Abstract
A series of substituted aryl glycoside analogues of gastrodin have been identified as potential anti-influenza agents. The most potent inhibitor 1a exhibited moderate inhibitory activity against the A/Hanfang/359/95(H3N2) and A/FM/1/47(H1N1) strains of the influenza A virus (IC50 values of 44.40 and 34.45 μM, respectively) and the oseltamivir-null B/Jifang/13/97 strain of influenza B (IC50 value of 33.01 μM). In this article, multiple doses of compound 1a (80 mg/kg/day, oral administration) were used for the treatment of mice infected with influenza A/FM/1/47-MA (H1N1), and surprisingly we found that compound 1a significantly increased the number of survivors and prolonged the mean survival time. The preliminary studies on the mechanism of antiviral activity showed no interaction between compound 1a and the neuraminidase or the M2 protein. The novel target to overcome drug resistance combined with its good in vivo profile support compound 1a to be a new lead for further development of antiviral agents.
1. Introduction
Influenza is a respiratory disease caused by the influenza virus. According to the World Health Organization (WHO), as of April 4, 2010, the 2009-H1N1 influenza A virus have spread to over 213 countries and resulted in over 600,000 laboratory-confirmed cases and at least 17,700 deaths (WHO, 2010). These numbers represent the tip of the iceberg with regard to the potential morbidity and mortality associated with infection resulting from this virus [1].
Despite the extensive effort has been invested in attempting to control influenza infection, only two classes of drugs are currently clinically available, namely inhibitors of the M2 protein (e.g., amantadine and rimantadine) and the neuraminidase (e.g., zanamivir and oseltamivir) (Figure 1). Clinical applications of amantadine and rimantadine have been limited as a consequence of the increasing incidence of adamantane-resistant viruses in the general population [2,3]. Moreover, blockers of the M2 ion channel inhibit only the replication of influenza A virus and could cause neurological side effects [4]. The neuraminidase inhibitors, zanamivir and oseltamivirwere marketed in 1999 for the treatment and prophylaxis of influenza and have been subsequently stockpiled by many countries for usage in the event of a pandemic. However, significant increases in the frequency of oseltamivir-resistant seasonal influenza A (H1N1) in Europe, the United States, Oceania and South Africa have been identified recently. By April 30, 2010, a total of 285 cases of resistance had been reported worldwide [5], and the widespread emergence of oseltamivir-resistant strains had become increasingly likely [6]. In addition to mutation of H275, an S274N neuraminidase mutation has also been reported [7]. The recent pandemic of influenza A (H1N1) effectively reemphasizes the importance of identifying new anti-influenza drugs.
Figure 1.
The chemical structures of some anti-influenza drugs and gastrodin.
Figure 1.
The chemical structures of some anti-influenza drugs and gastrodin.

Gastrodia elata Blume, which is an orchid plant, is a well-known Traditional Chinese Medicine and has been clinically used for about 2,000 years. Its medicinal part is the dry tuber, and it is widely beleived that as a traditional medicine Gastrodia elata Blume has anti-epileptic, anti-palpitation, anti-rheumatic, tranquil and nourishing effect. Gastrodin, which was isolated and identified from the extracts of Gastrodia elata Blume, has been widely used in the clinic in China for the treatment of hypertension, headache and neuralgia [8]. To the best of our knowledge, it has never been used as an antiviral agent in clinic, and there are also no reports about its possible antiviral activities.
In the current work, a series of substituted aryl glycosides were synthesized as analogues of gastrodin and their anti-influenza activity was evaluated. The compounds proved to be a novel class of potential anti-influenza agents. The most potent compound [methyl 4-fluoro-3-((2S,3R,4S,5R,6R)-3,4,5-triacetoxy-6-(acetoxymethyl)-tetrahydro-2H-pyran-2-yloxy) benzoate (1a)] exhibited significant inhibitory activity against the tested influenza A strains: A/Hanfang/359/95(H3N2) and A/FM/1/47(H1N1), with IC50 values of 44.4 and 34.4 μM, respectively. Mice infected with influenza A/FM/1/47-MA (H1N1) were treated with multiple doses of compound 1a on a dose regimen of 80 mg/kg/day (oral administration), which led to a significant increase in the number of survivors and a prolonged mean survival time. Herein, we reported the synthesis and biological evaluation of a series of novel gastrodin analogues as new antiviral agents for the first time, along with a discussion of the preliminary structure-activity relationships (SAR) study and the in vivo activity.
2. Results and Discussion
2.1. Chemistry
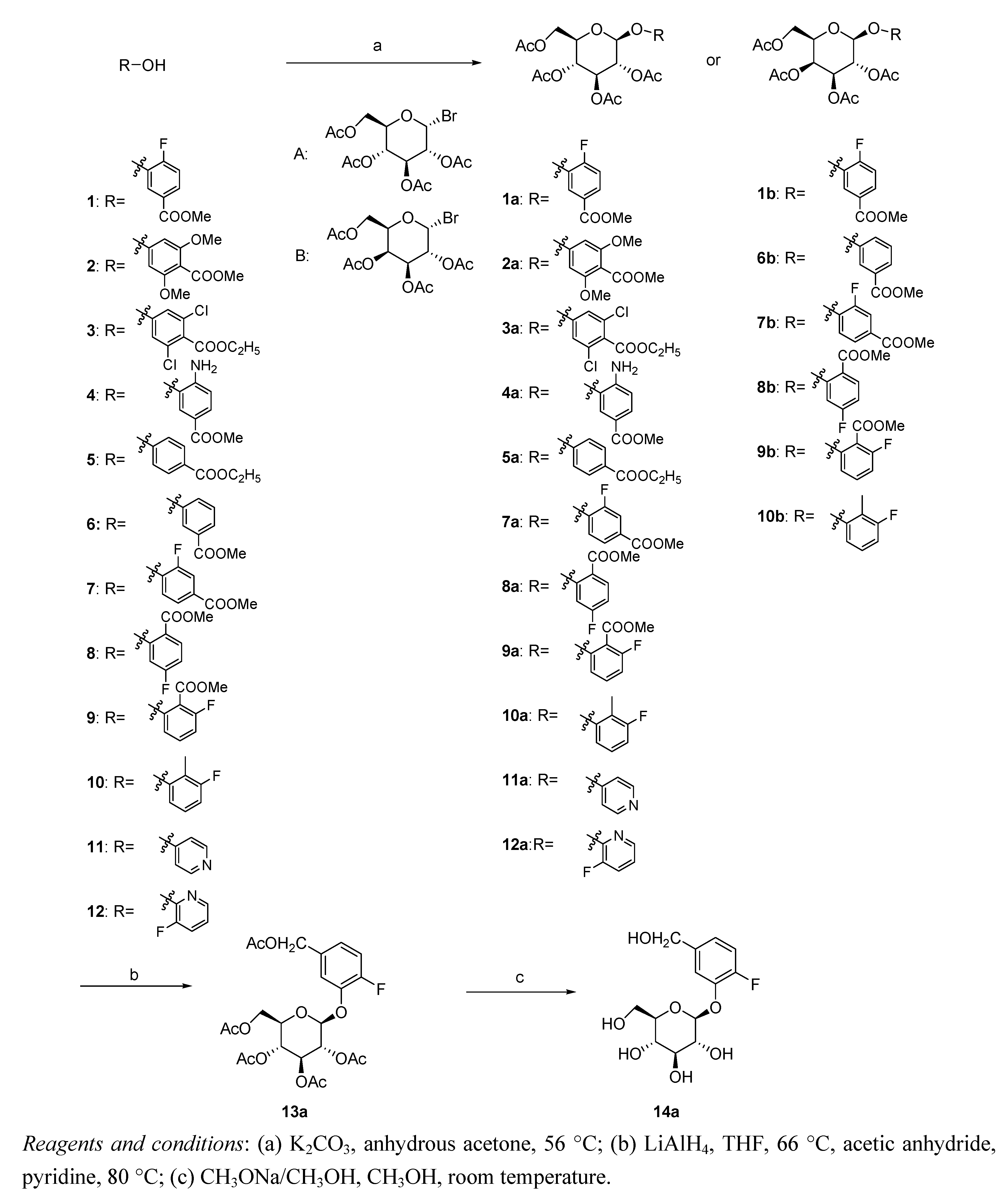
The chemical structures of the target analogues differed in three ways, and the modifications are as follows: (1) changes to the substituents and their positions on the phenyl ring; (2) conversion of the phenyl ring to a pyridyl ring; and (3) changes to the sugar moiety or protection of the hydroxyl group by acetylation.
As shown in the Scheme 1, compound 1a was synthesized from the reaction of methyl 4-fluoro-3-hydroxybenzoate (1) with 2,3,4,6-tetra-O-acetyl-α-d-glucopyranosyl bromide using potassium carbonate (K2CO3) as the base. The color of the reaction system darkened slightly as the reaction proceeded. Unfortunately, we were unable to develop conditions for driving the reaction to completion. Consequently, significant levels of the starting material were detected in the reaction mixture, and a low yield of less than 40% was obtained. Compound 13a was obtained from 1a in a two-step procedure involving the initial reduction of the methyl ester in 1a with lithium aluminum hydride (LiAlH4) [9] followed by acetylation of the resulting primary alcohol with acetic anhydride. Subsequent deprotection of the acetyl groups by saponification with sodium methoxide (CH3ONa) in MeOH gave 14a [10] in greater than 70% overall yield from 1a (Scheme 1). Compounds 2a–5a, 7a–12a, 1b, 6b–10b were also synthesized by this route, as depicted in Scheme 1.
2.2. Evaluation of Anti-Influenzavirus Activity In Vitro
The antiviral activities of the synthesized glycoside compounds against influenza A/Hanfang/359/95(H3N2) and A/FM/1/47(H1N1) were initially evaluated through their ability to prevent cytopathic effects (CPE) in influenza A virus-infected Madin-Darby canine kidney (MDCK) cells, with oseltamivir and ribavirin (RBV) as the positive controls. Except for the known compounds, 1 (the methyl 3-hydroxy-4-fluorobenzoate starting material), 5a, 7a, 11a, 6b and gastrodin, all compounds tested in the current study were, to the best of our knowledge, synthesized and were reported for the first time in academia. Ultimately, a total of 21 compounds were evaluated, and the results were summarized in Table 1.
Scheme 1.
The synthetic route to the target compounds.
Scheme 1.
The synthetic route to the target compounds.

As shown in Table 1, compounds 1a, 8a, 11a and 10b exhibited moderate inhibitory activity against the A/Hanfang/359/95(H3N2) strain of the influenza virus, with IC50 values of 44.40, 44.40, 40.52 and 48.68 μM, respectively. Nevertheless, they were not as potent as the reference drugs ribavirin (IC50 = 11.87 μM) and oseltamivir (IC50 = 2.08 μM). Of all the tested compounds, 2a showed the highest level of inhibitory activity against the A/FM/1/47(H1N1) strain of the influenza virus, with an IC50 value of 11.58 μM, which was close to that of the reference drug oseltamivir (IC50 value of 57.52 μM). Furthermore, compounds 1a, 9a, 11a and 12a also exhibited moderate levels of inhibitory activity against the A/FM/1/47(H1N1) strain of the influenza virus, with IC50 values of 34.45, 34.45, 52.23 and 25.24 μM, respectively. Compounds 1a and 11a showed activity against both the A/Hanfang/359/95(H3N2) and A/FM/1/47(H1N1) strains of the influenza virus. Compounds 5a and 1b showed low levels of inhibitory activity against the A/Hanfang/359/95(H3N2) strain of the influenza virus, with IC50 values of 93.64 and 92.38 μM, respectively. Compounds 8a and 9b showed low levels of inhibitory activity against the A/FM/1/47(H1N1) strain of the influenza virus, with IC50 values of 83.72 and 66.56 μM, respectively. In contrast, the remaining compounds (including compound 1 and gastrodin) showed weak or no activity against these strains under the specific conditions used in this paper.
Table 1.
Anti-influenza activities of the synthesized compounds.
| Compounds | TC50 (μM) | A/Hanfang/359/95 a | A/FM/1/47 b | ||
|---|---|---|---|---|---|
| IC50 (μM) | SI | IC50 (μM) | SI | ||
| 1a | 192.14 | 44.40 | 4.3 | 34.45 | 5.6 |
| 2a | 23.65 | >13.66 | _ | 11.58 | 2.0 |
| 3a | >362.77 | >362.77 | _ | >362.77 | _ |
| 4a | >402.05 | >134.02 | _ | 119.03 | >3.4 |
| 5a | 232.53 | 93.64 | 2.5 | >134.29 | _ |
| 7a | 277.10 | 103.39 | 2.5 | >133.23 | _ |
| 8a | 277.10 | 44.40 | 6.2 | 83.72 | 3.3 |
| 9a | >399.66 | >44.40 | _ | 34.45 | >11.6 |
| 10a | >438.20 | >146.07 | _ | >146.07 | _ |
| 11a | 226.03 | 40.52 | 5.6 | 52.23 | 4.3 |
| 12a | 350.06 | >50.12 | _ | 25.24 | 13.9 |
| 13a | >388.76 | >129.60 | _ | >129.60 | _ |
| 14a | >657.31 | >657.31 | _ | >657.31 | _ |
| 1b | >399.66 | 92.38 | 2.5 | >133.23 | _ |
| 6b | >414.56 | >138.19 | _ | >138.19 | _ |
| 7b | >399.66 | >133.22 | _ | 133.22 | >3.0 |
| 8b | >399.66 | >399.66 | _ | >399.66 | _ |
| 9b | 399.66 | >133.22 | _ | 66.56 | 6.0 |
| 10b | 252.99 | 48.68 | 5.2 | >52.23 | _ |
| 1 | >1175.50 | >1175.50 | _ | >391.85 | _ |
| Gastrodin | >698.62 | 161.49 | 4.3 | >232.19 | _ |
| Ribavirin | 4766.99 | 11.87 | 401.4 | 13.47 | 353.8 |
| Oseltamivir | 4033.29 | 2.08 | 1938.5 | 57.52 | 70.1 |
a 316TCID50; b 280TCID50; Half maximal (50%) inhibitory concentration (IC) of a substance, TC50 represents for median lethal dose, and SI represents for Selective therapeutic index.
The active compounds against the A/Hanfang/359/95(H3N2) and A/FM/1/47(H1N1) strains of the influenza virus were further evaluated for their potential antiviral activity against an oseltamivir-null strain of the influenza B virus, also with the means of CPE method. As summarized in Table 2, compounds 1a, 2a and 10b also displayed antiviral activity against the influenza B oseltamivir-null strain. Especially, compound 2a was found to be the most effective compound against the oseltamivir-resistant strain of the influenza virus (B/Jifang/13/97), with IC50 and SI values of 6.25 μM and 6.80, respectively.
Table 2.
Activities of the synthesized compounds against the oseltamivir-null influenza strain.
| Compounds | TC50 (μM) | B/Jifang/13/97 a | |
|---|---|---|---|
| IC50 (μM) | SI | ||
| 1a | 202.75 | 33.01 | 6.14 |
| 2a | 24.63 | 6.25 | 3.94 |
| 9a | 399.66 | >44.40 | _ |
| 11a | 235.95 | >52.23 | _ |
| 12a | 322.63 | >50.12 | _ |
| 9b | 360.25 | >133.22 | _ |
| 10b | 266.16 | 39.41 | 6.80 |
| Ribavirin | 4921.94 | 11.38 | 432.35 |
| Oseltamivir | 3968.32 | >100 | _ |
a 100 TCID50.
2.4. Anti-Influenza Activity of Compound 1a in Vivo
We proceeded to investigate the effect of compound 1a on influenza A/FM/1/47-MA (H1N1) virus-infected mice, with ribavirin being used as a reference standard. Two doses of 1a (80 and 40 mg/kg/day) were administered intragastrically. The control compound ribavirin was introduced as a single dose (100 mg/kg/day, po). All experiments were administered twice daily over a seven day period.
Against infection of the influenza A/FM/1/47-MA (H1N1) virus, the ribavirin treatment group exhibited significant increases in mean survival time and moderate decreases in mean lung score. In the group of mice receiving the intragastrically administered dose of 80 mg/kg/day of 1a, the numbers of surviving animals (6/10) and the mean survival time (11.3 days) increased significantly, whereas all of the control animals died. By contrast, in the group of mice receiving the lower dosage of 40 mg/kg/day of 1a, only one animal survived (1/10), and the mean survival time was therefore not improved. Therefore, the intragastricl administration of 1a provided protection against the lethal effects of the influenza A/FM/1/47-MA (H1N1) virus in a dose-dependent fashion.
The effects of 1a on lung score and on decreasing lung consolidation at day 6 are shown in Table 3. An 80 mg/kg/day dose of 1a provided a clear improvement in both the lung consolidation and mean lung score relative to that of the vehicle.
Table 3.
Effects of oral treatment a with 1a on influenza A/FM/1/47-MA (H1N1) virus infections b in mice.
| Compound | Dosage (mg/kg/day) | Treated mice | |||
|---|---|---|---|---|---|
| % Survivors | Mean day to death c | Lung consolidation d | Mean lung score | ||
| 1a | 80 (po) | 60 (6/10) | 11.3 | 2.25 | 1.82 ± 0.82 |
| 40 (po) | 10 (1/10) | 8.0 | 3.56 | 2.61 ± 0.85 | |
| Ribavirin | 100 (po) | 100 (10/10) | 14.0 * | 0.50 * | 1.31 ± 0.34 * |
| Vehicle | 10 (1/10) | 9.0 | 3.50 | 2.65 ± 1.06 | |
| Normal controls | 100 (10/10) | 14.0 * | 0.00 * | 1.01 ± 0.12 * | |
a b.i.d × 7, beginning 1 day before viral infection; b The viral infection dose was 16.32 LD50; c Mean survival time of mice dying on or before day 14; d Lungs were removed on day 6 post-virus exposure. Lung scores were determined based on the percentage of the lung displaying signs of consolidation, with 0 being normal and 4 indicative of 100% consolidation. * p < 0.05.
2.5. The Preliminary Studies on Anti-Influenza Mechanism of Compound 1a
Because compound 1a was orally active and showed potential to be developed as antiviral drug, we researched on anti-influenza mechanism of compound 1a by neuraminidase inhibition assay, hemagglutination assay and M2 protein expression inhibition assay.
2.5.1. Hemagglutination Inhibition Assay
The early influenza virus replication steps include virus absorption, internalization of virus to form a virus-containing endosome, and fusion. Hemagglutination-inhibition test was used in which aggregation of chicken erythrocytes was the consequence of the binding between viral hemagglutinin and sialic acid receptors on the surface of the cells [11]. At 2 fold serial diluted compound 1a (from 40 μg/mL) (Figure 2), the compound 1a did not show an inhibitory effect on hemagglutination (data not shown), suggesting that these compounds do not interfere with virus-receptor interaction.
Figure 2.
Hemagglutination inhibitory activity of 1a.
Figure 2.
Hemagglutination inhibitory activity of 1a.

2.5.2. Neuraminidase Inhibition Assay
Neuraminidase inhibition assay were evaluated for in vitro inhibitory actions using the method according to the reference with slight modification [12]. This spectrofluorometric assay (excitation wavelength: 355 nm and emission wavelength: 460 nm) uses 2′-(4-methylumbelliferyl)-α-d-acetylneuraminic acid (MUNANA) as the enzyme substrate, which is converted to a fluorescent product upon cleavage by NA. The intensity of fluorescence can reflect the activity of NA sensitively.
The compound 1a did not have inhibitory effect (IC50 > 40 μg/mL) on neuraminidase of the two influenza virus A strain. Oseltamivir has a strong inhibitory effect (IC50 = 0.02 μg/mL) on neuraminidase of influenza virus A/Wuhan/359/95.
2.5.3. M2 Protein Expression Inhibition Assay
The effect of compounds on M2 protein expression level were detected by immunoboltting assay [13]. The compound 1a had no effect on influenza virus M2 protein expression (Figure 3). Amantadine at concentration of 25 μg/mL significantly inhibited influenza virus M2 protein expression. Oseltamivir at concentration of 10 μg/mL has inhibitory effect on influenza virus M2 protein expression, but not so good as amantadine (25 μg/mL). Ribavirin at concentration of 10 μg/mL has significant inhibitory effect on influenza virus M2 protein expression, because at concentration of 10 μg/mL, ribavirin completely inhibits influenza virus induced cytopathic effect.
Figure 3.
The effect of 1a on M2 protein expression in MDCK cell infected with influenza virus A/Wuhan/359/95.
Figure 3.
The effect of 1a on M2 protein expression in MDCK cell infected with influenza virus A/Wuhan/359/95.

In summary, compound 1a tested in hemagglutination inhibition assay, neuraminidase inhibition assay and M2 protein expression inhibition assay have no effect on the three antiviral target of influenza virus. Although this series novel compounds were not as potent as reference compounds, but they had different mechanism against influenza virus. With these results in hand, the future research became more meaningful. Further mechanism studies are now in progress.
3. Experimental
3.1. Chemistry
1H-NMR spectra were recorded in CDCl3 on a 400 or 500 MHz Varian Inova spectrometer. Chemical shifts have been reported in parts per million (ppm) relative to tetramethylsilane (TMS) as the internal standard. The melting points were determined with an X6 microscope melting point apparatus and have been reported uncorrected. Electrospray ionization (ESI) mass spectra and high-resolution mass spectra (HRMS) were obtained on an MDS SCIEX Q-Trap mass spectrometer.
3.2. Synthesis
Methyl 4-fluoro-3-((2S,3R,4S,5R,6R)-3,4,5-triacetoxy-6-(acetoxymethyl)-tetrahydro-2H-pyran-2-yloxy)benzoate (1a). Methyl 4-fluoro-3-hydroxybenzoate (1, 1.7 g, 10 mmol), 2,3,4,6-tetra-O-acetyl-α-d-glucopyranosyl bromide (5 g, 12 mmol) and K2CO3 (1.7 g, 12 mmol) were added to anhydrous acetone (75 mL), and the resulting mixture was stirred at 56 °C for 16 h before being cooled to ambient temperature and filtered. The solvent was then evaporated in vacuo to give a sticky residue, which was partitioned between dichloromethane (60 mL) and a 0.1 N NaOH solution (20 mL). The organic phase was collected and concentrated, and the resulting solid was purified by column chromatography on silica gel to yield compound 1a (1.65 g, 36%). White solid; m.p.: 144–146 °C; 1H-NMR (400 MHz, CDCl3) δ (ppm): 7.86 (1H, d, J = 7.6 Hz, PhH), 7.79 (1H, m, PhH), 7.14 (1H, t, J = 8.0 Hz, PhH), 5.15 (4H, m, CH), 4.28 (2H, m, CH), 3.93 (1H, d, J = 4.0 Hz, CH), 3.90 (3H, s, OCH3), 2.10 (3H, s, CH3), 2.07 (3H, s, CH3), 2.02 (6H, s, CH3); ESI-MS (m/z): 523 [M+Na]+; HRMS-ESI (m/z): calculated for C22H26FO12 [M+H]+: 501.14083; measured: 501.14078.
Methyl 2,6-dimethoxy-4-((2S,3R,4S,5R,6R)-3,4,5-triacetoxy-6-(acetoxymethyl)-tetrahydro-2H-pyran-2-yloxy)benzoate (2a). Compound 2a was synthesized using a method similar to that described above for 1a. Yield: 35%, white solid; m.p.: 121–123 °C; 1H-NMR (400 MHz, CDCl3) δ (ppm): 6.50 (2H, s, PhH), 5.28 (3H, m, CH), 5.15 (1H, d, J = 7.2 Hz, CH), 4.22 (1H, m, CH), 4.09 (1H, d, J = 8.4 Hz, CH), 3.89 (3H, s, OCH3), 3.85 (6H, s, OCH3), 3.69 (1H, m, CH), 2.04 (3H, s, CH3), 2.01 (9H, s, CH3); ESI-MS (m/z): 565 [M+Na]+; HRMS-ESI (m/z): calculated for C24H31O14 [M+H]+: 543.17138; measured: 543.17148.
Ethyl 3,5-dichloro-4-((2S,3R,4S,5R,6R)-3,4,5-triacetoxy-6-(acetoxymethyl)-tetrahydro-2H-pyran-2-yloxy)benzoate (3a). Compound 3a was synthesized using a method similar to that described above for 1a. Yield: 32%, white solid; m.p.: 112–114 °C; 1H-NMR (400 MHz, CDCl3) δ (ppm): 7.93 (2H, s, PhH), 6.39 (1H, s, CH), 5.30 (3H, m, CH), 4.33 (3H, m, CH), 4.11 (2H, m, CH), 2.06 (3H, s, CH3), 2.03 (9H, s, CH3), 1.33 (3H, s, CH3); ESI-MS (m/z): 587 [M+Na]+; HRMS-ESI (m/z): calculated for C22H25Cl2O12 [M+H]+: 551.07231; measured: 551.07226.
Methyl 4-amino-3-((2S,3R,4S,5R,6R)-3,4,5-triacetoxy-6-(acetoxymethyl)-tetrahydro-2H-pyran-2-yloxy)benzoate (4a). Compound 4a was synthesized using a method similar to that described above for 1a. Yield: 29%; brown solid; m.p.: 126–128 °C; 1H-NMR (400 MHz, CDCl3) δ (ppm): 7.84 (1H, d, J = 6.0 Hz, PhH), 7.77 (1H, m, PhH), 7.10 (1H, t, J = 8.8. Hz, PhH), 5.54 (1H, t, J = 8.4 Hz, CH), 5.44 (1H, d, J = 3.2 Hz, CH), 5.14 (1H, dd, J = 8.8 Hz, J = 3.2 Hz, CH), 5.02 (1H, d, J = 8.4 Hz, CH), 4.21 (2H, m, CH), 4.05 (1H, t, J = 6.4 Hz, CH), 3.90 (3H, s, OCH3), 3.74 (2H, s, NH2), 2.19 (3H, s, CH3), 2.10 (3H, s, CH3), 2.07 (3H, s, CH3), 2.00 (3H, s, CH3); ESI-MS (m/z): 520 [M+Na]+; HRMS-ESI (m/z): calculated for C22H28NO12 [M+H]+: 498.16115; measured: 498.16102.
Methyl 4-((2S,3R,4S,5R,6R)-3,4,5-triacetoxy-6-(acetoxymethyl)-tetrahydro-2H-pyran-2-yloxy)benzoate (5a). Compound 5a was synthesized using a method similar to that described above for 1a. Yield: 30%; white solid; m.p.: 147–149 °C; 1H-NMR (400 MHz, CDCl3) δ (ppm): 8.00 (2H, d, J = 8.4 Hz, PhH), 7.00 (2H, d, J = 8.4 Hz, PhH), 5.53 (1H, d, J = 7.6 Hz, CH), 5.27 (2H, m, CH), 5.14 (1H, t, J = 6.4 Hz, CH), 5.02 (1H, d, J = 7.2 Hz, CH), 4.25 (4H, m, CH), 2.08 (3H, s, CH3), 2.05 (6H, s, CH3), 2.04 (3H, s, CH3), 1.38 (3H, s, CH3); ESI-MS (m/z): 519 [M+Na]+; HRMS-ESI (m/z): calculated for C23H29O12 [M+H]+: 497.16590; measured: 497.16594.
Methyl 3-fluoro-4-((2S,3R,4S,5R,6R)-3,4,5-triacetoxy-6-(acetoxymethyl)-tetrahydro-2H-pyran-2-yloxy)benzoate (7a). Compound 7a was synthesized using a method similar to that described above for 1a. Yield: 31%; white solid; m.p.: 121–123 °C; 1H-NMR (500 MHz, CDCl3) δ (ppm): 7.83 (1H, t, J = 6.5 Hz, PhH), 6.90 (1H, dd, J = 10.5 Hz, J = 2.5 Hz, PhH), 6.83 (1H, t, J = 8.0 Hz, PhH), 5.57 (1H, d, J = 4.0 Hz, CH), 5.21 (4H, m, CH), 4.37 (2H, m, CH), 3.90 (3H, s, OCH3), 2.10 (6H, s, CH3), 2.06 (6H, s, CH3); ESI-MS (m/z): 523 [M+Na]+; HRMS-ESI (m/z): calculated for C22H26FO12 [M+H]+: 501.14083; measured: 501.14091.
Ethyl 4-fluoro-2-((2S,3R,4S,5R,6R)-3,4,5-triacetoxy-6-(acetoxymethyl)-tetrahydro-2H-pyran-2-yloxy)-benzoate (8a). Compound 8a was synthesized using a method similar to that described above for 1a. Yield: 30%; white solid; m.p.: 136–138 °C; 1H-NMR (500 MHz, CDCl3) δ (ppm): 7.80 (1H, t, J = 7.5 Hz, PhH), 6.95 (1H, dd, J = 8.0 Hz , J = 2.0 Hz, PhH), 6.84 (1H, m, PhH), 5.92 (1H, t, J = 9.0 Hz, CH), 5.48 (1H, d, J = 3.5 Hz, CH), 5.08 (2H, m, CH), 4.17 (3H, m, CH), 3.85 (3H, s, OCH3), 2.16 (3H, s, CH3), 2.09 (3H, s, CH3), 2.05 (3H, s, CH3), 2.01 (3H, s, CH3); ESI-MS (m/z): 523 [M+Na]+; HRMS-ESI (m/z): calculated for C22H26FO12 [M+H]+: 501.14083; measured: 501.14082.
Methyl 2-fluoro-6-((2S,3R,4S,5R,6R)-3,4,5-triacetoxy-6-(acetoxymethyl)-tetrahydro-2H-pyran-2-yloxy)benzoate (9a). Compound 9a was synthesized using a method similar to that described above for 1a. Yield: 35%; white solid; m.p.: 130–132 °C; 1H-NMR (500 MHz, CDCl3) δ (ppm): 7.31 (1H, q, J = 8.5 Hz, PhH), 6.90 (1H, d, J = 8.5 Hz, PhH), 6.86 (1H, t, J = 8.0 Hz, PhH), 5.27 (2H, m, CH), 5.18 (1H, t, J = 6.5 Hz, CH), 5.05 (1H, d, J = 7.5 Hz, CH), 4.25 (3H, m, CH), 3.89 (3H, s, OCH3), 2.11 (3H, s, CH3), 2.08 (3H, s, CH3), 2.05 (3H, s, CH3), 2.02 (3H, s, CH3); ESI-MS (m/z): 523 [M+Na]+; HRMS-ESI (m/z): calculated for C22H26FO12 [M+H]+: 501.14083; measured: 501.14077.
(2R,3R,4S,5R,6S)-2-(Acetoxymethyl)-6-(3-fluoro-2-methylphenoxy)-tetrahydro-2H-pyran-3,4,5-triyl triacetate (10a). Compound 10a was synthesized using a method similar to that described above for 1a. Yield: 33%; white solid; m.p.: 127–129 °C; 1H-NMR (500 MHz, CDCl3) δ (ppm): 7.62 (1H, m, PhH), 7.21 (1H, m, PhH), 6.90 (1H, dd, J = 9.5 Hz, J = 3.5 Hz, PhH), 6.33 (1H, d, J = 3.5 Hz, CH), 5.72 (1H, d, J = 8.0 Hz, CH), 5.50 (2H, m, CH), 4.57 (1H, t, J = 7.0 Hz, CH), 4.22 (2H, m, CH), 2.40 (3H, s, CH3), 2.07 (6H, s, CH3), 2.02 (6H, s, CH3); ESI-MS (m/z): 479 [M+Na]+; HRMS-ESI (m/z): calculated for C21H26FO10 [M+H]+: 457.15100; measured: 457.15095.
(2R,3R,4S,5R,6S)-2-(Acetoxymethyl)-6-(pyridin-4-yloxy)-tetrahydro-2H-pyran-3,4,5-triyl triacetate (11a). Compound 11a was synthesized using a method similar to that described above for 1a. Yield: 27%; colorless solid; m.p.: 132–134 °C; 1H-NMR (500 MHz, CDCl3) δ (ppm): 8.30 (2H, d, J = 9.0 Hz, PhH), 6.93 (2H, d, J = 9.0 Hz, PhH), 5.50 (1H, dd, J = 10.5 Hz, J = 3.0 Hz, CH), 5.18 (1H, d, J = 3.0 Hz, CH), 5.05 (1H, t, J = 7.0 Hz, CH), 4.15 (4H, m, CH), 2.08 (3H, s, CH3), 2.04 (3H, s, CH3), 2.02 (6H, s, CH3); ESI-MS (m/z): 448 [M+Na]+; HRMS-ESI (m/z): calculated for C19H24NO10 [M+H]+: 426.14002; measured: 426.14006.
(2R,3R,4S,5R,6S)-2-(Acetoxymethyl)-6-(3-fluoropyridin-2-yloxy)-tetrahydro-2H-pyran-3,4,5-triyl triacetate(12a). Compound 12a was synthesized using a method similar to that described above for 1a. Yield: 31%; pale yellow solid; m.p.: 140–142 °C; 1H-NMR (500 MHz, CDCl3) δ (ppm): 7.92 (1H, d, J = 5.0 Hz, PhH), 7.39 (1H, t, J = 8.5 Hz, PhH), 6.99 (1H, m, PhH), 6.18 (1H, d, J = 7.5 Hz, CH), 5.35 (2H, m, CH), 5.24 (1H, t, J = 9.5 Hz, CH), 4.30 (1H, dd, J = 12.5 Hz, J = 4.5 Hz, CH), 4.14 (1H, d, J = 12.5 Hz, CH), 3.94 (1H, m, CH), 2.10 (3H, s, CH3), 2.07 (3H, s, CH3), 2.04 (3H, s, CH3), 2.02 (3H, s, CH3); ESI-MS (m/z): 466 [M+Na]+; HRMS-ESI (m/z): calculated for C19H23FNO10 [M+H]+: 444.13060; measured: 444.13051.
(2R,3R,4S,5R,6S)-2-(Acetoxymethyl)-6-(5-(acetoxymethyl)-2-fluorophenoxy)-tetrahydro-2H-pyran-3,4,5-triyl triacetate (13a). Compound 1a (500 mg, 1 mmol) was added to THF (25 mL), and solid LiAlH4 was added in a portion-wise manner to the resulting solution. Upon completion of the addition, the mixture was stirred at 66 °C for 3 h before being cooled to ambient temperature and quenched by the dropwise addition of CH3OH (10 mL). The reaction mixture was then stirred at room temperature for 10 min and concentrated to dryness under vacuum. The resulting residue was then dissolved in a mixture of acetic anhydride (20 mL) and pyridine (1 mL). The reaction mixture was stirred at 80 °C for 4 h and then concentrated to dryness in vacuo. The residue was added to ice water and stirred until precipitation occurred. The mixture was then filtered, and the filter-cake was collected and purified by flash chromatography over silica gel, affording the title compound (401 mg, 78%). White solid; m.p.: 125–127 °C; 1H-NMR (500 MHz, CDCl3) δ (ppm): 7.80 (1H, d, J = 8.0 Hz, PhH), 7.74 (1H, m, PhH), 7.10 (1H, t, J = 8.5 Hz, PhH), 5.89 (1H, d, J = 6.5 Hz, CH), 5.30 (1H, dd, J = 10.5,4.0 Hz, CH), 5.07 (1H, t, J = 11.0 Hz, CH), 5.19 (2H, s, CH), 4.36 (1H, m, CH), 4.14 (3H, m, CH), 2.11 (3H, s, CH3), 2.08 (6H, s, CH3), 2.06 (3H, s, CH3), 2.04 (3H, s, CH3); ESI-MS (m/z): 537 [M+Na]+; HRMS-ESI (m/z): calculated for C23H28FO12 [M+H]+: 515.15648; measured: 515.15652.
(2S,3R,4S,5S,6R)-2-(2-Fluoro-5-(hydroxymethyl)phenoxy)-6-(hydroxymethyl)-tetrahydro-2H-pyran-3,4,5-triol (14a). To a solution of 13a (510 mg, 1 mmol) in CH3OH (10 mL) was added a 0.2 N solution of CH3ONa in CH3OH, and the resulting mixture was stirred at room temperature for 1 h and then allowed to stand at ambient temperature overnight. The reaction mixture was filtered, and the filter cake was collected and recrystallized from anhydrous ethanol to afford the title compound (280 mg, 90%). White solid; m.p.: 134–136 °C; 1H-NMR (500 MHz, CDCl3) δ (ppm): 7.15 (1H, t, J = 9.5 Hz, PhH), 6.95 (1H, dd, J = 9.5 Hz, J = 4.0 Hz, PhH), 6.91 (1H, m, PhH), 5.60 (1H, s, CH), 4.66 (2H, s, CH), 4.20 (1H, s, CH), 3.47 (5H, m, CH), 2.76 (1H, s, OH), 2.16 (1H, s, OH), 1.78 (2H, s, OH), 0.99 (1H, s, OH); ESI-MS (m/z): 327 [M+Na]+; HRMS-ESI (m/z): calculated for C13H18FO7 [M+H]+: 305.10366; measured: 305.10362.
Methyl 4-fluoro-3-((2S,3R,4S,5S,6R)-3,4,5-triacetoxy-6-(acetoxymethyl)-tetrahydro-2H-pyran-2-yloxy)benzoate (1b). Compound 1b was synthesized using a method similar to that described above for 1a. Yield: 38%; white solid; m.p.: 143–145 °C; 1H-NMR (500 MHz, CDCl3) δ (ppm): 7.88 (1H, d, J = 6.5 Hz, PhH), 7.78 (1H, m, PhH), 7.14 (1H, t, J = 9.0 Hz, PhH), 5.53 (1H, t, J = 8.5 Hz, CH), 5.46 (1H, d, J = 3.0 Hz, CH), 5.11 (1H, dd, J = 10.0, 3.0 Hz, CH), 5.01 (1H, d, J = 8.0 Hz, CH), 4.20 (2H, m, CH), 4.07 (1H, t, J = 6.5 Hz, CH), 3.90 (3H, s, OCH3), 2.19 (3H, s, CH3), 2.10 (3H, s, CH3), 2.07 (3H, s, CH3), 2.00 (3H, s, CH3); ESI-MS (m/z): 523 [M+Na]+; HRMS-ESI (m/z): calculated for C22H26FO12 [M+H]+: 501.14083; measured: 501.14086.
Methyl 3-((2S,3R,4S,5S,6R)-3,4,5-triacetoxy-6-(acetoxymethyl)-tetrahydro-2H-pyran-2-yloxy)benzoate (6b). Compound 6b was synthesized using a method similar to that described above for 1a. Yield: 36%; white solid; m.p.: 154–156 °C; 1H-NMR (500 MHz, CDCl3) δ (ppm): 7.75 (1H, d, J = 8.0 Hz, PhH), 7.67 (1H, s, PhH), 7.37 (1H, t, J = 8.0 Hz, PhH), 7.20 (1H, dd, J = 8.0, 2.5 Hz, CH), 5.50 (2H, m, CH), 5.12 (2H, m, CH), 4.16 (3H, m, CH), 3.91 (3H, s, OCH3), 2.19 (3H, s, CH3), 2.07 (6H, s, CH3), 2.00 (3H, s, CH3); ESI-MS (m/z): 505 [M+Na]+; HRMS-ESI (m/z): calculated for C22H27O12 [M+H]+: 483.15025; measured: 483.15030.
Methyl 3-fluoro-4-((2S,3R,4S,5S,6R)-3,4,5-triacetoxy-6-(acetoxymethyl)-tetrahydro-2H-pyran-2-yloxy)benzoate (7b). Compound 7b was synthesized using a method similar to that described above for 1a. Yield: 32%; white solid; m.p.: 121–123 °C; 1H-NMR (500 MHz, CDCl3) δ (ppm): 7.77 (2H, m, PhH), 7.21 (1H, t, J = 8.5 Hz, PhH), 5.52 (1H, t, J = 8.0 Hz, CH), 5.45 (1H, d, J = 3.0 Hz, CH), 5.11 (1H, dd, J = 10.5, 3.0 Hz, CH), 5.01 (1H, d, J = 7.5 Hz, CH), 4.20 (2H, m, CH), 4.05 (1H, m, CH), 3.90 (3H, s, OCH3), 2.15 (3H, s, CH3), 2.08 (3H, s, CH3), 2.03 (3H, s, CH3), 1.99 (3H, s, CH3); ESI-MS (m/z): 523 [M+Na]+; HRMS-ESI (m/z): calculated for C22H26FO12 [M+H]+: 501.14083; measured: 501.14076.
Methyl 4-fluoro-2-((2S,3R,4S,5S,6R)-3,4,5-triacetoxy-6-(acetoxymethyl)-tetrahydro-2H-pyran-2-yloxy)benzoate (8b). Compound 8b was synthesized using a method similar to that described above for 1a. Yield: 30%; white solid; m.p.: 136–138 °C; 1H-NMR (500 MHz, CDCl3) δ (ppm): 7.83 (1H, t, J = 7.0 Hz, PhH), 6.92 (1H, dd, J = 8.5, 2.0 Hz, PhH), 6.83 (1H, m, PhH), 5.60 (1H, t, J = 8.0 Hz, CH), 5.47 (1H, d, J = 3.0 Hz, CH), 5.11 (1H, dd, J = 10.5, 3.5 Hz, CH), 5.04 (1H, d, J = 8.0 Hz, CH), 4.17 (3H, m, CH), 3.85 (3H, s, OCH3), 2.18 (3H, s, CH3), 2.08 (3H, s, CH3), 2.06 (3H, s, CH3), 2.02 (3H, s, CH3); ESI-MS (m/z): 523 [M+Na]+; HRMS-ESI (m/z): calculated for C22H26FO12 [M+H]+: 501.14083; measured: 501.14074.
Methyl 2-fluoro-6-((2S,3R,4S,5S,6R)-3,4,5-triacetoxy-6-(acetoxymethyl)-tetrahydro-2H-pyran-2-yloxy)benzoate (9b). Compound 9b was synthesized using a method similar to that described above for 1a. Yield: 35%; white solid; m.p.: 130–132 °C; 1H-NMR (500 MHz, CDCl3) δ (ppm): 7.31 (1H, q, J = 8.5 Hz, PhH), 6.92 (1H, d, J = 8.0 Hz, PhH), 6.84 (1H, t, J = 8.5 Hz, PhH), 5.47 (2H, m, CH), 5.07 (1H, dd, J = 10.5 Hz, J = 3.0 Hz, CH), 5.00 (1H, d, J = 8.0 Hz, CH), 4.16 (3H, m, CH), 3.90 (3H, s, OCH3), 2.21 (3H, s, CH3), 2.12 (3H, s, CH3), 2.06 (3H, s, CH3), 2.03 (3H, s, CH3); ESI-MS (m/z): 523 [M+Na]+; HRMS-ESI (m/z): calculated for C22H26FO12 [M+H]+: 501.14083; measured: 501.14077.
(2R,3S,4S,5R,6S)-2-(Acetoxymethyl)-6-(3-fluoro-2-methylphenoxy)-tetrahydro-2H-pyran-3,4,5-triyl triacetate (10b). Compound 10b was synthesized using a method similar to that described above for 1a. Yield: 36%; white solid; m.p.: 127–129 °C; 1H-NMR (500 MHz, CDCl3) δ (ppm): 7.60 (1H, m, PhH), 7.20 (1H, m, PhH), 6.93 (1H, dd, J = 9.5, 3.5 Hz, PhH), 6.32 (1H, d, J = 3.5 Hz, CH), 5.74 (1H, d, J = 8.0 Hz, CH), 5.50 (2H, m, CH), 4.54 (1H, t, J = 7.0 Hz, CH), 4.24 (2H, m, CH), 2.40 (3H, s, CH3), 2.09 (3H, s, CH3), 2.07 (3H, s, CH3), 2.04 (3H, s, CH3), 2.02 (3H, s, CH3); ESI-MS (m/z): 479 [M+Na]+; HRMS-ESI (m/z): calculated for C21H26FO10 [M+H]+: 457.15100; measured: 457.15098.
3.5. Mechanism Studies
3.5.1. Hemagglutination Inhibition Assay
Hemagglutination inhibition (HI) assay was employed to evaluate the effect of a compound on virus adsorption to target cells according to the reference with slight modification. Briefly, compound in PBS was mixed with an equal volume of influenza virus that was serially diluted by two-fold in PBS. After 30 min incubation at 4 °C, 100 µL of compound-virus preparation was mixed with an equal volume of 1% chicken erythrocyte suspension in PBS in a U bottom 96-well plate. The mixture was incubated for 1 h at room temperature before observing erythrocyte aggregation on the plate.
3.5.2. Neuraminidase Inhibition Assay
Neuraminidase inhibition assay were evaluated for in vitro inhibitory actions using the method according to the reference with slight modification. This spectrofluorometric assay (excitation wavelength: 355 nm and emission wavelength: 460 nm) uses 2′-(4-methylumbelliferyl)-α-d- acetylneuraminic acid (MUNANA) as the enzyme substrate, which is converted to a fluorescent product upon cleavage by NA. The intensity of fluorescence can reflect the activity of NA sensitively.
The enzyme reaction system included 10 μL sample, 30 μL enzyme and 60 μL substrate buffer mix (30 μm MUNAN, 33 mm MES buffer (pH 3.5), 4 mm CaCl2, DDW). The terminal volume was 100 μL. Two-fold serially diluted compound samples and 30 μL enzyme incubated 1 hour at room temperature, and 60 μL substrate buffer mix was added. After 15 min at 37 °C, 100 μL of 14 mm NaOH in 83% ethanol was added to the reaction mixture to terminate the reaction. The intensity of the fluorescence was quantitated in fluorescence read on Enspire (Perkin Elmer, Waltham, MA, USA) (excitation, 355 nm; emission, 460 nm), and substrate blanks were subtracted from the sample readings. The IC50 was calculated by plotting percent inhibition versus the inhibitor concentration, and determination of each point was performed in duplicate.
3.5.3. M2 Protein Expression Inhibition Assay
The effect of compounds on M2 protein expression level were detected by immunoboltting assay. The immunoboltting experiment was employed according to the reference with slight modification.MDCK cells were infected with influenza virus A/Wuhan/359/95 at an 300TCID50, and treated with the indicated concentration of compounds. 24 hours post infection, the cells were lysed with lysis buffer (1% Triton, 150 mM NaCl, 20 mM HEPES pH7.5, 10% Glycerol, 1 mM EDTA) with protease inhibitor cocktail (Roche, Indianapolis, IN, USA). The lysates were then performed to immunoblotting with M2 andβ-actin antibodies (Influenza A m2 Antibody from Santa Cruz Biotechnology Inc. (Santa Cruz, CA, USA) and β-Actin Mouse mAb from Cell Signaling Technology Inc. (Danvers, MA, USA). Protein was detected using Immobilon Western Chemiluminescent HRP Substrate (Millipore, Inc., Billerica, MA, USA) with ChemiDoc XRS and Image Acquisition (BioRad, Inc., Hercules, CA, USA). Most studies of the activity and drug sensitivity of A/M2 channels have employed electrophysiology techniques, but since establishment of this technology takes time, we just detected M2 protein expression levels.
4. Conclusions
Gastrodin is a traditional Chinese herbal medicine that has been used clinically in China for thousands of years, mainly for the treatment of neurasthenia. To the best of our knowledge, there have been no reports documenting the use of gastrodin or any of its derivatives as antiviral agents. In our study, a novel series of gastrodin analogues was found to exhibit potent anti-influenza activity. A series of substituted aryl glycoside compounds were synthesized and evaluated for their anti-influenza virus activities, and preliminary structure-activity relationships (SAR) were analyzed.
A total of 15 novel glycoside compounds were synthesized and screened for their antiviral activity against influenza A virus, among which the most potent inhibitor 1a exhibited moderate inhibitory activity against the virus. Herein, we also report the first total synthesis of 1a and its associated in vivo anti-influenza data. In this experiment, a dose regimen of 80 mg/kg/day of compound 1a (oral administration) yielded a significant increase in the survival numbers and prolonged the mean survival time of the animals tested.
Furthermore, the data were analyzed to produce a preliminary understanding of the structure-activity relationships. Seven compounds exhibited clear antiviral activity against the tested strain of the influenza A virus. The IC50 and SI values of the most effective compound, 12a, against the influenza A (A/FM/1/47(H1N1)) virus were 25.24 μM and 13.9, respectively. Unfortunately, the SI values for all the compounds tested were much lower than those of the reference compounds. Remarkably, compounds 1a, 2a and 10b also displayed antiviral activity against the oseltamivir-null strain of influenza B. In addition, there was an increasing need for the development of antiviral along with novel antiviral mechanism. Compound 1a had a different mechanism of action from oseltamivir and ribavirin against influenza virus, so future research may be more meaningful with this result.
Undoubtedly, further exploration will be needed to produce more potent compounds with higher SI values and to deduce the detailed mechanism of action of this novel class of glycosides compounds against the influenza virus. Besides, since compound 1a has been demonstrated that it has no interaction with NA or M2, it probably has novel targets which might be an important breakthrough in viral study.
Acknowledgments
This work was supported by the National S&T Major Special Project for Major New Drugs Innovation (2012ZX09301002-001-017).
References
- Calatayud, L.; Lackenby, A.; Reynolds, A.; McMenamin, J.; Phin, N.F.; Zambon, M.C.; Pebody, R. Oseltamivir-Resistant Pandemic (H1N1) 2009 Virus Infection inEngland and Scotland, 2009–2010. Emerg. Infect. Dis. 2011, 17, 1807–1815. [Google Scholar] [CrossRef]
- Bright, R.A.; Medina, M.J.; Xu, X. Incidence of adamantine resistance among influenza A (H3N2) viruses isolated worldwide from 1994 to 2005: A cause for concern. Lancet 2005, 366, 1175–1181. [Google Scholar] [CrossRef]
- Deyde, V.M.; Xu, X.; Bright, R.A. Surveillance of resistance to adamantanes among influenza A (H3N2) and A (H1N1) viruses isolated worldwide. J. Infect. Dis. 2007, 196, 249–257. [Google Scholar] [CrossRef]
- Deogaonkar, M.; Wilson, K.; Vitek, J. Amantadine induced reversible corneal edema. J. Clin. Neurosci. 2011, 18, 298–299. [Google Scholar] [CrossRef]
- Hurt, A.C.; Lee, R.T.; Leang, S.K.; Cui, L.; Deng, Y.M.; Phuah, S.P.; Caldwell, N.; Freeman, K.; Komadina, N.; Smith, D.; et al. Increased detection in Australia and Singapore of a novel influenza A(H1N1)2009 variant with reduced oseltamivir and zanamivir sensitivity due to a S247N. Eurosurveillance 2011, 16. Available online: http://www.eurosurveillance.org/ViewArticle.aspx?ArticleId=19884 (accessed on 9 June 2011). [Google Scholar]
- Hurt, A.C.; Holien, J.K.; Parker, M.; Kelso, A.; Barr, I.G. Zanamivir-Resistant Influenza Viruses with a Novel Neuraminidase Mutation. J. Virol. 2009, 83, 10366–10373. [Google Scholar] [CrossRef]
- Relman, D.A.; Choffnes, E.R.; Mack, A. The Domestic and International Impacts of the 2009-H1N1 Influenza A Pandemic: Global Challenges, Global Solutions; Workshop Summary, Forum on Microbial Threats, Institute of Medicine; National Academies Press: Washington, DC, USA, 2010.
- Tao, Y.-H. Recent progress on pharmacological effects of Gastrodia elata. Zhongguo Zhong Yao Za Zhi 2008, 33, 108–110. [Google Scholar]
- Huang, H.W.; Qian, Z.H. The Synthesis of Fluorinated Gastrodin. Acta Chim. Sin. 1987, 45, 1175–1179. [Google Scholar]
- Zhou, J.; Yang, H.B.; Yang, C.R. Chemical study on Gastrodin ELATA BL. Acta Chim. Sin. 1980, 38, 162–166. [Google Scholar]
- Zhu, L.; Li, Y.; Li, S.; Li, H.; Qiu, Z.; Lee, C.; Lu, H.; Lin, X.; Zhao, R.; Chen, L.; et al. Inhibition of influenza A virus (H1N1) fusion by benzenesulfonamide derivatives targeting viral hemagglutinin. PLoS One 2011, 6, e29120. [Google Scholar]
- Yu, M.; Liu, A.; Du, G.; Naesens, L.; Vanderlinden, E.; de Clercq, E.; Liu, X. Discovery of dihydro-alkyloxy-benzyl-oxopyrimidines as promising anti-influenza virus agents. Chem. Biol. Drug Des. 2011, 78, 596–602. [Google Scholar] [CrossRef]
- Zhang, J.; Liu, T.; Tong, X.; Li, G.; Yan, J.; Ye, X. Identification of novel virus inhibitors by influenza A virus specific reporter cell based screening. Antiviral Res. 2012, 93, 48–54. [Google Scholar] [CrossRef]
- Sample Availability: Samples of the compounds 1a–5a, 7a–14a, 1b and 6b–10b are available from the authors.
© 2013 by the authors; licensee MDPI, Basel, Switzerland. This article is an open access article distributed under the terms and conditions of the Creative Commons Attribution license (http://creativecommons.org/licenses/by/3.0/).