Simultaneous Determination of Structurally Diverse Compounds in Different Fangchi Species by UHPLC-DAD and UHPLC-ESI-MS/MS
Abstract
:1. Introduction

2. Results and Discussion
2.1. Analysis of Marker Compounds by UHPLC-DAD

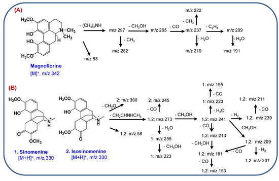
2.2. UHPLC-ESI-MS/MS Confirmation of UHPLC-DAD Results

| Compound | Precursor ion formula | Precursor ion (m/z) | Exact mass (m/z) | Characteristic ions (m/z) | ||
|---|---|---|---|---|---|---|
| Theoretical | Observed a | Difference (mmu) | ||||
| Magnoflorine | C20H24NO4+ | 342 | 342.1705 | 342.1724 | 1.9 | 58, 191, 209, 219, 237, 265, 282, 297, 311 |
| Sinomenine | C19H24NO4+ | 330 | 330.1705 | 330.1716 | 1.1 | 58, 123, 137, 153, 181, 187, 195, 207, 209, 213, 223, 239, 241, 255, 273 |
| Isosinomenine | C19H24NO4+ | 330 | 330.1705 | 330.1721 | 1.6 | 58, 153, 181, 187, 207, 211, 213, 239, 241, 273, 300 |
| Syringaresinol | C22H25O8− | 417 | 417.1549 | 417.1545 | 0.4 | 166, 181, 387, 402 |
| Fangchinoline | C37H41N2O6+ | 609 | 609.2965 | 609.2991 | 2.6 | 146, 162, 174, 191, 192, 367, 566, 578 |
| Aristolochic acid I | C17H15N2O7+ | 359 | 359.0879 | 359.0884 | 0.5 | 296, 298, 324, 342 |
| Tetrandrine | C38H43N2O6+ | 623 | 623.3121 | 623.3142 | 2.1 | 146, 162, 174, 191, 192, 381, 580, 592 |


2.3. Method Validation
| Compound | Range (μg/mL) | Linear equation | Correlation coefficient | LOD (μg/mL) | LOQ (μg/mL) |
|---|---|---|---|---|---|
| Magnoflorine | 0.2–100 | y = 0.0402x − 0.0161 | 0.9990 | 0.01 | 0.05 |
| Sinomenine | 0.2–100 | y = 0.0090x − 0.0024 | 0.9989 | 0.05 | 0.17 |
| Isosinomenine | 0.2–100 | y = 0.0056x − 0.0036 | 0.9995 | 0.05 | 0.20 |
| Syringaresinol | 0.2–100 | y = 0.0221x + 0.0021 | 0.9981 | 0.03 | 0.10 |
| Fangchinoline | 0.2–100 | y = 0.0885x − 0.0411 | 0.9998 | 0.03 | 0.10 |
| Aristolochic acid І | 0.2–100 | y = 0.0311x − 0.014 | 0.9982 | 0.01 | 0.05 |
| Tetrandrine | 0.2–100 | y = 0.0511x + 0.0786 | 0.9982 | 0.02 | 0.07 |
| Compound | Fortified conc. (μg/mL) | Intra-day (n = 5) | Inter-day (n = 5) | |||||
|---|---|---|---|---|---|---|---|---|
| Observed Conc. (μg/mL) | Precision (%) | Accuracy (%) | Observed Conc. (μg/mL) | Precision (%) | Accuracy (%) | |||
| Magnoflorine | 5 | 4.72 | 5.19 | 94.49 | 4.69 | 5.27 | 93.81 | |
| 25 | 24.78 | 0.63 | 99.14 | 24.69 | 2.22 | 98.78 | ||
| 50 | 49.13 | 1.37 | 98.26 | 49.45 | 2.97 | 98.90 | ||
| Sinomenine | 5 | 4.90 | 6.54 | 98.05 | 4.97 | 4.10 | 99.49 | |
| 25 | 24.81 | 1.68 | 99.23 | 25.19 | 3.97 | 100.76 | ||
| 50 | 48.35 | 0.11 | 96.70 | 48.66 | 1.25 | 97.31 | ||
| Isosinomenine | 5 | 5.04 | 7.09 | 100.84 | 4.98 | 4.34 | 99.63 | |
| 25 | 23.86 | 7.78 | 95.46 | 24.53 | 5.16 | 98.11 | ||
| 50 | 49.93 | 1.44 | 99.86 | 50.27 | 3.08 | 100.53 | ||
| Syringaresinol | 5 | 4.80 | 4.03 | 96.02 | 4.86 | 1.99 | 97.15 | |
| 25 | 24.74 | 0.16 | 98.95 | 24.75 | 1.82 | 98.99 | ||
| 50 | 49.87 | 0.66 | 99.75 | 49.56 | 1.30 | 99.11 | ||
| Fangchinoline | 5 | 4.80 | 2.83 | 95.97 | 4.74 | 2.12 | 94.84 | |
| 25 | 24.53 | 5.02 | 98.11 | 24.54 | 2.09 | 98.17 | ||
| 50 | 50.36 | 0.15 | 100.72 | 48.79 | 4.67 | 97.58 | ||
| Aristolochic acid I | 5 | 4.96 | 6.15 | 99.26 | 5.04 | 3.66 | 100.83 | |
| 25 | 24.82 | 0.62 | 99.29 | 25.12 | 1.36 | 100.47 | ||
| 50 | 50.41 | 0.50 | 100.82 | 49.29 | 4.69 | 98.52 | ||
| Tetrandrine | 5 | 4.85 | 0.66 | 97.08 | 4.97 | 3.37 | 99.48 | |
| 25 | 24.55 | 1.59 | 98.18 | 24.72 | 2.44 | 98.86 | ||
| 50 | 50.36 | 0.27 | 100.72 | 49.58 | 2.67 | 99.16 | ||
2.4. Method Application

| Sample | Mean concentration (mg/g) ± standard deviation (relative standard deviation) | ||||||
|---|---|---|---|---|---|---|---|
| Magnoflorine | Sinomenine | Isosinomenine | Syringaresinol | Fangchinoline | Tetrandrine | Aristolochic acid І | |
| S. acutum 1 | 21.08 ± 0.03 (0.03) | 1.70 ± 0.26 (3.10) | 2.35 ± 0.27 (2.27) | 2.44 ± 0.07 (0.61) | - | - | - |
| S. acutum 2 | 9.61 ± 0.01 (0.03) | 1.69 ± 0.21 (2.44) | 1.34 ± 0.20 (2.95) | 0.24 ± 0.01 (1.22) | - | - | - |
| S. acutum 3 | 7.46 ± 0.02 (0.05) | 3.68 ± 0.03 (0.16) | 1.73 ± 0.02 (0.27) | 0.64 ± 0.02 (0.76) | - | - | - |
| S. acutum 4 | 8.22 ± 2.07 (5.04) | 3.79 ± 1.12 (5.91) | 0.30 ± 0.02 (1.48) | 0.38 ± 0.09 (4.90) | - | - | - |
| S. acutum 5 | 8.53 ± 0.55 (1.30) | 6.30 ± 0.51 (1.62) | 3.02 ± 0.24 (1.59) | 0.08 ± 0.01 (3.23) | - | - | - |
| S. acutum 6 | 25.06 ± 0.03 (0.03) | 24.35 ± 0.02 (0.02) | 14.10 ± 0.05 (0.07) | 0.14 ± 0.02 (2.90) | - | - | - |
| S. acutum 7 | 6.65 ± 0.03 (0.10) | 13.28 ± 0.04 (0.06) | 4.86 ± 0.01 (0.04) | 0.02 ± 0.01 (5.75) | - | - | - |
| S. acutum 8 | 5.69 ± 1.14 (4.02) | 11.03 ± 0.83 (1.50) | 0.55 ± 0.10 (3.65) | 0.03 ± 0.004 (2.57) | - | - | - |
| C. trilobus 1 | 9.38 ± 0.78 (1.67) | - | - | 0.51 ± 0.10 (3.82) | - | - | - |
| C. trilobus 2 | 17.21 ± 0.04 (0.04) | - | - | 0.01 ± 0.001 (2.90) | - | - | - |
| C. trilobus 3 | 3.14 ± 0.22 (1.40) | - | - | 0.21 ± 0.05 (4.32) | - | - | - |
| C. trilobus 4 | 18.85 ± 0.03 (0.03) | - | - | 0.31 ± 0.02 (1.27) | - | - | - |
| S. tetrandra 1 | 0.14 ± 0.01 (0.78) | - | - | - | 3.14 ± 0.01 (0.07) | 2.80 ± 0.02 (0.12) | - |
| S. tetrandra 2 | 0.37 ± 0.01 (0.50) | - | - | - | 5.49 ± 0.01 (0.05) | 6.35 ± 0.02 (0.06) | - |
| S. tetrandra 3 | 0.33 ± 0.06 (3.83) | - | - | - | 5.26 ± 0.57 (2.16) | 5.86 ± 1.13 (3.87) | - |
| S. tetrandra 4 | 0.58 ± 0.02 (0.60) | - | - | - | 8.08 ± 0.02 (0.04) | 10.31 ± 0.02 (0.05) | - |
| S. tetrandra 5 | 0.37 ± 0.03 (1.73) | - | - | - | 6.41 ± 0.64 (1.99) | 9.31 ± 0.41 (0.89) | - |
| A. fangchi 1 | 0.17 ± 0.004 (0.47) | - | - | - | - | - | 0.10 ± 0.001 (0.28) |
| A. fangchi 2 | 0.27 ± 0.01 (0.38) | - | - | - | - | - | 0.40 ± 0.01 (0.62) |
| A. fangchi 3 | 0.20 ± 0.01 (0.52) | - | - | - | - | - | 0.20 ± 0.003 (0.29) |
3. Experimental
3.1. Materials and Reagents
3.2. Preparation of Standards
3.3. Preparation of Crude Rug Extracts
3.4. UHPLC-DAD Conditions
3.5. UHPLC-ESI-MS Conditions
3.6. Method Validation
4. Conclusions
Acknowledgments
Conflicts of Interest
References
- Korea Food and Drug Administration, The Korean Pharmacopoeia IX, 9th ed; Sinil Books Press Inc.: Seoul, Korea, 2008.
- Ministry of Health, Labor and Welfare. The Japanese Pharmacopoeia, 16th ed; Yakuji Nippo Ltd.: Tokyo, Japan, 2010.
- National Committee of Chinese Pharmacopoeia, The Pharmacopoeia of the People’s Republic of China; Chemical Industry Press: Beijing, China, 2010.
- Chang, D.M.; Kuo, S.Y.; Lai, J.H.; Chang, M.L. Effects of anti-rheumatic herbal medicines on cellular adhesion molecules. Ann. Rheum. Dis. 1999, 58, 366–371. [Google Scholar] [CrossRef]
- Huang, W.T.; Su, C.H.; Sheu, S.J. Separation and identification of the constituents in Fangchi radix of different origins. J. Food Drug Anal. 2006, 14, 357–367. [Google Scholar]
- Rahman, A.U. Bioactive Natural Products (Part E), 1st ed; Elsevier Science: Amsterdam, The Netherlands, 2001; pp. 294–295. [Google Scholar]
- Debelle, F.D.; Vanherweghem, J.L.; Nortier, J.L. Aristolochic acid nephropathy: A worldwide problem. Kidney Int. 2008, 74, 158–169. [Google Scholar] [CrossRef]
- Hung, T.M.; Lee, J.P.; Min, B.S.; Choi, J.S.; Na, M.K.; Zhang, X.F.; Ngoc, T.M.; Lee, I.S.; Bae, K.H. Magnoflorine from Coptidis Rhizoma protects high density lipoprotein during oxidant stress. Biol. Pharm. Bull. 2007, 30, 1157–1160. [Google Scholar] [CrossRef]
- Kok, T.W.; Yue, P.Y.K.; Mak, N.K.; Fan, T.P.D.; Liu, L.; Wong, R.N.S. The anti-angiogenic effect of sinomenine. Angiogenesis 2005, 8, 3–12. [Google Scholar]
- Kim, H.S.; Zhang, Y.H.; Oh, K.W.; Ahn, H.Y. Vasodilating and hypotensive effects of fangchinoline and tetrandrine on the rat aorta and the stroke-prone spontaneously hypertensive rat. J. Ethnopharmacol. 1997, 58, 117–123. [Google Scholar] [CrossRef]
- Choi, H.S.; Kim, H.S.; Min, K.R.; Kim, Y.; Lim, H.K.; Chang, Y.K.; Chung, M.W. Anti-inflammatory effects of fangchinoline and tetrandrine. J. Ethnopharmacol. 2000, 69, 173–179. [Google Scholar] [CrossRef]
- Miyazawa, M.; Utsunomiya, H.; Inada, K.; Yamada, T.; Okuno, Y.; Tanaka, H.; Tatematsu, M. Inhibition of Helicobacter pylori motility by (+)-syringaresinol from unripe Japanese apricot. Biol. Pharm. Bull. 2006, 29, 172–173. [Google Scholar] [CrossRef]
- Park, B.Y.; Oh, S.R.; Ahn, K.S.; Kwon, O.K.; Lee, H.K. Syringaresinol inhibits proliferation of human promyelocytic HL-60 leukemia cells via G1 arrest and apoptosis. Int. Immunopharm. 2008, 8, 967–973. [Google Scholar] [CrossRef]
- Arlt, V.M.; Stiborova, M.; Schmeiser, H.H. Aristolochic acid as a probable human cancer hazard in herbal remedies: a review. Mutagenesis 2002, 17, 265–277. [Google Scholar] [CrossRef]
- Kim, J.H.; Sim, H.J.; Lee, K.R.; Hong, J. UHPLC separation of structurally diverse markers in Fangchi Species. Bull. Korean Chem. Soc. 2013, 34, 1–4. [Google Scholar]
- Pérez-Arribas, L.V.; Manuel de Villena-Rueda, F.J.; León-González, M.E.; Gonzalo-Lumbreras, R.; Polo-Díez, L.M. New approach to optimize HPLC separations of acid-base compounds with elution order involved, by using combined three-band resolution maps. Anal. Bioanal. Chem. 2010, 396, 2647–2656. [Google Scholar] [CrossRef]
- Subirats, X.; Bosch, E.; Rosés, M. Retention of ionisable compounds on high-performance liquid chromatography XVI. Estimation of retention with acetonitrile/water mobile phases from aqueous buffer pH and analyte pKa. J. Chromatogr. A 2006, 1121, 170–177. [Google Scholar] [CrossRef]
- Kim, E.K.; Jeong, E.K.; Han, S.B.; Jung, J.H.; Hong, J. HPLC separation of isoquinoline alkaloids for quality control of Corydalis species. Bull. Korean Chem. Soc. 2011, 32, 3597–3602. [Google Scholar]
- Zhang, Y.; Shi, Q.; Shi, P.; Zhang, W.; Cheng, Y. Characterization of isoquinoline alkaloids, diterpenoids and steroids in the Chinese herb Jin-Guo-Lan (Tinospora sagittata and Tinospora capillipes) by high-performance liquid chromatography/electrospray ionization with multistage mass spectrometry. Rapid Commun. Mass Spectrom. 2006, 20, 2328–2342. [Google Scholar] [CrossRef]
- Jeong, E.K.; Lee, S.Y.; Yu, S.M.; Park, N.H.; Lee, H.S.; Yim, Y.H.; Hwang, G.S.; Cheong, C.; Jung, J.H.; Hong, J. Identification of structurally diverse alkaloids in Corydalis species by liquid chromatography/electrospray ionization tandem mass spectrometry. J. Rapid Commun. Mass Spectrom. 2012, 26, 1661–1674. [Google Scholar] [CrossRef]
- Raith, K.; Neubert, R.; Poeaknapo, C.; Boettcher, C.; Zenk, M.H.; Schmidt, J. Electrospray tandem mass spectrometric investigations of morphinans. J. Am. Soc. Mass Spectrom. 2003, 14, 1262–1269. [Google Scholar]
- Wu, W.N.; McKown, L.A.; Gopaul, V.S. In-vitro metabolism of isotetrandrine, a bisbenzylisoquinoline alkaloid, in rat hepatic S9 fraction by high-performance liquid chromatography-atmospheric pressure ionization mass spectrometry. J. Pharm. Pharmacol. 2004, 56, 749–755. [Google Scholar] [CrossRef]
- Koh, H.L.; Wang, H.; Zhoua, S.; Chan, E.; Woo, S.O. Detection of aristolochic acid I, tetrandrine and fangchinoline in medicinal plants by high performance liquid chromatography and liquid chromatography/mass spectrometry. J. Pharm. Biomed. Anal. 2006, 40, 653–661. [Google Scholar] [CrossRef]
- Chan, W.; Cui, L.; Xu, G.; Cai, Z. Study of the phase I and phase II metabolism of nephrotoxin aristolochic acid by liquid chromatography/tandem mass spectrometry. Rapid Commun. Mass Spectrom. 2006, 20, 1755–1760. [Google Scholar] [CrossRef]
- Eklund, P.C.; Backman, M.J.; Kronberg, L.A.; Smeds, A.I.; Sjoholm, R.E. Identification of lignans by liquid chromatography-electrospray ionization ion-trap mass spectrometry. J. Mass Spectrom. 2008, 43, 97–107. [Google Scholar]
- Du, G.; Zhao, H.Y.; Zhang, Q.W.; Li, G.H.; Yang, F.Q.; Wang, Y.; Li, Y.C.; Wang, Y.T. A rapid method for simultaneous determination of 14 phenolic compounds in Radix Puerariae using microwave-assisted extraction and ultra high performance liquid chromatography coupled with diode array detection and time-of-flight mass spectrometry. J. Chromatogr. A 2010, 1217, 705–714. [Google Scholar]
- Wang, Q.; Shi, R.; Ma, Y.M.; Jiang, P.; Zhong, J.; Cui, H.Y.; Liu, P.; Liu, C.H. Content determination of the major constituents of Yinchenzhufu decoction via ultra high-performance liquid chromatography coupled with electrospray ionisation tandem mass spectrometry. J. Pharmaceut. Biomed. 2013, 77, 88–93. [Google Scholar]
- Min, Y.D.; Choi, S.U.; Lee, K.R. Aporphine alkaloids and their reversal activity of multidrug resistance (MDR) from the stems and rhizomes of Sinomenium acutum. Arch. Pharm. Res. 2006, 29, 627–632. [Google Scholar] [CrossRef]
- Sample Availability: Samples of the compounds (Sinomenine, isosinomenine, magnoflorine and syringaresinol) are available from the authors.
© 2013 by the authors; licensee MDPI, Basel, Switzerland. This article is an open access article distributed under the terms and conditions of the Creative Commons Attribution license (http://creativecommons.org/licenses/by/3.0/).
Share and Cite
Sim, H.-J.; Kim, J.H.; Lee, K.R.; Hong, J. Simultaneous Determination of Structurally Diverse Compounds in Different Fangchi Species by UHPLC-DAD and UHPLC-ESI-MS/MS. Molecules 2013, 18, 5235-5250. https://doi.org/10.3390/molecules18055235
Sim H-J, Kim JH, Lee KR, Hong J. Simultaneous Determination of Structurally Diverse Compounds in Different Fangchi Species by UHPLC-DAD and UHPLC-ESI-MS/MS. Molecules. 2013; 18(5):5235-5250. https://doi.org/10.3390/molecules18055235
Chicago/Turabian StyleSim, Hee-Jung, Ji Hee Kim, Kang Ro Lee, and Jongki Hong. 2013. "Simultaneous Determination of Structurally Diverse Compounds in Different Fangchi Species by UHPLC-DAD and UHPLC-ESI-MS/MS" Molecules 18, no. 5: 5235-5250. https://doi.org/10.3390/molecules18055235
APA StyleSim, H.-J., Kim, J. H., Lee, K. R., & Hong, J. (2013). Simultaneous Determination of Structurally Diverse Compounds in Different Fangchi Species by UHPLC-DAD and UHPLC-ESI-MS/MS. Molecules, 18(5), 5235-5250. https://doi.org/10.3390/molecules18055235
