Gorri, D.; Ruiz, A.; Ortiz, A.; Ortiz, I. The use of ionic liquids as efficient extraction medium in the reactive separation of cycloolefines from cyclohexane. Chem. Eng. J. 2010, 154, 241–245. [Google Scholar] [CrossRef]
- Meindersma, G.W.; Hansmeier, A.R.; de Haan, A.B. Ionic liquids for aromatics extraction. Present status and future outlook. Ind. Eng. Chem. Res. 2010, 49, 7530–7540. [Google Scholar] [CrossRef]
- Leskinen, T.; King, A.W.T.; Kilpeläinen, I.; Argyropoulos, D.S. Fractionation of lignocellulosic materials with ionic liquids. Effect of mechanical treatment. Ind. Eng. Chem. Res. 2011, 50, 12349–12357. [Google Scholar]
- Huisgen, R. 1,3-Dipolar cycloaddition. Proc. Chem. Soc. 1961, 357–396. [Google Scholar]
- Himo, F.; Lovell, T.; Hilgraf, R.; Rostovtsev, V.V.; Noodleman, L.; Sharpless, K.B.; Fokin, V.V. Copper(I)-catalyzed synthesis of azoles. DFT study predicts unprecedented reactivity and intermediates. J. Am. Chem. Soc. 2005, 127, 210–216. [Google Scholar]
- Rostovtsev, V.V.; Green, L.G.; Fokin, V.V.; Sharpless, K.B. A stepwise huisgen cycloaddition process: Copper(I)-catalyzed regioselective “ligation” of azides and terminal alkynes. Angew. Chem. Int. Ed. 2002, 41, 2596–2599. [Google Scholar]
- Zekarias Yacob, Z.; Liebscher, J. 1,2,3-Triazolium Salts as a Versatile New Class of Ionic Liquids. “Ionic Liquids—Classes and Properties”; Handy, S.T., Ed.; InTech: Rijeka, Croatia, Chapter 1; 2011; pp. 1–22. [Google Scholar]
- Jeong, Y.-K.; Kim, D.-Y.; Choi, Y.-S.; Ryu, J.-S. Intramolecular hydroalkoxylation in Brønsted acidic ionic liquids and its application to the synthesis of (±)-centrolobine. Org. Biomol. Chem. 2011, 9, 374–378. [Google Scholar] [CrossRef]
- Zhao, F.Q.; Xue, L.; Xing, X.L.; Hu, R.Z.; Zhou, Z.M.; Gao, H.X.; Yi, J.H.; Xu, S.Y.; Pei, Q. Thermochemical properties and thermokinetic behavior of energetic triazole ionic salts. Sci. China Chem. 2011, 54, 461–474. [Google Scholar] [CrossRef]
- Fletcher, J.T.; Keeney, M.E.; Walz, S.E. 1-Allyl- and 1-Benzyl-3-methyl-1,2,3-triazolium salts via tandem click transformations. Synthesis 2010, 26, 3339–3345. [Google Scholar] [CrossRef]
- Jeong, Y.; Ryu, J.-S. Synthesis of 1,3-Dialkyl-1,2,3-triazolium ionic liquids and their applications to the baylis-hillman reaction. J. Org. Chem. 2010, 75, 4183–4191. [Google Scholar] [CrossRef]
- Hollingsworth, R.I.; Wang, G. Toward a carbohydrate-based chemistry: Progress in the development of general-purpose chiral synthons from carbohydrates. Chem. Rev. 2000, 100, 4267–4282. [Google Scholar] [CrossRef]
- Murugesan, S.; Karst, N.; Islam, T.; Wiencek, J.M.; Linhardt, R.J. Dialkyl imidazolium benzoates—Room temperature ionic liquids useful in the peracetylation and perbenzoylation of simple and sulfated saccharides. Synlett 2003, 9, 1283–1286. [Google Scholar]
- Chiappe, C.; Marra, A.; Mele, A. Synthesis and applications of ionic liquids derived from natural sugars. Top. Curr. Chem. 2010, 295, 177–195. [Google Scholar] [CrossRef]
- Forsyth, S.A.; MacFarlane, D.R.; Thomson, R.J.; von Itzstein, M. Rapid, clean, and mild O-acetylation of alcohols and carbohydrates in an ionic liquid. Chem. Commun. 2002, 7, 714–715. [Google Scholar]
- Rencurosi, A.; Lay, L.; Russo, G.; Caneva, E.; Poletti, L. Glycosylation with trichloroacetimidates in ionic liquids: Influence of the reaction medium on the stereochemical outcome. J. Org. Chem. 2005, 70, 7765–7768. [Google Scholar] [CrossRef]
- Murugesan, S.; Linhardt, R.J. Ionic liquids in carbohydrate chemistry—Current trends and future directions. Curr. Org. Synth. 2005, 2, 437–451. [Google Scholar] [CrossRef]
- Park, T.J.; Weiwer, M.; Yuan, X.J.; Baytas, S.N.; Munoz, E.M.; Murugesan, R.J. Linhardt. Glycosylation in room temperature ionic liquid using unprotected and unactivated donors. Carbohydr. Res. 2007, 342, 614–620. [Google Scholar] [CrossRef]
- Rosatella, A.A.; Frade, R.F.M.; Afonso, C.A.M. Dissolution and transformation of carbohydrates in ionic liquids. Curr. Org. Synth. 2011, 8, 840–860. [Google Scholar]
- Galan, C.M.; Jones, R.A.; Tran, A.-T. Recent development of ionic liquids in oligosaccharide synthesis. The sweet side of ionic liquids. Carbohydr. Res. 2013, 375, 35–46. [Google Scholar] [CrossRef]
- Ogawa, C.; Kobayashi, S. Catalytic Asymmetric Synthesis, 3rd ed.; Wiley-VCH: Weinheim, Germany, 2010; p. 1. [Google Scholar]
- Gaumont, A.-C.; Genisson, Y.; Guillen, F.; Plaquevent, J.-C. De Pasteur aux liquides ioniques chiraux. Petite histoire de l’induction asymétrique promue par le solvant. Actualité Chimique 2011, 348–349, 84–89. [Google Scholar]
- Gaumont, A.-C.; Genisson, Y.; Guillen, F.; Zgonnik, V.; Plaquevent, J.-C. Chiral ionic liquids for asymmetric reactions. In Catalytic Methods in Asymmetric Synthesis; Gruttadauria, M., Giaccalone, F., Eds.; John Wiley & Sons, Inc.: Palermo, Italy, 2011; pp. 323–344. [Google Scholar]
- Chen, X.; Ying, A. Ionic liquids: Applications and perspectives. In Ionic Liquids: Applications and Perspectives; Kokorin, A., Ed.; InTech: Rijeka, Croatia, 2011; pp. 305–330. [Google Scholar]
- Payagala, T.; Armstrong, D.W. Chiral ionic liquids: A compendium of syntheses and applications. Chirality 2012, 24, 17–53. [Google Scholar] [CrossRef]
- Ding, J.; Welton, T.; Armstrong, D.W. Chiral ionic liquids as stationary phases in gas chromatography. Anal. Chem. 2004, 76, 6819–6822. [Google Scholar] [CrossRef]
- Handy, S.T.; Okello, M.; Dickenson, G. Solvents from biorenewable sources: Ionic liquids based on fructose. Org. Lett. 2003, 5, 2513–2515. [Google Scholar] [CrossRef]
- Poletti, L.; Chiappe, C.; Lay, L.; Pieraccini, D.; Polito, L.; Russo, G. Glucose-derived ionic liquids: Exploring low-cost sources for novel chiral solvents. Green Chem. 2007, 9, 337–341. [Google Scholar] [CrossRef]
- Quadir, M.; Mathonneau, E. Cosmetic Composition Comprising Multiphasic Particles. U.S. Patent 20070231355, 4 October 2007. [Google Scholar]
- Pereira, M.; Manuela, A. Chiral ionic liquids from carbohydrates: Synthesis and properties. MiniRev. Org. Chem. 2012, 9, 243–260. [Google Scholar] [CrossRef]
- Truong, T.-K.-T.; van Buu, O.N.; Aupoix, A.; Pegot, B.; Vo-Thanh, G. Chiral ionic liquids derived from (−)-ephedrine and carbohydrates: Synthesis, properties and applications to asymmetric synthesis and catalysis. Curr. Org. Synth. 2012, 9, 53–64. [Google Scholar] [CrossRef]
- Kumar, V.; Pei, C.; Olsen, C.E.; Schäffer, S.J.C.; Parmar, V.S.; Malhotra, S.V. Novel carbohydrate-based chiral ammonium ionic liquids derived from isomannide. Tetrahedron Asymmetry 2008, 19, 664–671. [Google Scholar] [CrossRef]
- Nguyen Van Buu, O.; Aupoix, A.; Vo-Thanh, G. Synthesis of novel chiral imidazolium-based ionic liquids derived from isosorbide and their applications in asymmetric aza Diels–Alder reaction. Tetrahedron 2009, 65, 2260–2265. [Google Scholar] [CrossRef]
- Nguyen Van Buu, O.; Aupoix, A.; Doan Thi Hong, N.; Vo-Thanh, G. Chiral ionic liquids derived from isosorbide: Synthesis, properties and applications in asymmetric synthesis. New J. Chem. 2009, 33, 2060–2072. [Google Scholar] [CrossRef]
- Ferlin, N.; Courty, M.; Gatard, S.; Spulak, M.; Quilty, B.; Beadham, I.; Ghavre, M.; Gathergood, N.; Bouquillon, S. Biomass derived ionic liquids: Synthesis from natural organic acids, characterization, toxicity, biodegradation and use as solvents for catalytic hydrogenation processes. Tetrahedron 2013, 69, 6150–6161. [Google Scholar] [CrossRef]
- Estrine, B.; Bouquillon, S.; Hénin, F.; Muzart, J. Telomerization of butadiene with l-arabinose and d-xylose in DMF: Selective formation of their monooctadienyl glycosides. Eur. J. Org. Chem. 2004, 2914–2922. [Google Scholar]
- Estrine, B.; Bouquillon, S.; Hénin, F.; Muzart, J. Telomerization of butadiene with pentoses in water: Selective etherifications. Green Chem. 2005, 7, 219–223. [Google Scholar] [CrossRef]
- Hadad, C.; Damez, C.; Bouquillon, S.; Estrine, B.; Hénin, F.; Muzart, J.; Pezron, I.; Komunjer, L. Neutral pentosides surfactants issued from the butadiene telomerization with pentoses: Preparation and amphiphilic properties. Carbohydr. Res. 2006, 341, 1938–1944. [Google Scholar] [CrossRef]
- Damez, C.; Bouquillon, S.; Harakat, D.; Hénin, F.; Muzart, J.; Pezron, I.; Komunjer, L. Alkenyl and alkenoyl amphiphilic derivatives of d-xylose and their surfactant properties. Carbohydr. Res. 2007, 342, 154–162. [Google Scholar] [CrossRef]
- Deleu, M.; Damez, C.; Gatard, S.; Nott, K.; Paquot, M.; Bouquillon, S. Synthesis and physico-chemical characterization of bolaamphiphiles derived from alkenyl d-xylosides. New J. Chem. 2011, 35, 2258–2266. [Google Scholar] [CrossRef]
- Deleu, M.; Gatard, S.; Payen, E.; Lins, L.; Nott, K.; Flore, C.; Thomas, R.; Paquot, M.; Bouquillon, S. d-xylose-based bolaamphiphiles: Synthesis and influence of the spacer nature on their interfacial and membrane properties. C. R. Chim. 2012, 15, 68–74. [Google Scholar] [CrossRef]
- Hadad, C.; Majoral, J.P.; Muzart, J.; Caminade, A.M.; Bouquillon, S. First phosphorous d-xylose derived glycodendrimers. Tetrahedron Lett. 2009, 50, 1902–1905. [Google Scholar] [CrossRef]
- Camponovo, J.; Hadad, C.; Ruiz, J.; Cloutet, E.; Gatard, S.; Muzart, J.; Bouquillon, S.; Astruc, D. “Click” glycodendrimers containing 27, 81 and 243 modified xylopyranoside termini. J. Org. Chem. 2009, 74, 5071–5074. [Google Scholar] [CrossRef]
- Gatard, S.; Liang, L.; Salmon, L.; Ruiz, J.; Astruc, D.; Bouquillon, S. Water-soluble glycodendrimers: Synthesis and use in hydrogenation catalytic process. Tetrahedron Lett. 2011, 52, 1842–1846. [Google Scholar] [CrossRef]
- Hanelt, S.; Liebscher, J. A novel and versatile access to task-specific ionic liquids based on 1,2,3-Triazolium salts. Synlett 2008, 7, 1058–1060. [Google Scholar] [CrossRef]
- Shah, J.; Kahn, S.S.; Blumenthal, H.; Liebscher, J. 1,2,3-Triazolium-tagged prolines and their application in asymmetric aldol and Michael reactions. Synthesis 2009, 23, 3975–3982. [Google Scholar]
- Nakamura, T.; Ogata, K.; Fukuzawa, S.-I. Synthesis of dichlorobis(1,4-dimesityl-1H-1,2,3-triazol-5-ylidene)palladium [PdCl2(TMes)2] and its application to suzuki-miyaura coupling reaction. Chem. Lett. 2010, 39, 920–922. [Google Scholar] [CrossRef]
- Nulwala, H.B.; Tang, C.N.; Kail, B.W.; Damodaran, K.; Kaur, P.; Wickramanayake, S.; Shi, W.; Luebke, D.R. Probing the structure-property relationship of regioisomeric ionic liquids with click chemistry. Green Chem. 2011, 13, 3345–3349. [Google Scholar] [CrossRef]
- Aizpurua, J.M.; Sagartzazu-Aizpurua, M.; Azcune, I.; Miranda, J.I.; Monasterio, Z.; García-Lecina, E.; Fratila, R.M. “Click” synthesis of nonsymmetrical 4,4'-Bis(1,2,3-triazolium) salts. Synthesis 2011, 17, 2737–2742. [Google Scholar]
- Ohmatsu, K.O.; Kiyokawa, M.; Ooi, T. Chiral 1,2,3-Triazoliums as new cationic organic catalysts with anion-recognition ability: Application to asymmetric alkylation of oxindoles. J. Am. Chem. Soc. 2011, 133, 1307–1309. [Google Scholar] [CrossRef]
- Khan, S.S.; Shah, J.; Liebscher, J. Ionic-liquid tagged prolines as recyclable organocatalysts for enantioselective α-aminoxylations of carbonyl compounds. Tetrahedron 2011, 67, 1812–1820. [Google Scholar]
- Yoshida, Y.; Takizawa, S.; Sasai, H. Design and synthesis of spiro bis(1,2,3-triazolium) salts as chiral ionic liquids. Tetrahedron Asymmetry 2012, 23, 843–851. [Google Scholar] [CrossRef]
- Sanghi, S.; Willett, E.; Versek, C.; Tuominen, M.; Coughlin, E.B. Physicochemical properties of 1,2,3-triazolium ionic liquids. RSC Adv. 2012, 2, 848–853. [Google Scholar] [CrossRef]
- Mereyala, H.B.; Gurrala, S.R. A highly diastereoselective, practical synthesis of allyl, propargyl 2,3,4,6-tetra-O-acetyl-β-d-gluco- or β-d-galactopyranosides and allyl, propargyl heptaacetyl-β-d-lactosides. Carbohydr. Res. 1998, 307, 351–354. [Google Scholar] [CrossRef]
- Fischer, E. Ueber die verbindungen der zucker mit den alkoholen und ketonen. Ber. Dtsch. Chem. Ges. 1895, 28, 1145–1167. [Google Scholar] [CrossRef]
- Schulze, B.; Friebe, C.; Hager, M.D.; Günther, W.; Köhn, U.; Jahn, B.O.; Görls, H.; Schubert, U.S. Anion complexation by triazolium “ligands”: Mono- and bis-tridentate complexes of sulfate. Org. Lett. 2010, 12, 2710–2713. [Google Scholar] [CrossRef]
- Sample Availability: Samples of the compounds 2–7 are available from the authors.
© 2013 by the authors; licensee MDPI, Basel, Switzerland. This article is an open access article distributed under the terms and conditions of the Creative Commons Attribution license (http://creativecommons.org/licenses/by/3.0/).

